Next Article in Journal
Comprehensive Analysis of Phytochemical Composition, Antioxidant Potential, and Antibacterial Activity of T. polium
Previous Article in Journal
Identification of Quality Markers in Schisandra chinensis (Turcz.) Baill. Using UPLC-Q-Extractive Orbitrap/MS, Chemometric Analysis, and Network Pharmacology
 
 
Font Type:
Arial Georgia Verdana
Font Size:
Aa Aa Aa
Line Spacing:
Column Width:
Background:
Brief Report

Determination of Enantiomer in Tofacitinib Citrate Using Reversed-Phase Chiral High-Performance Liquid Chromatography

1
Institute of Materia Medica, Chinese Academy of Medical Sciences & Peking Union Medical College, Beijing 100050, China
2
Chinese Pharmacopoeia Commission, Beijing 100061, China
*
Author to whom correspondence should be addressed.
These authors contributed equally to this work.
Separations 2024, 11(3), 89; https://doi.org/10.3390/separations11030089
Submission received: 21 February 2024 / Revised: 16 March 2024 / Accepted: 19 March 2024 / Published: 21 March 2024
(This article belongs to the Section Chromatographic Separations)

Abstract

Tofacitinib citrate (RR-isomer) is a janus kinase (JAK) inhibitor approved for the treatment of rheumatoid arthritis (RA) in adults who have had an inadequate response or intolerance to methotrexate. The presence of the enantiomer of tofacitinib citrate (SS-isomer) is monitored for quality control as a possible impurity in the final product. In this study, a reversed-phase high-performance liquid chromatography (RP-HPLC) method based on a chiral recognition mechanism for the separation of tofacitinib citrate and its enantiomer was established based on the principles of green analytical chemistry. A CHIRALPAK IH column was used with a mobile phase of ammonium acetate buffer (pH 8.0) and acetonitrile in a gradient elution at a detection wavelength of 285 nm. The calibration curve exhibited excellent linearity over the range of 0.1002–20.04 μg/mL (r = 0.9999). The average recovery of the enantiomer was 98.6% with a relative standard deviation (RSD) of 0.7%. The limit of detection (LOD) and the limit of quantitation (LOQ) were 0.04 and 0.1 μg/mL, respectively. This RP-HPLC method was suitable for detecting the enantiomers of tofacitinib citrate in tablets. Furthermore, the method proved to be environmentally friendly based on the evaluation by Analytical Eco-Scale, Analytical GREEnness (AGREE) and Green Analytical Procedure Index (GAPI).

1. Introduction

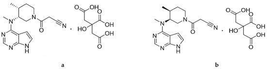
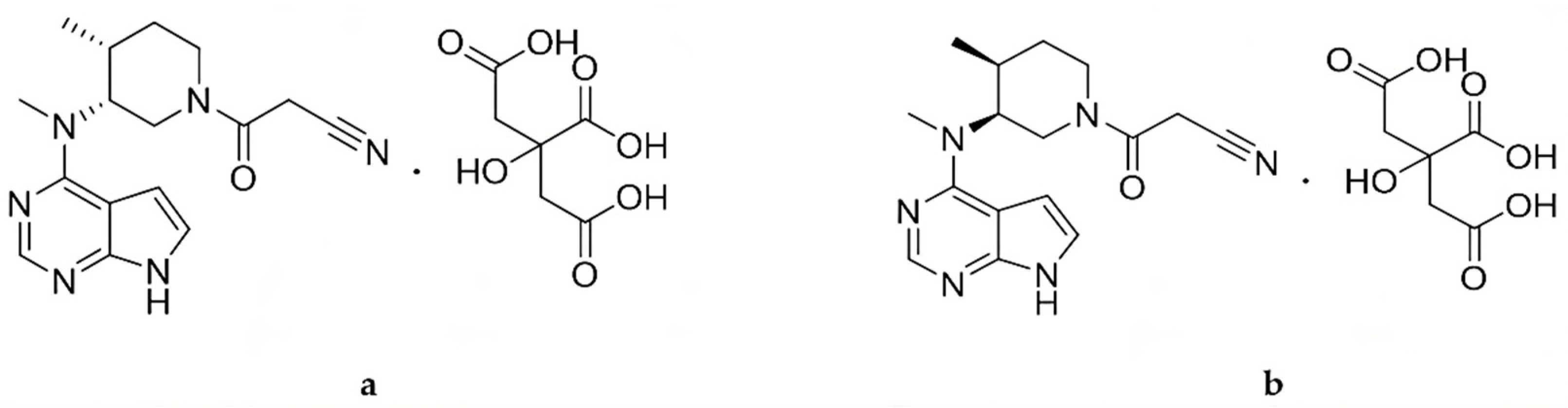
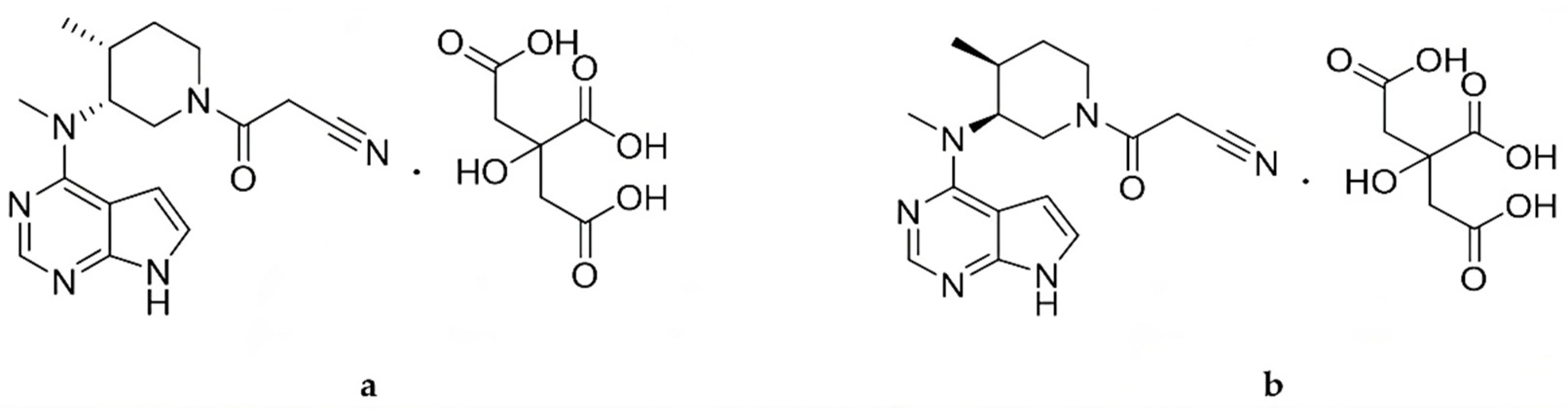
Tofacitinib citrate, 3-((3R,4R)-4-methyl-3-(methyl (7H-pyrrolo [2,3-d] pyrimidin-4-yl) amino) piperidin-1-y1)-3-oxopropanenitrile, 2-hydroxy-1,2,3-propane tricarboxylate (Figure 1a), was the first janus kinase (JAK) inhibitor approved for the treatment of adult patients with moderate-to-severe rheumatoid arthritis (RA) who have had an inadequate response or intolerance to methotrexate [1,2,3,4]. It blocks the cascade amplification of cytokines by inhibiting the JAK1/3 dimer-mediated interleukin (IL)-2, 4, 7, 9, 15, 21, tumor necrosis factor (TNF) and interferon (IFN)-γ pathways, effectively reducing ground joint dysfunction in RA patients [5,6]. Dendritic cells, activated B cells, and CD4+ T cells are the main target sites of tofacitinib citrate. Multi-targeting makes it a multi-cytokine inhibitor, which contributes to the recovery of bone tissue in patients with RA [7]. It is available as a 5 mg twice daily or 11 mg once daily sustained-release tablet formulation [8]. In addition, as studies of tofacitinib citrate have progressed, more and more indications have been approved by the United States Food and Drug Administration (FDA), including psoriatic arthritis (PA), ulcerative colitis (UC), polyarticular course juvenile idiopathic arthritis (pcJIA), and ankylosing spondylitis (AS) [9].
Specific structure–activity relationships exist between enzymes, transporter proteins, receptors and drugs in organisms [10]. Although enantiomers have identical chemical composition, they differ in spatial (3D) structure. Drug enantiomers often have significant differences in biological activities in terms of pharmacology, toxicology and pharmacokinetics. Therefore, it is important to develop analytical methods that can distinguish between chiral drugs and their enantiomers as well as to control the enantiomeric content in the formulations in both the pharmaceutical manufacturing and clinical fields [10,11]. The RR-isomer of tofacitinib citrate is a single-enantiomer drug with two chiral centers in its structure. According to the requirements of the International Council for Harmonisation of Technical Requirements for Pharmaceuticals for Human Use (ICH) guidelines Q6A for single-enantiomer drugs, the content of enantiomer impurities should be controlled to ensure safety and efficacy of the final product [12]. Thus, the SS-isomer of tofacitinib citrate (Figure 1b) must be controlled in the drug product. Chromatographic methods for the separation of tofacitinib citrate and its enantiomer using chiral normal-phase high-performance liquid chromatography (NP-HPLC) have been reported [13,14,15,16].
Green chemistry has gained increasing attention due to environmental pollution and resource wastage [17]. The concept of green chemistry is aimed at designing, developing, and applying chemical processes and products to minimize the use and generation of harmful substances. Its core objective is to promote sustainability and environmental responsibility by reducing the negative impacts on human health and the environment throughout the entire lifecycle of chemicals and processes [18]. This includes a set of 12 principles [19]. However, since the outcome of analytical chemistry is the measured results, the principles of green chemistry are not entirely applicable to the assessment of analytical procedures. As a result, 12 new principles of green analytical chemistry were proposed [20]. Several metrics have been developed to assess the greenness of analytical processes, the most widely used of which are the Analytical Eco-Scale [21], Analytical GREEnness (AGREE) [22] and Green Analytical Procedure Index (GAPI) [23].
To the best of our knowledge, determination of the enantiomer of tofacitinib citrate using reversed-phase chiral HPLC is yet to be reported. This study aimed to develop a method based on reversed-phase chiral recognition mechanism and the principles of green analytical chemistry, for the first time, to determine tofacitinib citrate and its enantiomer. The method was validated according to the ICH guidelines Q2 (R1) [24] and was used to determine the enantiomer impurity content in tofacitinib citrate tablets. We used the Analytical Eco-Scale, AGREE, and GAPI to evaluate the greenness of the method.

2. Materials and Methods

2.1. Chemicals and Reagents

The RR- and SS-isomers of tofacitinib citrate were obtained from Sinco Pharmaceutical (Middletown, DE, USA). Tofacitinib citrate tablets (5 mg) were purchased from pharmacies (manufacturer information is given in Section 2.5). Methanol (HPLC-grade) and acetonitrile (HPLC-grade) were purchased from Honeywell International Inc. (Charlotte, NC, USA). Ammonium acetate (HPLC-grade), potassium dihydrogen phosphate (HPLC-grade) and triethylamine (HPLC-grade) were provided by Thermo Fisher Scientific Inc. (Waltham, MA, USA). The 10% ammonia (HPLC-grade) and ammonium formate (HPLC-grade) were obtained from ANPEL Laboratory Technologies Inc. (Shanghai, China). Acetic acid (HPLC-grade) was obtained from Tedia Company, Inc. (Fairfield, OH, USA).

2.2. Instrumentation and Chromatographic Conditions

The KQ2200DE CNC ultrasonic device (Kunshan Ultrasonic Instrument Co., Ltd., Jiangsu, China), XP 205 and MX5 electronic balance scales (Mettler-Toledo, Zurich, Switzerland), Milli-Q Reference Water Purification System (Merck KGaA, Darmstadt, Germany), and 0.45-μm membrane syringe filter (polyether sulfone) (ANPEL Laboratory Technologies Inc., Shanghai, China) were used.
Chromatographic separations were performed on a SHIMADZU LC-20AT system (Shimadzu, Kyoto, Japan) and Waters e2695 (Waters, Milford Milford, MA, USA). A CHIRALPAK IH column (250 mm × 4.6 mm, 5 μm) was selected to complete the separation of tofacitinib citrate and its enantiomer. The detection wavelength was 285 nm. The column temperature was 30 °C, and the injection volume was 20.0 μL. The mobile phase consisted of ammonium acetate buffer (pH 8.0, 5 mM) (A) and acetonitrile (B) in a gradient elution method at a flow rate of 0.6 mL/min. The gradient solvent program was set as follows: 0 min, 20% B; 2 min, 15% B; 15 min, 25% B; 20 min, 90%B; 25 min, 90% B, 30 min, 20% B; 40 min, 20% B.

2.3. Solution Preparation

Test solution: An appropriate amount of tofacitinib citrate tablet powder (approximately 5 mg of tofacitinib) was weighed precisely and extracted with 10 mL of the solvent (5 mM ammonium acetate (pH 8.0)-acetonitrile (4:1)) for ultrasonic treatment for 15 min. The solution was filtered through a 0.45-μm polyether sulfone membrane, and the filtrate was used as the test solution.
Mixed reference solution: An appropriate amount of RR- and SS-isomers of tofacitinib citrate was weighed precisely, placed in the same volumetric flask, dissolved with the solvent, and diluted to make a solution with a concentration of 5 μg/mL.
Reference stock solution: An appropriate amount of SS-isomer of tofacitinib citrate was weighed precisely, dissolved with the solvent, and diluted quantitatively to make a solution with a concentration of 50 μg/mL.
Reference solution: An appropriate amount of reference stock solution was measured precisely and diluted to 5 μg/mL with the solvent.
Limits of quantification (LOQ) solution: An appropriate amount of the reference solution was measured precisely and diluted stepwise to 0.1 μg/mL with the solvent.
Limits of detection (LOD) solution: An appropriate amount of the reference solution was measured precisely and diluted stepwise to 0.04 μg/mL with the solvent.
Spiking solution: An appropriate amount of tofacitinib citrate tablet powder (approximately 5 mg of tofacitinib) was accurately weighed and added to 1 mL of the reference stock solution and then diluted to 10 mL in ultrasonic bath for 15 min. The solution was filtered through a 0.45-μm polyether sulfone membrane. Six replicates of the spiking solutions were prepared separately.

2.4. Method Validation

2.4.1. Specificity

The method specificity was determined by injecting a blank solution, the mixed reference solution, the test solution, and the spiking solution into the column.

2.4.2. LOQ and LOD

A low-concentration reference solution of SS-isomer was diluted stepwise from the reference solution and detected under the chromatographic conditions described in Section 2.2. The LOD and LOQ for the SS-isomer were at a signal-to-noise ratio (S/N) of approximately 3:1 and at an S/N of approximately 10:1, respectively.

2.4.3. Linearity

Solutions of eight SS-isomer calibrations (0.1002, 0.2004, 0.5010, 1.002, 2.004, 5.010, 10.02, and 20.04 μg/mL) were prepared using the reference stock solution, and the calibration curve of peak area versus concentration was plotted using the least-squares method.

2.4.4. Precision and Solution Stability

The precision of the method was evaluated using peak areas of six consecutive injections of the reference solution (5 μg/mL). The inter-day precision of the method was evaluated using peak areas of the reference solution over three days. The reference solution was maintained at an ambient temperature for 72 h to evaluate its stability.

2.4.5. Accuracy

The accuracy of the method was assessed by comparing the peak area of the spiking solution described in Section 2.3 to that of the reference solution using six replicates.

2.4.6. Robustness

To assess the robustness of the method, slight variations in the experimental conditions were studied and the chromatographic resolutions of tofacitinib citrate and the SS-isomer were evaluated. The robustness of the method was evaluated by changing the initial ratio of the mobile phase (19:21 and 21:79), flow rate (0.55 and 0.65 mL/min), pH of the mobile phase (7.5 and 8.5), salt concentration of the mobile phase (4 and 6 mM), and column temperature (27 and 33 °C). Different LC instruments were also used to assess robustness.

2.5. Detection of Enantiomers in Tablets

We determined the content of the SS-isomer in tofacitinib citrate tablets from six different manufacturers in China, namely Simcere Pharmaceutical Co., Ltd. (Lot No. 174-221105, Nanjing, China), Qingfeng Pharmaceutical Group Co., Ltd. (Lot No. 220602, Ganzhou, China), Hinye Pharmaceutical Co., Ltd. (Lot No. B22087, Changsha, China), Chia Tai Tianqing Pharmaceutical Group Co., Ltd. (Lot No. 220929126, Lianyungang, China), Hunan Kelun Pharmaceutical Co., Ltd. (Lot No. 1R221117, Yueyang, China), and Zhejiang Hisun Pharmaceutical Co., Ltd. (Lot No. 22201061, Taizhou, China).

2.6. Method Greenness Assessment

We assessed the greenness of the method using the Analytical Eco-Scale, AGREE, and GAPI. The flow rate of the RP-HPLC method was 0.6 mL/min and it ran for a total of 40 min, requiring 2.0 mL of acetonitrile for each sample preparation. The Analytical Eco-Scale is based on assigning penalty points (PPs) to analytical process parameters that do not align with the ideal green analysis. The reagent PPs are determined by multiplying the hazard PPs (number of hazard pictograms multiplied by the risk label) by the amount of chemical. The AGREE is constructed based on the 12 principles of green analytical chemistry. Each principle is colored on a scale from 0 to 1 based on its green characteristics, with colors varying from 1 to 0 and from dark green to red. The GAPI is based on a pictogram consisting of five pentagrams including a total of 15 fields. Each field is colored green, yellow, and red to indicate low, medium, and high environmental impact. The circle in the second pentagram is an additional marking to indicate the method developed can be used for qualification and quantification, and no circle is marked if the method is used only for qualification.

3. Results

3.1. Method Validation

Specificity: As shown in Figure 2, the resolutions of the RR- and SS-isomers were greater than 2.0. The blank and test solutions showed no significant interference with the SS-isomer.
LOD, LOQ and linearity: The LOD and LOQ for the determination under chromatographic conditions were 0.04 μg/mL and 0.1 μg/mL, respectively. The SS-isomer exhibited good linearity in the range of 0.1002–20.04 μg/mL with the linear regression equation y = 80,000x − 5515.7 (r = 0.9999).
Precision, accuracy and solution stability: The intra-day relative standard deviation (RSD) of the SS-isomer peak area was 0.9%, the inter-day RSD was 0.7%, and the average recovery of the SS-isomer was 98.6% with an RSD of 0.7%, which were within the acceptable range according to the ICH guidelines. The solution was stable over 72 h.
Robustness: The results showed that the resolutions of RR- and SS-isomers were all greater than 2.0 with little change in the following parameters: the initial proportion of mobile phase B in the gradient elution within 19–21%, flow rate within 0.55–0.65 mL/min, pH of the mobile phase within 7.5–8.5, concentration of ammonium acetate within 4–6 mM, column temperature within 27–33 °C, and change in HPLC instruments. The findings indicated that the proposed method was robust.
The methodological validation parameters are summarized in Table 1.

3.2. Detection of Enantiomers in Tablets

The results showed that no SS-isomer was detected in six batches of tofacitinib citrate tablets from the different manufacturers.

3.3. Method Greenness Assessment

The greenness of the analytical procedure was assessed based on reagents, instruments, occupational hazards, and waste using the Analytical Eco-Scale approach. As shown in Table 2, the method obtained a score of 79. A score of above 75 on the Analytical Eco-Scale is considered an excellent green analysis result.
In addition, the method greenness was also evaluated based on the 12 principles in AGREE. As shown in Figure 3a and Table S1, the AGREE score was 0.61. This indicates that the developed method is green.
Furthermore, the greenness of the chemical processes was assessed from five pentagrams including sample collection, preservation, transport and storage, general method type, sample preparation, reagents and chemicals used, and instrumentation using GAPI. As shown in Figure 3b and Table S2, apart from three red fields relating to reagents and wastes, the method is generally environmentally friendly.

4. Discussion

4.1. Chromatographic Column Selection

Under reversed-phase chromatographic conditions, we experimented with four distinct chiral columns. Specifically, CHIRALPAK AS-RH, CHIRALPAK IC-3, and CHIRALPAK IH utilized polysaccharide derivatives as stationary phases, while SUMICHIRAL OA-7100 employed β-cyclodextrin as a stationary phase. The optimal resolutions of enantiomers of tofacitinib citrate were 2.7 and 1.9 on CHIRALPAK IH and SUMICHIRAL OA-7100 columns, respectively. On a SUMICHIRAL OA-7100 column, tofacitinib showed a poor peak shape with an excessive tailing factor. The optimal resolution of enantiomers of tofacitinib citrate was 1.4 on the CHIRALPAK AS-RH column, which could not meet the requirement of a resolution greater than 1.5. Tofacitinib citrate and its enantiomer could not be separated using CHIRALPAK IC-3 despite varying the mobile phase combinations. The results indicate that the optimal chiral separation for tofacitinib citrate and its enantiomer was achieved using a CHIRALPAK IH column.

4.2. Optimization of Mobile Phase

To separate the enantiomeric isomers of tofacitinib citrate, acetonitrile and methanol were utilized as the organic phases, with acetonitrile demonstrating superior separation ability compared to that of methanol. When methanol and different kinds of salt solutions such as ammonium formate, ammonium acetate, and potassium dihydrogen phosphate formed a mobile phase, the peaks were broad and tofacitinib citrate could not be separated from its enantiomer. After replacing the organic phase with acetonitrile, tofacitinib citrate and its enantiomer were well separated under different kinds of salt solutions. Acetonitrile, being a non-protonic solvent, avoids interference with hydrogen-bonding-type interactions between the chiral stationary phase and chiral analytes [25,26].
The aqueous phases containing various additives or buffer salts, including ammonium formate, ammonium acetate, and potassium dihydrogen phosphate, were compared. When ammonium acetate solution was used as the aqueous phase, the resolution of tofacitinib citrate and its enantiomer was more than 2.0. The resolutions were both 1.9 with ammonium formate and potassium dihydrogen phosphate as additives. The results showed that the addition of ammonium acetate was optimal in terms of retention time and resolution. Furthermore, ammonium acetate concentrations of 5, 10, 20, and 50 mM were examined, and the results showed that the additive concentration had no impact on the separation. Ultimately, ammonium acetate at a concentration of 5 mM was selected based on its greenness and cost-effectiveness. Additionally, we investigated ammonium acetate buffers with pHs of 3.0, 5.0, 7.0, and 8.0. The separation of tofacitinib citrate and its enantiomer improved with an increase in alkalinity. Consequently, the pH of the ammonium acetate buffer was adjusted to 8.0, which is within the pH tolerance range of the chromatographic columns.

4.3. Method Sensitivity

According to ICH guidelines Q6A for single-enantiomer drugs, the content of enantiomer impurities should be controlled. The content of the SS-isomer should be below 1%. The results showed that the established method can detect the enantiomer present at more than 0.02%, and the sensitivity is comparable to that of the normal-phase HPLC method in the literature [14], which can meet the requirements for the control of chiral isomer impurities in drugs.

4.4. Greenness Evaluation

Evaluating the greenness of an analytical procedures using different metrics may result in a more comprehensive and reliable assessment. The Analytical Eco-Scale, AGREE and GAPI are the relatively most commonly used metrics for analytical procedures [27], and they each have their own advantages. The outcomes of the AGREE and GAPI assessments are presented in colored pictograms that correspond to the severity levels, providing an easy-to-understand and thorough overview of the greenness of various aspects of the analytical methodology. In addition, the primary advantage of the Analytical Eco-Scale is that it offers a quantitative assessment that summarizes each item’s score in analytical procedures. Whether using the Analytical Eco-Scale, AGREE, or GAPI, the established chiral RP-HPLC method proved generally environmentally friendly.
The main advantage of the chiral RP-HPLC method over the chiral NP-HPLC method is the greener reagent. Compared to GAPI and AGREE, the results of the Analytical Eco-Scale are more biased towards quantitation when evaluating the greenness of reagents or solvents. It provides a useful hazard indicator for reagent or solvent assessment called reagent PPs. Chiral NP-HPLC typically uses more than two organic reagents as mobile phases, making the hazard PPs higher than those in chiral RP-HPLC. The mobile phases used in the chiral NP-HPLC method [14] are hexane and ethanol. The hazard PPs of n-hexane are up to 8 because it has four hazard pictograms and one symbol label of danger, and ethanol is at 4, so the hazard PPs of mobile phases in chiral NP-HPLC is 12. In our chiral RP-HPLC method, the hazard PPs come only from acetonitrile, which scores 6. Furthermore, the established method is comparable to the NP-HPLC method [14] in terms of sensitivity and separation efficiency, but it is overall greener than the NP method, so it could represent an additional option for the separation of enantiomers of tofacitinib citrate.

5. Conclusions

We present an RP-HPLC method based on a chiral recognition mechanism and the principles of green analytical chemistry for separating tofacitinib citrate and its enantiomer. The developed method was validated in terms of sensitivity, selectivity, linearity, precision, and accuracy. The method demonstrated a sensitivity of 0.04 μg/mL, and no enantiomers were detected in samples from six manufacturers. This finding suggests that the manufacturing processes of these manufacturers could not readily produce the enantiomer of tofacitinib citrate. Using the Analytical Eco-Scale, AGREE, and GAPI to evaluate the greenness of this method, the results indicate that the method is environmentally friendly. This study serves as a valuable reference for the chiral separation of enantiomers of tofacitinib citrate.

Supplementary Materials

The following supporting information can be downloaded at: https://www.mdpi.com/article/10.3390/separations11030089/s1, Table S1: Greenness analysis of RP-HPLC method using AGREE; Table S2: Greenness analysis of RP-HPLC method using GAPI.

Author Contributions

C.M. designed the research, supervised all of the research work and revised the manuscript; X.W. carried out the experiments; X.W. and B.J. analyzed the data and drafted the manuscript; Z.W., K.G. and T.Z. gave effective ideas on the experiment design. All authors have read and agreed to the published version of the manuscript.

Funding

This research received no external funding.

Data Availability Statement

The data presented in this study are available on request from the authors.

Conflicts of Interest

The authors declare no conflicts of interest.

References

  1. Traynor, K. FDA approves tofacitinib for rheumatoid arthritis. Am. J. Health-Syst. Pharm. 2012, 69, 2120. [Google Scholar] [CrossRef]
  2. Kubo, S.; Nakayamada, S.; Tanaka, Y. JAK inhibitors for rheumatoid arthritis. Expert Opin. Investig. Drugs 2023, 32, 333–344. [Google Scholar] [CrossRef]
  3. Winthrop, K.; Isaacs, J.; Calabrese, L.; Mittal, D.; Desai, S.; Barry, J.; Strengholt, S.; Galloway, J. Opportunistic infections associated with Janus kinase inhibitor treatment for rheumatoid arthritis: A structured literature review. Semin. Arthritis Rheum. 2023, 58, 152120. [Google Scholar] [CrossRef] [PubMed]
  4. US Food and Drug Administration. FDA Approves Xeljanz. Available online: https://www.drugs.com/newdrugs/fda-approves-xeljanz-rheumatoid-arthritis-3558.html (accessed on 15 March 2024).
  5. Döker, S.; Dewenter, M.; El-Armouche, A. Tofacitinib. DMW-Dtsch. Med. Wochenschr. 2014, 139, 1003–1008. [Google Scholar] [CrossRef]
  6. Wang, A.; Liu, B.; Liu, Y.; Liu, D.; Liu, M.; Chu, D. Immune inhibitors of inhibiting JAK3 kinase:Tofacitinib. Drug Eval. Res. 2014, 37, 169–172. [Google Scholar]
  7. Yang, Y.; Xu, X.; Zhang, B. Toficitinib as a new drug for the treatment of rheumatoid arthritis. Clin. Medicat. J. 2018, 16, 53–56. [Google Scholar]
  8. Church, S.; Hyrich, K.L.; Ogungbenro, K.; Unwin, R.D.; Barton, A.; Bluett, J. Development of a sensitive biochemical assay for the detection of tofacitinib adherence. Anal. Methods 2023, 15, 1797–1801. [Google Scholar] [CrossRef] [PubMed]
  9. Tabassum, S.; Makula, A. Tofacitinib citrate delivery through pharmaceutical formulations for divergent therapeutic treatments. J. Adv. Sci. Res. 2024, 15, 1–8. [Google Scholar]
  10. Zhang, C.; Li, W.; Ning, B. Enantiomeric Resolution of Pidotimod and Its Isomers in Pidotimod Oral Solutions Using Chiral RP-HPLC with Quadrupole Dalton Analyzer Detection. Chromatographia 2023, 86, 55–62. [Google Scholar] [CrossRef]
  11. Nguyen, L.A.; He, H.; Pham-Huy, C. Chiral drugs: An overview. Int. J. Biomed. Sci. 2006, 2, 85–100. [Google Scholar]
  12. ICH. Specifications: Test Procedures and Acceptance Criteria for New Drug Substances and New Drug Products: Chemical Substances Q6A. Available online: https://www.ich.org/page/quality-guidelines (accessed on 15 March 2024).
  13. Wang, Y.; Liu, Y.; Guo, W.; Bai, F.; He, Y. HPLC Determination of Four Enantiomers in Tofacitinib Citrate by HPLC. Chin. J. Pharm. Ind. 2015, 46, 1007–1009. [Google Scholar] [CrossRef]
  14. Wang, N.; Zhang, D.; Jiang, X. Detection of Xeljanz enantiomers in diethyl amine active pharmaceutical ingredients and tablets. Chirality 2015, 27, 235–238. [Google Scholar] [CrossRef]
  15. Pan, H.; Tang, C.; Ni, X.; Hou, J. Separation and Determination of Tofacitinib and Its Optical Isomers by NP-HPLC. Chin. J. Pharm. Ind. 2016, 47, 600–603. [Google Scholar] [CrossRef]
  16. Zhang, X.; Li, H.; Zhang, H.; Cui, R.; Gong, J.; Zhu, M.; Lv, Y. Determination of enantiomer in tofacitinib citrate bulk drug and tablets by normal-phase HPLC. Chin. J. Pharm. Anal. 2017, 37, 1291–1297. [Google Scholar] [CrossRef]
  17. Amandeep Kaur, D.K. Review on Green Chemistry. Int. Res. J. Mod. Eng. Technol. Sci. 2023, 5, 3576–3581. [Google Scholar]
  18. Anastas, P.T. Green chemistry and the role of analytical methodology development. Crit. Rev. Anal. Chem. 1999, 29, 167–175. [Google Scholar] [CrossRef]
  19. Anastas, P.T.; Warner, J.C. Principles of green chemistry. In Green Chemistry: Theory and Practice; Oxford University Press: Oxford, UK, 2000; pp. 29–56. [Google Scholar]
  20. Gałuszka, A.; Migaszewski, Z.; Namieśnik, J. The 12 principles of green analytical chemistry and the SIGNIFICANCE mnemonic of green analytical practices. TrAC Trends Anal. Chem. 2013, 50, 78–84. [Google Scholar] [CrossRef]
  21. Gałuszka, A.; Migaszewski, Z.M.; Konieczka, P.; Namieśnik, J. Analytical Eco-Scale for assessing the greenness of analytical procedures. TrAC Trends Anal. Chem. 2012, 37, 61–72. [Google Scholar] [CrossRef]
  22. Pena-Pereira, F.; Wojnowski, W.; Tobiszewski, M. AGREE—Analytical GREEnness metric approach and software. Anal. Chem. 2020, 92, 10076–10082. [Google Scholar] [CrossRef]
  23. Płotka-Wasylka, J. A new tool for the evaluation of the analytical procedure: Green Analytical Procedure Index. Talanta 2018, 181, 204–209. [Google Scholar] [CrossRef]
  24. ICH. Validation of Analytical Procedures: Text and Methodology Q2 (R1). Available online: https://www.ich.org/page/quality-guidelines (accessed on 15 March 2024).
  25. Matarashvili, I.; Ghughunishvili, D.; Chankvetadze, L.; Takaishvili, N.; Khatiashvili, T.; Tsintsadze, M.; Farkas, T.; Chankvetadze, B. Separation of enantiomers of chiral weak acids with polysaccharide-based chiral columns and aqueous-organic mobile phases in high-performance liquid chromatography: Typical reversed-phase behavior? J. Chromatogr. A 2017, 1483, 86–92. [Google Scholar] [CrossRef] [PubMed]
  26. He, S.; He, Y.; Cheng, L.; Wu, Y.; Ke, Y. Novel chiral ionic liquids stationary phases for the enantiomer separation of chiral acid by high-performance liquid chromatography. Chirality 2018, 30, 670–679. [Google Scholar] [CrossRef] [PubMed]
  27. Sajid, M.; Płotka-Wasylka, J. Green analytical chemistry metrics: A review. Talanta 2022, 238, 123046. [Google Scholar] [CrossRef] [PubMed]
Figure 1. Structures of the RR-isomer (a) and SS-isomer (b) of tofacitinib citrate.
Figure 1. Structures of the RR-isomer (a) and SS-isomer (b) of tofacitinib citrate.
Separations 11 00089 g001
Figure 2. Chromatograms of specificity: (a) blank solution, (b) test solution, (c) spiking solution, (d) mixed reference solution.
Figure 2. Chromatograms of specificity: (a) blank solution, (b) test solution, (c) spiking solution, (d) mixed reference solution.
Separations 11 00089 g002
Figure 3. Results of assessment of RP-HPLC method by AGREE (a) and GAPI (b).
Figure 3. Results of assessment of RP-HPLC method by AGREE (a) and GAPI (b).
Separations 11 00089 g003
Table 1. Methodological validation parameters.
Table 1. Methodological validation parameters.
Method Validation ItemResults
SpecificityR > 2.0
LOD (μg/mL)0.04
LOQ (μg/mL)0.1
Linearityy = 80,000x − 5515.7 (r = 0.9999)
Precisionintra-dayRSD: 0.9%
inter-dayRSD: 0.7%
Accuracy98.6% (RSD 0.7%)
solution stability72 h of stabilization
Robustnessrobust
Table 2. Greenness analysis of RP-HPLC method using Analytical Eco-Scale.
Table 2. Greenness analysis of RP-HPLC method using Analytical Eco-Scale.
Method ItemPenalty Points
ReagentsAcetonitrile (11.3 mL)12 *
Ammonium acetate0
Ultrapure Water0
InstrumentsLC1
ultrasonic device0
Occupational hazardNo vapors generated0
Waste24 mL5
No treatment3
Total penalty points 21
score 79
*: multiplying the hazard PPs of 6 by the amount level of 2.
Disclaimer/Publisher’s Note: The statements, opinions and data contained in all publications are solely those of the individual author(s) and contributor(s) and not of MDPI and/or the editor(s). MDPI and/or the editor(s) disclaim responsibility for any injury to people or property resulting from any ideas, methods, instructions or products referred to in the content.

Share and Cite

MDPI and ACS Style

Wang, X.; Jin, B.; Wang, Z.; Guo, K.; Zhang, T.; Ma, C. Determination of Enantiomer in Tofacitinib Citrate Using Reversed-Phase Chiral High-Performance Liquid Chromatography. Separations 2024, 11, 89. https://doi.org/10.3390/separations11030089

AMA Style

Wang X, Jin B, Wang Z, Guo K, Zhang T, Ma C. Determination of Enantiomer in Tofacitinib Citrate Using Reversed-Phase Chiral High-Performance Liquid Chromatography. Separations. 2024; 11(3):89. https://doi.org/10.3390/separations11030089

Chicago/Turabian Style

Wang, Xue, Bo Jin, Zhijun Wang, Kaijing Guo, Tingting Zhang, and Chen Ma. 2024. "Determination of Enantiomer in Tofacitinib Citrate Using Reversed-Phase Chiral High-Performance Liquid Chromatography" Separations 11, no. 3: 89. https://doi.org/10.3390/separations11030089

APA Style

Wang, X., Jin, B., Wang, Z., Guo, K., Zhang, T., & Ma, C. (2024). Determination of Enantiomer in Tofacitinib Citrate Using Reversed-Phase Chiral High-Performance Liquid Chromatography. Separations, 11(3), 89. https://doi.org/10.3390/separations11030089

Note that from the first issue of 2016, this journal uses article numbers instead of page numbers. See further details here.

Article Metrics

Back to TopTop