Abstract
In this study, the solution of the buckling problem of axially loaded laminated cylindrical shells consisting of functionally graded (FG) nanocomposites in elastic and thermal environments is presented within extended first-order shear deformation theory (FOST) for the first time. The effective material properties and thermal expansion coefficients of nanocomposites in the layers are computed using the extended rule of mixture method and molecular dynamics simulation techniques. The governing relations and equations for laminated cylindrical shells consisting of FG nanocomposites on the two-parameter elastic foundation and in thermal environments are mathematically modeled and solved to find the expression for the axial buckling load. The numerical results of the current analytical approach agree well with the existing literature results obtained using a different methodology. Finally, some new results and interpretations are provided by investigating the influences of different parameters such as elastic foundations, thermal environments, FG nanocomposite models, shear stress, and stacking sequences on the axial buckling load.
Keywords:
FG nanocomposite orthotropic material; cross-ply cylindrical shells; stability; thermal environment; two-parameter elastic foundation; axial buckling load MSC:
74E05; 74E10; 74H55; 74K25; 74F05; 74G10
1. Introduction
The use of laminated cylindrical structural elements on elastic foundations and in thermal environments is frequently encountered in advanced technologies. For the correct formulation of engineering problems regarding structural elements consisting of new or traditional composites on elastic soils, the accurate and realistic mathematical modeling of their interactions is very important. There are various models in the literature that describe the interaction between the behavior of structural elements on the ground and the behavior of the ground itself. The first mathematical model for elastic soil was proposed by Winkler, and the theoretical principles of one-parameter elastic soil were determined [1]. Since the Winkler foundation model was inadequate in some cases, researchers developed various foundation models such as the Hetenyi model, Vlassov and Leontev model, Kerr model, Filonenko–Borodich model, and the Pasternak model to describe the ground continuous environment more realistically [2,3,4,5]. One of the most realistic and useful of those models was suggested by Pasternak, and that model will be used in this study. In the Pasternak model, the shear layer, consisting of elements that can only perform vertical displacement and are not compressed, was considered on the springs in the Winkler model [6].
Laminated cylindrical shells used in various branches of contemporary engineering may be exposed to axial compressive loads when operating in elastic and thermal environments. Since the load-carrying capacity of cylindrical shells is determined mainly by buckling, determining the optimal value of the mechanical loads acting on them in elastic and thermal environments is very important in terms of design [7]. Comprehensive and fundamental studies on the theory and applications of laminated homogeneous shells are included in the books of Ambartsumian [8] and Reddy [9]. The first studies on the buckling behavior of axially loaded laminated homogeneous orthotropic composite cylindrical shells were performed without considering the effects of the ground and thermal environments [10,11,12,13]. There are some studies on the buckling behavior of axially loaded laminated homogeneous orthotropic composite cylindrical shells in elastic and/or thermal environments [14,15].
The discovery of carbon nanotubes (CNTs) has led to the formation of polymer, metal, ceramic, and other matrix-based nanocomposites. In the last two decades, great attention has been paid to the development of polymer nanocomposites in which at least one of the filler dimensions is in the nanometer range. There are many studies focusing on the modeling of polymer-based nanocomposites via molecular dynamics simulation techniques [16,17,18,19]. The mentioned studies have shown that molecular modeling techniques are effective in predicting both the structure and elastic mechanical properties of polymer-based nanocomposites. Polymer-based nanocomposites have outstanding mechanical, thermal, chemical, and physical properties proven by numerous studies [20,21,22,23,24,25]. In those studies, a comprehensive review of the basic concepts, synthesis, technologies, and applications of polymer nanocomposites is presented. A more effective way to improve the buckling capacity of CNT-reinforced structures in different environments is to use CNTs in FG, with the idea of including it in the concept. Shen [26] introduced the concept of FG-CNT-reinforced composite material, which is obtained by functionally dispersing aligned and flat single-walled CNTs in an isotropic polymer matrix. This study has led to new scientific research [27,28,29,30,31,32,33,34]. Nevertheless, the number of publications on the buckling problem of laminated nanocomposite unconstrained structural elements in thermal environments is limited [35,36,37], and the number of similar studies considering both soil and thermal effects is also quite limited [38,39,40]. In recent years, 3D non-local solution methods have been developed for multilayer functionally graded shells with a layer-based approach and the differential quadrature method (DQM) [41,42,43]. These studies will lead to more realistic results in the future investigation of the behavior of new-generation multilayer heterogeneous structural elements.
Based on the literature review and the authors’ knowledge, the buckling behavior of axially loaded cross-ply laminated cylindrical shells consisting of nanocomposite plies subjected to elastic and thermal media has not been sufficiently investigated in the framework of the extended FOST so far. The shear deformation shell theory for homogeneous orthotropic materials [8], which was extended to laminated functionally graded nanocomposite orthotropic shells by Sofiyev [35], is used in this study. The extended FOST can accurately predict the structural responses (buckling and vibration) of laminated shells prepared from layers of FG nanocomposite materials. Generally, one of the most important advantages of this theory is that it does not require the use of shear correction factors. The surrounding elastic soil is modeled as the two-parameter elastic foundation or the Pasternak-type elastic foundation. The material of each lay-up is assumed to be linearly elastic, orthotropic, reinforced with CNTs, and vary with temperature. The buckling behavior of cross-ply laminated cylindrical shells made of FG nanocomposite material plies is based on the extended ST. Numerical examples demonstrate the buckling response of axially loaded laminated anisotropic cylindrical nanocomposite shells on elastic foundations and in thermal environments. The analysis of shells resting on elastic soil is carried out by three-stage modeling. First, the appropriate soil model that best represents the mutual behavior of the shell and the soil is selected, the characteristic quantities of the soil and the shell are determined realistically, and then the problem is solved by mathematical modeling using the data obtained.
The structure of this paper is as follows: Section 2 is on the mathematical modeling of soil and thermo-mechanical properties of nanocomposite layers. In Section 3, the governing equations of laminated FG nanocomposite cylindrical shells are introduced. Section 4 includes the boundary conditions and solution procedure. Section 5 covers the numerical analyses and their interpretations, and Section 6 covers the conclusions.
2. Mathematical Modeling
Consider a moderately thick laminated cylindrical shell with a total thickness consisting of functionally graded nanocomposite orthotropic plies of identical thickness , subjected to an axial load , where are the pre-buckling load resultants. The dimensions and coordinate system of the laminated cylindrical shell on the elastic foundation are plotted in Figure 1. The displacement ( and ) coordinates are , , and z, respectively, for axial, circumferential, and thickness directions (Figure 1). The laminated cylindrical shell has dimensions and , which specify the length and radius, respectively. and are the rotations of normal to the mid-surface versus the - and -axes, respectively. The elastic foundation represented by the two-parameter foundation model, i.e., reaction of the foundation, is assumed to be [2,3,4,5,6]
where commas indicate partial derivatives with respect to coordinates, indicates the force per unit area, and and indicate the Winkler foundation stiffness and the shearing layer coefficient of the foundation, respectively. Let be the stress function for forced defined by [8,9]
Figure 1.
Notation: (a) axially loaded cross-ply laminated cylindrical shell on the elastic foundation and coordinate system; (b) staking sequences.
The distribution scheme of CNTs along the shell thickness is either uniformly distributed (referred to U) or in the form of linear functions (referred to as and X). As shown in Figure 2, for the uniformly distributed CNT layer type (U), the CNTs are evenly distributed throughout the entire thickness; for the functionally graded CNT layer scheme X, the CNTs are concentrated in both the top and bottom regions; while for the functionally graded CNT layer scheme , the CNTs are concentrated in the center regions. The dispersion schemes of CNTs in the layers visually presented in Figure 2 are mathematically defined as follows [26,35,36,37,38]:
where is the volume fraction of the -ply and computed as
in which , , and are the mass fraction of CNTs and the densities of CNTs and the polymer phase in the -ply, respectively.
Figure 2.
Dispersion schemes of CNTs in the layers.
The material properties and thermal expansion coefficients of the FG nanocomposite orthotropic material in the layer are defined by [35,36,37,38]
where , and are the Young and shear moduli and the thermal expansion coefficients of the CNT and polymer, respectively. In Equation (3), denotes the efficiency parameters of CNT in the lay-up, which draw the scale-dependent material properties of CNTs. Their evaluation is achieved by matching the Young modulus of FG nanocomposite plies observed from the molecular dynamic simulations [16,17,18,19].
According to the extended rule of mixture, the Poisson ratio and density of the layers are assumed to be constant since they are weakly dependent on the temperature change and location, calculated as follows [26,35,36,37,38]:
3. Governing Equations
In this study, the buckling analysis of the cylindrical shells is discussed within the framework of the FOST. According to the FOST, the displacement components may be represented by [9]
where the displacements at the mid-surface are denoted by , and , and the rotations of a normal to the reference in the and directions are denoted by and , respectively.
The constitutive relationships for FG nanocomposite layers, which are functions of location and temperature together, used in the construction of the basic equations on the FOST basis are expressed as follows [35]:
where
in which , , and are the stresses and strains of the -ply consisting of FG nanocomposite materials, and is defined by
The variation in shear stresses along the thickness direction of the -ply consisting of the FG nanocomposites within the ST can be defined by [8,35]
where represents the shear stress shape functions on the piles.
The following expressions are obtained for the strains after the mathematical operations performed on Equations (8), (9) and (11) [35]:
where represent strains on the mid-surface and , defined as follows:
The relation of resultant forces and moments of laminated shells consisting of FG nanocomposite materials can be represented as follows [8,9,10]:
The relation for resultant thermal forces and moments used in the derivation of the basic equations is determined as follows [26,35]:
where is the reference temperature at which thermal strains do not yet exist, and represents the temperature rise from .
Based on extended Ambartsumian’s shear deformation theory [8,35], including shell–foundation interaction and thermal effects, the stability and compatibility equations for axially loaded laminated cylindrical shell consisting of FG nanocomposite plies resting on the two-parameter elastic foundation can be derived in terms of the stress function , two rotations and , and transverse displacement as follows:
For more details about the coefficients , , , and , the reader is referred to Appendix A.
4. Solution Procedure
The axially loaded simply supported laminated FG nanocomposite cylindrical shell corresponding boundary conditions are defined mathematically as follows [8,9]:
In order to satisfy the simply supported boundary conditions in Equation (16), the airy stress function, displacements, and rotations are mathematically sought as follows [8,9,35]:
where denotes unknown amplitudes, and and , in which are wave numbers.
By substituting (18) into (16) and then applying the Galerkin method, one obtains the following:
where are given in Appendix B.
The non-trivial solutions of homogenous algebraic Equation (19) are determined by equating the determinant of algebraic equations to zero as follows:
where
From Equation (20), the expression for the axial buckling load () on the two-parameter elastic foundation in thermal environments within the ST is as follows:
The expression for the nondimensional axial buckling load () on the two-parameter elastic foundation in thermal environments within FOST is defined by
where is the elasticity modulus of the matrix forming the single-layer cylindrical shell at .
In this special case, by ignoring the effect of transverse shear strains from the basic relations and following the similar solution procedure, the expression for the nondimensional axial buckling load () on the two-parameter elastic foundation and in thermal environments in the framework of the classical theory (CT) can be obtained:
The expressions for the nondimensional axial buckling load in the soilless case from Formulas (22) and (24) are obtained as .
5. Numerical Analyses
5.1. Initial Data
This section aims to explain the stability behavior of axially loaded cylindrical shells consisting of FG nanocomposite layers resting on the two-parameter elastic foundation and in thermal environments within the FOST and CT based on numerical analysis and interpretations.
The effective material properties of two-phase composites consisting of the mixture of CNTs and PMMA, whose short name is poly (methyl methacrylate), are estimated according to the modified extended rule of the mixture rule method. The PMMA properties in each layer are as follows: and . At the reference temperature, [26,33]. (10, 10) armchair single-walled carbon nanotubes (SWCNTs), with properties in each layer, are used as reinforcements, and the temperature-dependent material properties in the layers are evaluated as follows:
The magnitudes of the material properties and thermal expansion coefficients for of (10, 10) SWCNTs using Equation (25) are tabulated in Table 1.
Table 1.
Temperature-dependent material properties of (10, 10) SWCNTs.
The efficiency parameters are determined from the extended rule of the mixture method, and molecular dynamics simulation techniques were taken from the studies of [16,17,18,19], which are tabulated in Table 2. Since both PMMA/CNT and poly{(m-phenylenevinylene)-co-[(2,5-dioctoxy-p-phenylene) vinylene]} (PmPV)/CNT nanocomposites are used in the comparisons, the efficiency parameters of both are given in Table 2. At , the Young modulus of PmPV is , and other properties are the same as PMMA. The posteriori specified shape functions are defined by [8].
Table 2.
Magnitudes of efficiency parameters for two sets of .
5.2. Validation and Verification
In this subsection, the accuracy of the formulas obtained analytically is verified by comparing them with the results obtained using different theories and solution methodologies. The magnitudes of the axial buckling load of unconstrained single-layer cylindrical shells modeled with U- and X-shaped CNTs are listed in Table 3 for a comparison with the results of Shen [26] in thermal environments. It should be emphasized that in Shen’s study [26], Reddy’s higher-order shear deformation theory (HOST) is used [9]. A comparison was made with Shen’s study [26]. Since the axial buckling load in thermal environment is used as in Ref. [26], expression (24) in our study is multiplied by at The shell characteristics are , [26]. The elastic and thermal properties of the nanocomposite containing PMMA/CNT at different temperatures are presented in Table 1 and Table 2. As can be seen from Table 3, the minimum values of the axial buckling load of the U- and X-shaped CNT cylindrical shells within FOST obtained in our study at T(K) = 300, 500, and 700 are in good agreement with the results of Shen [26]. The numbers in parentheses are the wave numbers.
Table 3.
Comparison of axial buckling load of single-layer cylindrical shells with U and X schemes within ST.
The axial buckling load of the single-layer cylindrical shell panels consisting of FG nanocomposite material with the X shape on the elastic foundation and in thermal environments within the ST is compared with the results of Shen and Xiang [36] who used the HOST proposed by Reddy [9] in Table 4. The dimensionless ground coefficients are defined as
and geometric data are , and [36]. Since the axial buckling load on the elastic foundation and in thermal environments is used as in Ref. [36], expression (22) in our study is multiplied by . The elastic and thermal properties of the nanocomposite containing PMMA/CNT at = 300, 400, and 500 are presented in Table 1. A comparative assessment of the results is presented in Table 4. The good agreement between our results and the predictions in the literature confirms the robustness and accuracy of the proposed formulation.
Table 4.
Comparisons of axial buckling load (in KN) for monolayer cylindrical panels consisting of FG nanocomposite orthotropic material with the X shape resting on the elastic foundation and in thermal environments.
Table 5 compares the nondimensional axial buckling load () of the uniaxially loaded laminated flat panel consisting of U nanocomposite material (PmPV/CNT) plies with the (0°/90°/90°/0°) stacking sequence without elastic foundation with the results of Lei et al. [37] and Chakraborty et al. [38] using different solution methodologies for different , and the necessary parameters are set to be ( ). It is seen that our results are in good agreement with the results of Lei et al. [37], who used the FOST and the meshless kp-Ritz method, and with the results of Chakraborty et al. [38], who used the HOST proposed by Reddy [9].
Table 5.
Comparisons of nondimensional axial buckling load (in kN) for unconstrained laminated flat panels consisting of U nanocomposite orthotropic material (PmPV/CNT) with (0°/90°/90°/0°) tacking sequence at .
The unique micromechanical model developed for laminated FG nanocomposite (PMMA/CNT) cylindrical shells is applied to investigate the nondimensional axial buckling load values depending on the variation in parameters such as soil, material, shear stress, temperature, stacking sequences, and geometry together and separately:
Since the wave number in the direction is equal to one (), it is not included in the tables. The shells with (0°) or SL1, (0°/90°/0°) or L31, (90°/0°/90°) or L32, (0°/90°/90°/0°) or L41, or (90°/0°/0°/90°) or the L42 array are used in the next step (Figure 3).
Figure 3.
Cross-section of total thickness of cross-ply laminated cylindrical shells and their stacking sequences.
5.3. Parametric Study
In this subsection, the influences of various factors such as layer arrangement and number, pattern models in each layer, thermal environment, and elastic foundation on the axial buckling load in the framework of classical and shear deformation theories are discussed. Table 6, Table 7 and Table 8 and Figure 4, Figure 5, Figure 6 and Figure 7 represent the influence of the on the magnitudes of the and corresponding circumferential wave number () for four types of laminated cylindrical shells with U-, -, and X-shaped layers with and without elastic foundations in thermal environments within the FOST and CT. In this parametric study, the ST is used instead of the FOST. The necessary parameters are set to be , . The values of the nondimensional axial buckling load reduce as the and increase with and without an elastic foundation. In all (=20, 30, 40, 50) ratios, as the values of the nondimensional axial buckling load in the grounded and groundless cases are compared at = 300, 500, and 700, the presence of the ground significantly weakens the influence of the patterns on the nondimensional axial buckling load values within the ST and CT. In addition, when we examine the groundless and grounded cases within themselves for the fixed and , + 200 and + 400, the influences of the and X shapes on the nondimensional axial buckling load values generally weaken with the increase in .
Table 6.
Distribution of the nondimensional axial buckling load and of laminated cylindrical shells with FG nanocomposite plies against the with within ST and CT with and without elastic foundation.
Table 7.
Distribution of the nondimensional axial buckling load and of laminated cylindrical shells with FG nanocomposite plies against with within ST and CT with and without elastic foundation.
Table 8.
Distribution of the nondimensional axial buckling load values and of laminated cylindrical shells with FG nanocomposite plies against the with within ST and CT with and without elastic foundation.
Figure 4.
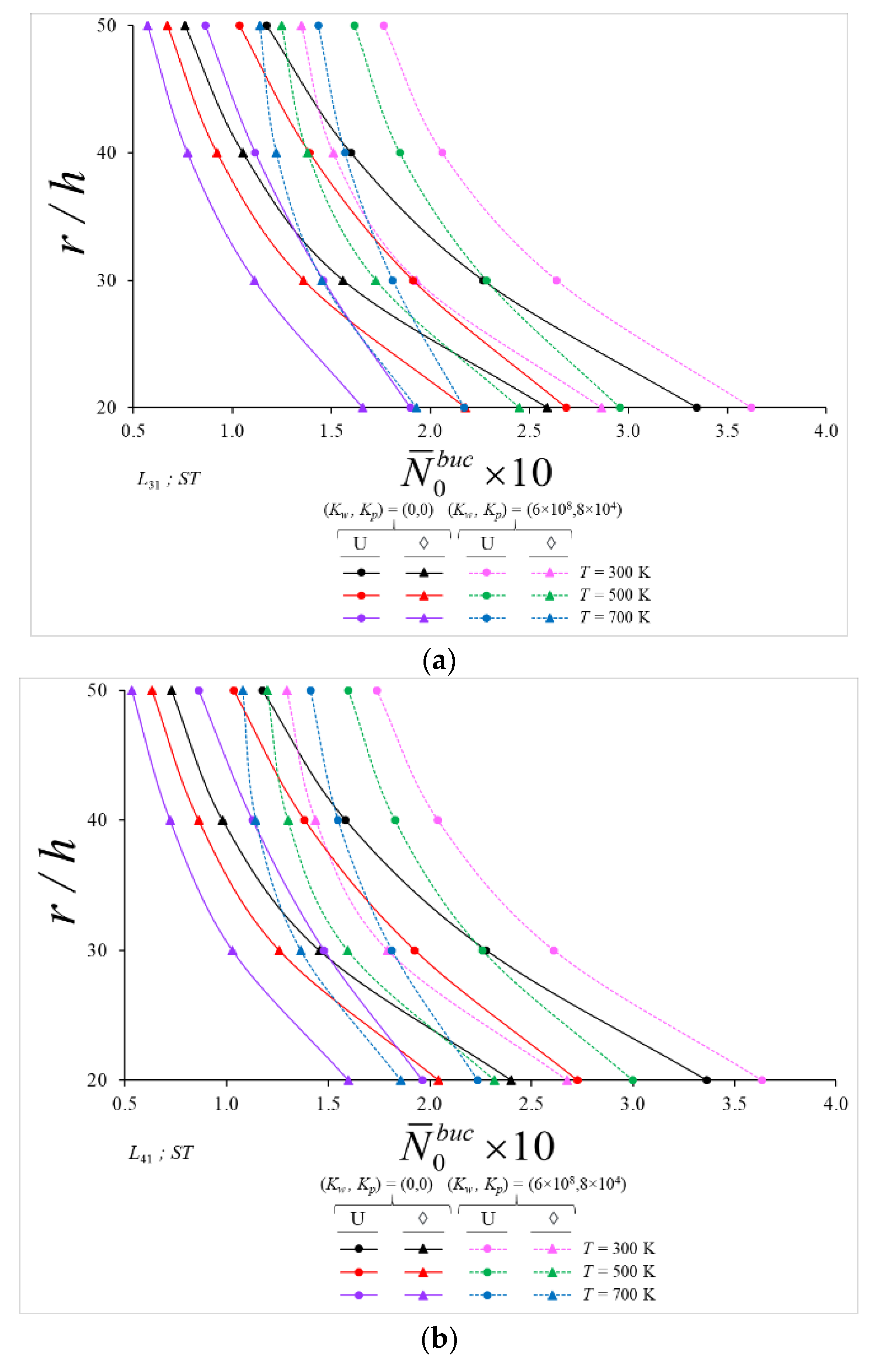
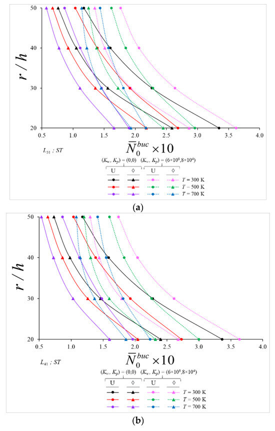
Distribution of the nondimensional axial buckling load of cross-ply laminated cylindrical shells with (a) L31 and (b) L41 lay-up consisting of U and schemes as the function of within ST with and without elastic foundation in thermal environments.
Figure 5.
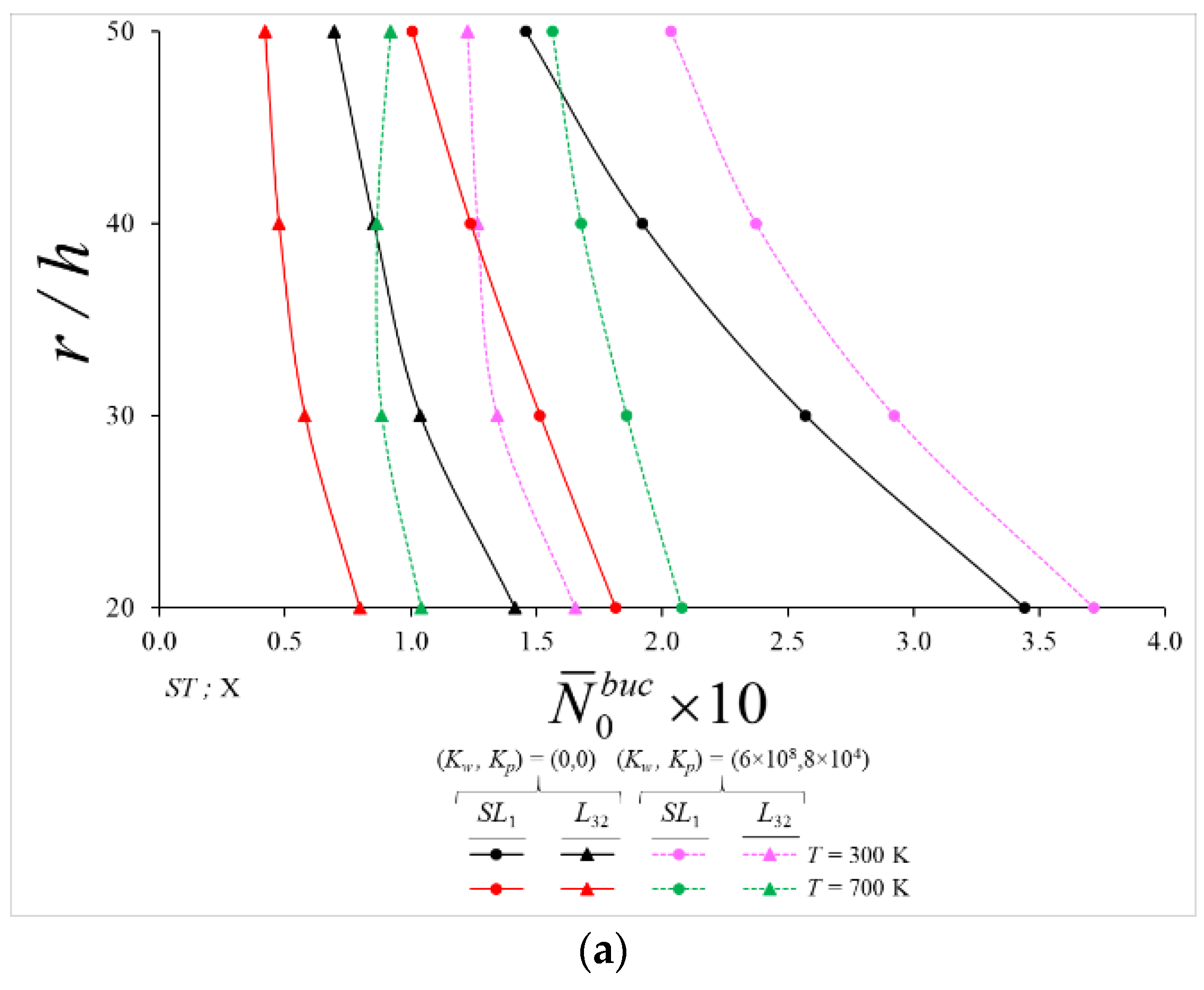
Distribution of the nondimensional axial buckling load of laminated cylindrical shells with L31 and L41 lay-up consisting of X scheme as the function of within (a) ST and (b) CT with and without elastic foundation in thermal environments.

Figure 6.
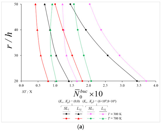
Distribution of the nondimensional axial buckling load of laminated cylindrical shells with SL1 and L32 lay-up consisting of X scheme as the function of within (a) ST and (b) CT with and without elastic foundation in thermal environments.
Figure 7.
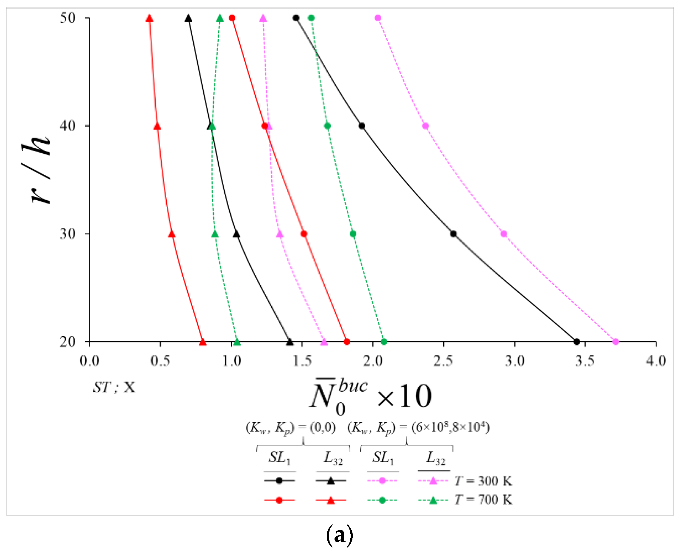
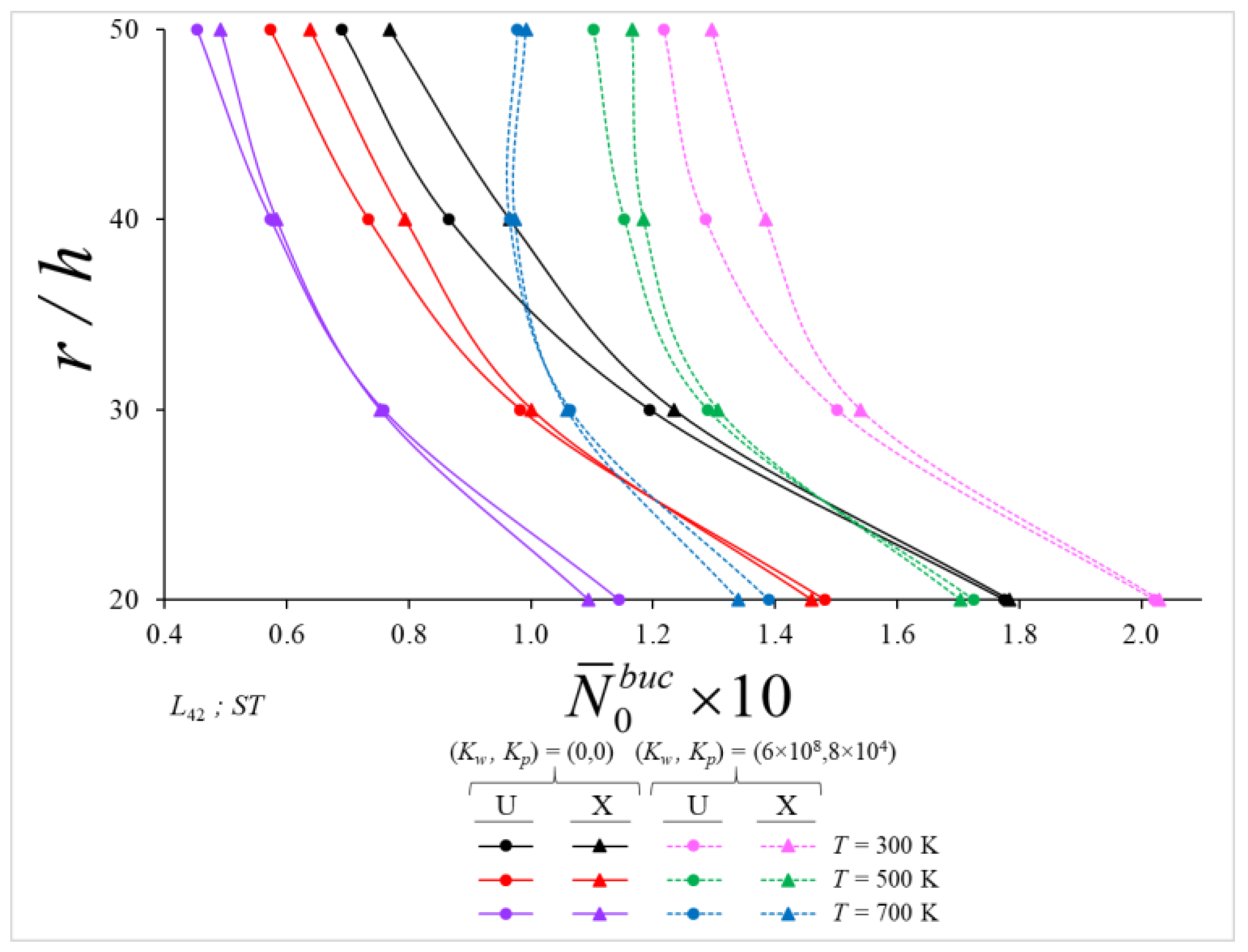
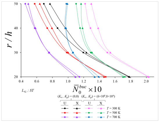
Distribution of the nondimensional axial buckling load of laminated cylindrical shells with L42 lay-up consisting of U and X schemes as the function of within ST with and without elastic foundation in thermal environments.
As the ratio rises from 20 to 50 in the grounded and groundless cases and these are compared with each other at = 300, 500, and 700, the significant pattern effects on the occur at different temperatures and alignments within the ST. For example, the most significant pattern effect on the nondimensional axial buckling within the ST occurs in the L41 alignment shell with the -shaped plies (−38.65%) in the case without soil at = 500 and = 50, while in the case with soil, that influence occurs in the L31 alignment shell with the -shaped plies (−35.57%) at T0(K) = 300 and = 30 in the case with soil (see Figure 4a,b also).
With the increase in the from 20 to 50, the influence of shear deformations on the of all lay-up shells reduces, while the presence of soil supports reduces that decrease, considering that the increase in temperature weakens that decrease. When the values of laminated shells in the = 20, 30, 40, and 50 ratios are compared with each other in the grounded and groundless cases at = 300, 500, and 700, the pronounced shear stress influences occur in the L31 array shell in U, , and X shapes at all values of in ground and groundless cases (except for U shape, where it occurs in the L41 array shell for = 30 and 50). It is noted that most pronounced shear stress influences on the nondimensional axial buckling load occur in the L31 array shell with X-shaped plies at = 700 for = 20. That influence is (+%82.5) in the case without a foundation, while the shear stresses effect on the weakens by 2.02% in the presence of the elastic foundation (see Table 6, Table 7 and Table 8 and Figure 5 also).
As the increases from 20 to 50, significant array effects occur at different values but in the same arrangements when comparing the values of the for all layered shells with the values of the SL1 shell with and without soil. For instance, the most significant array influence on the occurs at the X shape (−61.8%) for = 700 and the L32 arrangement at = 30 in the case without soil, while that influence occurs at the X shape (−55.9%) at and L32 arrangement at = 20 in the case with soil within the ST (see Figure 6 also).
In the grounded case and different , as the nondimensional axial buckling load values for = 500 and 700 are compared with the reference temperature (at ), the temperature influences on the nondimensional axial buckling load values for = 20 and 30 are similar, while those influences for = 40 and 50 differ according to the layer arrangement and shapes. For example, at = 500 and 700, the most pronounced temperature effect at = 20 occurs in the cylinder with the L31 stacking sequence with U and X shapes, while it occurs in the cylinder for the L32 stacking sequence with the shape. At the same temperatures, the most pronounced temperature influence for = 30 is observed in the L32 array shell with U and shapes, while it occurs in the L31 array shell for X shapes. For = 500 and = 40, the most pronounced temperature influence occurs in the shell with the L31 arrangement at the U, , and X shapes. For = 500 and = 50, the most significant temperature influence occurs in the L42 shell arrangement in U and X shapes (see Figure 7 also), while it occurs in the cylinder with the L32 arrangement in the shape. For = 700 and at = 40 and 50, the most pronounced pattern influence in the U, , and X shapes in the grounded condition always occurs in the L32 arrangement cylinder (see Figure 7 also).
6. Conclusions
This paper demonstrates the stability characteristics of axially loaded laminated cylindrical shells consisting of FG nanocomposite orthotropic layers on the two-parameter elastic foundation and in the thermal environments in the framework of the FOST. The effective material properties of the laminated cylindrical shells consisting of FG nanocomposite layers are computed using the extended rule of mixture method and molecular dynamics techniques. An analytical approach is employed to obtain the nondimensional axial buckling load of laminated cylindrical shells consisting of FG nanocomposite orthotropic plies on the two-parameter elastic foundation and in thermal environments. After checking the accuracy of the solution method by comparing it with the results in the literature, the different influences on the nondimensional axial buckling load of laminated FG nanocomposite orthotropic cylindrical shells, which are sensitive to the elastic foundation and thermal environments, are generalized as follows:
- The values of the nondimensional axial buckling load reduce as the ratio of the radius to the total thickness and increase with and without an elastic foundation.
- The presence of the elastic foundation significantly weakens the influence of the patterns on the nondimensional axial buckling load for all the ratios of the radius to the total thickness in thermal environments within the FOST and CT.
- The influences of and X shapes on the axial buckling load generally weaken with the increase in , as examined by the groundless and grounded cases within themselves for the .
- As the ratio of the radius to the total thickness rises in the grounded and groundless cases, the significant pattern influences on the axial buckling load occur at different temperatures and alignments within the FOST.
- With the increase in the radius to the total thickness ratio, the influences of shear deformations on the axial buckling load of all laminated shells reduce, while the presence of soil supports reduces this decrease, considering that the increase in temperature weakens that decrease.
- When the axial buckling loads of laminated shells in all are compared with each other in the grounded and groundless cases, the most pronounced influence of the shear deformations on the axial buckling load occurs in the L31 array cylindrical shell with X-shaped plies at = 700 for = 20.
- As the ratio of the radius to the total thickness ratio increases, significant array effects occur at different but in the same L32 arrangement when comparing the values of the axial buckling load for laminated shells with those of the single-layer shell with and without an elastic foundation.
- In the grounded case and for different , as the nondimensional axial buckling loads for = 500 and 700 are compared with the reference temperature, the temperature influences on the nondimensional axial buckling load for = 20 and 30 are similar, while those effects for = 40 and 50 differ according to the layer arrangement and patterns.
Author Contributions
Conceptualization, A.H.S. and M.A.; methodology, A.H.S.; software, M.A.; validation, M.A., A.H.S. and N.M.A.; formal analysis, M.A.; investigation, M.A.; resources, M.A. and N.M.A.; data curation, M.A. and N.M.A.; writing—original draft preparation, M.A.; writing—review and editing, A.H.S. and N.M.A.; visualization, M.A. and N.M.A. All authors have read and agreed to the published version of the manuscript.
Funding
This research received no external funding.
Data Availability Statement
All information supporting the calculation results is available in the article and in the references of the article used as a source.
Conflicts of Interest
The authors declare no conflict of interest.
Appendix A
Appendix B
References
- Winkler, E. Die Lehre von der Elastizität und Festigkeit; Dominicus: Prague, Czech Republic, 1867. [Google Scholar]
- Hetenyi, M. Beams and plates on elastic foundations and related problems. Appl. Mech. Rev. 1966, 19, 95–102. [Google Scholar]
- Kerr, A.D. Elastic and viscoelastic foundation models. J. Appl. Mech. 1964, 31, 491–498. [Google Scholar] [CrossRef]
- Vlasov, V.Z.; Leont’ev, N. Beams, Plates and Shells on Elastic Foundation; Israel Program for Scientific Translation: Jerusalem, Israel, 1966. [Google Scholar]
- Engel, R.S. Dynamic stability of an axially loaded beam on an elastic foundation with damping. J. Sound Vib. 1991, 146, 463–477. [Google Scholar] [CrossRef]
- Pasternak, P.L. On a New Method of Analysis of an Elastic Foundation by Means of Two Foundation Constants; Gosudarstvennoe Izdatelstro Liberaturi po Stroitelstvui Arkhitekture: Moscow, Russia, 1954. [Google Scholar]
- Praveen, A.P.; Rajamohan, V.; Mathew, A.T. Recent developments in investigation on buckling and post buckling responses of laminated composite shells. Polym. Compos. 2018, 39, 4231–4242. [Google Scholar] [CrossRef]
- Ambartsumian, S.A. Theory of Anisotropic Shells; NASA: Washington, DC, USA, 1964.
- Reddy, J.N. Mechanics of Laminated Composite Plates and Shells: Theory and Analysis, 2nd ed.; CRC Press: New York, NY, USA, 2004. [Google Scholar]
- Simitses, G.J.; Han, B. Analysis of anisotropic laminated cylindrical shells subjected to destabilizing loads. Part I: Theory and solution procedure. Compos. Struct. 1991, 17, 167–181. [Google Scholar] [CrossRef]
- Han, B.; Simitses, G.J. Analysis of anisotropic laminated cylindrical shells subjected to destabilizing loads. Part II: Numerical results. Compos. Struct. 1991, 17, 183–205. [Google Scholar] [CrossRef]
- Li, J.; Xiang, Z.H.; Xue, M.D. Buckling analysis of rotationally periodic laminated composite shells by a new multilayered shell element. Compos. Struct. 2005, 70, 24–32. [Google Scholar] [CrossRef]
- Shen, H.S. Boundary layer theory for the buckling and postbuckling of an anisotropic laminated cylindrical shell. Part I: Prediction under axial compression. Compos. Struct. 2008, 82, 346–361. [Google Scholar] [CrossRef]
- Shen, H.S. Postbuckling of axially-loaded laminated cylindrical shells surrounded by an elastic medium. Mech. Adv. Mater. Struc. 2013, 20, 130–150. [Google Scholar] [CrossRef]
- Sofiyev, A.H. Influences of elastic foundations and boundary conditions on the buckling of laminated shell structures subjected to combined loads. Compos. Struct. 2011, 93, 2126–2134. [Google Scholar] [CrossRef]
- Odegard, G.M.; Gates, T.S.; Wise, K.E.; Park, C.; Siochi, E. Constitutive modeling of nanotube-reinforced polymer composites. Compos. Sci. Techn. 2003, 63, 1671–1687. [Google Scholar] [CrossRef]
- Lordi, V.; Yao, N. Molecular mechanics of binding in carbon-nanotube–polymer composites. J. Mater. Res. 2000, 15, 2770–2779. [Google Scholar] [CrossRef]
- Griebel, M.; Hamaekers, J. Molecular dynamics simulations of the elastic moduli of polymer–carbon nanotube composites. Comput. Meth. Appl. Mech. Eng. 2004, 193, 1773–1788. [Google Scholar] [CrossRef]
- Valavala, P.K.; Clancy, T.C.; Odegard, G.M.; Gates, T.S. Nonlinear multiscale modeling of polymer materials. Int. J. Solid. Struct. 2007, 44, 1161–1179. [Google Scholar] [CrossRef]
- Coleman, J.N.; Khan, U.; Blau, W.J.; Gun’ko, Y.K. Small but strong: A review of the mechanical properties of carbon nanotube-polymer composites. Carbon 2006, 44, 1624–1652. [Google Scholar] [CrossRef]
- Njuguna, J.; Pielichowski, K.; Fan, J. Polymer nanocomposites for aerospace applications. In Advances in Polymer Nanocomposites: Types and Applications; Woodhead Publishing Ltd.: Sawston, UK, 2012; pp. 472–539. [Google Scholar]
- Gatos, K.G.; Leong, Y.W. Classification of Nanomaterials and Nanocomposites. In Nanocomposite Materials: Synthesis, Properties and Applications; CRC: Boca Raton, FL, USA, 2017; pp. 5–36. [Google Scholar]
- Okamoto, M. Polymer Nanocomposites. ENG 2023, 4, 457–479. [Google Scholar] [CrossRef]
- Ali, Z.; Yaqoob, S.; Yu, J.; D’Amore, A. Critical review on the characterization, preparation, and enhanced mechanical, thermal, and electrical properties of carbon nanotubes and their hybrid filler polymer composites for various applications. Compos. Part C Open Access 2024, 13, 100434. [Google Scholar] [CrossRef]
- Sahu, R.; Harursampath, D.; Ponnusami, S.A. Mechanical behaviour of carbon nanotube composites: A review of various modelling techniques. J. Compos. Mater. 2024, 58, 791–825. [Google Scholar] [CrossRef]
- Shen, H.S. Postbuckling of nanotube-reinforced composite cylindrical shells in thermal environments, Part I: Axially-loaded shells. Compos. Struct. 2011, 93, 2096–2108. [Google Scholar] [CrossRef]
- Shen, H.S.; Xiang, Y.; Fan, Y. Postbuckling of functionally graded graphene-reinforced composite laminated cylindrical panels under axial compression in thermal environments. Int. J. Mech. Sci. 2018, 135, 398–409. [Google Scholar] [CrossRef]
- Hieu, P.T.; Tung, H.V. Buckling of shear deformable FG-CNTRC cylindrical shells and toroidal shell segments under mechanical loads in thermal environments. ZAMM-J. Appl. Math. Mech. 2020, 100, e201900243. [Google Scholar] [CrossRef]
- Sofiyev, A.H. On the vibration and stability behaviors of heterogeneous-CNTRC-truncated conical shells under axial load in the context of FSDT. Thin–Wall. Struct. 2020, 151, 106747. [Google Scholar] [CrossRef]
- Soni, S.K.; Thomas, B.; Swain, A.; Roy, T. Functionally graded carbon nanotubes reinforced composite structures: An extensive review. Compos. Struct. 2022, 299, 116075. [Google Scholar] [CrossRef]
- Twinkle, C.M.; Pitchaimani, J. A semi-analytical nonlocal elasticity model for static stability and vibration behaviour of agglomerated CNTs reinforced nano cylindrical panel under non-uniform edge loads. Appl. Math. Model. 2022, 103, 68–90. [Google Scholar]
- Rad, M.H.G.; Hosseini, S.M. Buckling analysis of multilayer FG-CNT reinforced nanocomposite cylinders assuming CNT waviness, agglomeration, and interphase effects using the CUF-EFG method. Mech. Adv. Mater. Struct. 2023, 30, 1309–1325. [Google Scholar]
- Majumder, R.; Chakraborty, S.; Mishra, S.K. Reliability analysis and design of randomly imperfect thin cylindrical shells against post-critical drops. Thin-Wall. Struct. 2023, 185, 110594. [Google Scholar] [CrossRef]
- Wu, S.; Li, Y.; Bao, Y.; Zhu, J.; Wu, H. Examination of beam theories for buckling and free vibration of functionally graded porous beams. Materials 2024, 17, 3080. [Google Scholar] [CrossRef] [PubMed]
- Sofiyev, A.H. Modeling and solution of eigenvalue problems of laminated cylindrical shells consisting of nanocomposite plies in thermal environments. Arch. Appl. Mech. 2024, 94, 3071–3099. [Google Scholar] [CrossRef]
- Shen, H.S.; Xiang, Y. Postbuckling of axially compressed nanotube-reinforced composite cylindrical panels resting on elastic foundations in thermal environments. Compos. Part B Eng. 2014, 67, 50–61. [Google Scholar] [CrossRef]
- Lei, Z.X.; Zhang, L.W.; Liew, K.M. Buckling analysis of CNT reinforced functionally graded laminated composite plates. Compos. Struct. 2016, 152, 62–73. [Google Scholar] [CrossRef]
- Chakraborty, S.; Dey, T.; Kumar, R. Stability and vibration analysis of CNT-Reinforced functionally graded laminated composite cylindrical shell panels using semi-analytical approach. Compos. Part B Eng. 2019, 168, 1–14. [Google Scholar] [CrossRef]
- Mohammadi, M.; Arefi, M.; Dimitri, R.; Tornabene, F. Higher-order thermo-elastic analysis of FG-CNTRC cylindrical vessels surrounded by a Pasternak foundation. Nanomaterials 2019, 9, 79. [Google Scholar] [CrossRef]
- Ipek, C.; Sofiyev, A.H.; Fantuzzi, N.; Efendiyeva, S.P. Buckling behavior of nanocomposite plates with functionally graded properties under compressive loads in elastic and thermal environments. J. Appl. Comput. Mech. 2023, 9, 974–986. [Google Scholar]
- Monge, J.C.; Mantari, J.L.; Llosa, M.N.; Hinostroza, M.A. A size-dependent 3D solution of functionally graded shallow nanoshells. Curved Layer. Struct. 2023, 10, 20220215. [Google Scholar] [CrossRef]
- Monge, J.C.; Mantari, J.L. 3D nonlocal solution with layerwise approach and DQM for multilayered functionally graded shallow nanoshells. Mech. Adv. Mater. Struct. 2024. [Google Scholar] [CrossRef]
- Mantari, J.L.; Monge, J.C. Semi-analytical layerwise solutions for FG MEE complex shell structures. Eur. J. Mech.-A/Solids 2025, 109, 105446. [Google Scholar]
Disclaimer/Publisher’s Note: The statements, opinions and data contained in all publications are solely those of the individual author(s) and contributor(s) and not of MDPI and/or the editor(s). MDPI and/or the editor(s) disclaim responsibility for any injury to people or property resulting from any ideas, methods, instructions or products referred to in the content. |
© 2025 by the authors. Licensee MDPI, Basel, Switzerland. This article is an open access article distributed under the terms and conditions of the Creative Commons Attribution (CC BY) license (https://creativecommons.org/licenses/by/4.0/).







