Experimental Design Assisted HPLC/UV and LC-MS/MS for Simultaneous Determination of Selected Veterinary Antibiotics in Broiler Chicken
Abstract
1. Introduction
2. Materials and Methods
2.1. Instrumentation
2.2. Chemicals and Reagents
2.3. Sample Preparation
2.3.1. Tissue Samples Fortification
2.3.2. Collection of Samples
2.3.3. Extraction Procedure
2.3.4. Experimental Designs
2.4. Chromatographic Conditions for HPLC-UV Method
2.5. Experimental Design
2.5.1. Screening Experiments for HPLC-UV Method Using FFD
2.5.2. Optimization of the HPLC-UV Method
2.6. LC/MS/MS Analysis
2.7. Standard and Calibration Solutions
3. Results and Discussion
3.1. Samples Extraction
3.2. HPLC-UV Method
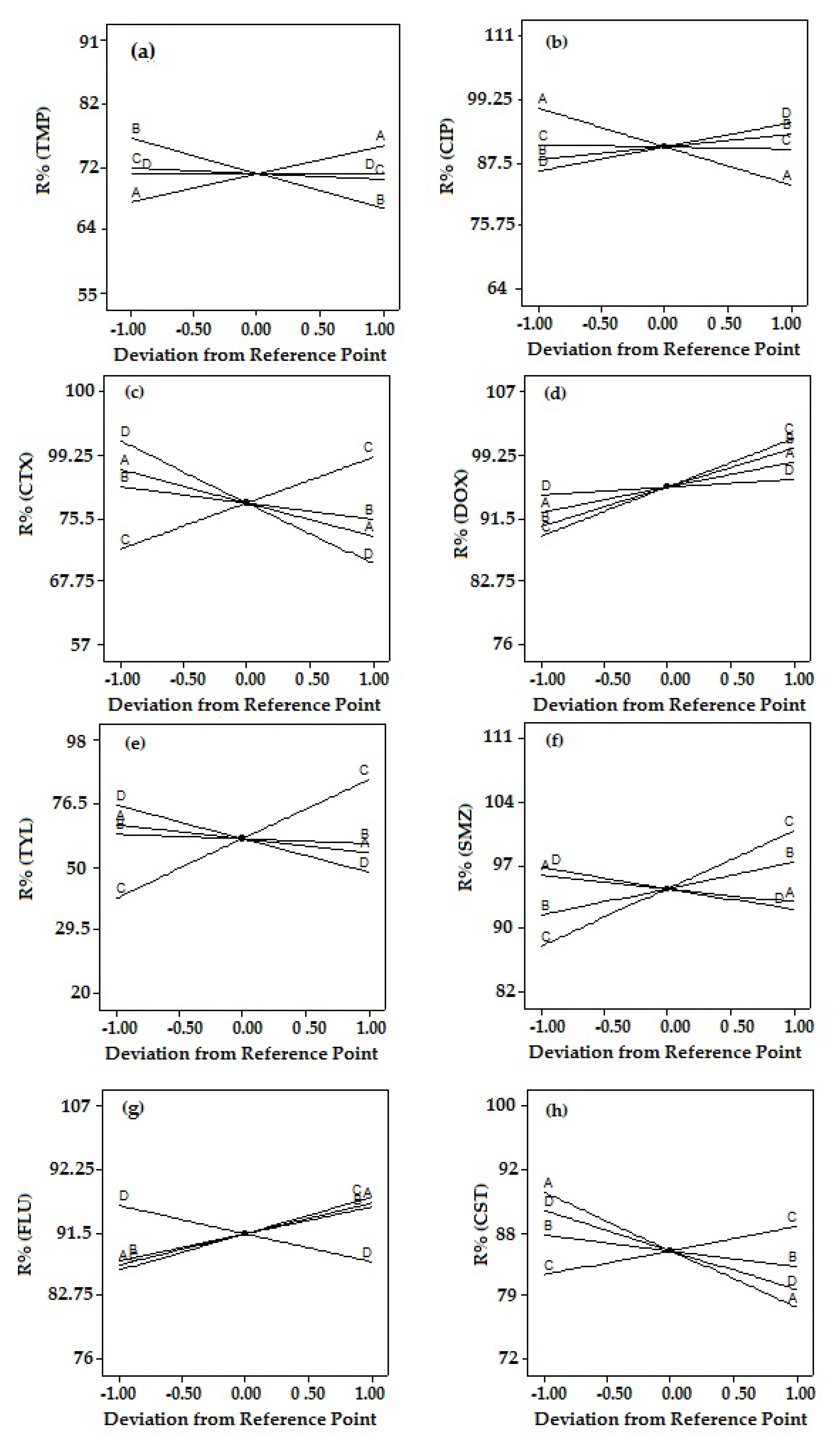
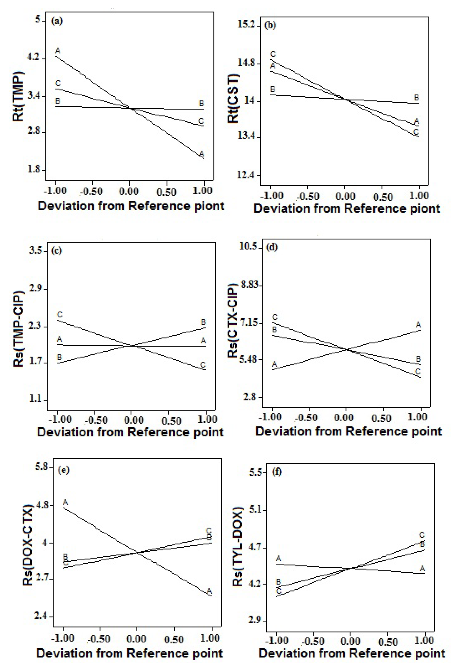
3.2.1. Screening Experiments by FFD
3.2.2. Optimization by CCD
3.3. Methods Validation
3.3.1. Linearity and Range
3.3.2. Detection and Quantitation Limit
3.3.3. Accuracy and Precision
3.3.4. Selectivity
3.3.5. Stability
3.4. Real Sample Analysis
3.4.1. HPLC-UV Analysis
3.4.2. LC/MS/MS Analysis
4. Conclusions
Supplementary Materials
Author Contributions
Funding
Institutional Review Board Statement
Informed Consent Statement
Data Availability Statement
Acknowledgments
Conflicts of Interest
References
- Ben Lagha, A.; Haas, B.; Gottschalk, M.; Grenier, D. Antimicrobial potential of bacteriocins in poultry and swine production. Veter Res. 2017, 48, 22. [Google Scholar] [CrossRef] [PubMed]
- Jank, L.; Martins, M.T.; Arsand, J.B.; Motta, T.M.C.; Feijó, T.C.; Castilhos, T.D.S.; Hoff, R.B.; Barreto, F.; Pizzolato, T.M. Liquid Chromatography–Tandem Mass Spectrometry Multiclass Method for 46 Antibiotics Residues in Milk and Meat: Development and Validation. Food Anal. Methods 2017, 10, 2152–2164. [Google Scholar] [CrossRef]
- Dubois, M.; Fluchard, D.; Sior, E.; Delahaut, P. Identification and quantification of five macrolide antibiotics in several tissues, eggs and milk by liquid chromatography–electrospray tandem mass spectrometry. J. Chromatogr. B Biomed. Sci. Appl. 2001, 753, 189–202. [Google Scholar] [CrossRef]
- Berrada, H.; Moltó, J.C.; Mañes, J.; Font, G. Determination of aminoglycoside and macrolide antibiotics in meat by pressurized liquid extraction and LC-ESI-MS. J. Sep. Sci. 2010, 33, 522–529. [Google Scholar] [CrossRef] [PubMed]
- García-Galán, M.J.; Díaz-Cruz, M.S.; Barceló, D. Identification and determination of metabolites and degradation products of sulfonamide antibiotics. Trends Anal. Chem. 2008, 27, 1008–1022. [Google Scholar] [CrossRef]
- Moffat, A.C.; Osselton, M.D.; Widdop, B.; Watts, J. Clarke’s Analysis of Drugs and Poisons. In Pharmaceuticals, Body Fluids and Postmortem Material; Pharmaceutical Press: London, UK, 2011. [Google Scholar]
- Balizs, G.; Hewitt, A. Determination of veterinary drug residues by liquid chromatography and tandem mass spectrometry. Anal. Chim. Acta 2003, 492, 105–131. [Google Scholar] [CrossRef]
- Carlucci, G. Analysis of fluoroquinolones in biological fluids by high-performance liquid chromatography. J. Chromatogr. A 1998, 812, 343–367. [Google Scholar] [CrossRef]
- Dudley, M.N.; Barriere, S.L. Cefotaxime: Microbiology, pharmacology, and clinical use. Clin. Pharm. 1982, 1, 114–124. [Google Scholar]
- Davies, M.; Walsh, T.R. A colistin crisis in India. Lancet Infect. Dis. 2018, 18, 256–257. [Google Scholar] [CrossRef]
- Naeem, M.; Khan, K.; Rafiq, S. Determination of residues of quinolones in poultry products by high pressure liquid chromatography. Res. J. Appl. Sci. 2006, 6, 373–379. [Google Scholar] [CrossRef]
- Cheong, C.; Hajeb, P.; Jinap, S.; Ismail-Fitry, M. Sulfonamides determination in chicken meat products from Malaysia. Int. Food Res. J. 2010, 17, 885–892. [Google Scholar]
- Gajda, A.; Posyniak, A.; Zmudzki, J.; Tomczyk, G. Determination of doxycycline in chicken fat by liquid chromatography with UV detection and liquid chromatography–tandem mass spectrometry. J. Chromatogr. B Biomed. Appl. 2013, 928, 113–120. [Google Scholar] [CrossRef] [PubMed]
- Sattar, S.; Hassan, M.M.; Islam, S.K.M.A.; Alam, M.; Al Faruk, S.; Chowdhury, S.; Saifuddin, A.K.M. Antibiotic residues in broiler and layer meat in Chittagong district of Bangladesh. Veter World 2014, 7, 738–743. [Google Scholar] [CrossRef]
- Hasanen, F.S.; Mohammed, M.M.; Mahomud, A.H.; Hassan, W.M.; Amro, F.H. Ciprofloxacin residues in chicken and turkey carcasses. Benha Veter Med. J. 2016, 31, 136–143. [Google Scholar] [CrossRef]
- Tajabadi, F.; Ghambarian, M.; Yamini, Y.; Yazdanfar, N. Combination of hollow fiber liquid phase microextraction followed by HPLC-DAD and multivariate curve resolution to determine antibacterial residues in foods of animal origin. Talanta 2016, 160, 400–409. [Google Scholar] [CrossRef]
- Ramatla, T.; Ngoma, L.; Adetunji, M.; Mwanza, M. Evaluation of Antibiotic Residues in Raw Meat Using Different Analytical Methods. Antibiotics 2017, 6, 34. [Google Scholar] [CrossRef]
- Arslanbaş, E.; Şahin, S.; Kalın, R.; Moğulkoç, M.; Güngör, H. Determination of Some Antibiotic Residues by HPLC Method in Chicken Meats Prepared for Consumption. Erciyes Üniv. Veter Fak. Derg. 2018, 15, 247–252. [Google Scholar] [CrossRef][Green Version]
- Lakew, A.; Assefa, T.; Woldeyohannes, M.; Megersa, N.; Chandravanshi, B.S. Development and validation of liquid chromatography method for simultaneous determination of multiclass seven antibiotic residues in chicken tissues. BMC Chem. 2022, 16, 1–15. [Google Scholar] [CrossRef]
- Lopes, R.P.; Reyes, R.C.; Romero-González, R.; Frenich, A.G.; Vidal, J.L.M. Development and validation of a multiclass method for the determination of veterinary drug residues in chicken by ultra high performance liquid chromatography–tandem mass spectrometry. Talanta 2012, 89, 201–208. [Google Scholar] [CrossRef]
- Tang, Y.Y.; Lu, H.F.; Lin, H.Y.; Shin, Y.C.; Hwang, D.F. Development of a Quantitative Multi-Class Method for 18 Antibiotics in Chicken, Pig, and Fish Muscle using UPLC-MS/MS. Food Anal. Methods 2012, 5, 1459–1468. [Google Scholar] [CrossRef]
- Gajda, A.; Posyniak, A.; Tomczyk, G. LC-MS/MS analysis of doxycycline residues in chicken tissues after oral administration. J. Vet. Res. 2014, 58, 573–579. [Google Scholar] [CrossRef]
- Metli, M.; Yakar, Y.; Tekeli, Y. Determination of antibiotic residues in chicken liver by liquid chromatography-tandem mass spectrometry. Adıyaman Univ. Bilim. Derg. 2015, 5, 120–131. [Google Scholar]
- Jammoul, A.; El Darra, N. Evaluation of Antibiotics Residues in Chicken Meat Samples in Lebanon. Antibiotics 2019, 8, 69. [Google Scholar] [CrossRef] [PubMed]
- Lan, C.; Yin, D.; Yang, Z.; Zhao, W.; Chen, Y.; Zhang, W.; Zhang, S. Determination of Six Macrolide Antibiotics in Chicken Sample by Liquid Chromatography-Tandem Mass Spectrometry Based on Solid Phase Extraction. J. Anal. Methods Chem. 2019, 2019, 6849457. [Google Scholar] [CrossRef]
- Oyedeji, A.O.; Msagati, T.A.; Williams, A.B.; Benson, N.U. Determination of antibiotic residues in frozen poultry by a solid-phase dispersion method using liquid chromatography-triple quadrupole mass spectrometry. Toxicol. Rep. 2019, 6, 951–956. [Google Scholar] [CrossRef]
- Hyung, S.-W.; Lee, J.; Baek, S.-Y.; Lee, S.; Han, J.; Kim, B.; Choi, K.; Ahn, S.; Lim, D.K.; Lee, H. Method Improvement for Analysis of Enrofloxacin and Ciprofloxacin in Chicken Meat: Application of In-Sample Addition of Trace Ethylenediaminetetraacetic Acid to Isotope Dilution Ultra-Performance Liquid Chromatography–Mass Spectrometry. Chromatographia 2021, 85, 35–45. [Google Scholar] [CrossRef]
- Pokrant, E.; Trincado, L.; Yévenes, K.; Terraza, G.; Maddaleno, A.; Martín, B.S.; Zavala, S.; Hidalgo, H.; Lapierre, L.; Cornejo, J. Determination of five antimicrobial families in droppings of therapeutically treated broiler chicken by high-performance liquid chromatography-tandem mass spectrometry. Poult. Sci. 2021, 100, 101313. [Google Scholar] [CrossRef]
- Khan, M.; Ferdous, J.; Ferdous, M.; Islam, M.; Rafiq, K.; Rima, U. Study on indiscriminate use of antibiotics in poultry feed and residues in broilers of Mymensingh city in Bangladesh. Progress. Agric. 2018, 29, 345–352. [Google Scholar] [CrossRef]
- Widiastuti, R.; Anastasia, Y. Detection of oxytetracycline in broiler chicken meat marketed in several cities in java island using enzyme-linked immunosorbent assay (ELISA) method. J. Indones. Trop. Anim. Agric. 2015, 40, 52–58. [Google Scholar] [CrossRef]
- Pikkemaat, M.G.; Mulder, P.P.J.; Elferink, J.W.A.; De Cocq, A.; Nielen, M.W.F.; Van Egmond, H.J. Improved microbial screening assay for the detection of quinolone residues in poultry and eggs. Food Addit. Contam. 2007, 24, 842–850. [Google Scholar] [CrossRef]
- Javadi, A. Effect of roasting, boiling and microwaving cooking method on doxycline residues in edible tissues of poultry by microbial method. Afr. J. Pharm. Pharmacol. 2011, 5, 1034–1037. [Google Scholar]
- Hakimzadegan, M.; Khalilzadeh, K.M.; Hasseini, N.S. Monitoring of Antibiotic Residue in chicken eggs in Tabriz city by FPT. Int. J. Biomed. Res. 2014, 2, 132–140. [Google Scholar]
- Moe, T.S.; Hla, T.T.; Mon, H.M. Detection of Antibiotic Residues in Broiler Chicken Meat. J. Med. Sci. Clin. Res. 2018, 326–332. [Google Scholar] [CrossRef]
- Rasheed, C.M.; Fakhre, N.A.; Ibrahim, M. Simultaneous Determination of Enrofloxacin and Tylosin in Chicken Samples by Derivative Spectrophotometry. Arab. J. Sci. Eng. 2017, 42, 4453–4463. [Google Scholar] [CrossRef]
- Lundstedt, T.; Seifert, E.; Abramo, L.; Thelin, B.; Nyström, Å.; Pettersen, J.; Bergman, R. Experimental design and optimization. Chemom. Intell. Lab. Syst. 1998, 42, 3–40. [Google Scholar] [CrossRef]
- Nowak, M.; Seubert, A. Application of experimental design for the characterisation of a novel elution system for high-capacity anion chromatography with suppressed conductivity detection. J. Chromatogr. A 1999, 855, 91–109. [Google Scholar] [CrossRef]
- Sivakumar, T.; Manavalan, R.; Muralidharan, C.; Valliappan, K. Multi-criteria decision making approach and experimental design as chemometric tools to optimize HPLC separation of domperidone and pantoprazole. J. Pharm. Biomed. Anal. 2007, 43, 1842–1848. [Google Scholar] [CrossRef]
- ICH. Q8(R2): Pharmaceutical Development. In Proceedings of the International Conference on Harmonization, August 2009. Available online: https://www.ema.europa.eu/en/ich-q8-r2-pharmaceutical-development (accessed on 25 July 2022).





| Parameters | Conditions |
|---|---|
| Column | A 150 × 4.6 mm (i.d.) Phenomenex® (5 m particle size) reversed-phase C18 |
| Mobile phase | A: 0.1% formic acid in water B: acetonitrile |
| Gradient | Time (min.) B% 0–5 10% 5–10 35% 10–15 55% 15–20 90% 20–30 10% |
| Flow rate | 1 mL min−1 |
| Column temperature | 30 °C |
| Injection volume | 20 μL |
| Detector wavelength | 260 nm |
| Parameters | Conditions |
|---|---|
| Column | ACQUITY UPLC HSS T3 C18, 1.8 μm, 50 mm × 2.1 mm column |
| Mobile phase (Gradient) | A: 0.1%(v/v) formic acid in water B: 0.1% (v/v) formic acid in methanol |
| Flow rate | 0.3 mL min−1 |
| Column temperature | 35 °C |
| Detector | Electrospray ionization (ESI)/positive mode |
| Voltage | Cone voltage: 42 V Capillary voltage: 2200 V |
| Drying gas flow rate | 650 L hr−1 |
| Cone gas flow rate | 50 L hr−1 |
| Compound Name | Precursor Ion (m/z) | Product Ion (m/z) | Dwell Time (s) | Cone Voltage (V) | Collision Energy (V) | Polarity |
|---|---|---|---|---|---|---|
| TMP | 291.30 | 230.20 | 0.20 | 42 | 30 | +Ve |
| CIP | 332.10 | 314.10 | 0.20 | 42 | 22 | +Ve |
| CTX | 456.10 | 396.20 | 0.20 | 42 | 15 | +Ve |
| DOX | 445.20 | 428.20 | 0.20 | 42 | 20 | +Ve |
| TYL | 916.50 | 174.10 | 0.20 | 42 | 40 | +Ve |
| SMZ | 254.10 | 156.00 | 0.20 | 42 | 12 | +Ve |
| FLU | 262.10 | 244.00 | 0.20 | 42 | 15 | +Ve |
| CST | 578.50 | 101.46 | 0.20 | 42 | 35 | +Ve |
| Broiler Samples | Drug Concentration (µg kg−1) | ||||||||
|---|---|---|---|---|---|---|---|---|---|
| TMP | CIP | CTX | DOX | TYL | SMZ | FLU | CST | ||
| 1 | Meat | - | 4.00 | - | 5.75 | - | - | 4.5 | 8.65 |
| Liver | - | 7.65 | - | - | - | - | 5.90 | 7.95 | |
| 2 | Meat | - | - | - | - | - | - | - | - |
| Liver | - | - | - | - | - | - | - | - | |
| 3 | Meat | - | - | - | 11.80 | - | - | - | - |
| Liver | 5.51 | - | - | 10.50 | 6.65 | 10.20 | - | 7.60 | |
| 4 | Meat | - | - | 5.00 | - | 7.20 | - | 4.25 | - |
| Liver | 6.70 | 6.75 | 8.85 | - | 11.00 | 3.50 | - | 4.10 | |
| 5 | Meat | - | - | - | - | - | - | - | - |
| Liver | - | - | - | - | - | - | - | - | |
| 6 | Meat | 5.50 | - | 4.50 | - | - | 8.15 | - | 11.00 |
| Liver | 8.0 | - | - | - | 8.60 | 9.90 | - | 8.10 | |
| 7 | Meat | - | - | - | 11.65 | - | - | - | 8.10 |
| Liver | 7.52 | - | - | 9.55 | - | - | - | 9.90 | |
| 8 | Meat | - | - | - | - | - | - | - | - |
| Liver | - | - | - | - | - | - | - | - | |
| 9 | Meat | - | - | - | - | - | - | - | - |
| Liver | - | - | - | - | - | - | - | - | |
| 10 | Meat | - | - | - | - | - | - | - | - |
| Liver | - | - | - | - | - | - | |||
| Broiler Samples | Drug Concentration (µg kg−1) | ||||||||
|---|---|---|---|---|---|---|---|---|---|
| TMP | CIP | CTX | DOX | TYL | SMZ | FLU | CST | ||
| 1 | Muscle | 2.00 | 4.40 | - | 5.10 | - | - | 5.10 | 9.20 |
| Liver | - | 8.50 | 1.09 | 1.20 | 2.60 | - | 6.00 | 8.50 | |
| 2 | Muscle | - | - | - | - | - | - | - | - |
| Liver | - | - | - | - | - | - | - | - | |
| 3 | Muscle | 4.00 | - | - | 11.20 | - | - | ND | 2.30 |
| Liver | 6.00 | - | - | 9.45 | 5.50 | 9.60 | 1.10 | 8.00 | |
| 4 | Muscle | 4.22 | 2.30 | 4.40 | - | 6.30 | 2.00 | 4.00 | 1.20 |
| Liver | 7.40 | 6.00 | 8.30 | 2.30 | 10.10 | 4.50 | - | 4.80 | |
| 5 | Muscle | - | - | - | - | - | - | - | - |
| Liver | - | - | - | - | - | - | - | - | |
| 6 | Muscle | 6.20 | 1.20 | 5.00 | - | 2.00 | 7.20 | - | 10.20 |
| Liver | 8.70 | 1.90 | 2.30 | - | 9.20 | 10.30 | - | 7.50 | |
| 7 | Muscle | 2.20 | - | - | 10.40 | - | - | - | 8.50 |
| Liver | 8.10 | - | 2.40 | 8.89 | - | - | - | 10.20 | |
| 8 | Muscle | - | - | - | - | - | - | - | - |
| Liver | - | - | - | - | - | - | - | - | |
| 9 | Muscle | - | - | - | - | - | - | - | - |
| Liver | - | - | - | - | - | - | - | - | |
| 10 | Muscle | - | - | - | - | - | - | - | - |
| Liver | - | - | - | - | - | - | |||
Publisher’s Note: MDPI stays neutral with regard to jurisdictional claims in published maps and institutional affiliations. |
© 2022 by the authors. Licensee MDPI, Basel, Switzerland. This article is an open access article distributed under the terms and conditions of the Creative Commons Attribution (CC BY) license (https://creativecommons.org/licenses/by/4.0/).
Share and Cite
Abdelshakour, M.A.; Mostafa, A.E.; Hadad, G.M.; Hamed, D.M.; El-Darder, O.M.; El-Gindy, A.; Khinkar, R.M.; Aldurdunji, M.M.; Murshid, S.S.; Abdel Salam, R.A. Experimental Design Assisted HPLC/UV and LC-MS/MS for Simultaneous Determination of Selected Veterinary Antibiotics in Broiler Chicken. Separations 2022, 9, 427. https://doi.org/10.3390/separations9120427
Abdelshakour MA, Mostafa AE, Hadad GM, Hamed DM, El-Darder OM, El-Gindy A, Khinkar RM, Aldurdunji MM, Murshid SS, Abdel Salam RA. Experimental Design Assisted HPLC/UV and LC-MS/MS for Simultaneous Determination of Selected Veterinary Antibiotics in Broiler Chicken. Separations. 2022; 9(12):427. https://doi.org/10.3390/separations9120427
Chicago/Turabian StyleAbdelshakour, Mohamed A., Aziza E. Mostafa, Ghada M. Hadad, Dalia M. Hamed, Omayma M. El-Darder, Alaa El-Gindy, Roaa M. Khinkar, Mohammed M. Aldurdunji, Samar S. Murshid, and Randa A. Abdel Salam. 2022. "Experimental Design Assisted HPLC/UV and LC-MS/MS for Simultaneous Determination of Selected Veterinary Antibiotics in Broiler Chicken" Separations 9, no. 12: 427. https://doi.org/10.3390/separations9120427
APA StyleAbdelshakour, M. A., Mostafa, A. E., Hadad, G. M., Hamed, D. M., El-Darder, O. M., El-Gindy, A., Khinkar, R. M., Aldurdunji, M. M., Murshid, S. S., & Abdel Salam, R. A. (2022). Experimental Design Assisted HPLC/UV and LC-MS/MS for Simultaneous Determination of Selected Veterinary Antibiotics in Broiler Chicken. Separations, 9(12), 427. https://doi.org/10.3390/separations9120427

