Abstract
In order to explore the bioaccumulation of heavy metals by Suaeda salsa and its ecological restoration capacity in the tidal flat of the Liaohe estuary, the absorption and reduction effect of Suaeda salsa on heavy metals was determined via a combination of on-site monitoring and experimental tests. The results showed that, under a high-salt environment, Suaeda salsa had a decreasing effect on heavy metals zinc, copper and lead, and the bioaccumulation coefficient BCFSs–Zn > BCFSs–Cu > BCFSs–Pb. When the concentration of heavy metal ions was high, Suaeda salsa could still survive, but the absorptivity was low, reducing its ability to repair heavy metal pollution. By correlating the research data with the population density of Suaeda salsa, the total removal of heavy metals was obtained, about 2008.6 kg Zn2+, 347.5 kg Cu2+, 376.1 kg Pb2+. This paper could provide a theoretical basis and technical support for the promotion and application of ecological restoration via Suaeda salsa.
1. Introduction
With the rapid development of modern industry, heavy metal pollution is becoming increasingly serious in the soil and sea. Heavy metals are a kind of typical cumulative pollutant which can be transferred and enriched step by step through the food chain. They also have the characteristics of wide influence range, concealment and hysteresis, which aggravate the difficulty of pollution control [1,2,3].
A coastal tidal flat wetland often appears in a land–sea junction area, and its ecological function has an important impact on the regional environment. Heavy metals are deposited and released in coastal tidal flat wetland during the migration and transformation processes of surface runoff, absorption and adsorption, which easily cause “secondary pollution” [4,5]. Therefore, it is of great significance to control and repair the heavy metal pollution in estuary areas.
Suaeda salsa is an annual herb of the Chenopodiaceae family which has good resistance to coastal tidal flats and heavy metal pollution [6,7,8]. Suaeda salsa is adapted to the saline soil environment, and it is a special, dominant species in the tidal flat wetland of the Liaohe estuary. Zhu Minghe et al. showed that Suaeda salsa has a cumulative effect on common heavy metals Cu, Zn, Pb and Cd, and the content of heavy metals in its body is higher than the background value of tidal flats. Its cumulative absorption mainly depends on the specific physiological mechanism of the plants [9].
At present, there are many studies on the absorption of heavy metals by Suaeda salsa, focusing on toxicology, and few studies on the reduction of actual pollutants [10,11]. In particular, the specific key data, such as the reduction capacity and amount of different heavy metals absorbed by Suaeda salsa, have not been reported.
Therefore, on the basis of literature research and field monitoring data from the Liaohe estuary wetland, this paper studies the absorption of heavy metals by Suaeda salsa and analyzes its application in the remediation of heavy-metal-contaminated soil to provide a theoretical basis for the remediation of heavy metal pollution in tidal flats.
2. Materials and Methods
2.1. Materials
(1) On-site monitoring and analysis
The Liaohe estuary wetland is a typical tidal flat in Panjin in the Liaoning province of China. The national nature reserve “Red Beach” consists of a continuous community of Suaeda salsa, which covers a 78 km coastline, with a total area of nearly 40,504 km2. According to the research plan, the research team successively carried out a field investigation and mainly sampled the mature Suaeda salsa plants in November at six points, as shown in Figure 1.
Figure 1.
The location of sampling points.
Due to the protection policy of the scenic spot, the sampling amount of Suaeda salsa was small, about six plants at each site. According to previous experimental data, there is no significant difference in heavy metals in Suaeda salsa from different sampling sites. After sampling, we quickly brought the plant back to the laboratory, washed the root, stem and leaf of the plant with tap water, then washed them with deionized water once and dried them for later use. At the same time, mixed sediment samples were collected at each sampling point and brought back to the room. The sampling depth was 20 cm, and the weight was 200 g. Each sample was repeated once.
(2) High-salt hydroponics test
The seeds of Suaeda salsa used in the experiment were taken from the Liaohe estuary wetland. Seeds of Suaeda salsa of the same size and total were selected and disinfected with 0.05% potassium permanganate for standby. The test water was pure water and sea water. The instrument for seed germination and culture of Suaeda salsa was an intelligent light incubator, as in Figure 2.
Figure 2.
Graphic model of experiment.
Drugs required: nitric acid (HNO3), ρ = 1.42 g·mL−1, super pure, distilled by quartz sub-boiling distiller; hydrogen peroxide (H2O2), 30%; nitric acid solution (1 + 2); nitric acid solution (1 + 99); Hoagland nutrient solution (calcium nitrate, potassium nitrate, ammonium phosphate, magnesium sulfate, ferric salt solution); copper sulfate; zinc sulfate; lead chloride, etc., were diluted after preparing the concentrated solution, and all reagents used were of superior purity.
(3) Metal element detection method
In this study, the contents of lead, zinc and copper in seawater, soil and plants were determined by flame atomic absorption spectrophotometry.
Soil and plant treatment method: Weigh the sample, 2.00 g, put into the microwave digestion tank, add hydrofluoric acid, nitric acid and hydrochloric acid and digest according to the set procedure. After digestion, cool it down, put it on the hot plate (at 120 °C for about 0.5 h) to drive the acid to nearly dry and then filter the insoluble matter to be measured after maintaining the volume with 1% nitric acid aqueous solution.
Seawater treatment method: refer to Marine Monitoring Code Part 4: Seawater Analysis (GB17378.4-2007), use hydrochloric acid and ammonia to condition the sample to weak acidity (pH = 4~5), dissolve lead, zinc, copper and ammonium pyrrolidine dithiocarbamate (APDC) and sodium diethyldithiocarbamate (DDTC-Na) to form a chelate and extract it by methyl isobutyl ketone (MIBK) and then test it.
Instrument and equipment: atomic absorption spectrophotometer (Shimadzu AA-6880, Shimadzu, Kyoto, Japan, equipped with ASC-6880 automatic sampler, Shimadzu, Kyoto, Japan), microwave digestion instrument (Yiyao Cash Cow 4010, Yiyao, Wuxi, China).
Reagents and consumables: nitric acid, ammonia, hydrochloric acid, hydrofluoric acid, methyl isobutyl ketone, ammonium pyrrolidine dithiocarbamate, sodium diethyldithiocarbamate, methyl isobutyl ketone and other reagents of superior purity.
2.2. Test Procedures
The seeds of Suaeda salsa for the test were taken from the beach of the Liaohe estuary wetland, and matured seeds of the same size were selected and disinfected with 0.05% potassium permanganate for standby.
According to the actual monitoring data, different concentrations of heavy metals were set; zinc was 100, 200, 400, 800 and 1000 µg·L−1; copper and lead ion concentrations were the same, 50, 100, 200, 400 and 500 µg·L−1, respectively. The concentration of each heavy metal was set as zinc:copper:lead = 2:1:1, and the experiment was conducted on five experimental groups.
(1) Take 5 plastic plant culture boxes, add proper amount of soil into them, sprinkle about 200 seeds of Suaeda salsa evenly and then cover them with a layer of soil, water them and soak them in a constant temperature incubator at 25 °C, water them every day to cultivate about 6 cm of Suaeda salsa under soil culture conditions and change them to water culture;
(2) Prepare 1 L of Hoagland’s nutrient solution × 5 bottles, add copper, zinc and lead ions of different concentrations to the nutrient solution, add sea salt to the nutrient solution to simulate seawater and adjust the salinity to 10 ‰, then change the soil culture of Suaeda salsa to water culture;
(3) Add the same amount of heavy metal nutrient solution into five culture boxes every three days and take 20 seedlings of Suaeda salsa every three days. Measure the seedling length and weight after washing and then put them into a drying oven to dry for 2 h. Measure the dried seedling weight;
(4) Determine the absorption of heavy metals Cu, Zn and Pb by Suaeda salsa plants by atomic absorption spectrophotometry.
2.3. Calculation Method and Data Processing
Calculate the heavy metal content of Suaeda salsa samples from the measured data according to Equation (1):
where: ω—the content (mass fraction) of heavy metals in dry samples of Suaeda salsa in salt land; ρ—the concentration of heavy metals obtained from the standard curve. The unit is microgram per milliliter(µg·mL−1); V—volume of sample preparation solution, mL; M—sample weighing, g.
ω = ρ V/M
All data processing and drawing in this paper were conducted with Origin Learning Edition (Origin2017, OriginLab Corporation, Northampton, MA, USA).
3. Results
3.1. On-Site Monitoring
Generally, in November, Suaeda salsa has fully matured. The average plant height of Suaeda salsa is about 45 cm (stem and leaf), and the average weight of each plant is about 8.5 g. Sampling and analysis of heavy metal content in Suaeda salsa in tidal salt at this time can better reflect the concentration of heavy metals within a year.
Because the mature plants of Suaeda salsa are large, the concentration of heavy metals in different parts of Suaeda salsa in salt land can also be reflected by measuring the root, stem and leaf respectively. It can be seen from the Figure 3 that the three heavy metals were enriched in Suaeda salsa, with more zinc and less copper and lead. The enrichment of plant roots was greater than that of stems and leaves, which is similar to the previous research results [12]. This was consistent with the content of different heavy metals in the sediment. According to the data analysis, the average absorption of heavy metals Cu, Pb and Zn by Suaeda salsa was 8.01 mg·kg−1, 8.67 mg·kg−1 and 46.30 mg·kg−1, respectively.
Figure 3.
Absorption of heavy metals by Suaeda salsa in the Liaohe estuary wetland.
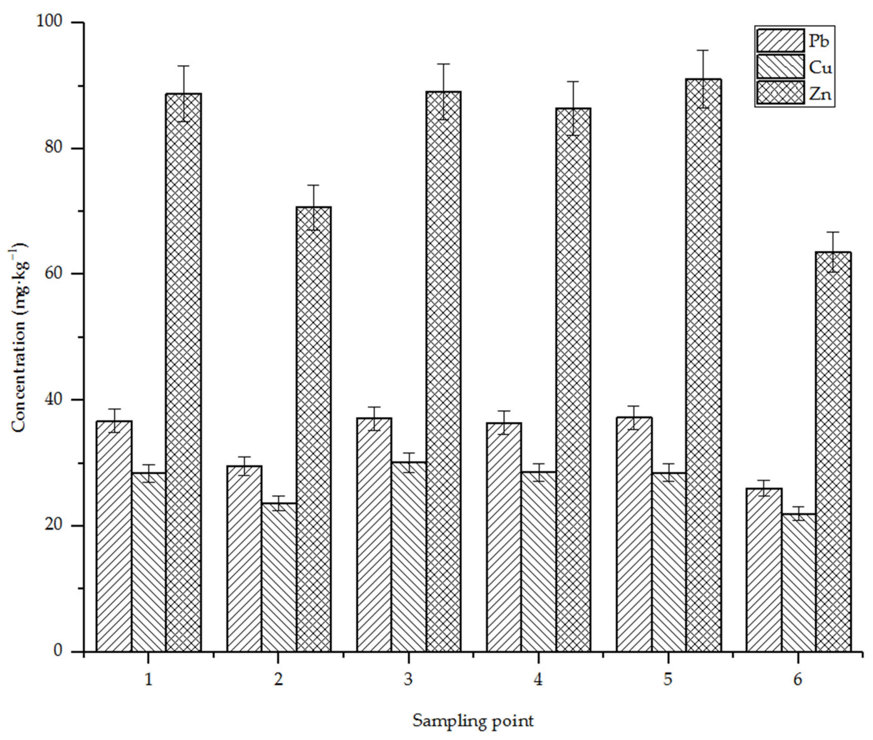
It can be seen from the Figure 4 that there was no significant difference in the content of heavy metals among the stations. The overall content of zinc was high, about twice that of copper and lead, and the content of copper and lead at each station was roughly equal. The average contents of heavy metals in the sediments of the Liaohe estuary wetland were: copper 26.48 mg·kg−1, lead 33.52 mg·kg−1 and 79.99 mg·kg−1 zinc.
Figure 4.
The pollution concentration of heavy metals in Liaohe estuary wetland.
3.2. High-Salt Water Culture Test Results
The changes of copper ions in Suaeda salsa are shown in Figure 5. It can be seen from Figure 5 that, at low concentrations, Suaeda salsa had good enrichment with heavy metal copper, with the highest content being 106 mg·kg−1. However, in the high-concentration solution, the copper content in Suaeda salsa was lower, perhaps because high concentrations of copper inhibit the growth of Suaeda salsa. With the extension of time, the content of copper in Suaeda salsa in salt land basically remained unchanged under various concentrations.
Figure 5.
Absorption of heavy metal copper ions by Suaeda salsa.
As shown in the Figure 6, Suaeda salsa can absorb zinc, and the absorption amount was higher at each concentration than copper. In the low-concentration range, Suaeda salsa had a higher absorption of zinc. With the increase in the initial concentration, the reduction of zinc decreased. At the concentration of 50 and 100 ug·L−1, the absorption of heavy metal zinc by Suaeda salsa was more than 200 mg·kg−1 on the third day. When the concentration of heavy metals increased, the absorption decreased. It could have been caused by the dilution effect of plant growth and the inhibition of normal absorption, metabolism and other biochemical processes of plants at high concentrations of heavy metals [13]. With the extension of culture time, the content of heavy metal zinc in Suaeda salsa in salt land increased at first, then decreased slightly and then remained basically unchanged.
Figure 6.
Absorption of heavy metal zinc ions by Suaeda salsa.
The absorption trend of lead by Suaeda salsa in salt land was similar to that of copper, as shown in Figure 7. However, the overall absorption was low, and the maximum absorption in the body was not more than 20 mg/kg. The absorption of Suaeda salsa in a low concentration was greater than that in a high concentration. At the same concentration, the lead content in Suaeda salsa increased first and then decreased later. In addition to the dilution effect of plant growth, the content of lead ions in Suaeda salsa decreased gradually with the extension of culture time. It was speculated that the Suaeda salsa might have an excretion mechanism for lead ions.
Figure 7.
Absorption of heavy metal lead ions by Suaeda salsa.
4. Discussion
Zinc and copper are essential elements for the growth of Suaeda salsa. Under low-concentration conditions, the amount of zinc absorbed by Suaeda salsa was higher. Under the condition of zinc ion concentration of 100 µg·L−1, the content of zinc in Suaeda salsa was about 163.8 mg·kg−1. The absorption of copper ions was less, about 30.45 mg·kg−1. Lead is a toxic substance to Suaeda salsa, and the absorption amount was less than 10 mg·kg−1 on average.
Bioconcentration factor (BCF) is one of the important indicators to evaluate the enrichment ability of plants. A higher BCF value means a stronger enrichment ability of plants in relation to heavy metal [14]. Therefore, the enrichment capacity of Suaeda salsa in relation to heavy metals can be expressed by the corresponding bioaccumulation coefficient:
where: Cplant—heavy metal content in Suaeda salsa; Csoil—heavy metal content in soil.
BCFon-site = Cplant/Csoil
According to the field monitoring data, the enrichment coefficients of heavy metals in Suaeda salsa were: Suaeda salsa–zinc (BCFSs–Zn = 0.58) > Suaeda salsa–copper (BCFSs–Cu = 0.30) > Suaeda salsa–lead (BCFSs–Pb = 0.26). The BCF of Suaeda salsa in relation to the three kinds of heavy metal was less than 1, which proves that the bioaccumulation ability of Suaeda salsa is low, and it is not a super-accumulation plant. However, due to the special adaptability of Suaeda salsa to the high-salt environment, it still has a certain reduction ability, which is suitable for the ecological restoration of coastal tidal flat wetlands.
For example, the amount of zinc absorbed by Suaeda salsa was 46.30 mg·kg−1, the average plant weight of Suaeda salsa was about 8.5 g and the population density was 100–200 plants·m−2, so the total amount of heavy metal zinc absorbed by Suaeda salsa in the region can be calculated to be about 2008.6 kg. At the same time, the total absorbed copper was 347.5 kg, and the lead was 376.1 kg.
where: Tzinc—the total amount of heavy metal zinc absorbed by Suaeda salsa, kg; CSuaeda salsa-zinc—heavy metal content in Suaeda salsa, mg·kg−1; WSuaedasalsa-weight—average plant weight, g; D—population density, plants·m−2; A—total area, about 5.104 × 107 m2 in the year 2020 [15], m2.
Tzinc = CSuaeda salsa-zinc·WSuaeda salsa-weight·D·A·10−9
Similarly, under the condition of the high-salt water culture experiment, the BCF was also calculated as referred to in the above Equation (2). The concentration of heavy metal in the nutrient solution was taken as the environmental value. The experiment lasted for 15 days, and the content of heavy metal in Suaeda salsa gradually stabilized. Therefore, the data sampled on the 15th day were selected to calculate the enrichment capacity of Suaeda salsa:
where: BCFhy—bio-enrichment coefficient of different heavy metals in Suaeda salsa under high-salinity hydroponics; Cplant—heavy metal content in Suaeda salsa; Csoil—heavy metal content in nutrient solution.
BCFhy = Cplant/Cnutrient
The calculation results are shown in Table 1. Suaeda salsa had a high BCF for heavy metal pollution at low concentration, and the BCF for zinc was significantly higher than that for copper and lead. The BCF was quite different to the value in the actual on-site environment. The main reasons might be as follows: (a) the active ionic state of heavy metal is relatively low, which affects the absorption of Suaeda salsa in the field environment; (b) under the condition of hydroponic culture, the self-diffusion of heavy metal ions promotes the enrichment of Suaeda salsa; (c) the dimorphic seeds of Suaeda salsa have differential responses to heavy metals in the field [16].
Table 1.
Bio-enrichment coefficient of different heavy metals in Suaeda salsa under high-salinity hydroponics.
From the BCF values, it can be clearly seen that, in the low-concentration range, Suaeda salsa had a good absorption and enrichment for zinc and copper, especially for zinc, which was far greater than lead. Therefore, areas with serious zinc pollution could be preferentially repaired by Suaeda salsa. As the ability of Suaeda salsa to reduce lead was weak, it is not suitable for ecological restoration in areas with serious lead pollution. By means of adding heavy-metal-activating substances or microorganisms (such as EDTA, Penicillium aculeatum strain), the activated heavy metal ions could be increased, as well as the enrichment efficiency of Suaeda salsa in sediments improved [17,18].
5. Conclusions
As a salt-tolerant, dominant plant, Suaeda salsa is insensitive to heavy metal pollution so can be used to reduce the pollution and improve ecological restoration in coastal tidal flat wetlands. The ability of Suaeda salsa to reduce heavy metals is related to the type of heavy metal, mixed pollutants and other environmental factors. Suaeda salsa has different absorption mechanisms for different heavy metals. Under the condition of mixed pollution of copper, zinc and lead, it had a good reduction effect on zinc; the reducing effect on copper and lead was small, but the difference between them was not significant. Cooperating with microbial or chemical methods, Suaeda salsa could promote the activation of heavy metals and improve the enrichment ability. However, the relevant mechanisms and technical parameters need to be further explored.
Author Contributions
Conceptualization, Q.L. (Quan Liu) and H.W.; methodology, T.Y.; software, Q.L. (Quan Liu); validation, T.Y., Q.L. (Qiuyu Li) and H.J.; formal analysis, Q.L. (Qiuyu Li) and H.J.; investigation, T.Y.; data curation, Q.L. (Quan Liu); writing—original draft preparation, Q.L. (Quan Liu); writing—review and editing, Q.L. (Quan Liu) and H.W.; visualization, Q.L. (Quan Liu); project administration, Q.L. (Quan Liu); funding acquisition, Q.L. (Quan Liu) All authors have read and agreed to the published version of the manuscript.
Funding
This work was supported by the Subproject of National Key Research and Development Program of China (2019YFC1407703); the Basic Research Project of Education Department of Liaoning Province (JL202007); the National Nature Science Foundation of China (U21A20155); and the High-Level Talent Innovation Support Program of Dalian (2021RQ085).
Conflicts of Interest
The authors declare no conflict of interest.
References
- Sun, J.; Li, W.; Lv, X.B.; Zhang, N.; Gao, H.T. Distribution and Pollution of Mercury and Arsenic in Soil of Important Wetlands in China. Environ. Sci. Technol. 2021, 44, 100–110. (In Chinese) [Google Scholar]
- Xu Zh, Y.; Meng, F.K.; Lu, Y.C.; Ban, Y.; Liu, J.; Zeng, H. Research progress in the treatment of wastewater contaminated by antibiotics and heavy metals. Res. Environ. Sci. 2021, 34, 2686–2695. (In Chinese) [Google Scholar] [CrossRef]
- Mingliang, Z. Research advancement on degradation mechanism and ecological restoration technology of coastal salt-marsh: A review. J. Dalian Ocean. Univ. 2022, 37, 539–549. (In Chinese) [Google Scholar] [CrossRef]
- Liu, C.J.; Luo, Z.X.; Yan, Y.; Lin, H.R.; Hu, G.R.; Yu, R.L. Relationship between microplastics and heavy metals in surface sediments of Mangrove wetland in Jiulong River. Environ. Sci. 2021, 43, 239–246. (In Chinese) [Google Scholar]
- Li, Q.; Zhao, W.J.; Wang, Y.; Yuan, H.; Wang, Q.B.; Liu, C.L.; Li, H.X.; Sun, X.X. Enrichment Effect of Typical Wetland Plants on Heavy Metals in Marshes of Sanjiang Plain. Wetl. Sci. Manag. 2021, 17, 9–13. (In Chinese) [Google Scholar]
- Kang, J.; Ma, G.B.; Yuan, L.; Fu, Y.B.; Li, F.; Peng, C.S. Habitat suitability analysis of sueda salsa in Xingcheng Caozhuang tidal flats. Mar. Environ. Sci. 2021, 40, 207–214. (In Chinese) [Google Scholar]
- He, J.; Fan, X.; Liu, H.; He, X.; Wang, Q.; Liu, Y.; Wei, H.; Wang, B. The study on Suaeda heteroptera Kitag, Nereis succinea and bacteria’s joint bioremediation of oil-contaminated soil. Microchem. J. 2019, 147, 872–878. [Google Scholar] [CrossRef]
- Zhang, X.; Zhang, L.; Zhang, L.; Ji, Z.; Shao, Y.; Zhou, H.; Bao, Y.; Qu, Y.; Liu, L. Comparison of rhizosphere bacterial communities of reed and Suaeda in Shuangtaizi River Estuary, Northeast China. Mar. Pollut. Bull. 2019, 140, 171–178. [Google Scholar] [CrossRef] [PubMed]
- Zhu, M.H.; Ding, Y.S.H.; Ding, D.W. Seasonal variation about accumulation distribution and transference of heavy metals in Suaeda heteroptera. China Environ. Sci. 2006, 26, 110–113. (In Chinese) [Google Scholar]
- Zhao, Y.M.; Wei, H.F.; Li, Y.; Fan, S.W.; Niu, Y.Q.; Liu, C.F.; Zhang, M.L.; He, J.; Xia, N.; Zhao, X.Y. Effects of Zn2+ and Cu2+ on the Growth of Suaeda heteroptera. Chin. Wild Plant Resour. 2020, 39, 7–13. (In Chinese) [Google Scholar]
- He, J.; Gao, Y.T.; He, X.; Liu, C.F.; Zhou, Y.B. The effect of Zn and Cd on growth and antioxidant enzymes activity of Suaeda heteroptera Kitagawa. Acta Sci. Circumstantiae 2020, 39, 7–13. (In Chinese) [Google Scholar]
- He, J.; Ji, Z.X.; Wang, Q.Z.; Liu, C.F.; Zhou, Y.B. Effect of Cu and Pb pollution on the growth and antionxidant enzyme activity of Suaeda heteropteran. Ecol. Eng. 2016, 87, 102–109. [Google Scholar] [CrossRef]
- Zhu, M.H.; Ding, Y.S.; Zheng, D.C.; Tao, P.; Ji, Y.X.; Cui, Y.; Gong, W.M.; Ding, D.W. Accumulation and tolerance of Cu, Zn, Pb and Cd in plant Suaeda heteroptera Kitag in tideland. Mar. Environ. Sci. 2005, 24, 13–16. (In Chinese) [Google Scholar]
- Tian, S.C.; Wei, H.F.; Liu, C.F.; Zhang, M.L.; He, J.; Liu, Q.; Zhao, X.Y.; Zhao, Y.M.; Xia, N.; Huo, Y.J. Kinetics of Enrichment of Several Heavy Metals in Suaeda heteropteran. Chin. Wild Plant Resour. 2021, 40, 36–41. (In Chinese) [Google Scholar]
- Yin, H.; Hu, Y.; Liu, M.; Li, C.; Chang, Y. Evolutions of 30-Year Spatio-Temporal Distribution and Influencing Factors of Suaeda salsa in Bohai Bay, China. Remote Sens. 2022, 14, 138. [Google Scholar] [CrossRef]
- Zhang, H.; Jiang, L.; Tanveer, M.; Ma, J.; Zhao, Z.; Wang, L. Indexes of Radicle are Sensitive and Effective for Assessing Copper and Zinc Tolerance in Germinating Seeds of Suaeda salsa. Agriculture 2020, 10, 445. [Google Scholar] [CrossRef]
- Huang, X.; He, J.; Zhao, X.Y.; Wan, T.; Wei, H.F.; Liu, Y. Study on the absorption and tolerance of Cd to Suaeda salsa. Ecol. Sci. 2021, 40, 37–42. (In Chinese) [Google Scholar]
- Wang, Y.H.; Chen, D.Y.; Jiang, Z.H.Y.; Nie, W.; Zhang, J. Phytoremediation of the soil contaminated by Pb, Cd and secondary salinization with the enhancement of EDTA. J. Agro-Environ. Sci. 2018, 37, 1866–1874. (In Chinese) [Google Scholar]
Publisher’s Note: MDPI stays neutral with regard to jurisdictional claims in published maps and institutional affiliations. |
© 2022 by the authors. Licensee MDPI, Basel, Switzerland. This article is an open access article distributed under the terms and conditions of the Creative Commons Attribution (CC BY) license (https://creativecommons.org/licenses/by/4.0/).






