A Mathematical Model for Intimate Partner Violence
Abstract
:1. Introduction
2. Mathematical Modeling
2.1. Non-influenced Intimate Partner Interaction
- A0. In a similar way and following [10], we assume the existence of non-influenced steady states and for each individual, man and woman indexes, respectively. Those states are independent of each other intimate partner. Actually, they depend on their own personal history with respect to the IPV problem. For this reason, we assume that the non-influenced steady states are directly proportional to two causal factors: Violence seen in childhood and acceptance of violence. So, we define the non-influenced man’s violence steady state as and the non-influenced woman’s independence steady state as where are the parameters that quantify the violence watched in childhood for man and woman, respectively, and are the parameters that quantify the acceptance of machismo for the man and woman, respectively. Notice that the non-influenced independence index of the woman decreases according to the level of violence watched during her infancy and her acceptance of IPV [18]. We will discuss these parameters in more detail in the next section.
- A1. These non-influenced steady states correspond to an equilibrium point of the following differential equation system:where and are positive constant called “inertias” which are associated with the coping abilities with the problems of each individual of the couple. Mathematically, these coefficients correspond to the speed at which the system solutions tend to the equilibrium point. Note that is an asymptotically stable equilibrium point of the model, for any initial condition . This can be interpreted as, when there is not couple interaction and after an unusual event (violent or not), each individual tends to his or her non-influenced index or state.
2.2. Influenced Intimate Partner Interactions
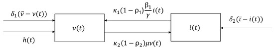
- A2. The rate at which the man’s violence index increases depends on the man’s need to control the woman which is caused by a low man’s self-esteem [14]. In particular, we assume that it is inversely proportional to the man self-esteem, in . Besides, we assume that the variation rate of depends linearly on the woman’s independence index. This is because the man will have more need to control the woman when woman becomes more independent. This is supported by patriarchal theory as described in [13]. Moreover, the coefficients in the modeling term were set considering the influence of the man’ s acceptance of machismo , as well as, possible self-regulatory failures . It is important to remark, that the self-regulatory factor of a person is something difficult to quantify because depends on several random factors. For these reason and as a first approximation, we assume that these coefficients are constant.
- A3. In an analogous way for the modeling term , we assume that the degree of violence that the man exerts against the woman, in addition with the influence of the social environment, are factors that can change the woman’s independence index. This might cause an increase in the level of the woman submission ( negative) caused by the social pressure of the woman’s family or friends to remain in the relationship. Or it can increase the level of the woman’s independence index ( positive) when the woman is enrolled in empowerment programs. Let us remark the importance of the sign change of which implies a turning point in the IPV dynamics of the couple. On the other hand, notice that is included in this term and is the woman’s self-regulatory coefficient. So, we propose that influences linearly the change rate of and vice versa.
- A4. According to the latest National Survey on Violence against Women in Mexico (ENVIM) [2], the frequency of alcohol consumption by a violent man is proportional to the number of aggressions perpetrated by a battering man. Also, that the alcohol consumption events are generally periodic with usually weekly or monthly periodicity. In order to model this behavior, we use the modeling term . We assume that this situation can be properly described by a sine function with parameters that allow us to control its amplitude () and its frequency (): , where is a positive constant.
2.3. Variable and Parameter Scales
3. Analysis of the Model without Alcohol Consumption
- Case 1. If we have that , then the equilibrium point is asymptotically stable, but the solutions are oscillating. A necessary condition is that which means that external factors make the woman’s independence index decrease. This may be caused by family or social pressure on the woman, or by her beliefs that lead her to a highly dependent state. In these circumstances, the IPV for this couple tends to the stable steady state which indicates woman submission and a constant level of IPV. It is important to remark that the left-hand side of the inequality is the difference between and . Then, we can have this case when the inertia coefficients are very similar or equal, and there is social pressure on the woman. Another way in which this condition may hold corresponds to a high social pressure, low self-regulatory conditions, high acceptance of machismo or very low man’s self-esteem.
- Case 2. If and , or equivalently , then the equilibrium point is asymptotically stable and the solutions are not oscillatory. Notice that could be positive or negative. For this case, we can find a lot of possible parameter combinations which could lead us to this situation where the intimate partner interaction stabilizes rapidly. That means that the man’s violence and the woman’s independence indexes reach a stationary level and remain there for a long time. Observe that in this case, the inertias for both of the members of the couple could be similar or different, one from each other. However, independently of this, the level of IPV will be high when there exists high acceptance of machismo, low self-esteem or low self-regulation for the man. Otherwise, the model predicts a moderated level of IPV. Another fact is that depending on the value, the level of the woman’s independence will stabilize on a level of independence or dependency.
- Case 3. If and or equivalently, , then the equilibrium point is unstable and it is necessary that for the condition holds. Notice that the condition means that external factors are leading to an increment in the woman’s independence index. In particular, this could be achieved through empowerment programs for the woman. Then, our model reproduces the reported fact that this type of programs can lead to break the IPV cycle. But, it is important to remark that other situations must also occur. For example, if the coefficients and are relatively high, the coefficients and have to be close to zero, and high, or small. In any case, we will have a steep climb on the IPV or the woman’s independence.
4. Numerical Simulations
4.1. Model without Alcohol Consumption
4.2. Model with Alcohol Consumption
5. Discussion of the Model and Its Application
6. Conclusions
Author Contributions
Funding
Conflicts of Interest
References
- WHO Multi-Country Study on Women’s Health and Domestic Violence against Women: Summary Report of Initial Results on Prevalence, Health Outcomes and Women’s Responses. Available online: https://www.who.int/reproductivehealth/publications/violence/24159358X/en/ (accessed on 1 March 2019).
- INEGI. Encuesta Nacional Sobre la Dinámica de las Relaciones en los Hogares. 2003. Available online: semujer.zacatecas.gob.mx/pdf/libros/Encuesta%20nacional%20sobre%20la%20dinamica%20de%20las%20relaciones%20en%20los%20hogares%202003%20ENDIREH.pdf (accessed on 1 March 2019).
- Caprioli, M.; Hudson, V.M.; McDermott, R.; Ballif-Spanvill, B.; Emmett, C.F.; Stearmer, S.M. The Womanstats Project Database: Advancing an Empirical Research Agenda. J. Peace Res. 2009, 46, 839–851. [Google Scholar] [CrossRef]
- Programme, U.N.D.; Malik, K. Human Development Report 2014: Sustaining Human Progress-Reducing Vulnerabilities and Building Resilience. Available online: http://hdr.undp.org/en/content/human-development-report-2014 (accessed on 1 March 2019).
- Wiley, S.A.; Levy, M.Z.; Branas, C.C. The impact of violence interruption on the diffusion of violence: A mathematical modeling approach. In Advances in the Mathematical Sciences; Springer: Berlin, Germany, 2016; pp. 225–249. [Google Scholar]
- Bourne, D.A. Mathematical Modeling of Pharmacokinetic Data; Routledge: Abingdon, UK, 2018. [Google Scholar]
- DeAngelis, D.L. Individual-Based Models and Approaches in Ecology: Populations, Communities and Ecosystems; CRC Press: Boca Raton, FL, USA, 2018. [Google Scholar]
- Sánchez, J.E.H.; Falconi, R.G. Instrumento para Medir el Empoderamiento de la Mujer; Universidad Juárez Autónoma de Tabasco: Villahermosa, Mexico, 2008. [Google Scholar]
- Poza, E.; Jódar, L.; Barreda, S. Mathematical modeling of hidden intimate partner violence in Spain: A quantitative and qualitative approach. Abstr. Appl. Anal. 2016, 2016, 1–8. [Google Scholar] [CrossRef]
- Gottman, J.; Swanson, C.; Murray, J. The mathematics of marital conflict: Dynamic mathematical nonlinear modeling of newlywed marital interaction. J. Fam. Psychol. 1999, 13, 3. [Google Scholar] [CrossRef]
- Gottman, J.M. The Mathematics of Marriage: Dynamic Nonlinear Models; MIT Press: Cambridge, MA, USA, 2005. [Google Scholar]
- Walker, L.E. The Battered Woman; Harper & Row: New York, NY, USA, 1980. [Google Scholar]
- Corsi, J.; Dohmen, M.L.; Sotes, M.A. Violencia Masculina en la Pareja: Una Aproximación al Dignóstico y A los Modelos de Intervención; Paidos Argentina: Buenos Aires, Argentina, 1995. [Google Scholar]
- Stith, S.M.; Farley, S.C. A predictive model of male spousal violence. J. Fam. Violence 1993, 8, 183–201. [Google Scholar] [CrossRef]
- Kim, J.C.; Watts, C.H.; Hargreaves, J.R.; Ndhlovu, L.X.; Phetla, G.; Morison, L.A.; Busza, J.; Porter, J.D.; Pronyk, P. Understanding the impact of a microfinance-based intervention on women’s empowerment and the reduction of intimate partner violence in South Africa. Am. J. Public Health 2007, 97, 1794–1802. [Google Scholar] [CrossRef] [PubMed]
- Finkel, E.J.; DeWall, C.N.; Slotter, E.B.; Oaten, M.; Foshee, V.A. Self-regulatory failure and intimate partner violence perpetration. J. Personal. Soc. Psychol. 2009, 97, 483. [Google Scholar] [CrossRef] [PubMed]
- Olaiz, G.; Rico, B.; Del Río, A. Encuesta Nacional sobre Violencia contra las Mujeres 2003; Instituto Nacional de Salud Pública: Cuernavaca Mor., Mexico, 2004. [Google Scholar]
- Carson, A.T.; Baker, R.C. Psychological correlates of codependency in women. Int. J. Addict. 1994, 29, 395–407. [Google Scholar] [CrossRef] [PubMed]
- Thompsn, M.P.; Basile, K.C.; Hertz, M.F.; Sitterle, D. Measuring Intimate Partner Violence Victimization and Perpetration: A Compendium of Assessment Tools; National Center for Injury Prevention and Control: Atlanta, GA, USA, 2006.
- Valdez-Santiago, R.; Híjar-Medina, M.C.; Salgado de Snyder, V.N.; Rivera-Rivera, L.; Avila-Burgos, L.; Rojas, R. Escala de violencia e índice de severidad: una propuesta metodológica para medir la violencia de pareja en mujeres mexicanas. Salud Pública de México 2006, 48, s221–s231. [Google Scholar] [CrossRef] [PubMed]
- Tronco Rosas, M.A. No sólo Ciencia y Tecnología. Ahora, el IPN a la Vanguardia en Perspectiva de género. El Programa Institucional de Gestión con Perspectiva de Género. Available online: http://www.genero.ipn.mx/Conocenos/Documents/MemoriaPIGPG.pdf (accessed on 1 March 2019).
- Garcia, D.; Weber, I.; Garimella, V.R.K. Gender Asymmetries in Reality and Fiction: The Bechdel Test of Social Media. In Proceedings of the 8th International AAAI Conference on Weblogs and Social Media, Ann Arbor, MI, USA, 1–4 June 2014; pp. 131–140. [Google Scholar]
- Gil-González, D.; Vives-Cases, C.; Ruiz, M.T.; Carrasco-Portino, M.; Álvarez-Dardet, C. Childhood experiences of violence in perpetrators as a risk factor of intimate partner violence: A systematic review. J. Public Health 2007, 30, 14–22. [Google Scholar] [CrossRef] [PubMed]
- Arciniega, G.M.; Anderson, T.C.; Tovar-Blank, Z.G.; Tracey, T.J. Toward a Fuller Conception of Machismo: Development of a Traditional Machismo and Caballerismo Scale. J. Couns. Psychol. 2008, 55, 19–33. [Google Scholar] [CrossRef]
- Bendezú, A. Los estereotipos de género y el riesgo del embarazo adolescente. Ph.D. Thesis, UNAM, México City, México, 1998. [Google Scholar]
- Robins, R.W.; Hendin, H.M.; Trzesniewski, K.H. Measuring Global Self-Esteem: Construct Validation of a Single-Item Measure and the Rosenberg Self-Esteem Scale. Personal. Soc. Psychol. Bull. 2001, 27, 151–161. [Google Scholar] [CrossRef]
- Sinclair, V.G.; Wallston, K.A. The Development and Psychometric Evaluation of the Brief Resilient Coping Scale. Assessment 2004, 11, 94–101. [Google Scholar] [CrossRef] [PubMed]
- Calleja, N. Escalas Psicosociales en México. Available online: http://www.psicologia.unam.mx/documentos/pdf/repositorio/InventarioEscalasPsicosocialesNaziraCalleja.pdf (accessed on 1 March 2019).





| Variable or Coefficient | Description | Scale | Reference |
|---|---|---|---|
| violence index | [20,21] | ||
| independence index | [22] | ||
| , | violence in childhood | [17,23] | |
| , | acceptance of machismo | [24,25] | |
| , | coping styles | several | [27,28] |
| , | self-regulatory coefficients | [16] | |
| man’s self-esteem | Rosenberg | [26] | |
| external factors | risk ratio | [15] |
© 2019 by the authors. Licensee MDPI, Basel, Switzerland. This article is an open access article distributed under the terms and conditions of the Creative Commons Attribution (CC BY) license (http://creativecommons.org/licenses/by/4.0/).
Share and Cite
Delgadillo-Aleman, S.; Ku-Carrillo, R.; Perez-Amezcua, B.; Chen-Charpentier, B. A Mathematical Model for Intimate Partner Violence. Math. Comput. Appl. 2019, 24, 29. https://doi.org/10.3390/mca24010029
Delgadillo-Aleman S, Ku-Carrillo R, Perez-Amezcua B, Chen-Charpentier B. A Mathematical Model for Intimate Partner Violence. Mathematical and Computational Applications. 2019; 24(1):29. https://doi.org/10.3390/mca24010029
Chicago/Turabian StyleDelgadillo-Aleman, Sandra, Roberto Ku-Carrillo, Brenda Perez-Amezcua, and Benito Chen-Charpentier. 2019. "A Mathematical Model for Intimate Partner Violence" Mathematical and Computational Applications 24, no. 1: 29. https://doi.org/10.3390/mca24010029
APA StyleDelgadillo-Aleman, S., Ku-Carrillo, R., Perez-Amezcua, B., & Chen-Charpentier, B. (2019). A Mathematical Model for Intimate Partner Violence. Mathematical and Computational Applications, 24(1), 29. https://doi.org/10.3390/mca24010029

