Consequences of the Construction of a Small Dam on the Water Quality of an Urban Stream in Southeastern Brazil
Abstract
1. Introduction
2. Materials and Methods
2.1. Sampling Design
2.2. Statistical Analyses
3. Results
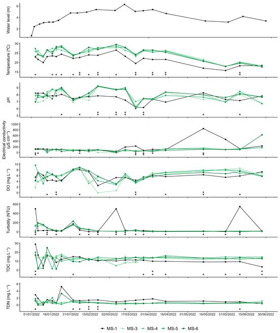
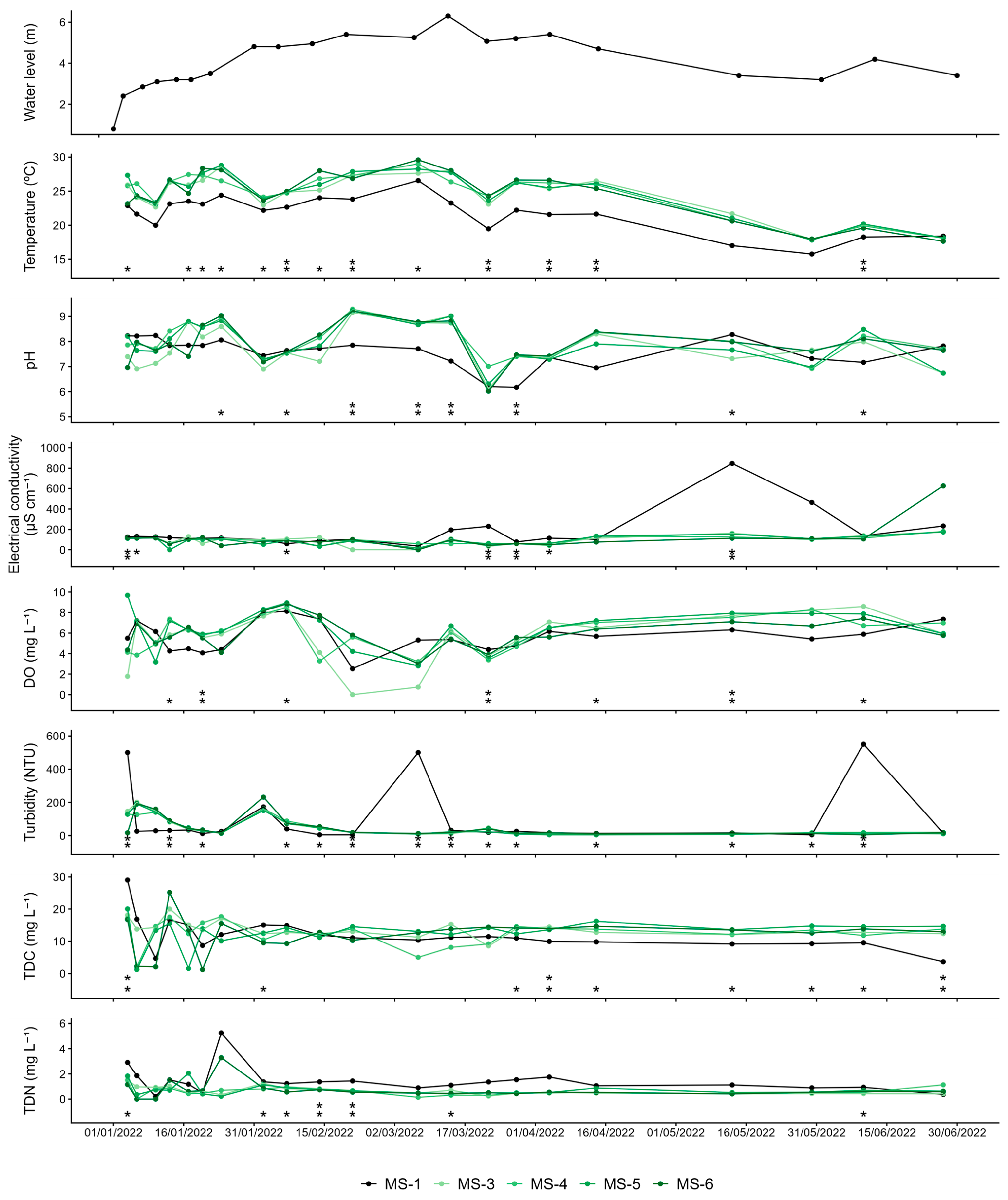
3.1. The Reservoir Filling Period
3.2. Spatial and Temporal Water Quality Patterns in the Stream and Reservoir
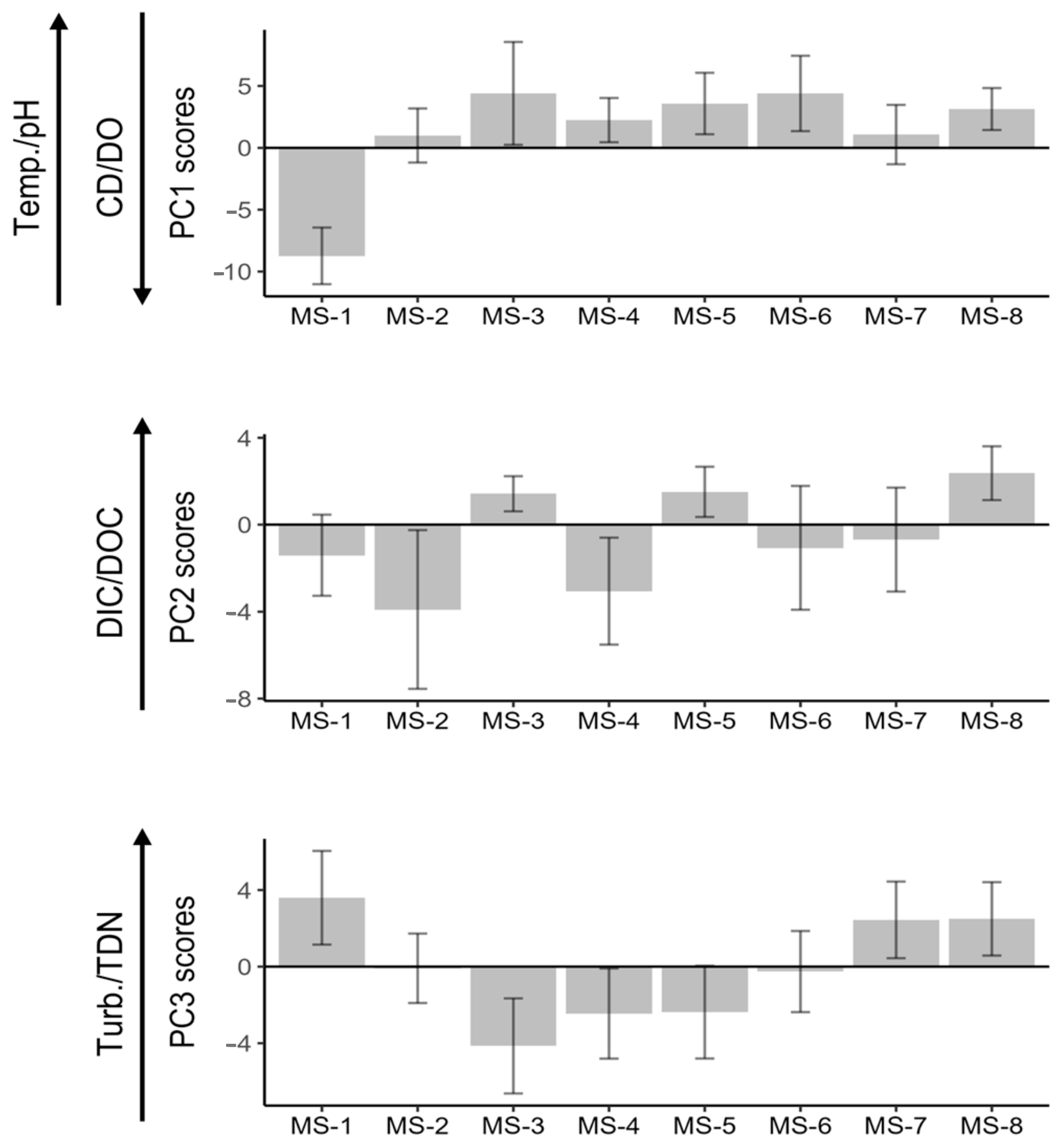
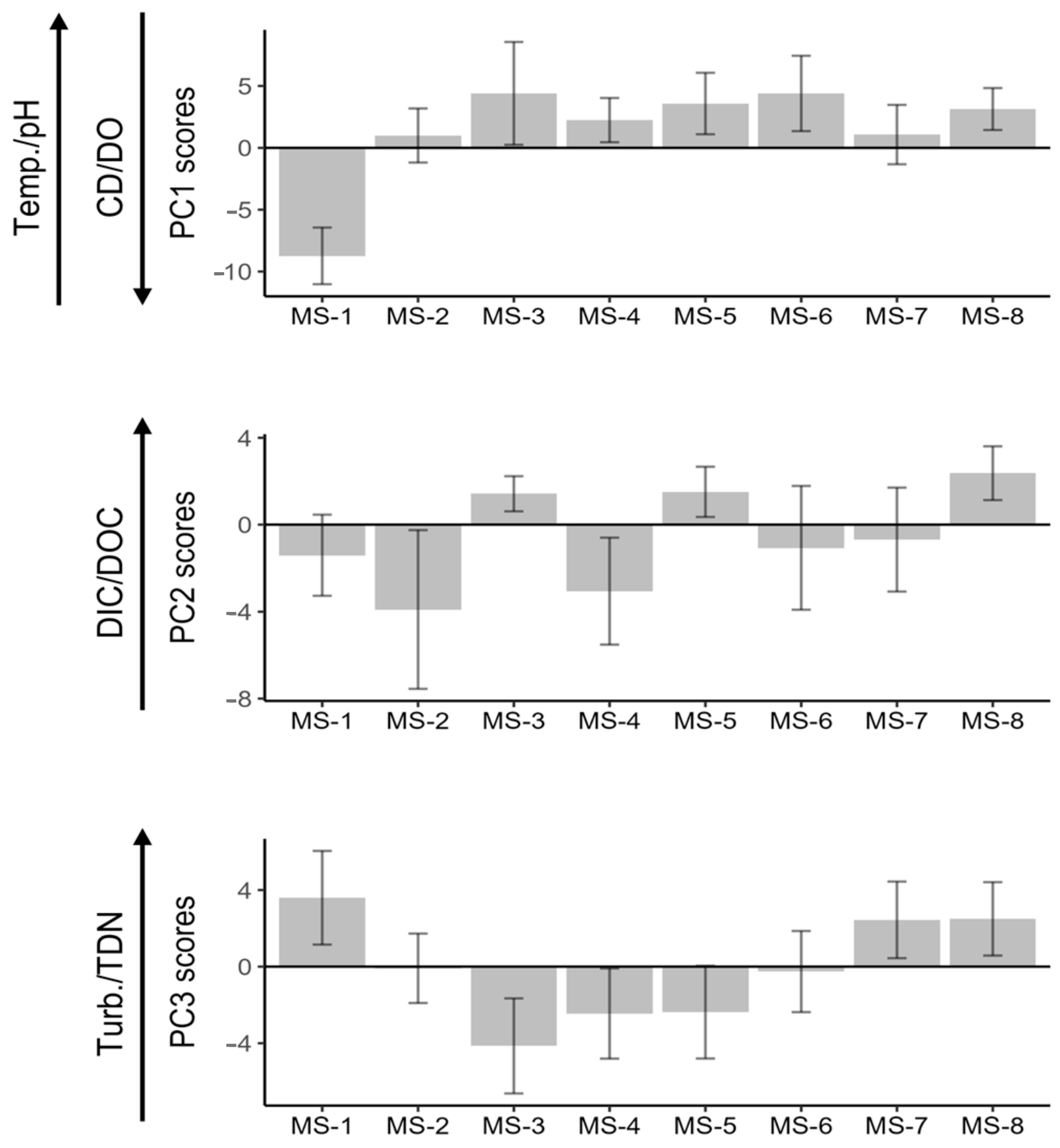
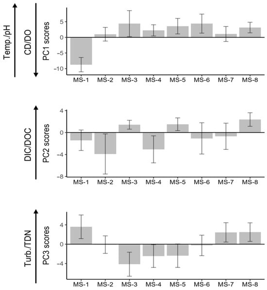
3.3. Multivariate Analysis of Water Quality Patterns in the Stream and Reservoir
3.4. Comparison Between Surface and Bottom Regarding Basic Physicochemical Variables and Nutrients in the Reservoir
4. Discussion
5. Conclusions
Supplementary Materials
Author Contributions
Funding
Data Availability Statement
Acknowledgments
Conflicts of Interest
References
- Javier, A.; Alonso, J.A. Promoting global access to water and sanitation: A supply and demand perspective. Water Resour. Econ. 2022, 39, 100194. [Google Scholar] [CrossRef]
- Green, P.A.; Vörösmarty, C.J.; Harrison, I.; Farrell, T.; Sáenz, L.; Fekete, B.M. Freshwater ecosystem services supporting humans: Pivoting from water crisis to water solutions. Glob. Environ. Change 2015, 34, 108–118. [Google Scholar] [CrossRef]
- Salehi, M. Global water shortage and potable water safety; Today’s concern and tomorrow’s crisis. Environ. Int. 2022, 158, 106936. [Google Scholar] [CrossRef]
- Marengo, J.A.; Alves, L.M. Crise hídrica em São Paulo em 2014: Seca e desmatamento. GEOUSP Espaço Tempo (Online) 2015, 19, 485–494. [Google Scholar] [CrossRef]
- Buurman, J.; Mens, M.J.; Dahm, R.J. Strategies for urban drought risk management: A comparison of 10 large cities. Int. J. Water Resour. Dev. 2017, 33, 31–50. [Google Scholar] [CrossRef]
- Guzmán, D.A.; Mohor, G.S.; Mendiondo, E.M. Multi-driver ensemble to evaluate the water utility business interruption cost induced by hydrological drought risk scenarios in Brazil. Urban Water J. 2023, 20, 1517–1531. [Google Scholar] [CrossRef]
- Morden, R.; Horne, A.; Bond, N.R.; Nathan, R.; Olden, J.D. Small artificial impoundments have big implications for hydrology and freshwater biodiversity. Front. Ecol. Environ. 2022, 20, 141–146. [Google Scholar] [CrossRef]
- Abbott, K.M.; Zaidel, P.A.; Roy, A.H.; Houle, K.M.; Nislow, K.H. Investigating impacts of small dams and dam removal on dissolved oxygen in streams. PLoS ONE 2022, 17, e0277647. [Google Scholar] [CrossRef]
- Cui, T.; Tian, F.; Yang, T.; Wen, J.; Khan, M.Y.A. Development of a comprehensive framework for assessing the impacts of climate change and dam construction on flow regimes. J. Hydrol. 2020, 590, 125358. [Google Scholar] [CrossRef]
- Maavara, T.; Chen, Q.; Van Meter, K.; Brown, L.E.; Zhang, J.; Ni, J.; Zarfl, C. River dam impacts on biogeochemical cycling. Nat. Rev. Earth Environ. 2020, 1, 103–116. [Google Scholar] [CrossRef]
- Rosenberg, D.M.; Bodaly, R.A.; Usher, P.J. Environmental and social impacts of large-scale hydroelectric development: Who is listening? Glob. Environ. Change 1995, 5, 127–148. [Google Scholar] [CrossRef]
- Winton, R.S.; Calamita, E.; Wehrli, B. Reviews and syntheses: Dams, water quality and tropical reservoir stratification. Biogeosciences 2019, 16, 1657–1671. [Google Scholar] [CrossRef]
- Silveira, N.; Tibúrcio, I.; Soares, G.; Galvíncio, J.; Santos, D.; Montenegro, S. Temporal analysis of water quality for the Nilo Coelho Reservoir, Terra Nova, Pernambuco, Brazil. Water 2023, 15, 2899. [Google Scholar] [CrossRef]
- Deemer, B.R.; Harrison, J.A.; Li, S.; Beaulieu, J.J.; DelSontro, T.; Barros, N.; Bezerra-Neto, J.F.; Powers, S.M.; Dos Santos, M.A.; Vonk, J.A. Greenhouse gas emissions from reservoir water surfaces: A new global synthesis. BioScience 2016, 66, 949–964. [Google Scholar] [CrossRef] [PubMed]
- Instituto Brasileiro de Geografia e Estatística (IBGE). Louveira (SP). 2023. Available online: https://www.ibge.gov.br/cidades-e-estados/sp/louveira.html (accessed on 11 September 2025).
- Comitê da Bacia Hidrográfica dos Rios Piracicaba, Capivari e Jundiaí (CBH-PCJ). Relatório de Situação dos Recursos Hídricos das Bacias PCJ 2022—Ano Base 2022. Available online: https://www.comitespcj.org.br (accessed on 11 September 2025).
- Alvares, C.A.; Stape, J.L.; Sentelhas, P.C.; Gonçalves, J.D.M.; Sparovek, G. Köppen’s climate classification map for Brazil. Meteorol. Z. 2013, 22, 711–728. [Google Scholar] [CrossRef]
- Departamento de Águas e Energia Elétrica (DAEE). Sistema Integrado de Bacias Hidrográficas—Dados Pluviométricos de Louveira/SP para 2022. Available online: https://sibh.daee.sp.gov.br (accessed on 11 September 2025).
- Instituto de Pesquisas Tecnológicas (IPT). Elaboração de Diagnóstico e Proposição de Diretrizes Quanto ao Uso e Ocupação do Solo, Cobertura Vegetal e Recursos Hídricos na Bacia do Córrego Santo Antônio, Louveira, SP; Instituto de Pesquisas Tecnológicas (IPT): São Paulo, Brazil, 2020. [Google Scholar]
- Legendre, P.; Legendre, L. Numerical Ecology, 3rd ed.; Elsevier: Amsterdam, The Netherlands, 2012. [Google Scholar]
- Jolliffe, I.T.; Cadima, J. Principal component analysis: A review and recent developments. Philos. Trans. R. Soc. A 2016, 374, 20150202. [Google Scholar] [CrossRef]
- Zar, J.H. Biostatistical Analysis, 5th ed.; Pearson Prentice Hall: Upper Saddle River, NJ, USA, 2010. [Google Scholar]
- Salmaso, N.; Padisák, J. Morpho-functional groups and phytoplankton development in two deep lakes (Lake Garda, Italy and Lake Stechlin, Germany). Hydrobiologia 2007, 578, 97–112. [Google Scholar] [CrossRef]
- Hammer, Ø.; Harper, D.A.T.; Ryan, P.D. PAST: Paleontological statistics software package for education and data analysis. Palaeontol. Electron. 2001, 4, 9. [Google Scholar]
- Premalatha, M.; Abbasi, T.; Abbasi, S.A. A critical view on the eco-friendliness of small hydroelectric installations. Sci. Total Environ. 2014, 481, 638–643. [Google Scholar] [CrossRef]
- Soares, M.C.S.; Marinho, M.M.; Huszar, V.L.M.; Branco, C.W.C.; Azevedo, S.M. The effects of water retention time and watershed features on the limnology of tropical reservoirs. Hydrobiologia 2008, 603, 241–254. [Google Scholar] [CrossRef]
- Habets, F.; Molénat, J.; Carluer, N.; Douez, O.; Leenhardt, D. The cumulative impacts of small reservoirs on hydrology: A review. Sci. Total Environ. 2018, 643, 850–867. [Google Scholar] [CrossRef]
- Wetzel, R.G. Limnology: Lake and River Ecosystems, 3rd ed.; Academic Press: San Diego, CA, USA, 2001. [Google Scholar]
- Jurik, L.; Húska, D.; Halászová, K.; Bandlerová, A. Small water reservoirs–sources of water or problems? J. Ecol. Eng. 2015, 16, 22–28. [Google Scholar] [CrossRef]
- Whitney, C.T.; Wollheim, W.M.; Gold, A.J.; Buonpane, J.M. Small reservoirs as nitrogen transformers: Accounting for seasonal variability in inorganic and organic nitrogen processing. J. Geophys. Res. Biogeosci. 2023, 128, e2023JG007635. [Google Scholar] [CrossRef]
- Harrison, J.A.; Maranger, R.; Alexander, R.B.; Boyer, E.W.; Jordan, T.E.; Mayer, P.M. The regional and global significance of nitrogen removal in lakes and reservoirs. Biogeochemistry 2009, 93, 143–157. [Google Scholar] [CrossRef]
- Połomski, M.; Wiatkowski, M. Impounding reservoirs, benefits and risks: A review of environmental and technical aspects of construction and operation. Sustainability 2023, 15, 16020. [Google Scholar] [CrossRef]
- Belico, J.C.B. Impacts of Rainfall Events on the Physical-Chemical and Biological Dynamics in Urban Reservoirs: Case Study Lagoa da Pampulha. Master’s Thesis, Federal University of Minas Gerais, Belo Horizonte, Brazil, 2017. [Google Scholar]
- Soomro, S.E.H.; Shi, X.; Guo, J.; Ke, S.; Hu, C.; Asad, M.; Boota, M.W. Are global influences of cascade dams affecting river water temperature and fish ecology? Appl. Water Sci. 2023, 13, 106. [Google Scholar] [CrossRef]
- Ellis, E.A.; Allen, G.H.; Riggs, R.M.; Gao, H.; Li, Y.; Carey, C.C. Bridging the divide between inland water quantity and quality with satellite remote sensing: An interdisciplinary review. WIREs Water 2024, 11, e1725. [Google Scholar] [CrossRef]
- Mioduszewski, W. Small water reservoirs–their function and construction. J. Water Land Dev. 2012, 17, 45–52. [Google Scholar] [CrossRef]
- Chong, X.Y.; Vericat, D.; Batalla, R.J.; Teo, F.Y.; Lee, K.S.P.; Gibbins, C.N. A review of the impacts of dams on the hydromorphology of tropical rivers. Sci. Total Environ. 2021, 794, 148686. [Google Scholar] [CrossRef]






| MONITORING STATION | LATITUDE | LONGITUDE | FLUVIAL CHARACTERISTICS | PHYSICOCHEMICAL PARAMETERS | NUTRIENTS | ||||
|---|---|---|---|---|---|---|---|---|---|
| Riverine | Transition Zone | Lacustrine | Subsurface | Profiling | Subsurface | Bottom | |||
| MS-1 | 23°5′25.27″ S | 46°55′48.23″ W | X | --- | --- | X | --- | X | --- |
| MS-2 | 23°5′29.68″ S | 46°56′15.28″ W | X | --- | --- | X | --- | X | --- |
| MS-3 | 23°5′27.25″ S | 46°56′25.12″ W | --- | X | --- | X | X | X | X |
| MS-4 | 23°5′27.87″ S | 46°56′33.38″ W | --- | --- | X | X | X | X | X |
| MS-5 | 23°5′24.53″ S | 46°56′29.54″ W | --- | --- | X | X | X | X | X |
| MS-6 | 23°5′24.88″ S | 46°56′40.86″ W | --- | --- | X | X | X | X | X |
| MS-7 | 23°5′20.63″ S | 46°56′45.37″ W | X | --- | --- | X | --- | X | --- |
| MS-8 | 23°5′18.13″ S | 46°56′48.00″ W | X | --- | --- | X | --- | X | --- |
Disclaimer/Publisher’s Note: The statements, opinions and data contained in all publications are solely those of the individual author(s) and contributor(s) and not of MDPI and/or the editor(s). MDPI and/or the editor(s) disclaim responsibility for any injury to people or property resulting from any ideas, methods, instructions or products referred to in the content. |
© 2025 by the authors. Licensee MDPI, Basel, Switzerland. This article is an open access article distributed under the terms and conditions of the Creative Commons Attribution (CC BY) license (https://creativecommons.org/licenses/by/4.0/).
Share and Cite
do Rosário, L.G.; Taniwaki, R.H.; Schiesari, L.C. Consequences of the Construction of a Small Dam on the Water Quality of an Urban Stream in Southeastern Brazil. Limnol. Rev. 2025, 25, 48. https://doi.org/10.3390/limnolrev25040048
do Rosário LG, Taniwaki RH, Schiesari LC. Consequences of the Construction of a Small Dam on the Water Quality of an Urban Stream in Southeastern Brazil. Limnological Review. 2025; 25(4):48. https://doi.org/10.3390/limnolrev25040048
Chicago/Turabian Styledo Rosário, Lucas Galli, Ricardo Hideo Taniwaki, and Luis César Schiesari. 2025. "Consequences of the Construction of a Small Dam on the Water Quality of an Urban Stream in Southeastern Brazil" Limnological Review 25, no. 4: 48. https://doi.org/10.3390/limnolrev25040048
APA Styledo Rosário, L. G., Taniwaki, R. H., & Schiesari, L. C. (2025). Consequences of the Construction of a Small Dam on the Water Quality of an Urban Stream in Southeastern Brazil. Limnological Review, 25(4), 48. https://doi.org/10.3390/limnolrev25040048

