Modified Polyethersulfone Ultrafiltration Membrane for Enhanced Antifouling Capacity and Dye Catalytic Degradation Efficiency
Abstract
:1. Introduction
2. Experimental
2.1. Materials and Reagents
2.2. Synthesis of MoS2-FeOOH Nanoparticles
2.3. Preparation of MoS2-FeOOH/PES Composite Membrane
2.4. Characterization of MoS2-FeOOH Nanoparticles and Membranes
2.4.1. Characterization of Catalysts and Membranes
2.4.2. Permeability and Rejection Tests
2.4.3. Fouling Tests of the Membranes
2.5. Catalytic Characterization of Catalysts and Membranes
2.5.1. Catalytic Activity of the MoS2-FeOOH
2.5.2. Catalytic Property of MoS2-FeOOH Membranes
2.5.3. Filtration and Antifouling Performance of MoS2-FeOOH Membranes
3. Results and Discussion
3.1. Characterization of MoS2 and MoS2-FeOOH Nanoparticles
3.2. Characterization of MoS2-FeOOH/PES Composite Membranes
3.3. Ultrafiltration Performance of MoS2-FeOOH/PES Composite Membranes
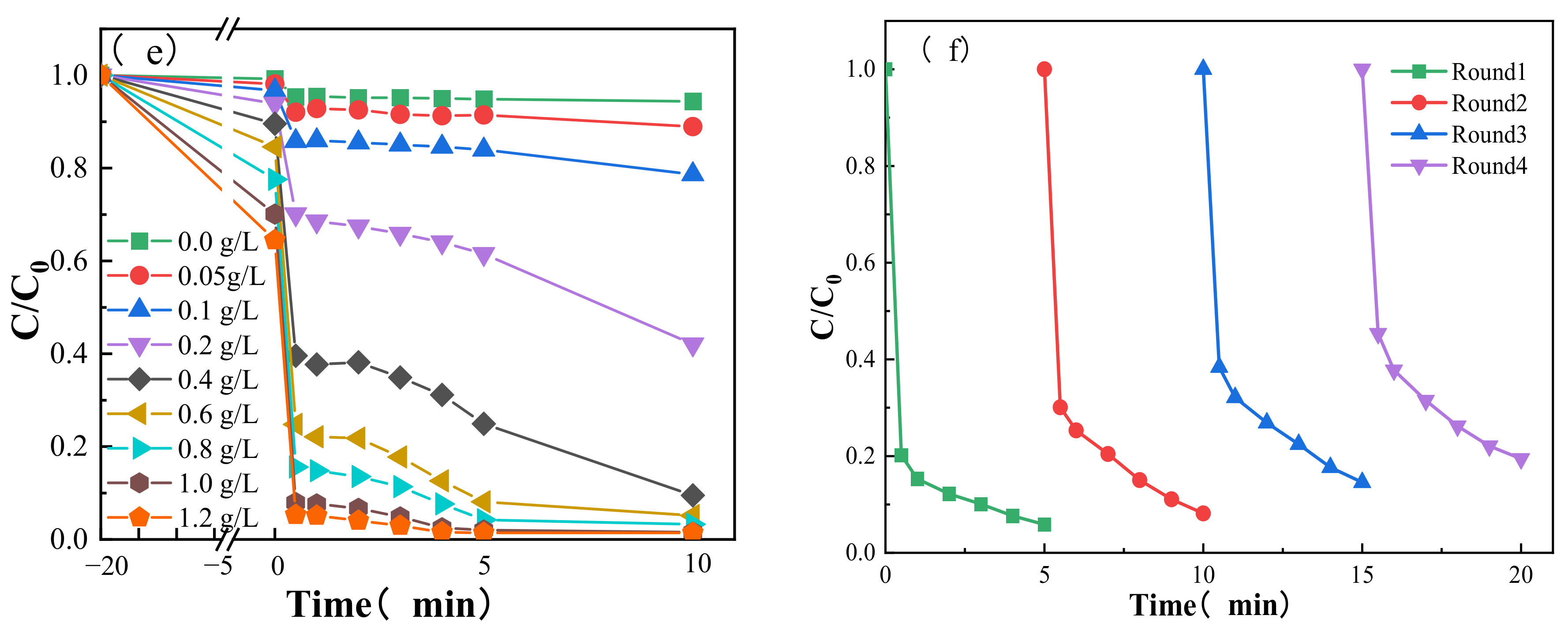
3.4. Catalysis Performance of the MoS2-FeOOH/PES Membranes
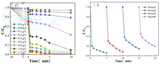
3.5. Antifouling Performance of Membranes with H2O2 Dosing
3.6. Catalytic Self-Cleaning Mechanism in the MoS2-FeOOH/PES System
4. Conclusions
Author Contributions
Funding
Conflicts of Interest
References
- Sagbo, O.; Sun, Y.; Hao, A.; Gu, P. Effect of PAC addition on MBR process for drinking water treatment. Sep. Purif. Technol. 2008, 58, 320–327. [Google Scholar] [CrossRef]
- Liu, M.H.; He, Q.Y.; Guo, Z.W.; Zhang, K.F.; Yu, S.C.; Gao, C.J. Composite reverse osmosis membrane with a selective separation layer of double-layer structure for enhanced desalination, anti-fouling and durability properties. Desalination 2021, 499, 114838. [Google Scholar] [CrossRef]
- Lin, J.Y.; Huang, J.M.; Wang, J.; Yu, J.W.; You, X.Q.; Lin, X.C.; Van Der Bruggen, B.; Zhao, S.F. High-performance porous anion exchange membranes for efficient acid recovery from acidic wastewater by diffusion dialysis. J. Membr. Sci. 2021, 624, 119116. [Google Scholar] [CrossRef]
- Rahimpour, A.; Madaeni, S.S.; Ghorbani, S.; Shockravi, A.; Mansourpanah, Y. The influence of sulfonated polyethersulfone (SPES) on surface nano-morphology and performance of polyethersulfone (PES) membrane. Appl. Surf. Sci. 2010, 256, 1825–1831. [Google Scholar] [CrossRef]
- Werber, J.R.; Osuji, C.O.; Elimelech, M. Materials for next-generation desalination and water purification membranes. Nat. Rev. Mater. 2016, 1, 16018. [Google Scholar] [CrossRef]
- Wang, W.Y.; Zhu, L.Y.; Shan, B.J.; Xie, C.C.; Liu, C.N.; Cui, F.Y.; Li, G.F. Preparation and characterization of SLS-CNT/PES ultrafiltration membrane with antifouling and antibacterial properties. J. Membr. Sci. 2018, 548, 459–469. [Google Scholar] [CrossRef]
- Mokhtari, S.; Rahimpour, A.; Shamsabadi, A.A.; Habibzadeh, S.; Soroush, M. Enhancing performance and surface antifouling properties of polysulfone ultrafiltration membranes with salicylate-alumoxane nanoparticles. Appl. Surf. Sci. 2017, 393, 93–102. [Google Scholar] [CrossRef]
- Pejman, M.; Firouzjaei, M.D.; Aktij, S.A.; Das, P.; Zolghadr, E.; Jafarian, H.; Shamsabadi, A.A.; Elliott, M.; Esfahani, M.R.; Sangermano, M.; et al. Improved antifouling and antibacterial properties of forward osmosis membranes through surface modification with zwitterions and silver-based metal organic frameworks. J. Membr. Sci. 2020, 611, 118352. [Google Scholar] [CrossRef]
- Firouzjaei, M.D.; Shamsabadi, A.A.; Aktij, S.A.; Seyedpour, S.F.; Sharifian Gh, M.; Rahimpour, A.; Esfahani, M.R.; Ulbricht, M.; Soroush, M. Exploiting Synergetic Effects of Graphene Oxide and a Silver-Based Metal-Organic Framework to Enhance Antifouling and Anti-Biofouling Properties of Thin-Film Nanocomposite Membranes. ACS Appl. Mater. Interfaces 2018, 10, 42967–42978. [Google Scholar] [CrossRef]
- Aghapour Aktij, S.; Zirehpour, A.; Mollahosseini, A.; Taherzadeh, M.J.; Tiraferri, A.; Rahimpour, A. Feasibility of membrane processes for the recovery and purification of bio-based volatile fatty acids: A comprehensive review. J. Ind. Eng. Chem. 2020, 81, 24–40. [Google Scholar] [CrossRef]
- Wang, M.; Shu, Z.; Zhang, L.; Fan, X.; Tao, G.; Wang, Y.; Chen, L.; Wu, M.; Shi, J. Amorphous Fe2+-rich FeOx loaded in mesoporous silica as a highly efficient heterogeneous Fenton catalyst. Dalton Trans. 2014, 43, 9234–9241. [Google Scholar] [CrossRef]
- Lin, H.; Fang, Q.; Wang, W.; Li, G.; Liu, F. Prussian Blue/PVDF Catalytic Membrane with Exceptional and Stable Fenton Oxidation Performance for Organic Pollutants Removal. Appl. Catal. B Environ. 2020, 273, 119047. [Google Scholar] [CrossRef]
- Mukherjee, M.; De, S. Robust self cleaning polypyrrole-polysulfone blend hollow fiber membrane for biofouling mitigation. J. Chem. Technol. Biotechnol. 2018, 93, 3185–3198. [Google Scholar] [CrossRef]
- Ko, K.; Yu, Y.J.; Kim, M.J.; Kweon, J.; Chung, H. Improvement in fouling resistance of silver-graphene oxide coated polyvinylidene fluoride membrane prepared by pressurized filtration. Sep. Purif. Technol. 2018, 194, 161–169. [Google Scholar] [CrossRef]
- Garcia-Ivars, J.; Durá-María, J.; Moscardó-Carre, O.C.; Carbonell-Alcaina, C.; Alcaina-Miranda, M.I.; Iborra-Clar, M.I. Rejection of trace pharmaceutically active compounds present in municipal wastewaters using ceramic fine ultrafiltration membranes: Effect of feed solution pH and fouling phenomena. Sep. Purif. Technol. 2017, 175, 58–71. [Google Scholar] [CrossRef]
- Liu, Y.; Lin, Q.; Guo, Y.; Zhao, J.; Luo, X.; Zhang, H.; Li, G.; Liang, H. The nitrogen-doped multi-walled carbon nanotubes modified membrane activated peroxymonosulfate for enhanced degradation of organics and membrane fouling mitigation in natural waters treatment. Water Res. 2022, 209, 117960. [Google Scholar] [CrossRef]
- Chen, Y.; Zhang, G.; Liu, H.; Qu, J. Confining Free Radicals in Close Vicinity to Contaminants Enables Ultrafast Fenton-like Processes in the Interspacing of MoS2 Membranes. Angew. Chem. 2019, 58, 8134–8138. [Google Scholar] [CrossRef]
- Rahimpour, A.; Madaeni, S.S.; Mansourpanah, Y. Nano-porous polyethersulfone (PES) membranes modified by acrylic acid (AA) and 2-hydroxyethylmethacrylate (HEMA) as additives in the gelation media. J. Membr. Sci. 2010, 364, 380–388. [Google Scholar] [CrossRef]
- Hofman, M.; Pietrzak, R. Copper ions removal from liquid phase by polyethersulfone (PES) membranes functionalized by introduction of carbonaceous materials. Chem. Eng. J. 2013, 215, 216–221. [Google Scholar] [CrossRef]
- Kallem, P.; Ibrahim, Y.; Hasan, S.W.; Show, P.L.; Banat, F. Fabrication of novel polyethersulfone (PES) hybrid ultrafiltration membranes with superior permeability and antifouling properties using environmentally friendly sulfonated functionalized polydopamine nanofillers. Sep. Purif. Technol. 2021, 261, 118311. [Google Scholar] [CrossRef]
- Etemadi, H.; Fonouni, M.; Yegani, R. Investigation of antifouling properties of polypropylene/TiO2 nanocomposite membrane under different aeration rate in membrane bioreactor system. Biotechnol. Rep. 2020, 25, e00414. [Google Scholar] [CrossRef]
- Sun, M.; Zucker, I.; Davenport, D.M.; Zhou, X.; Qu, J.; Elimelech, M. Reactive, Self-Cleaning Ultrafiltration Membrane Functionalized with Iron Oxychloride Nanocatalysts. Environ. Sci. Technol. 2018, 52, 8674–8683. [Google Scholar] [CrossRef]
- Chen, F.T.; Shi, X.X.; Chen, X.B.; Chen, W.X. An iron (II) phthalocyanine/poly(vinylidene fluoride) composite membrane with antifouling property and catalytic self-cleaning function for high-efficiency oil/water separation. J. Membr. Sci. 2018, 552, 295–304. [Google Scholar] [CrossRef]
- Senthilnathan, J.; Younis, S.A.; Kwon, E.E.; Surenjan, A.; Yoshimura, M. An efficient system for electro-Fenton oxidation of pesticide by a reduced graphene oxide-aminopyrazine@3DNi foam gas diffusion electrode. J. Hazard. Mater. 2020, 400, 123323. [Google Scholar] [CrossRef]
- Wang, Y.; Zhao, G.; Chai, S.; Zhao, H.; Wang, Y. Three-Dimensional Homogeneous Ferrite-Carbon Aerogel: One Pot Fabrication and Enhanced Electro-Fenton Reactivity. ACS Appl. Mater. Interfaces 2013, 5, 842–852. [Google Scholar] [CrossRef]
- Chhowalla, M.; Shin, H.S.; Eda, G.; Li, L.J.; Loh, K.P.; Zhang, H. The chemistry of two-dimensional layered transition metal dichalcogenide nanosheets. Nat. Chem. 2013, 5, 263–275. [Google Scholar] [CrossRef]
- Li, X.; Zhang, C.; Xin, S.; Yang, Z.-C.; Li, Y.; Zhang, D.; Yao, P. A Facile Synthesis of MoS2/Reduced Graphene Oxide@Polyaniline for High-Performance Supercapacitors. ACS Appl. Mater. Interfaces 2016, 8, 21373–21380. [Google Scholar] [CrossRef]
- Wang, X.; Zhang, S.; Gao, H.; Huang, Y.; Wang, X.; Hayat, T.; Li, J.; Xu, X.J. Ultrathin g-C3N4 nanosheets coupled with amorphous Cu doped FeOOH nanoclusters as 2D/0D heterogeneous catalysts for water remediation. Environ. Sci. Nano 2018, 5, 1179–1190. [Google Scholar]
- Abdi, S.; Nasiri, M.; Yuan, S.S.; Zhu, J.Y.; Van der Bruggen, B. Fabrication of PES-based super-hydrophilic ultrafiltration membranes by combining hydrous ferric oxide particles and UV irradiation. Sep. Purif. Technol. 2021, 259, 118132. [Google Scholar] [CrossRef]
- Sukitpaneenit, P.; Chung, T.-S. Molecular design of the morphology and pore size of PVDF hollow fiber membranes for ethanol–water separation employing the modified pore-flow concept. J. Membr. Sci. 2011, 374, 67–82. [Google Scholar] [CrossRef]
- Nicewicz, D.A.; Nguyen, T.M. Recent Applications of Organic Dyes as PhotoredoxCatalysts in Organic Synthesis. ACS Catal. 2014, 4, 355–360. [Google Scholar] [CrossRef]
- Yong, G.; Meng, H.; Mi, B. Membrane surface modification with TiO2–graphene oxide for enhanced photocatalytic performance. J. Membr. Sci. 2014, 455, 349–356. [Google Scholar]
- Chen, J.; Meng, X.; Tian, Y.; Wang, X.; Zhu, J.; Zheng, H.; Wang, L. Fabrication of a superhydrophilic PVDF-g-PAA@FeOOH ultrafiltration membrane with visible light photo-fenton self-cleaning performance. J. Membr. Sci. 2020, 616, 118587. [Google Scholar] [CrossRef]
- Wang, Z.; Meng, C.; Zhang, W.; Zhang, S.; Yang, B.; Zhang, Z. Honeycomb-like holey Co3O4 membrane triggered peroxymonosulfate activation for rapid degradation of organic contaminants. Sci. Total Environ. 2022, 814, 152698. [Google Scholar] [CrossRef] [PubMed]
- Huong Le, T.X.; Dumée, L.F.; Lacour, S.; Rivallin, M.; Yi, Z.; Kong, L.; Bechelany, M.; Cretin, M. Hybrid graphene-decorated metal hollow fibre membrane reactors for efficient electro-Fenton-Filtration co-processes. J. Membr. Sci. 2019, 587, 117182. [Google Scholar] [CrossRef]
- Sun, H.; Tang, B.; Wu, P. Development of Hybrid Ultrafiltration Membranes with Improved Water Separation Properties Using Modified Superhydrophilic Metal–Organic Framework Nanoparticles. ACS Appl. Mater. Interfaces 2017, 9, 21473–21484. [Google Scholar] [CrossRef]
- Fu, W.; Zhang, W. Chemical aging and impacts on hydrophilic and hydrophobic polyether sulfone (PES) membrane filtration performances. Polym. Degrad. Stab. 2019, 168, 108960. [Google Scholar] [CrossRef]
- Wang, R.; Zhao, X.; Lan, Y.; Liu, L.; Gao, C. In situ metal-polyphenol interfacial assembly tailored superwetting PES/SPES/MPN membranes for oil-in-water emulsion separation. J. Membr. Sci. 2020, 615, 118566. [Google Scholar] [CrossRef]
- Feng, H.; Liu, J.; Mu, Y.F.; Lu, N.; Zhang, S.L.; Zhang, M.; Luan, J.S.; Wang, G.B. Hybrid ultrafiltration membranes based on PES and MOFs @ carbon quantum dots for improving anti-fouling performance. Sep. Purif. Technol. 2021, 266, 118586. [Google Scholar] [CrossRef]
- Mantel, T.; Benne, P.; Parsin, S.; Ernst, M. Electro-Conductive Composite Gold-Polyethersulfone-Ultrafiltration-Membrane: Characterization of Membrane and Natural Organic Matter (NOM) Filtration Performance at Different In-Situ Applied Surface Potentials. Membranes 2018, 8, 64. [Google Scholar] [CrossRef] [Green Version]
- Makhetha, T.A.; Moutloali, R.M. Antifouling properties of Cu(tpa)@GO/PES composite membranes and selective dye rejection. J. Membr. Ence 2018, 554, 195–210. [Google Scholar] [CrossRef]
- Wang, T.; Wang, Z.; Wang, P.; Tang, Y. An integration of photo-Fenton and membrane process for water treatment by a PVDF@CuFe2O4 catalytic membrane. J. Membr. Sci. 2019, 572, 419–427. [Google Scholar] [CrossRef]
- Zhang, L.-P.; Liu, Z.; Faraj, Y.; Zhao, Y.; Zhuang, R.; Xie, R.; Ju, X.-J.; Wang, W.; Chu, L.-Y. High-flux efficient catalytic membranes incorporated with iron-based Fenton-like catalysts for degradation of organic pollutants. J. Membr. Sci. 2019, 573, 493–503. [Google Scholar] [CrossRef]
- Wang, X.; Feng, M.; Liu, Y.; Deng, H.; Lu, J. Fabrication of graphene oxide blended polyethersulfone membranes via phase inversion assisted by electric field for improved separation and antifouling performance. J. Membr. Sci. 2019, 577, 41–50. [Google Scholar] [CrossRef]
- Chakraborty, S.; Loutatidou, S.; Palmisano, G.; Kujawa, J.; Mavukkandy, M.O.; Al-Gharabli, S.; Curcio, E.; Arafat, H.A. Photocatalytic hollow fiber membranes for the degradation of pharmaceutical compounds in wastewater. J. Environ. Chem. Eng. 2017, 5, 5014–5024. [Google Scholar] [CrossRef]
- Peller, J.; Wiest, O.; Kamat, P.V. Sonolysis of 2,4-Dichlorophenoxyacetic Acid in Aqueous Solutions. Evidence for •OH-Radical-Mediated Degradation. J. Phys. Chem. A 2001, 105, 3176–3181. [Google Scholar] [CrossRef]
- Feng, J.; Chu, C.; Ma, Z. Fenton and Fenton-like catalysts for electrochemical immunoassay: A mini review. Electrochem. Commun. 2021, 125, 106970. [Google Scholar] [CrossRef]
- Wang, N.; Zheng, T.; Zhang, G.; Wang, P. A review on Fenton-like processes for organic wastewater treatment. J. Environ. Chem. Eng. 2016, 4, 762–787. [Google Scholar] [CrossRef] [Green Version]
- Xing, M.Y.; Xu, W.J.; Dong, C.C.; Bai, Y.C.; Zeng, J.B.; Zhou, Y.; Zhang, J.L.; Yin, Y.D. Metal Sulfides as Excellent Co-Catalysts for H2O2 Decomposition in Advanced Oxidation Processes. Chem 2018, 4, 1359–1372. [Google Scholar] [CrossRef] [Green Version]











| Membrane Name | PES (%) | DMAc (%) | PEG (%) | MoS2-FeOOH (%) |
|---|---|---|---|---|
| M0 | 15.00 | 65.00 | 20.00 | 0.00 |
| M1 | 15.00 | 64.25 | 20.00 | 0.75 |
| M2 | 15.00 | 63.50 | 20.00 | 1.50 |
| M3 | 15.00 | 62.75 | 20.00 | 2.25 |
| M4 | 15.00 | 62.00 | 20.00 | 3.00 |
| Membrane Type | Porosity (%) | Average Aperture (nm) | Contact Angle (°) |
|---|---|---|---|
| M0 | 77.6 | 27.0 | 49.2 |
| M1 | 82.5 | 27.6 | 37.6 |
| M2 | 83.5 | 28.8 | 35.1 |
| M3 | 85.1 | 30.4 | 31.6 |
| M4 | 85.8 | 31.6 | 34.3 |
| Polymer Nanofiller | Flux (Lm−2h−1) | Rejection (%) | Goal | Refs. | |
|---|---|---|---|---|---|
| PES | Cu(tpa)@GO | 130 (0.18 MPa) | Congo Red ≥ 50 Methylene Blue <20 | Antifouling and dye separation | [41] |
| PES | Fe3O4@SiO2 | 2084 (0.1 MPa) | Methylene Blue =90 | High-flux, antifouling and dye separation | [43] |
| PES | GO | 289.63 (0.4 MPa) | Methylene read =67 Methylene orange =55 Congo read =95 | Antifouling and dye separation | [44] |
| PES | TiO2 | 142 (1 MPa) | Methylene Blue =30 | Effective treatment of dye polluted wastewater | [45] |
| PES | MoS2-FeOOH | 385 (0.1 MPa) | Methylene Blue =60 | High-flux, antifouling and dye separation | This work |
Publisher’s Note: MDPI stays neutral with regard to jurisdictional claims in published maps and institutional affiliations. |
© 2022 by the authors. Licensee MDPI, Basel, Switzerland. This article is an open access article distributed under the terms and conditions of the Creative Commons Attribution (CC BY) license (https://creativecommons.org/licenses/by/4.0/).
Share and Cite
Wang, M.; Sun, F.; Zeng, H.; Su, X.; Zhou, G.; Liu, H.; Xing, D. Modified Polyethersulfone Ultrafiltration Membrane for Enhanced Antifouling Capacity and Dye Catalytic Degradation Efficiency. Separations 2022, 9, 92. https://doi.org/10.3390/separations9040092
Wang M, Sun F, Zeng H, Su X, Zhou G, Liu H, Xing D. Modified Polyethersulfone Ultrafiltration Membrane for Enhanced Antifouling Capacity and Dye Catalytic Degradation Efficiency. Separations. 2022; 9(4):92. https://doi.org/10.3390/separations9040092
Chicago/Turabian StyleWang, Mingming, Feiyun Sun, Haojie Zeng, Xiaoli Su, Guofei Zhou, Hao Liu, and Dingyu Xing. 2022. "Modified Polyethersulfone Ultrafiltration Membrane for Enhanced Antifouling Capacity and Dye Catalytic Degradation Efficiency" Separations 9, no. 4: 92. https://doi.org/10.3390/separations9040092
APA StyleWang, M., Sun, F., Zeng, H., Su, X., Zhou, G., Liu, H., & Xing, D. (2022). Modified Polyethersulfone Ultrafiltration Membrane for Enhanced Antifouling Capacity and Dye Catalytic Degradation Efficiency. Separations, 9(4), 92. https://doi.org/10.3390/separations9040092
