Nanofluid Convective Heat Transfer Enhancement Elliptical Tube inside Circular Tube under Turbulent Flow
Abstract
:1. Introduction
2. Theoretical Analysis
2.1. Physical Model
Deff = Do − Dh
2.2. Governing Equations
2.3. Assumptions
2.4. Boundary Conditions
2.5. Grid Independence Test
3. CFD Simulation
4. Results and Discussion
4.1. The Effect of Nanofluid Volume Concentrations
4.2. The Effect of Nanofluid Size Diameter
4.3. Comparison CFD Results with Experimental Data
5. Conclusions
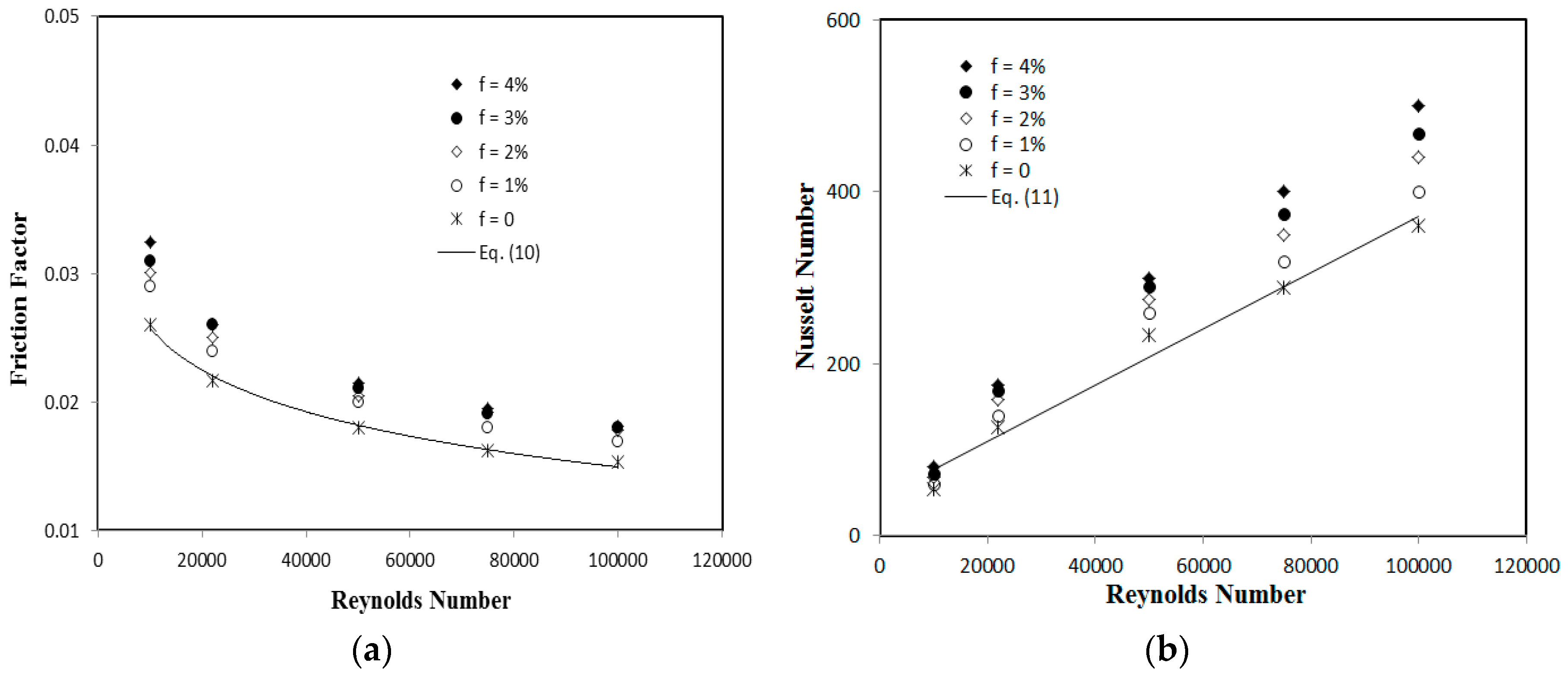
- The enhancement of friction factor and Nusselt numbers are 14% and 19% for enhanced tube than that of the circular tube at all Reynolds numbers.
- The concentration of volume (1%) of TiO2 nanofluid has the highest Nusselt number and friction factor values, followed by (0.75%, 0.5%, and 0.25%) finally pure water has the lowest values of them.
- There is a good agreement between simulation results and experimental data of Pak and Cho [7] with a deviation of 2% and 1.4% for Nu and friction factor respectively.
Author Contributions
Acknowledgments
Conflicts of Interest
Nomenclatures
| C | specific heat capacity [W/(kg·°C)] |
| D | diameter [m] |
| E | energy [W] |
| f | friction factor |
| h | convection heat transfer coefficient [W/(m2·°C)] |
| k | thermal conductivity [W/(m·°C)] |
| Nu | Nusselt Number [htc·D/Knf] |
| P | Pressure [N/m2] |
| Pr | Prandtle Number [C·μ/Knf] |
| Re | Renolds Number [ρnf·Dh·u/Knf] |
| u | Velocity [m/s] |
| μ | Viscosity [N·s /m2] |
| ρ | Density [kg/m3] |
| τ | Shear stress [N/m2] |
| φ | Volume concentration |
Subscripts
| f | liquid phases |
| p | solid particle |
| nf | nanofluid |
| h | hydraulic |
References
- Das, S.K.; Choi, S.U.; Yu, W.; Pradeep, T. Nanofluids: Science and Technology; John Wiley & Sons, Inc.: Hoboken, NJ, USA, 2007. [Google Scholar]
- Moghari, R.M. Two phase mixed convection Al2O3–water nanofluid flow in an elliptical tube. Int. J. Multiph. Flow 2011, 3, 585–595. [Google Scholar] [CrossRef]
- Hussein, A.M.; Bakar, R.A.; Kadirgama, K.; Sharma, K.V. The effect of nanofluid volume concentration on heat transfer and friction factor inside a horizontal tube. J. Nanomater. 2013, 2013, 1–12. [Google Scholar] [CrossRef]
- Puli, U.; Rajvanshi, A.K. An image analysis technique for determination of void fraction in sub cooled flow boiling of water in horizontal elliptical tube at high pressures. Int. J. Heat Fluid Flow 2012, 38, 180–189. [Google Scholar] [CrossRef]
- Hussein, A.M.; Bakar, R.A.; Kadirgama, K.; Sharma, K.V. Heat transfer enhancement with elliptical tube under turbulent flow TiO2–water nanofluid. Therm. Sci. 2016, 20, 89–97. [Google Scholar] [CrossRef]
- Heris, S.Z. Convective Heat Transfer of a Cu/Water Nanofluid Flowing through a Circular Tube. Exp. Heat Transf. 2009, 22, 217–227. [Google Scholar] [CrossRef]
- Pak, B.C.; Cho, Y.I. Hydrodynamic and Heat Transfer Study of Dispersed Fluids with Submicron Metallic Oxide Particles. Exp. Heat Transf. 1998, 11, 151–171. [Google Scholar] [CrossRef]
- Sharma, K.V.; Sarma, P.K.; Azmi, W.H.; Mamat, R.; Kadirgama, K. Correlations to Predict Friction and Forced Convection Heat Transfer Coefficients of Water Based Nanofluids for Turbulent Flow in a Tube. IJMNTFTP 2010, 3, 1–25. [Google Scholar]
- Kumar, P. A CFD Study of Heat Transfer Enhancement in Pipe Flow with Al2O3 Nanofluid. Eng. Tech. 2011, 57, 746–750. [Google Scholar]
- Bianco, V. Numerical Investigation on Nanofluids Turbulent Convection Heat Transfer inside a Circular Tube. Int. J. Therm. Sci. 2011, 50, 341–349. [Google Scholar] [CrossRef]
- Sundar, L.S.; Sharma, K.V. Turbulent Heat Transfer and Friction Factor of Al2O3 Nanofluid in Circular Tube with Twisted Tape Inserts. Int. J. Heat Mass Transf. 2010, 53, 1409–1416. [Google Scholar] [CrossRef]
- Durmus, A.; Durmus, A.; Esen, M. Investigation of heat transfer and pressure drop in a concentric heat exchanger with snail entrance. Appl. Therm. Eng. 2002, 22, 321–332. [Google Scholar] [CrossRef]
- Hussein, A.M.; Bakar, R.A.; Kadirgama, K.; Sharma, K.V. Study of forced convection nanofluid heat transfer in the automotive cooling system. Case Stud. Therm. Eng. 2014, 2, 50–61. [Google Scholar] [CrossRef]
- Hussein, A.M.; Bakar, R.A.; Kadirgama, K.; Sharma, K.V. Heat transfer enhancement by using nanofluids in an automotive cooling system. Int. Commun. Heat Mass Transf. 2014, 53, 195–202. [Google Scholar] [CrossRef]
- Manglik, R.M.; Bergles, A.E. Heat transfer and pressure drop correlations for twisted-tape inserts in isothermal tubes: Part II—Transition and turbulent flows. J. Heat Transf. 1992, 202, 99–106. [Google Scholar] [CrossRef]
- Sarma, P.K.; Subramanyam, T.; Kishore, P.S.; Dharma, R.V.; Kakac, S. Laminar convective heat transfer with twisted tape inserts in a tube. Int. J. Therm. Sci. 2003, 42, 821–828. [Google Scholar] [CrossRef]
- Duangthongsuk, W.; Wongwises, S. An Experimental Study on the Heat Transfer Performance and Pressure Drop of TiO2-Water Nanofluids Flowing under a Turbulent Flow Regime. Int. J. Heat Mass Transf. 2010, 53, 334–344. [Google Scholar] [CrossRef]
- Prajapati, O.S. Effect of Al2O3–Water Nanofluids in Convective Heat Transfer. Int. J. Nano Sci. 2012, 1, 1–4. [Google Scholar] [CrossRef]
- Kittur, B.G. On the Forced Convective Flow between Two Corrugated Cylinders. Adv. Theor. Appl. Mech. 2010, 3, 491–506. [Google Scholar]
- Bozorgan, N.; Mafi, M.; Bozorgan, N. Performance Evaluation of Al2O3/Water Nanofluid as Coolant in a Double-Tube Heat Exchanger Flowing under a Turbulent Flow Regime. Adv. Mech. Eng. 2012, 4, 891382. [Google Scholar] [CrossRef]
- Demir, H.; Dalkilic, A.S.; Kürekci, N.A.; Duangthongsuk, W.; Wongwises, S. Numerical investigation on the single phase forced convection heat transfer characteristics of TiO2 nanofluids in a double-tube counter flow heat exchanger. Int. Commun. Heat Mass Transf. 2011, 38, 218–228. [Google Scholar] [CrossRef]
- Luciu, R.S.; Mateescu, T.; Cotorobai, V.; Mare, T. Nusselt number and convection heat transfer coefficient for a coaxial heat exchanger using Al2O3–water pH = 5 nanofluid. Bul. Inst. Polit. Iasi 2009, 55, 71–80. [Google Scholar]
- Mohsen, S.; Rashidi, M.M.; Ganji, D.D. Effect of non-uniform magnetic field on forced convection heat transfer of Fe3O4–water nanofluid. Comput. Methods Appl. Mech. Eng. 2015, 294, 299–312. [Google Scholar]
- Rashidi, M.M.; Abelman, S.; Mehr, N.F. Entropy generation in steady MHD flow due to a rotating porous disk in a nanofluid. Int. J. Heat Mass Transf. 2013, 62, 515–525. [Google Scholar] [CrossRef]
- Hussein, A.M. Thermal performance and thermal properties of hybrid nanofluid laminar flow in a double pipe heat exchanger. Exp. Therm. Fluid Sci. 2017, 88, 37–45. [Google Scholar] [CrossRef]
- FLUENT 6.3 User’s Guide. Available online: https://www.sharcnet.ca/Software/Fluent6/html/ug/main_pre.htm (accessed on 23 September 2018).






© 2018 by the authors. Licensee MDPI, Basel, Switzerland. This article is an open access article distributed under the terms and conditions of the Creative Commons Attribution (CC BY) license (http://creativecommons.org/licenses/by/4.0/).
Share and Cite
Danook, S.H.; Jasim, Q.K.; Hussein, A.M. Nanofluid Convective Heat Transfer Enhancement Elliptical Tube inside Circular Tube under Turbulent Flow. Math. Comput. Appl. 2018, 23, 78. https://doi.org/10.3390/mca23040078
Danook SH, Jasim QK, Hussein AM. Nanofluid Convective Heat Transfer Enhancement Elliptical Tube inside Circular Tube under Turbulent Flow. Mathematical and Computational Applications. 2018; 23(4):78. https://doi.org/10.3390/mca23040078
Chicago/Turabian StyleDanook, Suad Hassan, Qusay Kamel Jasim, and Adnan Mohammed Hussein. 2018. "Nanofluid Convective Heat Transfer Enhancement Elliptical Tube inside Circular Tube under Turbulent Flow" Mathematical and Computational Applications 23, no. 4: 78. https://doi.org/10.3390/mca23040078
APA StyleDanook, S. H., Jasim, Q. K., & Hussein, A. M. (2018). Nanofluid Convective Heat Transfer Enhancement Elliptical Tube inside Circular Tube under Turbulent Flow. Mathematical and Computational Applications, 23(4), 78. https://doi.org/10.3390/mca23040078

