Efficient Finite-Difference Estimation of Second-Order Parametric Sensitivities for Stochastic Discrete Biochemical Systems †
Abstract
1. Introduction
2. Background
Stochastic Modelling of Well-Mixed Biochemical Networks
| Algorithm 1 Stochastic Simulation Algorithm |
|
3. Second-Order Parametric Sensitivity
Coupled -Leaping Method for Estimating Second-Order Sensitivities
- Coupled -Leaping Algorithm
- 1.
- Set model parameters: tolerance , critical threshold , simulation final time T, and relative perturbation h.
- 2.
- Initialize trajectories at : , for all .
- 3.
- While do steps (a)–(h):
- (a)
- Calculate the propensities from (11): for and ,
- (b)
- Find critical reactions for each of the four trajectories: for each reaction and , if , thenwith L defined by (4). Put
- (c)
- Find candidate step sizes, , for the non-critical reactions; for all :
- i.
- If , then
- ii.
- If , then find set of indices of reactant species of non-critical reactions .
- iii.
- For each and each trajectory, find the highest order of reaction and the function defined by (5).
- iv.
- (d)
- Find candidate step sizes, , for critical reactions; for all :
- i.
- Calculate as the sum of the propensities for critical reactions corresponding to the trajectory for .
- ii.
- Choose samples from the uniform distribution and generate the time to the first critical reaction:
- (e)
- Calculate the step size, :, , .
- (f)
- Calculate the number of reactions namely :
- i.
- If is a critical reaction, then , for all .
- ii.
- If , then at least one critical reaction happens. For each with , generate as a sample of the integer random variable with probabilities , with ℓ running only over critical reactions. Put.
- iii.
- For , compute from (12) and sample Poisson random variables:
- iv.
- (g)
- Update the time and the states on all trajectories:
- i.
- .
- ii.
- , for all .
- (h)
- Estimate the second-order sensitivity:
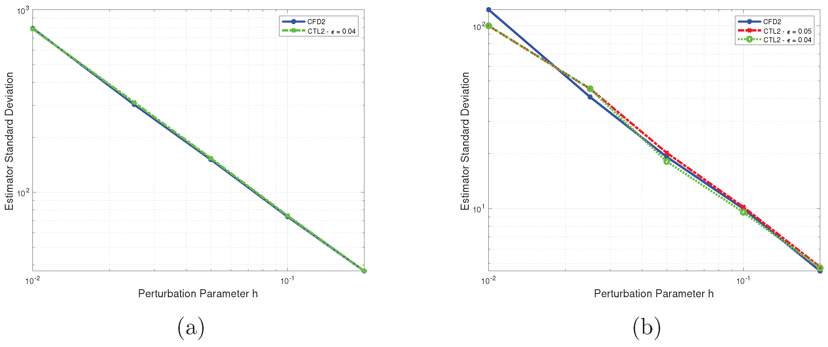
4. Numerical Experiments
4.1. Decay-Dimerization Model
4.2. Two-Step Closed Reaction Chain Model
4.3. Gene Regulatory Network Model
5. Conclusions
Author Contributions
Funding
Data Availability Statement
Acknowledgments
Conflicts of Interest
References
- Raser, J.M.; O’Shea, E.K. Control of stochasticity in eukaryotic gene expression. Science 2004, 304, 1811–1814. [Google Scholar] [CrossRef]
- Batada, N.N.; Shepp, L.A.; Siegmund, D.O. Stochastic model of protein-protein interaction: Why signalling proteins need to be collocalized. Proc. Natl. Acad. Sci. USA 2004, 101, 6445–6449. [Google Scholar] [CrossRef] [PubMed]
- Gillespie, D.T. A rigorous derivation of the Chemical Master Equation. Physica A 1992, 188, 402–425. [Google Scholar] [CrossRef]
- Gillespie, D.T. A general method for numerically simulating the stochastic time evolution of coupled chemical reactions. J. Comp. Phys. 1976, 22, 403–434. [Google Scholar] [CrossRef]
- Gillespie, D.T. Exact stochastic simulation of coupled chemical reactions. J. Phys. Chem. 1977, 81, 2340–2361. [Google Scholar] [CrossRef]
- Gibson, M.A.; Bruck, J. Efficient exact stochastic simulation of chemical systems with many species and many channels. J. Phys. Chem. 2000, 105, 1876–1889. [Google Scholar] [CrossRef]
- Gillespie, D.T. Approximate accelerated stochastic simulation of chemically reacting systems. J. Chem. Phys. 2001, 115, 1716–1733. [Google Scholar] [CrossRef]
- Cao, Y.; Gillespie, D.T.; Petzold, L.R. Efficient stepsize selection for the tau-leaping simulation method. J. Chem. Phys. 2006, 124, 044109. [Google Scholar] [CrossRef] [PubMed]
- Simoni, G.; Reali, F.; Priami, C.; Marchetti, L. Stochastic simulation algorithms for computational Systems Biology: Exact, approximate, and hybrid methods. Wiley Interdiscip. Rev. Syst. Biol. Med. 2019, 11, e1459. [Google Scholar] [CrossRef] [PubMed]
- Cao, Y.; Gillespie, D.T.; Petzold, L.R. The slow scale stochastic simulation algorithm. J. Chem. Phys. 2005, 122, 014116. [Google Scholar] [CrossRef] [PubMed]
- Tian, T.; Burrage, K. Binomial leap methods for simulating stochastic chemical kinetics. J. Chem. Phys. 2004, 121, 10356–10364. [Google Scholar] [CrossRef]
- Thanh, V.H. A critical comparison of rejection-based algorithms for simulation of large biochemical reaction networks. Bull. Math. Biol. 2019, 81, 3053–3073. [Google Scholar] [CrossRef]
- Hu, Y.; Li, T. Highly accurate tau-leaping methods with random corrections. J. Chem. Phys. 2009, 130, 124109. [Google Scholar] [CrossRef] [PubMed]
- Wilkinson, D.J. Stochastic Modelling for Systems Biology; Taylor & Francis: Boca Raton, FL, USA, 2019. [Google Scholar]
- Higham, D.J. Modeling and simulating chemical reactions. SIAM Rev. 2008, 50, 347–368. [Google Scholar] [CrossRef]
- Gillespie, D.T.; Hellander, A.; Petzold, L.R. Perspective: Stochastic algorithms for chemical kinetics. J. Chem. Phys. 2013, 138, 170901. [Google Scholar] [CrossRef] [PubMed]
- Petre, I.; Mizera, A.; Hyder, C.L.; Meinander, A.; Mikhailov, A.; Morimoto, R.I.; Sistonen, L.; Eriksson, J.E.; Back, R.J. A simple mass-action model for the eukaryotic heat shock response and its mathematical validation. Nat. Comput. 2011, 10, 595–612. [Google Scholar] [CrossRef]
- Barrows, D.; Ilie, S. Parameter estimation for the reaction-diffusion master equation. AIP Adv. 2023, 13, 065318. [Google Scholar] [CrossRef]
- Ashyraliyev, M.; Fomekong-Nanfack, Y.; Kaandorp, J.A.; Blom, J.G. Systems biology: Parameter estimation for biochemical models. FEBS J. 2009, 276, 886–902. [Google Scholar] [CrossRef] [PubMed]
- Gholami, S.; Ilie, S. Quantifying parameter interdependence in stochastic discrete models of biochemical systems. Entropy 2023, 25, 1168. [Google Scholar] [CrossRef]
- Gunawan, R.; Cao, Y.; Petzold, L.; Doyle, F.J. Sensitivity analysis of discrete stochastic systems. Biophys. J. 2005, 88, 2530–2540. [Google Scholar] [CrossRef] [PubMed]
- Plyasunov, S.; Arkin, A. Efficient stochastic sensitivity analysis of discrete event systems. J. Comput. Phys. 2007, 221, 724–738. [Google Scholar] [CrossRef]
- Degasperi, A.; Gilmore, S. Sensitivity analysis of stochastic models of bistable biochemical reactions. In International School on Formal Methods for the Design of Computer, Communication and Software Systems; Springer: Berlin/Heidelberg, Germany, 2008; pp. 1–20. [Google Scholar]
- Komorowski, M.; Costa, M.J.; Rand, D.A.; Stumpf, M.P.H. Sensitivity, robustness, and identifiability in stochastic chemical kinetics models. Proc. Natl. Acad. Sci. USA 2011, 108, 8645–8650. [Google Scholar] [CrossRef]
- Anderson, D.F. An efficient finite difference method for parameter sensitivities of continuous time Markov chains. SIAM J. Numer. Anal. 2012, 50, 2237. [Google Scholar] [CrossRef]
- Rathinam, M.; Sheppard, P.W.; Khammash, M. Efficient computation of parameter sensitivities of discrete stochastic chemical reaction networks. J Chem. Phys. 2010, 132, 034103. [Google Scholar] [CrossRef]
- Morshed, M.; Ingalls, B.; Ilie, S. An efficient finite-difference strategy for sensitivity analysis of stochastic models of biochemical systems. Biosystems 2017, 151, 43–52. [Google Scholar] [CrossRef]
- Morshed, M.; Ingalls, B.; Ilie, S. An effective implicit finite-difference method for sensitivity analysis of stiff stochastic discrete biochemical systems. IET Syst. Biol. 2018, 12, 123–130. [Google Scholar] [CrossRef] [PubMed]
- Wolf, E.S.; Anderson, D.F. A finite difference method for estimating second order parameter sensitivities of discrete stochastic chemical reaction networks. J. Chem. Phys. 2012, 137, 224112. [Google Scholar] [CrossRef]
- Strehl, R.; Ilie, S. Hybrid stochastic simulation of reaction-diffusion systems with slow and fast dynamics. J. Chem. Phys. 2015, 143, 234108. [Google Scholar] [CrossRef]
- Chen, A.; Ren, Q.; Zhou, T.; Burrage, P.; Tian, T.; Burrage, K. Balanced implicit Patankar-Euler methods for positive solutions of stochastic differential equations of biological regulatory systems. J. Chem. Phys. 2024, 160, 064117. [Google Scholar] [CrossRef] [PubMed]
- Padgett, J.M.A.; Ilie, S. An adaptive tau-leaping method for stochastic simulations of reaction-diffusion systems. AIP Adv. 2016, 6, 035217. [Google Scholar] [CrossRef]
- Sayyidmousavi, A.; Ilie, S. An efficient hybrid method for stochastic reaction-diffusion biochemical systems with delay. AIP Adv. 2017, 7, 125305. [Google Scholar] [CrossRef]
- Ethier, S.N.; Kurtz, T.G. Markov Processes: Characterization and Convergence; John Wiley & Sons: New York, NY, USA, 1986. [Google Scholar]
- Li, T. Analysis of explicit tau-leaping schemes for simulating chemically reacting systems. SIAM Multi. Model. Simul. 2007, 6, 417–436. [Google Scholar] [CrossRef]
- Ingalls, B.P. Mathematical Modeling in Systems Biology: An Introduction; MIT Press: Cambridge, MA, USA, 2013. [Google Scholar]
- Lu, H.; Li, P. Stochastic projective methods for simulating stiff chemical reacting systems. Comput. Phys. Commun. 2012, 183, 1427–1442. [Google Scholar] [CrossRef]
- Marquez-Lago, T.; Burrage, K. Binomial tau-leap spatial stochastic simulation algorithm for applications in chemical kinetics. J. Chem. Phys. 2007, 127, 104101. [Google Scholar] [CrossRef] [PubMed]




| Reaction | Propensity | Parameter Value | |
|---|---|---|---|
| Reaction | Propensity | Parameter Value | |
|---|---|---|---|
| Algorithm | Tolerance | Speed-Up |
|---|---|---|
| CTL-2 | 48.47 | |
| CTL-2 | 34.97 | |
| CFD-2 | - | 1 |
| Reaction | Propensity | Parameter Value | |
|---|---|---|---|
| Algorithm | Tolerance | Speed-Up |
|---|---|---|
| CTL-2 | 8.06 | |
| CTL-2 | 14.43 | |
| CTL-2 | 24.68 | |
| CFD-2 | – | 1 |
Disclaimer/Publisher’s Note: The statements, opinions and data contained in all publications are solely those of the individual author(s) and contributor(s) and not of MDPI and/or the editor(s). MDPI and/or the editor(s) disclaim responsibility for any injury to people or property resulting from any ideas, methods, instructions or products referred to in the content. |
© 2024 by the authors. Licensee MDPI, Basel, Switzerland. This article is an open access article distributed under the terms and conditions of the Creative Commons Attribution (CC BY) license (https://creativecommons.org/licenses/by/4.0/).
Share and Cite
Jabeen, F.; Ilie, S. Efficient Finite-Difference Estimation of Second-Order Parametric Sensitivities for Stochastic Discrete Biochemical Systems. Math. Comput. Appl. 2024, 29, 120. https://doi.org/10.3390/mca29060120
Jabeen F, Ilie S. Efficient Finite-Difference Estimation of Second-Order Parametric Sensitivities for Stochastic Discrete Biochemical Systems. Mathematical and Computational Applications. 2024; 29(6):120. https://doi.org/10.3390/mca29060120
Chicago/Turabian StyleJabeen, Fauzia, and Silvana Ilie. 2024. "Efficient Finite-Difference Estimation of Second-Order Parametric Sensitivities for Stochastic Discrete Biochemical Systems" Mathematical and Computational Applications 29, no. 6: 120. https://doi.org/10.3390/mca29060120
APA StyleJabeen, F., & Ilie, S. (2024). Efficient Finite-Difference Estimation of Second-Order Parametric Sensitivities for Stochastic Discrete Biochemical Systems. Mathematical and Computational Applications, 29(6), 120. https://doi.org/10.3390/mca29060120

