Numerical Analysis of the Effect of the Vortex Finder on the Hydrocyclone’s Split Water Ratio and Separation Performance
Abstract
1. Introduction
2. Numerical Method
2.1. Governing Equations
2.1.1. Transport Equation for Reynolds Stress Model (RSM)
2.1.2. Discrete Element Model (DEM)
2.1.3. Volume of Fluid (VOF) Model
2.2. Solver
2.3. Hydrocyclone Geometry and Mesh Generation
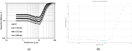
2.4. Model Validation
3. Results
3.1. Effects of Water Volume Fraction Due to a Split Water Ratio
3.2. Effects of Pressure Drop to a Split Water Ratio
3.3. Effects of a Vortex Finder Length to a Split Water Ratio
4. Conclusions
Author Contributions
Funding
Acknowledgments
Conflicts of Interest
References
- Bhamjee, M. Modelling of the Multiphase Interactions in a Hydrocyclone using Navier–Stokes and Lattice Boltzmann Based Computational Approaches. Ph.D. Thesis, University of Johannesburg, Johannesburg, South Africa, 2016. [Google Scholar]
- Vieira, L.G.M.; Barrozo, M.A.S. Effect of vortex finder diameter on the performance of a novel hydrocyclone separator. Miner. Eng. 2014, 57, 50–56. [Google Scholar] [CrossRef]
- Silva, N.K.G.; Silva, D.O.; Vieira, L.G.M.; Barrozo, M.A.S. Effects of underflow diameter and vortex finder length on the performance of a newly designed filtering hydrocyclone. Powder Technol. 2015, 286, 305–310. [Google Scholar] [CrossRef]
- Padhi, M.; Mangadoddy, N.; Sreenivas, T.; Vakamalla, T.R.; Mainza, A.N. Study on multi-component particle behaviour in a hydrocyclone classifier using experimental and computational fluid dynamics techniques. Sep. Purif. Technol. 2019, 229, 115698. [Google Scholar] [CrossRef]
- Durango-Cogollo, M.; Garcia-Bravo, J.; Newell, B.; Gonzalez-Mancera, A. CFD modeling of hydrocyclones-A study of efficiency of hydrodynamic reservoirs. Fluids 2020, 5, 118. [Google Scholar] [CrossRef]
- Hwang, K.J.; Hsueh, W.S.; Nagase, Y. Mechanism of particle separation in small hydrocyclone. Dry. Technol. 2008, 26, 1002–1010. [Google Scholar] [CrossRef]
- Jiang, J.; Ying, R.; Feng, J.; Wang, W. Computational and Experimental Study of the Effect of Operating Parameters on Classification Performance of Compound Hydrocyclone. Math. Probl. Eng. 2018, 2018, 7596490. [Google Scholar] [CrossRef]
- Banerjee, C.; Climent, E.; Majumder, A.K. Mechanistic modelling of water partitioning behaviour in hydrocyclone. Chem. Eng. Sci. 2016, 152, 724–735. [Google Scholar] [CrossRef]
- Delgadillo, J.A.; Rajamani, R.K. Exploration of hydrocyclone designs using computational fluid dynamics. Int. J. Miner. Process. 2007, 84, 252–261. [Google Scholar] [CrossRef]
- Cui, B.; Zhang, C.; Wei, D.; Lu, S.; Feng, Y. Effects of feed size distribution on separation performance of hydrocyclones with different vortex finder diameters. Powder Technol. 2017, 322, 114–123. [Google Scholar] [CrossRef]
- Galvin, K.P.; Iveson, S.M. New challenges for gravity concentration and classification of fine particles. Miner. Eng. 2022, 190, 107888. [Google Scholar] [CrossRef]
- Zhang, Y.; Xu, M.; Duan, Y.; Yang, X.; Yang, J.; Tang, X. Influence of Feed Rate on the Performance of Hydrocyclone Flow Field. Separations 2022, 9, 349. [Google Scholar] [CrossRef]
- Li, F.; Liu, P.; Yang, X.; Zhang, Y.; Li, X.; Jiang, L.; Wang, H.; Fu, W. Numerical analysis on the effect of the length of arc-shaped vortex finder on the hydrocyclone’s flow field and separation performance. Miner. Eng. 2021, 172, 107172. [Google Scholar] [CrossRef]
- Patra, G.; Chakraborty, S.; Meikap, B.C. Role of vortex finder depth on pressure drop and performance efficiency in a ribbed hydrocyclone. S. Afr. J. Chem. Eng. 2018, 25, 103–109. [Google Scholar] [CrossRef]
- Mokonyama, L.; Kunene, T.J.; Tartibu, L.K. Numerical investigation of the hydrocyclone vortex finder depth on separation efficiency. In MATEC Web of Conferences; Skatulla, S., Ed.; EDP Sciences: Paris, France, 2021; Volume 347, p. 00039. [Google Scholar] [CrossRef]
- Kang, S.G.; Kim, K.C.; Ryom, S.C.; Ri, J.H. Turbulence models and simulation method in the CFD simulation of 75-mm hydrocyclone. Bilim. Madencilik Derg. 2022, 61, 127–134. [Google Scholar] [CrossRef]
- Anderson, T.B.; Jackson, R. Fluid Mechanical Description of Fluidized Beds. Equations of Motion. Ind. Eng. Chem. Fundam. 1967, 6, 527–539. [Google Scholar] [CrossRef]
- Pandey, S.; Brar, L.S. On the performance of cyclone separators with different shapes of the conical section using CFD. Powder Technol. 2022, 407, 117629. [Google Scholar] [CrossRef]
- Rao, G.; Zhao, H. Analysis of internal flow field performance of hydrocyclone based on CFD. J. Phys. Conf. Ser. 2022, 2383, 012027. [Google Scholar] [CrossRef]
- Fang, X.; Wang, G.; Zhong, L.; Qiu, S.; Wang, D. A CFD–DEM analysis of the de-cementation behavior of weakly cemented gas hydrate–bearing sediments in a hydrocyclone separator. Part. Sci. Technol. 2022, 40, 812–823. [Google Scholar] [CrossRef]
- Wang, M.; Liu, J.B.; Wang, X.F.; Yan, X.L.; Yao, L.M.; Yue, Q.B. Automatic determination of coupling time step and region in unresolved DEM-CFD. Powder Technol. 2022, 400, 117267. [Google Scholar] [CrossRef]
- Artyukhov, A.E.; Sklabinskiy, V.I. Application of vortex three-phase separators for improving the reliability of pump and compressor stations of hydrocarbon processing plants. IOP Conf. Ser. Mater. Sci. Eng. 2017, 233, 012014. [Google Scholar] [CrossRef]
- Lv, X.; Du, Y.; Du, S.; Xiang, L. Graded Preparation and Industrial Applications of Large-Ball Polyolefin Catalyst Carriers. Catalysts 2022, 12, 117. [Google Scholar] [CrossRef]
- Yu, J.; Luo, X.; Wang, B.; Wu, S.; Wang, J. Analysis of Gas-Liquid-Solid Three-Phase Flows in Hydrocyclones through a Coupled Method of Volume of Fluid and Discrete Element Model. J. Fluids Eng. Trans. ASME 2021, 143, 111402. [Google Scholar] [CrossRef]
- CD-ADAPCO. STAR CCM+ User Guide (Version 4.02); CD-ADAPCO: New York, NY, USA, 2008. [Google Scholar]
- Zhu, H.P.; Zhou, Z.Y.; Yang, R.Y.; Yu, A.B. Discrete particle simulation of particulate systems: A review of major applications and findings. Chem. Eng. Sci. 2008, 63, 5728–5770. [Google Scholar] [CrossRef]
- Chen, F.; Jiang, S.; Xiong, H.; Yin, Z.; Chen, X. Micro pore analysis of suffusion in filter layer using tri-layer CFD–DEM model. Comput. Geotech. 2023, 156, 105303. [Google Scholar] [CrossRef]
- Che, H.; Werner, D.; Seville, J.; Wheldon, T.K.; Windows-Yule, K. Evaluation of coarse-grained CFD-DEM models with the validation of PEPT measurements. Particuology 2023, 82, 48–63. [Google Scholar] [CrossRef]
- Cheng, H.; Thornton, A.R.; Luding, S.; Hazel, A.L.; Weinhart, T. Concurrent multi-scale modeling of granular materials: Role of coarse-graining in FEM-DEM coupling. Comput. Methods Appl. Mech. Eng. 2023, 403, 115651. [Google Scholar] [CrossRef]
- Li, S.; Duan, G.; Sakai, M. Development of a reduced-order model for large-scale Eulerian–Lagrangian simulations. Adv. Powder Technol. 2022, 33, 103632. [Google Scholar] [CrossRef]
- Ganesan, S.; Tobiska, L. Finite Element Simulation of an Impinging Liquid Droplet. In Micro-Macro-Interaction: In Structured Media and Particle Systems; Bertram, A., Tomas, J., Eds.; Springer: Berlin/Heidelberg, Germany, 2008; pp. 173–185. [Google Scholar] [CrossRef]
- Tiwari, S.; Kuhnert, J. A Numerical Scheme for Solving Incompressible and Low Mach Number Flows by the Finite Pointset Method. In Meshfree Methods for Partial Differential Equations II; Griebel, M., Schweitzer, M.A., Eds.; Springer: Berlin/Heidelberg, Germany, 2005; pp. 191–206. [Google Scholar]
- Angelopoulos, P.M.; Peppas, A.; Taxiarchou, M. Modelling the Thermal Treatment and Expansion of Mineral Microspheres (Perlite) in Electric Furnace Through Computational Fluid Dynamics (CFD): Effect of Process Conditions and Feed Characteristics. Miner. Process. Extr. Metall. Rev. 2023, 1–18. [Google Scholar] [CrossRef]
- Liu, W.; He, Y.; Li, M.; Huang, C.; Liu, Y. Effect of drag models on hydrodynamic behaviors of slurry flows in horizontal pipes. Phys. Fluids 2022, 34, 103311. [Google Scholar] [CrossRef]
- Dueck, J.; Pikushchak, E.; Minkov, L.; Farghaly, M.; Neesse, T. Mechanism of hydrocyclone separation with water injection. Miner. Eng. 2010, 23, 289–294. [Google Scholar] [CrossRef]











| Eulerian Phases | Material Properties | ||
|---|---|---|---|
| Density | Dynamic Viscocity | Molecual Weight | |
| Water (Liquid phase) | 997.561 kg/m3 | 8.887 × 10−4 Pa-s | 18.0153 kg/kmol |
| Air (Gas phase) | 1.2 kg/m3 | 1.85508 × 10−5 Pa-s | 28.9664 kg/kmol |
| Lagrangian Phase | Material Properties | ||
|---|---|---|---|
| Density | Poission’s Ratio | Young’s Modulus | |
| Rubber | 1100.0 kg/m3 | 0.45 | 5.17 × 105 Pa |
| Parameter | Boundary Type | Variable |
|---|---|---|
| Feed Rate (m/s) | Inlet velocity | 3, 5, 10 |
| Underflow Diameter (mm) | Pressure outlet (Pa) | 0 |
| Overflow Diameter (mm) | Pressure outlet (Pa) | 0 |
| Vortex finder Depth (mm) | Wall | 20, 30, 35 |
Disclaimer/Publisher’s Note: The statements, opinions and data contained in all publications are solely those of the individual author(s) and contributor(s) and not of MDPI and/or the editor(s). MDPI and/or the editor(s) disclaim responsibility for any injury to people or property resulting from any ideas, methods, instructions or products referred to in the content. |
© 2023 by the authors. Licensee MDPI, Basel, Switzerland. This article is an open access article distributed under the terms and conditions of the Creative Commons Attribution (CC BY) license (https://creativecommons.org/licenses/by/4.0/).
Share and Cite
Hashe, V.T.; Kunene, T.J. Numerical Analysis of the Effect of the Vortex Finder on the Hydrocyclone’s Split Water Ratio and Separation Performance. Math. Comput. Appl. 2023, 28, 50. https://doi.org/10.3390/mca28020050
Hashe VT, Kunene TJ. Numerical Analysis of the Effect of the Vortex Finder on the Hydrocyclone’s Split Water Ratio and Separation Performance. Mathematical and Computational Applications. 2023; 28(2):50. https://doi.org/10.3390/mca28020050
Chicago/Turabian StyleHashe, Vuyo T., and Thokozani J. Kunene. 2023. "Numerical Analysis of the Effect of the Vortex Finder on the Hydrocyclone’s Split Water Ratio and Separation Performance" Mathematical and Computational Applications 28, no. 2: 50. https://doi.org/10.3390/mca28020050
APA StyleHashe, V. T., & Kunene, T. J. (2023). Numerical Analysis of the Effect of the Vortex Finder on the Hydrocyclone’s Split Water Ratio and Separation Performance. Mathematical and Computational Applications, 28(2), 50. https://doi.org/10.3390/mca28020050

