Five-Step Phase-Shift-Based Multiwavelength Averaging for Extrinsic Fabry–Perot Interferometric Sensors
Abstract
:1. Introduction
2. Principle
3. Demodulated Phase Error Analysis
3.1. Demodulated Parameter Error
3.2. Multiplicative Noise
3.3. Additive Noise
4. Simulation
4.1. Dynamic Range
4.2. Demodulated Parameter Error
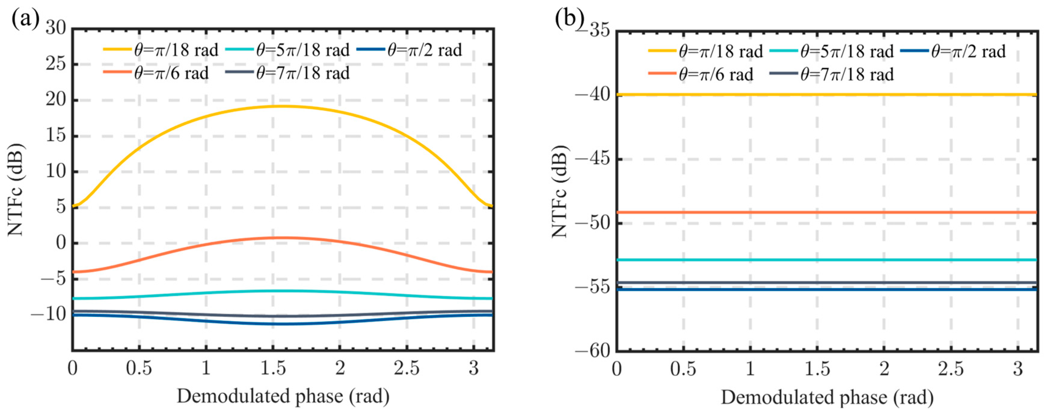
4.3. Noise Characteristics
5. Conclusions
Author Contributions
Funding
Institutional Review Board Statement
Informed Consent Statement
Data Availability Statement
Conflicts of Interest
References
- Wang, S.; Zhang, J.; Xu, H.; Yao, Q.; Chen, Y.; Lu, P.; Liu, L.; Liao, H.; Sun, Y.; Ni, W.; et al. An Infrasound Sensor Based on Extrinsic Fiber-Optic Fabry–Perot Interferometer Structure. IEEE Photonics Technol. Lett. 2016, 28, 1264–1267. [Google Scholar] [CrossRef]
- Liu, Y.; Jing, Z.; Li, R.; Zhang, Y.; Liu, Q.; Li, A.; Zhang, C.; Peng, W. Miniature fiber-optic tip pressure sensor assembled by hydroxide catalysis bonding technology. Opt. Express 2020, 28, 948–958. [Google Scholar] [CrossRef]
- Yang, D.; Liu, Y.; Wang, Y.; Zhang, T.; Shao, M.; Yu, D.; Fu, H.; Jia, Z. Integrated optic-fiber sensor based on enclosed EFPI and structural phase-shift for discriminating measurement of temperature, pressure and RI. Opt. Laser Technol. 2020, 126, 106112. [Google Scholar] [CrossRef]
- Liu, T.; Yin, J.; Jiang, J.; Liu, K.; Wang, S.; Zou, S. Differential-pressure-based fiber-optic temperature sensor using Fabry-Perot interferometry. Opt. Lett. 2015, 40, 1049–1052. [Google Scholar] [CrossRef] [PubMed]
- Ramakrishnan, M.; Rajan, G.; Semenova, Y.; Farrell, G. Overview of Fiber Optic Sensor Technologies for Strain/Temperature Sensing Applications in Composite Materials. Sensors 2016, 16, 99. [Google Scholar] [CrossRef] [PubMed]
- Zhao, M.; Jiang, K.; Bai, H.; Wang, H.; Wei, X. A MEMS based Fabry–Perot accelerometer with high resolution. Microsyst. Technol. 2020, 26, 1961–1969. [Google Scholar] [CrossRef]
- Nie, Y.; Huang, K.; Yang, J.; Cao, L.; Cheng, L.; Wang, Q.; Tian, H.; Peihua, W.; Heng, L. A Proposal to Enhance High-Frequency Optical MEMS Accelerometer Sensitivity Based on a One-Dimensional Photonic Crystal Wavelength Modulation System. IEEE Sens. J. 2020, 20, 14639–14645. [Google Scholar] [CrossRef]
- Shotorban, A.K.N.; Jafari, K.; Abedi, K. Optical MEMS accelerometer sensor relying on a micro-ring resonator and an elliptical disk. IET Circuits Devices Syst. 2019, 13, 1102–1106. [Google Scholar] [CrossRef]
- Zandi, K.; Belanger, J.A.; Peter, Y.-A. Design and Demonstration of an In-Plane Silicon-on-Insulator Optical MEMS Fabry–Perot-Based Accelerometer Integrated with Channel Waveguides. J. Microelectromech. Syst. 2012, 21, 1464–1470. [Google Scholar] [CrossRef]
- Corres, J.M.; Bravo, J.; Arregui, F.J.; Matias, I.R. Vibration monitoring in electrical engines using an in-line fiber etalon. Sens. Actuators A Phys. 2006, 132, 506–515. [Google Scholar] [CrossRef]
- Sheikhaleh, A.; Abedi, K.; Jafari, K. A Proposal for an Optical MEMS Accelerometer Relied on Wavelength Modulation With One Dimensional Photonic Crystal. J. Light. Technol. 2016, 34, 5244–5249. [Google Scholar] [CrossRef]
- Liu, B.; Zhou, H.; Liu, L.; Wang, X.; Shan, M.; Jin, P.; Zhong, Z. An Optical Fiber Fabry-Perot Microphone Based on Corrugated Silver Diaphragm. IEEE Trans. Instrum. Meas. 2018, 67, 1994–2000. [Google Scholar] [CrossRef]
- Gong, Z.; Chen, K.; Zhou, X.; Yang, Y.; Zhao, Z.; Zou, H.; Yu, Q. High-Sensitivity Fabry-Perot Interferometric Acoustic Sensor for Low-Frequency Acoustic Pressure Detections. J. Light. Technol. 2017, 35, 5276–5279. [Google Scholar] [CrossRef]
- Liu, Q.; Li, A.; Liu, Y.; Jing, Z.; Peng, W. TWDM-Assisted Active Quadrature Demodulation of Fiber-Optic Fabry–Perot Acoustic Sensor Network. J. Light. Technol. 2021, 39, 3991–3997. [Google Scholar] [CrossRef]
- Tian, B.; Zhan, F.; Han, F.; Li, K.; Zhao, N.; Yang, N.; Jiang, Z. An optical fiber Fabry–Perot micro-pressure sensor based on beam-membrane structure. Meas. Sci. Technol. 2018, 29, 125104. [Google Scholar] [CrossRef]
- Jia, P.G.; Wang, D.H. Self-calibrated non-contact fiber-optic Fabry-Perot interferometric vibration displacement sensor system using laser emission frequency modulated phase generated carrier demodulation scheme. Meas. Sci. Technol. 2012, 23, 115201. [Google Scholar] [CrossRef]
- Claus, R.O.; Tuck, C.J.; Fernando, G.F.; Spillman, J.W.B. Multiplexed optical fiber Fabry-Perot sensors for strain metrology. In Proceedings of the Smart Structures and Materials 1999: Sensory Phenomena and Measurement Instrumentation for Smart Structures and Materials, Newport Beach, CA, USA, 31 May 1999; pp. 322–329. [Google Scholar]
- Hungund, A.P.; Zhang, B.; Nambisan, A.; Naku, W.; II, R.E.G.; Huang, J. Chemical Classification by Monitoring Liquid Evaporation Using Extrinsic Fabry-Perot Interferometer with Microwave Photonics. J. Light. Technol. 2023, 1–14. [Google Scholar] [CrossRef]
- Feng, X.; Jiang, Y.; Zhang, H. A mechanical amplifier based high-finesse fiber-optic Fabry–Perot interferometric sensor for the measurement of static magnetic field. Meas. Sci. Technol. 2021, 32, 125106. [Google Scholar] [CrossRef]
- Leng, J.; Asundi, A. Structural health monitoring of smart composite materials by using EFPI and FBG sensors. Sens. Actuators A Phys. 2003, 103, 330–340. [Google Scholar] [CrossRef]
- Poeggel, S.; Tosi, D.; Fusco, F.; Ippolito, J.; Lupoli, L.; Mirone, V.; Sannino, S.; Leen, G.; Lewis, E. Fiber-Optic EFPI Pressure Sensors for In Vivo Urodynamic Analysis. IEEE Sens. J. 2014, 14, 2335–2340. [Google Scholar] [CrossRef]
- Wang, S.; Wang, J.; Li, W.; Liu, Y.; Li, J.; Jia, P. A MEMS-Based High-Fineness Fiber-Optic Fabry–Perot Pressure Sensor for High-Temperature Application. Micromachines 2022, 13, 763. [Google Scholar] [CrossRef]
- Qi, X.; Wang, S.; Jiang, J.; Liu, K.; Wang, X.; Yang, Y.; Liu, T. Fiber Optic Fabry-Perot Pressure Sensor with Embedded MEMS Micro-Cavity for Ultra-High Pressure Detection. J. Light. Technol. 2019, 37, 2719–2725. [Google Scholar] [CrossRef]
- Gutierrez-Rivera, M.; Jauregui-Vazquez, D.; Garcia-Mina, D.F.; Sierra-Hernandez, J.M.; Estudillo-Ayala, J.M.; Almanee, M.; Rojas-Laguna, R. Fiber Optic Fabry-Perot Micro-Displacement Sensor Based on Low-Cost Polymer Film. IEEE Sens. J. 2020, 20, 4719–4725. [Google Scholar] [CrossRef]
- Li, A.; Jing, Z.G.; Liu, Y.Y.; Liu, Q.; Huang, Z.Y.; Cheng, Y.; Zhang, Y.; Han, M.; Peng, W. Quadrature operating point stabilizing technique for fiber-optic Fabry–Perot sensors using vernier-tuned distributed Bragg reflectors laser. IEEE Sens. J. 2021, 21, 2084–2091. [Google Scholar] [CrossRef]
- Wang, T.T.; Wang, M.; Li, M.; Lu, M. Dual-wavelength demodulation and wavelength optimization for optical fiber Fabry-Perot sensor. Acta Opt. Sin. 2005, 10, 3–7. [Google Scholar]
- Murphy, K.A.; Gunther, M.F.; Wang, A.; Claus, R.O.; Vengsarkar, A.M. Extrinsic Fabry-Perot optical fiber sensor. In Proceedings of the 8th Optical Fiber Sensors Conference, Monterey, CA, USA, 29–31 January 1992. [Google Scholar]
- Huang, L.R.; Wang, W.; Wang, Z.; Dong, X.L.; Liu, B. Research on DC compensation demodulation technology for optical fiber F-P sound pressure sensor. J. Astronaut. Metrol. Meas. 2022, 42, 50–54. [Google Scholar]
- Wu, Y.; Xia, L.; Wu, N.S.; Wang, Z.Y.; Zuo, G.M. Optimized feedforward neural network for multiplexed extrinsic Fabry-Perot sensors demodulation. J. Light. Technol. 2021, 39, 4564–4569. [Google Scholar] [CrossRef]
- Tao, J.; Chen, Y.L.; Lu, J.Q. Method of the cavity length demodulation for optical fiber F-P sensors based on sparse fast Fourier transform. Chin. J. Lasers 2018, 5, 222–228. [Google Scholar]
- Mei, J.W.; Xiao, X.S.; Yang, C.X. High-resolution and large dynamic range fiber extrinsic Fabry–Perot sensing by multi-extrema-tracing technique. Appl. Opt. 2015, 54, 3677–3681. [Google Scholar] [CrossRef]
- Cao, Q.; Jia, P.G.; Yang, B.; Zhang, H.R.; Hong, Y.P.; Xiong, J.J. Study of improved algorithm about data demodulation of fiber optic F-P pressure sensing system. Instrum. Tech. Sens. 2015, 12, 15–18. [Google Scholar]
- Zhang, P. Research on Demodulation Technology of Short-Cavity Interferometric Fiber Optic Fabry-Perot Pressure Sensors. Master’s Thesis, Nanjing University of Information Science and Technology, Nanjing, China, 2021. [Google Scholar]
- Lin, Q.; Chen, L.H.; Li, S.; Wu, X. A high-resolution fiber optic accelerometer based on intracavity phase-generated carrier (PGC) modulation. Meas. Sci. Technol. 2011, 22, 015303. [Google Scholar] [CrossRef]
- Hou, C.B.; Guo, S. Automatic carrier phase delay synchronization of PGC demodulation algorithm in fiber-optic interferometric sensors. KSII Trans. Internet Inf. Syst. 2020, 14, 2891–2903. [Google Scholar]
- Jia, J.S.; Jiang, Y.; Gao, H.C.; Zhang, L.C.; Jiang, Y. Three-wavelength passive demodulation technique for the interrogation of EFPI sensors with arbitrary cavity length. Opt. Express 2019, 27, 8890–8899. [Google Scholar] [CrossRef] [PubMed]
- Liu, Q.; Jing, Z.G.; Xia, Z.J.; Huang, Z.Y.; Peng, W. Fiber-optic ultrasonic sensing via quasi-continuous quadrature frequency modulation. IEEE Photonics Technol. Lett. 2020, 32, 1385–1388. [Google Scholar] [CrossRef]












Disclaimer/Publisher’s Note: The statements, opinions and data contained in all publications are solely those of the individual author(s) and contributor(s) and not of MDPI and/or the editor(s). MDPI and/or the editor(s) disclaim responsibility for any injury to people or property resulting from any ideas, methods, instructions or products referred to in the content. |
© 2023 by the authors. Licensee MDPI, Basel, Switzerland. This article is an open access article distributed under the terms and conditions of the Creative Commons Attribution (CC BY) license (https://creativecommons.org/licenses/by/4.0/).
Share and Cite
Liu, Z.; Yao, Q.; Xia, J.; Liu, G.; Xiong, S.; Hou, Q. Five-Step Phase-Shift-Based Multiwavelength Averaging for Extrinsic Fabry–Perot Interferometric Sensors. Photonics 2023, 10, 1076. https://doi.org/10.3390/photonics10101076
Liu Z, Yao Q, Xia J, Liu G, Xiong S, Hou Q. Five-Step Phase-Shift-Based Multiwavelength Averaging for Extrinsic Fabry–Perot Interferometric Sensors. Photonics. 2023; 10(10):1076. https://doi.org/10.3390/photonics10101076
Chicago/Turabian StyleLiu, Zheng, Qiong Yao, Ji Xia, Gang Liu, Shuidong Xiong, and Qingkai Hou. 2023. "Five-Step Phase-Shift-Based Multiwavelength Averaging for Extrinsic Fabry–Perot Interferometric Sensors" Photonics 10, no. 10: 1076. https://doi.org/10.3390/photonics10101076
APA StyleLiu, Z., Yao, Q., Xia, J., Liu, G., Xiong, S., & Hou, Q. (2023). Five-Step Phase-Shift-Based Multiwavelength Averaging for Extrinsic Fabry–Perot Interferometric Sensors. Photonics, 10(10), 1076. https://doi.org/10.3390/photonics10101076

