Abstract
Membrane technology is an advanced hydrogen separation method that is of great significance in achieving hydrogen economy. Rare earth tungstate membranes have both high hydrogen permeability and remarkable mechanical/chemical stability, exhibiting good application prospects in hydrogen separation. This review provides the basic aspects and research progress on rare earth tungstate hydrogen separation membranes. The crystal structure, proton transport properties, and membrane stability under a chemical atmosphere are introduced. Different membrane construction designs, such as single-phase, dual-phase, and asymmetric rare earth tungstate membranes, are summarized. Lastly, the existing problems and development suggestions for tungstate membranes are discussed.
1. Introduction
As the primary energy source of the earth, fossil fuels give rise to more and more environmental problems. The combustion products of fossil fuels, such as sulfur dioxide, hydrogen sulfide, and nitric oxide, are the main sources of atmospheric pollution. Carbon dioxide is the ringleader of global warming. Developing clean and sustainable energy alternatives to fossil fuels has become a consensus worldwide. Due to its high energy density and zero-emission, hydrogen energy is considered an essential and ideal energy source for achieving a clean and sustainable society [1,2,3]. The hydrogen market increased rapidly in recent years [4]. Hydrogen is mainly produced by the methane steam reforming reaction or by electrolyzing water. Complex and expensive separation processes such as cryogenic separation are inevitable for hydrogen production [5,6]. The cost of hydrogen production can be reduced largely by improving the hydrogen separation efficiency. Attribute to the significant advantages of energy efficiency, cost-effectiveness, and environmental compatibility, membrane technology is considered one of the most promising hydrogen separation technologies [7,8,9].
According to different membrane materials, hydrogen separation membranes can be divided into polymeric membranes [10], porous inorganic membranes [11,12], dense metallic membranes [13,14], and dense mixed protonic-electronic conducting (MPEC) membranes [15]. Among these membranes, the dense metallic membrane and MPEC membrane feature absolute selectivity, allowing only hydrogen to pass through the membrane. The transport mechanism of hydrogen through the metallic membrane is solution-diffusion. Hydrogen splits into two atoms on the membrane surface. The atoms are then transported to the other side of the membrane and recombined into hydrogen [16,17]. For the metallic membrane represented mainly by the Pd membrane, the high cost and high sensitivity to carbon monoxide, chlorine, and sulfur limit their large-scale application [18,19,20].
Hydrogen separation by MPEC membrane is realized through the mixed conduction of protons and electrons. The most studied MPEC membrane is the perovskite membrane, which mainly refers to doped ACeO3 and AZrO3, A = Ba, Sr [21,22,23,24]. The perovskite material has a cubic structure with a formula of ABO3, eight BO6 octahedrons occupy the corners of the cubic structure, and one A-site cation is in the center [25,26]. Perovskite membranes show high protonic conductivity in the temperature range of 500 to 900 °C [27]. The key challenges of perovskite membranes are poor membrane stability and low mixed proton and electron conductivity [28]. Despite the great efforts made to improve performance, perovskite membranes still cannot meet the needs of practical applications. ACeO3-based perovskite materials exhibit high mixed protonic-electronic conductivity but are unstable in CO2 or H2S-containing atmospheres and degrade quickly due to the formation of barium carbonate and cerium oxide [29,30]. AZrO3-based perovskite materials have good stability against acid gases, but the total conductivity is low because of the high grain boundary resistance [31,32].
Recently, another MPEC material, rare earth tungstate, has attracted significant interest as a promising hydrogen separation material. Rare earth tungstate has considerable ambipolar protonic-electronic conductivity at high temperatures. The ambipolar conductivity at 1000 °C is about twice that of perovskite oxide [33]. Compared with the weak protonic conductivity of perovskite oxide at intermediate temperatures, rare earth tungstate has high protonic conductivity below 750 °C [33]. More interestingly, rare earth tungstate also has good thermal/chemical stability at high temperatures in CO2, H2S-containing atmospheres, which is critical for hydrogen separation applications [34]. Therefore, rare earth tungstate has bright application prospects in hydrogen purification. So far, the crystal structure, proton transport mechanism, proton-electron conductivity, and application in hydrogen separation of tungstate materials have been studied in detail.
This paper gives an overview of rare earth tungstate MPEC membranes. The crystal structure, proton transport mechanism, and proton conductivity characteristic of rare earth tungstate are introduced. The doping strategies, membrane configuration design, as well as membrane stability of rare earth tungstate membranes are summarized. Lastly, the challenges and future development directions of tungstate membranes are discussed.
2. The Chemical Formula, Crystal Structure, and Transport Mechanism
Identifying the composition of rare earth tungstate oxide has undergone a long and complicated process. The chemical formula of this material was first recorded as Ln6WO12 (Ln = La, Nd, Sr, In), derived from ancient nomenclature [35]. However, researchers later found that La6WO12 could not remain a single phase unless the La/W ratio was within a specific range or the material was calcined at a particular temperature. Yoshimura et al. found that La6WO12 could not maintain thermodynamic stability below 1740 °C, and an additional La10W2O21 phase would be formed [36]. To study the relationship between the La/W ratio and the formation region of LWO single-phase, Serra et al. investigated the composition of LWO powders with La/W ratios of 4.8–6.0 by XRD. The single-phase region of LWO is controlled by the La/W ratio and sintering temperature. The higher the content of lanthanum, the higher the sintering temperature required to form a single phase. At 1300 and 1500 °C, the single-phase region lies between 5.2 and 5.3, 5.3 and 5.5, respectively. The study also found that the La or W-site doping of the powders can lead to the shift of the single-phase region [37]. Through analyzing the lattice parameters of the material, Magrasó et al. also summarized the relationship between the material composition, sintering temperature, and La/W ratio [38]. The results are shown in Figure 1 and Figure 2. La6WO12 can remain a single phase at 1500 °C when 5.7 ≥ La/W ≥ 5.3. With the increase of La content, the lattice parameters of the oxide increase (region II in Figure 1). When La/W ≥ 5.7 or ≤5.3, the lattice parameter of the oxide is virtually independent of the La/W ratio (region III and I in Figure 1). The composition becomes complex, and an additional La2O3 or La6W2O15 phase will be formed, respectively. As shown in Figure 2, the La/W ratio that keeps La6WO12 as a single phase increases with the increase of sintering temperature, especially at high sintering temperatures.
Figure 1.
The lattice parameter of rare earth tungstate at different La/W and sintering temperatures, region Ⅰ: La/W ≤ 5.3, region Ⅱ: 5.7 ≥ La/W ≥ 5.3, region III: La/W ≥ 5.7 Reprinted/adapted with permission from Ref. [35]. 2014, Anna Magrasó, Reidar Haugsrud.
Figure 2.
The phase diagram of rare earth tungstate. Reprinted/adapted with permission from Ref. [35]. 2014, Anna Magrasó, Reidar Haugsrud.
The crystal structure of rare earth tungstate was analyzed by many techniques, such as neutron powder diffraction and high-resolution X-ray synchrotron [39,40]. These oxides have a defective cubic fluorite structure in which the cubic cells have small distortions. Lanthanum is the largest of lanthanide cations. The crystal symmetry of rare earth tungstate decreases with the decrease of ion size. While the crystal structure of La to Pr is cubic or pseudo-cubic, Nd to Gd is pseudo-tetragonal, and Tb to Lu is rhombohedra. The crystal symmetry of rare earth tungstate with different lanthanide cations is shown in Table 1 [41].
Table 1.
The crystal symmetry of rare earth tungstate with different lanthanide cations. Reprinted/adapted with permission from Ref. [41]. 2009, Sonia Escolástico, Vicente B. Vert, and José M. Serra.
A structure model is proposed to describe the structure of rare earth tungstate with the space group F3m [38]. La occupies two different Wyckoff positions (Figure 3). One is 4a (0, 0, 0) (La1), which is fully occupied, and another is 24f (1/4, 1/4, 1/4) (La2), which is nearly fully occupied. Oxygen is in position 16e (x, x, x), x~0.13, and x~0.87, and the tungsten position is 4b (1/2, 1/2, 1/2). According to the model, the stoichiometry of the material is La28W4O54, and the La/W ratio is 7, which is inconsistent with the experimentally measured value (5.3–5.7). Density Functional Theory (DFT) predicts that there must be other tungsten sites in the structure. W dissolves in the La2 site of La28W4O54 as a donor dopant and acts as the “additional” tungsten, and the formula of the material should be described as La28−xW4+xO54+δv2−δ (δ = 3x/2), where x is the solubility of tungsten in La2 site, and v stands for the oxygen vacancy [39,42,43]. When x = 0, the formula is La28W4O54v2 (La/W = 7, LWO70), and the number of oxygen vacancies is 2. When x = 1, the formula is La27W5O54+3/2v1/2 (La/W = 5.4, LWO54), each formula unite accommodates one W in La2 sites, and the number of oxygen vacancies is 1/2. The existence of W at La2 sites was confirmed by many subsequent experiments [44,45,46]. LWO54 was proved to be a stable composition. LWO70 was unstable and could not be synthesized under normal conditions. For simplicity, the following La28−xW4+xO54+δv2−δ (5.7 ≥ La/W ≥ 5.3) is abbreviated as LWO (L = La, Nd, Gd, Er).
Figure 3.
(A) The cell configuration of La28W4O54 (B) W, La1, and La2 polyhedrons in La28W4O54 crystal. Reprinted/adapted with permission from Ref. [47]. 2013, Liv-Elisif Kalland, Anna Magrasó, Alessandro Mancini, Cristina Tealdi, and Lorenzo Malavasi.
Rare earth tungstate has the same transport mechanism as perovskite oxides. Hydrogen permeation is achieved through the ambipolar diffusion of protons and electrons. Hydrogen splits into protons and electrons on the membrane surface. Protons and electrons diffuse simultaneously to the other side of the membrane and recombine to form hydrogen. When the LWO membrane is exposed to hydrogen or in a water vapor-containing atmosphere, the membrane will combine with protons through Equations (1) and (2). Protons exist in the form of hydroxyl in the membrane and are transported by the Grotthuss mechanism [48].
are the oxygen vacancy and lattice oxygen, respectively, is the hydroxyl ion [48].
3. The Conductivity Characteristics
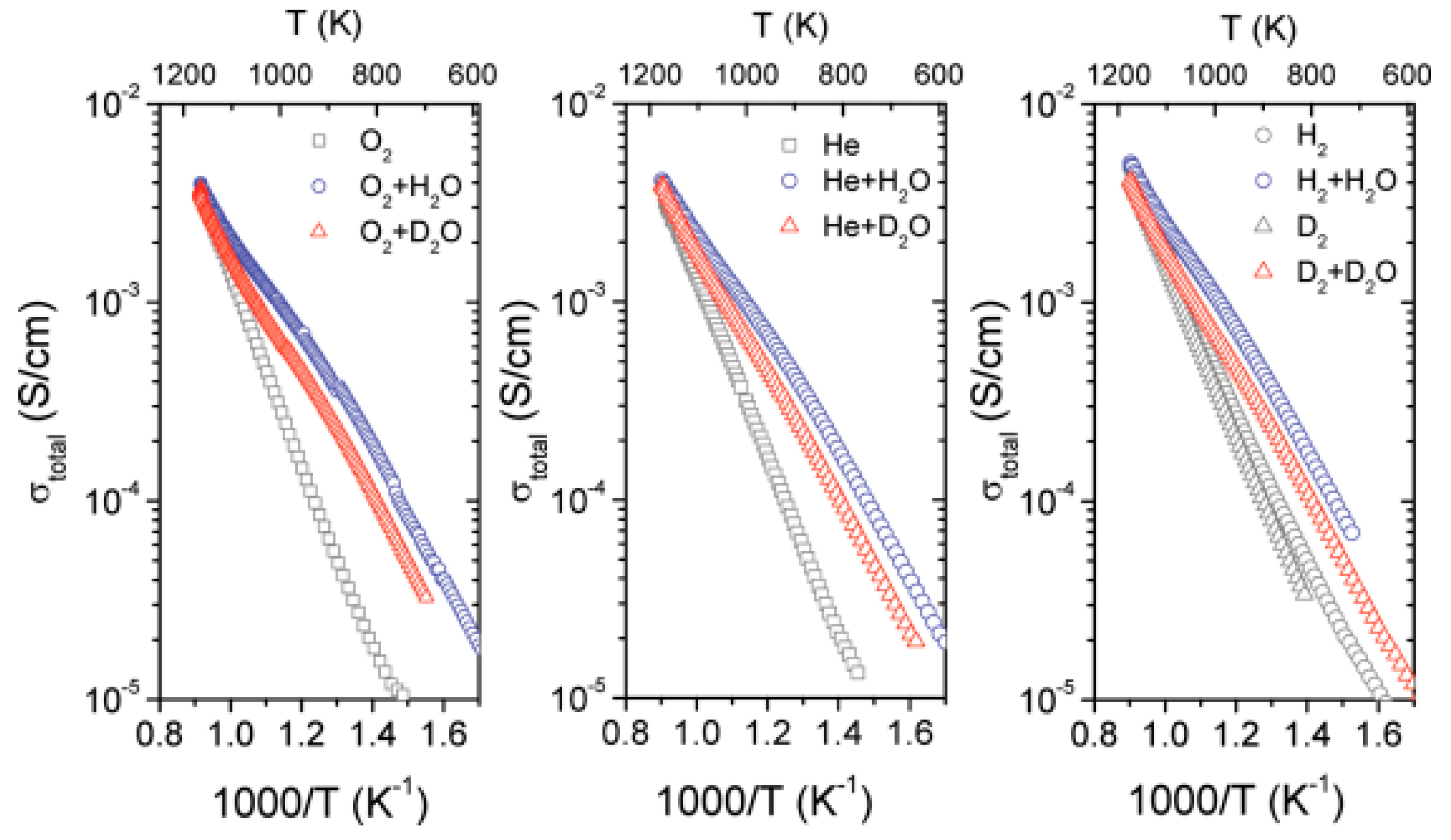
The conductivity characteristics of LWO were first studied by Shimura et al. The material was found to have remarkable mixed protonic-electronic conductivity in wet hydrogen [49]. In 2007, Haugsrud et al. investigated the conduction properties of LWO specifically. The conductivity of LWO under reducing and deuterated conditions was measured by two-point ac conductivity measurements [50]. The total conductivity has a clear isotope effect. The conductivity under wet H2 is higher than that under wet D2 at temperatures below 1000 K (Figure 4). The conductivity of LWO is mainly controlled by protons under low temperatures (≤800 °C) and wet conditions [51,52]. The conductivity is predominated by electrons at higher temperatures and exhibits n-type electronic conduction and p-type electronic conduction under reducing and oxidizing conditions, respectively [53]. According to the conductivity characteristics as well as the hydrogen permeation results, LWO possesses significant hydrogen permeability above the temperature of 800 °C. However, at temperatures below 800 °C, the hydrogen permeability decreases due to the low n-type electron conductivity.
Figure 4.
The total conductivity of LWO at different temperatures and atmospheres. Reprinted/adapted with permission from Ref. [48]. 2011, Cecilia Solís, Sonia Escolastico, Reidar Haugsrud, and José M. Serra.
4. Current Status of Hydrogen Permeation Membrane
4.1. Single-Phase Membrane
As a mixed protonic-electronic conductor, LWO has high proton conductivity below the temperature of 900 °C but relatively weak electron conductivity. To obtain high hydrogen permeability, especially at intermediate temperatures, the electron conductivity of the material needs to be improved. One effective method to enhance the conductivity of LWO is the partial substitution of L or W cations, i.e., A-site doping or B-site doping. Since the protonic conductivity of LWO decreases in the order of LaWO, NdWO, GdWO, and ErWO, the conductivity and hydrogen permeation studies of LWO are focused on LaWO- and NdWO-based membranes. Table 2 shows the total conductivity of LWO under an H2 + 2.5% H2O atmosphere.
Table 2.
The total conductivity (S·cm−1) of LWO at 800 °C under H2 + 2.5% H2O atmosphere, taken from Ref. [50].
4.1.1. LaWO-Based Membrane
Lanthanum tungstate is the most studied rare earth tungstate because of its highest protonic conductivity. The protonic conductivity of undoped LaWO reaches 5 × 10−3 S·cm−1 [54]. To improve the ambipolar conductivity of LaWO, A-site doping is initially considered. Zr4+, Ca2+, Y3+, Nd3+, K+, Ce4+, and Tb3+ are trying to partially replace La3+. However, the results are disappointing, as A-site doping does not make the electronic conductivity increase but makes the conductivity of most of the doped materials decrease. Lashtabeg et al. studied the conductivity property of (La, Y)10+xW2−xO21−δ. The electronic conductivity decreased with the increase of Y content at high temperatures [55]. Shimura et al. investigated the electronic conductivity of Zr- and Nd-doped LaxWO3+1.5x. The doping of Nd had little impact on the electronic conductivity of the material, while Zr doping reduced the conductivity [49]. For K-doped (La1−xKx)27.08W4.92O55.38−θ,the conductivity initially increased with slight K doping but decreased with increasing K content [56]. Conductivity changes due to A-doping can be ascribed to two factors. First, compared with La, the smaller volume of the doped ion leads to cell shrinkage and a more ordered cation sublattice arrangement. Second, the substitution of La reduces the La/W ratio of the material, leading to the increase of and a decrease in oxygen vacancy.
Compared with A-site doping, B-site doping can improve the electronic conductivity of LaWO more effectively. Nb, Re, Mo, Zr, and Mn are the main B-site ions that partially substitute W. Zayas-Rey studied the conducting features of Nb-doped LaWO. The total conductivity of La27NbW4O55 at 800 °C was 0.01 S·cm−1, which was higher than that of the undoped LaWO56 (7 × 10−3 S·cm−1) and undoped LaWO54 (4 × 10−3 S·cm−1) [57]. Escolastico studied the conductivity and hydrogen permeability of the Re-doped LaWO55 membrane at low temperatures. The total conductivity of LaWO55 at temperatures below 700 °C was improved by Re-doping. At 700 °C, the hydrogen flux of the doped membrane reached 0.095 mL·min−1·cm−2 when swept with humidified gas [58].
Mo-doped LaWO is proven to be a truly competitive hydrogen permeation material. It is considered to be the next-generation ceramic membrane material with high hydrogen permeability. First, Mo-doping can effectively improve the electronic conductivity of hydrogen permeation membranes or oxygen permeation membranes [59,60]. Mo doping is expected to be the most effective doping strategy to improve the electronic conductivity of LaWO. The conductivity of Mo-doped LaWO is one order of magnitude higher than that of an undoped one [61]. Second, Mo has a similar ionic radius to W. The replacement of W with Mo has little effect on the material’s structure. Third, Mo has different oxidation states, and the conversion between different oxidation states can generate additional oxygen vacancies inside the membrane. Furthermore, Mo doping exhibits higher sintering activity than the Mo-free compound. Figure 5 shows the conductivity of La28−y(W1−xMox)4+yO54+δ. The ambipolar conductivity of the material has a strong enhancement due to the Mo-doping, and the ambipolar conductivity increases with the increase of Mo-content [62]. At 1000 °C, the ambipolar conductivity of 20% Mo-doped LaWO is twice that of LaWO. The ambipolar conductivity of 40% Mo-doped LaWO at 600 °C is almost equivalent to that of the undoped material at 1000 °C. Mo-doping can significantly improve the electronic conductivity of LaWO and has no damage to the protonic conductivity of the material. Therefore, Mo-doped LaWO is considered to possess excellent hydrogen permeability, especially at intermediate temperatures. Escolastico et al. studied the hydrogen permeation performance of the La5.5W0.8Mo0.2O11.25−δ membrane. At 700 °C, the hydrogen flux was 0.04 mL·min−1·cm−2 when the feed and sweep gases were humidified. The flux was much higher than that of the undoped membrane and nearly ten times higher than that of the SrCe0.7Zr0.2Eu0.1O3−δ membrane at the same conditions [58]. Vøllestad et al. studied the hydrogen permeability of 30% Mo-doped lanthanum tungsten membrane, La27W1.5Mo3.5O55.5. The n-type conductivity of the membrane was significantly increased by Mo-doping, and the protonic conductivity became the rate-limiting of hydrogen separation. The hydrogen flux reached 6 × 10−4 mL·min−1·cm−1 at 700 °C. The hydrogen permeability of the membrane was believed to be significantly higher than that of SrCeO3-based perovskite membranes [63]. Chen et al. fabricated a Mo and Nb co-doped La5.5WO11.25−δ membrane and studied its hydrogen permeation performance. A flux of 0.195 mL·min−1·cm−2 was obtained at 1000 °C, and the flux had no decline during the 80 h operation [64]. The excellent hydrogen permeation character of Mo-doped LaWO makes it a broader application prospect. Xue et al. constructed a catalytic reactor based on La5.5W0.6Mo0.4O11.25−δ membrane for nonoxidative methane dehydroaromatization. Compared with the fixed-bed reactor, CH4 conversion was improved, and the aromatics yield was increased by ~50–70% due to the in situ removal of hydrogen [65].
Figure 5.
The total conductivity of La28−y(W1−xMox)4+yO54+δ at different oxygen partial pressure and different temperatures. Reprinted/adapted with permission from Ref. [35]. 2014, Anna Magrasó, Reidar Haugsrud.
4.1.2. NdWO-Based Membrane
NdWO is another important MPEC tungstate oxide besides LaWO. Since the ionic radius of Nd is smaller than that of La, the crystal structure of NdWO changes from cubic to rhombohedral. The structure change may lead to changes in conductivity and hydrogen permeability. Due to the higher proton mobile enthalpy caused by the reduction of crystal symmetry, NdWO was predicted to have lower hydrogen permeability than LaWO [66]. NdWO-based membranes are mainly studied by the Serra group from Spain. U, Re, and Mo are commonly used elements to substitute W. Doping Re in NdWO can significantly enhance the oxygen ionic conductivity and n-type electronic conductivity of the compound. Mo-doping can also improve the n-type electronic conductivity of the material. Meanwhile, it can improve the protonic conductivity of the material below 700 °C and the oxygen ion conductivity above 700 °C. The introduction of U can improve both the electronic conductivity and ionic conductivity of the material when the dopant acceptor level is low. The protonic conductivity drops and the total conductivity stagnates with increasing U concentration [67]. Escolástico et al. investigated the hydrogen permeability of the Nd5.5W0.5Mo0.5O11.25−δ membrane. At 700 °C, the hydrogen flux was 3.8 × 10−3 mL·min−1·cm−1 [68]. The permeability was higher than that of La5.5W0.8Mo0.2O11.25−δ (2.7 × 10−3) and SrCe0.95Tm0.05O3−δ (2.6 × 10−3), but lower than that of La5.5W0.8Re0.2O11.25−δ (5.9 × 10−3) and BaCe0.80Y0.10Ru0.10O3−δ (4.3 × 10−3, 800 °C). At 1000 °C, the hydrogen flux of the membrane reached 0.3 mL·min−1·cm−2 [69]. Wang et al. fabricated Nd5.5W0.5Mo0.5O11.25−δ hollow fiber membrane via phase-inversion technique. At 975 °C, the hydrogen permeation flux of a 170 μm-thick membrane reached 1.29 mL·min−1·cm−2 [70]. The experimental results show that doped NdWO membranes possess excellent hydrogen permeability, no less than any other state-of-the-art tungstates or cerates membranes. The NdWO-based membrane is among the best H2-permeating MPEC membranes. The hydrogen permeation performances of several representative single-phase LWO membranes are listed in Table 3.
Table 3.
Hydrogen permeation performances of several representative single-phase LWO membranes.
4.2. Dual-Phase Membrane
Another effective method to improve the ambipolar conductivity of the tungstate membrane is to construct a dual-phase membrane. The dual-phase membrane is fabricated by LWO and is an electronic conducting phase with high electronic conductivity. Due to the addition of an electronic conducting phase, the ambipolar conductivity of the membrane can be improved greatly. Dual-phase membranes can be divided into two types depending on the electronic conducting phase. One is a ceramic-metal (cermet) dual-phase membrane in which one metal or alloy metal is the electronic conducting phase, and the other is the ceramic-ceramic (cercer) dual-phase membrane in which one oxide with high electronic conductivity is the electron conductor. Xie et al. fabricated a cermet dual-phase membrane, Ni-La5.5WO11.25−δ. The membrane had high ambipolar conductivity, and the hydrogen permeation flux at 1000 °C reached 0.18 mL·min−1·cm−2, which was one order of magnitude higher than that of the La5.5WO11.25−δ single-phase membrane [82]. Bespalko et al. prepared a Cu0.5Ni0.5-La5.5WO11.25−δ cermet asymmetric membrane via hot pressing techniques. When the membrane was used as a membrane reactor for ethanol steam reforming, the H2 flux through the membrane at 900 °C reached 2.0 N mL·min−1·cm−2 [83].
The main issue that needs to be solved for cermet membranes is the poor thermal compatibility between metal and ceramic phases, which can lead to the fracture of the membrane at high temperatures. In addition, the oxidation of metal at high temperatures makes the preparation of cermet membrane complicated. To overcome the disadvantages of cermet membranes, a cercer dual-phase membrane using ceramic oxides instead of metal as the electron conductor is developed. The ceramic oxide electronic conducting phase used in the dual-phase membrane should meet these criteria: (1) has high electronic conductivity, especially at intermediate temperatures; (2) has good thermal compatibility with LWO at high temperatures and reducing atmospheres; (3) no inter-phase reaction with LWO during the membrane preparation and hydrogen permeation processes. Escolástico et al. prepared a cercer dual-phase membrane using La5.5WO11.25−δ (LWO) as the protonic conducting phase and La0.87Sr0.13CrO3−δ (LSC) as the electronic conducting phase. The mixing of LWO and LSC achieved high membrane densities and well-balanced ambipolar conductivity. The total conductivity of the composite was higher than that of a single LWO or LSC. The effect of phase composition ratio on hydrogen permeation was investigated. 50LWO-50LSC presented the highest hydrogen permeability, while 20LWO-80LSC exhibited the highest total conductivity. The hydrogen flux of a 370 μm-thick 50LWO-50LSC membrane at 700 °C was 0.15 mL·min−1·cm−2, which was among the highest fluxes achieved by MPEC membranes [84]. Liang et al. prepared a triple-conducting composite membrane La5.5WO11.25−δ (LWO)-La0.8Sr0.2FeO3−δ (LSF) for pure hydrogen production, LWO was used for proton transport, and LSF was used for electron and oxygen ion transport. After sweeping with humidified Ar, the hydrogen flux of the membrane at 900 °C was 0.14 mL·min−1·cm−2. When swept with diluted steam (87.5% H2O + Ar), the hydrogen flux changed to 0.25 mL·min−1·cm−2 [85]. The hydrogen permeation results of La27W3.5Mo1.5O55.5−δ (LWM)-La0.87Sr0.13CrO3−δ (LSC) ceramic composites with phase ratios of 7:3, 6:4, and 5:5 showed that, 70LWM-30LSC membrane in which a continuous LSC phase did not form exhibited the highest hydrogen flux [86]. It can be concluded that a continuous electronic conducting phase network may not be necessary for dual-phase membranes. The high hydrogen flux is due to the enhanced membrane ambipolar conductivity through adding the extra electronic conducting phase. The hydrogen permeation performances of several representative dual-phase LWO membranes are listed in Table 4.
Table 4.
Hydrogen permeation performances of several representative dual-phase LWO membranes.
4.3. Asymmetric Membrane
Besides composition optimization, engineering approaches can also be used to enhance the hydrogen permeability of the LWO membrane. Membrane thickness is an important factor affecting the permeability of the hydrogen separation membrane. A thicker membrane means greater bulk diffusion resistance. Membrane thickness can be reduced by constructing asymmetric membranes. An asymmetric membrane comprises a thin dense layer and a porous support layer. The porous substrate provides sufficient mechanical strength for the membrane and allows gases to be transported through its porous channels. To maintain the mechanical stability of the membrane, the porous substrate and the dense layer should have similar thermal expansion coefficients and cannot react with each other at high temperatures. The main preparation techniques of asymmetric membranes include dry pressing, spin coating, tape casting, and phase inversion [92]. Using carbon black as the pore former, Weirich et al. prepared LWO56 self-supported asymmetric membrane through tape casting. A single LWO56 dense layer was placed on top of five layers of LWO56 tape which contained optimized carbon black content. While the total membrane thickness was 300 μm, the dense layer thickness was only 40 μm [93]. The asymmetric structure of the membrane reduces the actual membrane thickness and bulk diffusion resistance greatly. The commonly used pore-forming agents in the porous support are rice starch and carbon black. By comparing the permeability coefficient of the porous substrates, the permeability of carbon black is higher than that of rice starch with identical addition [93]. Gil et al. prepared LWO56 asymmetric membrane via dip coating, the porosity of the support layer with different amounts of carbon black was 25 vol. % and 40 vol. %, respectively. The hydrogen flux of the membrane at 1000 °C was 0.14 mL·min−1·cm−2 [94].
Without using pore former, Xie et al. fabricated a LaWO asymmetric membrane through the phase inversion technique. The membrane had a unique composite pore microstructure. The support layer of the membrane contains a large number of finger-like pores and small irregular pores, which were formed during the phase inversion process [95]. Compared with traditional asymmetric membranes, the two layers of the hollow fiber membrane have the same composition and are prepared by a single process, which provides the membrane with better thermomechanical compatibility. A hollow fiber membrane simplifies the membrane fabrication technique and is more conducive to the large-scale production of asymmetric membranes. The hydrogen permeation performances of several representative asymmetric LWO membranes are listed in Table 5.
Table 5.
Hydrogen permeation performances of several representative asymmetric LWO membranes.
5. The Membrane Stability
In addition to hydrogen permeability, membrane stability is also the focus of attention for hydrogen separation membranes. Considering the application environment in the industry, hydrogen-permeable membranes should have (1) sufficient chemical stability under reducing conditions; (2) sufficient chemical stability at CO2 and other acidic gas-containing atmospheres; (3) sufficient thermal stability at temperatures higher than 800 °C. As excellent hydrogen permeation substances, perovskite oxides such as BaCeO3 and SrCeO3 possess good ambipolar conductivity and high hydrogen permeability. However, the chemical stability of cerate membranes has always been a critical issue. These cerate oxides react rapidly in a CO2 or H2S-containing atmosphere. The formed carbonates or sulfides can seriously damage the conductivity and permeability of the membrane.
The stability of the LWO membrane has been intensively studied, and it is believed that the stability of the LWO membrane is better than that of the perovskite membrane [102]. Seeger et al. inspected the stability of Mo- and Re-doped LWO membranes at reducing conditions. The membrane was treated in wet hydrogen for 12 h at 800 °C. Comparing the XRD and Raman spectroscopy patterns of the samples before and after reduction, except for the slight shifts of the structural peak caused by the reduction of Re and Mo, no other phases were formed during the reduction treatment. The SEM images also presented no change after the treatment [37]. The stability against CO2 of LWO membranes was evaluated in much literature. Escolastico et al. investigated the stability of some Mo-, Re-doped LaWO and NdWO membranes in CO2-rich environments. TG measurements were made by heating up to 1000 °C in Ar with 5% CO2. Except for a little mass loss due to the sample dehydration and oxygen release, no carbonates were formed (mass gain) in these compounds observed from the TG curve [58,69]. After treating the membranes at 400 °C and 34.5 atm under a mixed gas atmosphere consisting of COS, HCN, CO2, CO, H2, and H2O, the XRD results showed that the membrane had no degradation, and the formed carbonate, sulfide, and sulfate phases could be negligible. The stability of the Nd5.5W0.5Mo0.5O11.25−δ membrane exposed to 1500 ppm H2S at 827 °C was evaluated. No Nd2O2S or other phases were formed during the treatment. In contrast, BaCeO3 decomposed under the same condition, and Ce2O2S and BaS were detected [69].
Chen et al. studied the hydrogen permeable stability of Nb, Mo co-doped La5.5WO11.2−δ membrane under CO2-containing atmospheres. When the feed gas was changed from 50% H2-He to 25% CO2-25% H2-He at 827 °C, the hydrogen flux of the membrane initially decreased from 0.155 to 0.064 mL·min−1·cm−2 and then kept steady as time elapsed. The decrease in the hydrogen flux was attributed to two reasons: first, the water gas shift reaction occurred at the feed side and consumed some hydrogen, thus leading to a decrease of hydrogen permeation driving force. Secondly, CO2 absorption on the membrane surface hindered the surface exchange of hydrogen and weakened the hydrogen permeation. When the feed gas recovered, the hydrogen flux recovered immediately. At 950 °C, the hydrogen flux of the membrane exhibited almost no change during the 80 h permeation test. The membrane microstructure remained intact, and no carbonate was detected after the stability test [64].
6. Challenges and Outlook
6.1. Challenges
Despite the great efforts made to improve performance, LWO membranes still cannot meet the needs of industrial applications. The hydrogen flux needs to be improved by at least one order of magnitude. There are many different preparation techniques for the raw powder or the membrane. The use of these techniques is now chaotic and random. Even using the same composition, the hydrogen permeability of the membranes prepared by different techniques may be different. This makes it difficult to evaluate the true hydrogen permeation performance of materials. Under a CO2-containing atmosphere, the hydrogen permeability of LWO membranes decreases due to the surface adsorption of CO2. Reducing the surface occupation of CO2 under a CO2-containing atmosphere is a crucial issue to be solved for the LWO membrane, which is important for the practical application of the membrane.
6.2. Future Insights
First, the permeability should be further enhanced through composition optimization. Compared with other hydrogen separation membranes, such as metal membranes or perovskite membranes, the hydrogen separation research on LWO membranes is still not thorough enough. The doping strategy is efficient in enhancing the permeability of ceramic membranes. At present, only a few metal cations like Mo, Re, and Nb have been used as dopants for LWO. More doping ions, cations, or anions should be tried. The relationship between the doped ion structure, the doping amount, and the membrane performance should be summarized. Compared with the perovskite membrane, the LWO membrane exhibits good protonic conductivity at intermediate temperatures (<800 °C). Since many hydrogen production reactions occur at intermediate temperatures, future research on LWO membranes should focus on improving the hydrogen permeability at intermediate temperatures to facilitate the coupling with reactions.
Second, permeability through engineering perspectives should be enhanced. Membrane configuration is an important factor affecting membrane performance. Since reducing the membrane thickness can effectively enhance hydrogen permeability, it is of great significance to construct ultra-thin membranes with an asymmetric or hollow fiber structure. The dense layer thickness of the hollow fiber membrane can be reduced to 10~20 μm, which can reduce the permeation resistance of the membrane significantly. To promote the diffusion of transport species inside the membrane, Meng et al. prepared a laminated composite membrane by using the tape-casting technique. Due to the formation of regular and independent transport channels in the membrane, the bulk-diffusion distance of protons and electrons is reduced greatly [103].
Third, new techniques for membrane fabrication should be developed. The preparation process of membranes, especially composite membranes, is complicated and laborious. New preparation techniques should be developed. Mathematical modeling can assist in designing materials with excellent performance and feasible technology. Simulation calculation instead of the experiment can economize on manpower and material resources. Three-dimensional printing technology can help prepare membranes with special structures or properties, such as asymmetric membranes or membranes with catalytic functions, which can greatly expand the application field of membranes.
Fourth, new characterization techniques for the raw materials and the membranes should be developed. On the one hand, more advanced characterization techniques need to be developed to accurately evaluate the structure of LWO and the membranes, such as neutron and synchrotron scattering techniques. On the other hand, research on hydrogen permeation membranes is an expensive process, and more economical characterization techniques need to be developed to reduce the research costs.
Funding
The authors gratefully acknowledge the research funding provided by the National Natural Science Foundation of China (NSFC, No. 21476131).
Institutional Review Board Statement
Not applicable.
Informed Consent Statement
Not applicable.
Data Availability Statement
Not applicable.
Conflicts of Interest
The author declares no conflict of interest.
References
- Cechetto, V.; Di Felice, L.; Gutierrez Martinez, R.; Arratibel Plazaola, A.; Gallucci, F. Ultra-pure hydrogen production via ammonia decomposition in a catalytic membrane reactor. Int. J. Hydrogen Energy 2022, 47, 21220–21230. [Google Scholar] [CrossRef]
- Mamivand, S.; Binazadeh, M.; Sohrabi, R. Applicability of membrane reactor technology in industrial hydrogen producing reactions: Current effort and future directions. J. Ind. Eng. Chem. 2021, 104, 212–230. [Google Scholar] [CrossRef]
- Chen, H.; Li, C.; Liu, L.; Meng, B.; Yang, N.; Sunarso, J.; Liu, L.; Liu, S.; Wang, X. ZIF-67 membranes supported on porous ZnO hollow fibers for hydrogen separation from gas mixtures. J. Membr. Sci. 2022, 653, 120550. [Google Scholar] [CrossRef]
- Amanipour, M.; Heidari, M.; Walberg, M. Comparison of hydrogen permeation and structural properties of a microporous silica membrane and a dense BaCe0.9Y0.1O3−δ (BCY) perovskite membrane. Results Mater. 2022, 15, 100314. [Google Scholar] [CrossRef]
- Pal, N.; Agarwal, M. Advances in materials process and separation mechanism of the membrane towards hydrogen separation. Int. J. Hydrogen Energy 2021, 46, 27062–27087. [Google Scholar] [CrossRef]
- Lee, Y.H.; Jang, Y.; Han, D.H.; Lee, S.M.; Kim, S.S. Palladium-copper membrane prepared by electroless plating for hydrogen separation at low temperature. J. Environ. Chem. Eng. 2021, 9, 106509. [Google Scholar] [CrossRef]
- Al-Rowaili, F.N.; Khaled, M.; Jamal, A.; Zahid, U. Mixed matrix membranes for H2/CO2 gas separation—A critical review. Fuel 2023, 333, 126285. [Google Scholar] [CrossRef]
- Zhou, Q.; Luo, S.; Zhang, M.; Liao, N. Selective and efficient hydrogen separation of Pd–Au–Ag ternary alloy membrane. Int. J. Hydrogen Energy 2022, 47, 13054–13061. [Google Scholar] [CrossRef]
- Zhao, Y.; Yang, X.; Luo, J.; Wei, Y.; Wang, H. Porous stainless steel hollow fiber-supported ZIF-8 membranes via FCDS for hydrogen/carbon dioxide separation. Sep. Purif. Technol. 2022, 295, 121365. [Google Scholar] [CrossRef]
- Saini, N.; Awasthi, K. Insights into the progress of polymeric nano-composite membranes for hydrogen separation and purification in the direction of sustainable energy resources. Sep. Purif. Technol. 2022, 282, 120029. [Google Scholar] [CrossRef]
- Liu, X.; He, D. Atomic layer deposited aluminium oxide membranes for selective hydrogen separation through molecular sieving. J. Membr. Sci. 2022, 662, 121011. [Google Scholar] [CrossRef]
- Xu, C.; Wei, W.; He, Y. Enhanced hydrogen separation performance of Linde Type-A zeolite molecular sieving membrane by cesium ion exchange. Mater. Lett. 2022, 324, 132680. [Google Scholar] [CrossRef]
- Opetubo, O.; Ibitoye, A.I.; Oyinbo, S.T.; Jen, T.-C. Analysis of hydrogen embrittlement in palladium–copper alloys membrane from first principal method using density functional theory. Vacuum 2022, 205, 111439. [Google Scholar] [CrossRef]
- Wang, M.; Wang, Z.; Tan, X.; Liu, S. Externally self-supported metallic nickel hollow fiber membranes for hydrogen separation. J. Membr. Sci. 2022, 653, 120513. [Google Scholar] [CrossRef]
- Osinkin, D.; Tropin, E. Hydrogen production from methane and carbon dioxide mixture using all-solid-state electrochemical cell based on a proton-conducting membrane and redox-robust composite electrodes. J. Energy Chem. 2022, 69, 576–584. [Google Scholar] [CrossRef]
- El-Shafie, M.; Kambara, S.; Hayakawa, Y. Comparative study on the numerical simulation of hydrogen separation through palladium and palladium–copper membranes. Int. J. Hydrogen Energy 2022, 47, 22819–22831. [Google Scholar] [CrossRef]
- Dube, S.; Gorimbo, J.; Moyo, M.; Okoye-Chine, C.G.; Liu, X. Synthesis and application of Ni-based membranes in hydrogen separation and purification systems: A review. J. Environ. Chem. Eng. 2023, 11, 109194. [Google Scholar] [CrossRef]
- Pati, S.; Das, S.; Dewangan, N.; Jangam, A.; Kawi, S. Facile integration of core–shell catalyst and Pd-Ag membrane for hydrogen production from low-temperature dry reforming of methane. Fuel 2023, 333, 126433. [Google Scholar] [CrossRef]
- Liang, X.; Huang, F.; Xu, S.; Guo, J.; Liu, D.; Li, X. Microstructure and hydrogen transport properties of (V90Cr5Al5)90Cu10 alloy membranes. J. Alloys Compd. 2023, 938, 168684. [Google Scholar] [CrossRef]
- Yang, Y.; Li, X.; Liang, X.; Chen, R.; Guo, J.; Fu, H.; Liu, D. Preparation of thin (~2 μm) Pd membranes on ceramic supports with excellent selectivity and attrition resistance. Int. J. Hydrogen Energy 2023, 48, 662–675. [Google Scholar] [CrossRef]
- Amin, M.; Butt, A.S.; Ahmad, J.; Lee, C.; Azam, S.U.; Mannan, H.A.; Naveed, A.B.; Farooqi, Z.U.R.; Chung, E.; Iqbal, A. Issues and challenges in hydrogen separation technologies. Energy Rep. 2023, 9, 894–911. [Google Scholar] [CrossRef]
- Nayak, A.K.; Sasmal, A. Recent advance on fundamental properties and synthesis of barium zirconate for proton conducting ceramic fuel cell. J. Clean. Prod. 2023, 386, 135827. [Google Scholar] [CrossRef]
- Triviño-Peláez, N.; Mosa, J.; Pérez-Coll, D.; Aparicio, M.; Mather, G.C. Low-temperature sintering and enhanced stability of fluorine-modified BaZr0.8Y0.2O3−δ synthesised by a sol-gel alkoxide route. J. Eur. Ceram. Soc. 2023, 43, 99–108. [Google Scholar] [CrossRef]
- Jia, L.; Hu, T.; Liang, F.; Liu, M.; Zhang, Y.; Jiang, H. Enhanced CO2-tolerance and hydrogen separation performance of Ba-based ceramic membrane modified by Ce0.9Gd0.1O2−δ surface layer. Sep. Purif. Technol. 2022, 303, 122246. [Google Scholar] [CrossRef]
- Rusevich, L.L.; Kotomin, E.A.; Zvejnieks, G.; Popov, A. Ab initio calculations of structural, electronic and vibrational properties of BaTiO3 and SrTiO3 perovskite crystals with oxygen vacancies. Low Temp. Phys. 2020, 46, 1185–1195. [Google Scholar] [CrossRef]
- Eglitis, R.I.; Kleperis, J.; Purans, J.; Popov, A.I.; Jia, R. Ab initio calculations of CaZrO3 (011) surfaces: Systematic trends in polar (011) surface calculations of ABO3 perovskites. J. Membr. Sci. 2019, 55, 203–217. [Google Scholar] [CrossRef]
- Iwahara, H.; Esaka, T.; Uchida, H.; Maeda, N. Proton conduction in sintered oxides and its application to steam electrolysis for hydrogen production. Solid State Ion. 1981, 3, 359–363. [Google Scholar] [CrossRef]
- Lv, J.; Wang, L.; Lei, D.; Guo, H.; Kumar, R.V. Sintering, chemical stability and electrical conductivity of the perovskite proton conductors BaCe0.45Zr0.45M0.1O3−δ (M = In, Y, Gd, Sm). J. Alloys Compd. 2009, 467, 376–382. [Google Scholar] [CrossRef]
- Li, F.; Duan, G.; Wang, Z.; Liu, D.; Cui, Y.; Kawi, S.; Liu, S.; Tan, X. Highly efficient recovery of hydrogen from dilute H2-streams using BaCe0.7Zr0.1Y0.2O3−δ/Ni-BaCe0.7Zr0.1Y0.2O3−δ dual-layer hollow fiber membrane. Sep. Purif. Technol. 2022, 287, 120602. [Google Scholar] [CrossRef]
- Mercadelli, E.; Gondolini, A.; Ardit, M.; Cruciani, G.; Melandri, C.; Escolástico, S.; Serra, J.M.; Sanson, A. Chemical and mechanical stability of BCZY-GDC membranes for hydrogen separation. Sep. Purif. Technol. 2022, 289, 120795. [Google Scholar] [CrossRef]
- Zhang, D.; Zhang, X.; Zhou, X.; Song, Y.; Jiang, Y.; Lin, B. Phase stability and hydrogen permeation performance of BaCo0.4Fe0.4Zr0.1Y0.1O3−δ ceramic membranes. Ceram. Int. 2022, 48, 9946–9954. [Google Scholar] [CrossRef]
- Hossain, M.K.; Chanda, R.; El-Denglawey, A.; Emrose, T.; Rahman, M.T.; Biswas, M.C.; Hashizume, K. Recent progress in barium zirconate proton conductors for electrochemical hydrogen device applications: A review. Ceram. Int. 2021, 47, 23725–23748. [Google Scholar] [CrossRef]
- Haugsrud, R.; Kjølseth, C. Effects of protons and acceptor substitution on the electrical conductivity of La6WO12. J. Phys. Chem. Solids 2008, 69, 1758–1765. [Google Scholar] [CrossRef]
- Tao, Z.; Yan, L.; Qiao, J.; Wang, B.; Zhang, L.; Zhang, J. A review of advanced proton-conducting materials for hydrogen separation. Prog. Mater. Sci. 2015, 74, 1–50. [Google Scholar] [CrossRef]
- Magrasó, A.; Haugsrud, R. Effects of the La/W ratio and doping on the structure, defect structure, stability and functional properties of proton-conducting lanthanum tungstate La28−xW4+xO54+δ. A review. J. Mater. Chem. A 2014, 2, 12630–12641. [Google Scholar] [CrossRef]
- Yoshimura, M. High temperature phase relation in the system La2O3-WO3. Mat. Res. Bull. 1976, 11, 151–158. [Google Scholar] [CrossRef]
- Seeger, J.; Ivanova, M.E.; Meulenberg, W.A.; Sebold, D.; Stöver, D.; Scherb, T.; Schumacher, G.; Escolástico, S.; Solís, C.; Serra, J.M. Synthesis and Characterization of Nonsubstituted and Substituted Proton-Conducting La6–xWO12–y. Inorg. Chem. 2013, 52, 10375–10386. [Google Scholar] [CrossRef]
- Magrasó, A.; Frontera, C.; Marrero-Lopez, D.; Nunez, P. New crystal structure and characterization of lanthanum tungstate “La6WO12” prepared by freeze-drying synthesis. Dalton Trans. 2009, 46, 10273–10283. [Google Scholar] [CrossRef]
- Magrasó, A.; Polfus, J.M.; Frontera, C.; Canales-Vázquez, J.; Kalland, L.-E.; Hervoches, C.H.; Erdal, S.; Hancke, R.; Islam, M.S.; Norby, T.; et al. Complete structural model for lanthanum tungstate: A chemically stable high temperature proton conductor by means of intrinsic defects. J. Mater. Chem. 2012, 22, 1762–1764. [Google Scholar] [CrossRef]
- Diot, N.; Larcher, O.; Marchand, R.; Kempf, J.; Macaudière, P. Rare-earth and tungsten oxynitrides with a defect fluorite-type structure asnew pigments. J. Alloys Compd. 2001, 323–324, 45–48. [Google Scholar] [CrossRef]
- EscoláStico, S.; Vert, V.B.; Serra, J.M. Preparation and Characterization of Nanocrystalline Mixed Proton−Electronic Conducting Materials Based on the System Ln6WO12. Chem. Mater. 2009, 21, 3079–3089. [Google Scholar] [CrossRef]
- Erdal, S.; Kalland, L.-E.; Hancke, R.; Polfus, J.; Haugsrud, R.; Norby, T.; Magrasó, A. Defect structure and its nomenclature for mixed conducting lanthanum tungstates La28–xW4+xO54+3x/2. Int. J. Hydrogen Energy 2012, 37, 8051–8055. [Google Scholar] [CrossRef]
- Hancke, R.; Magrasó, A.; Norby, T.; Haugsrud, R. Hydration of lanthanum tungstate (La/W = 5.6 and 5.3) studied by TG and simultaneous TG–DSC. Solid State Ion. 2013, 231, 25–29. [Google Scholar] [CrossRef]
- Vøllestad, E.; Gorzkowska-Sobas, A.; Haugsrud, R. Fabrication, structural and electrical characterization of lanthanum tungstate films by pulsed laser deposition. Thin Solid Film. 2012, 520, 6531–6534. [Google Scholar] [CrossRef]
- Zhuang, L.; Li, J.; Chen, L.; Xue, J.; Chen, X.; Wang, H. Metalloid phosphorus cation doping: An effective strategy to improve permeability and stability through the hydrogen permeable membranes. Sep. Purif. Technol. 2019, 210, 320–326. [Google Scholar] [CrossRef]
- Ran, K.; Deibert, W.; Du, H.; Park, D.; Ivanova, M.E.; Meulenberg, W.A.; Mayer, J. Processing-induced secondary phase formation in Mo-substituted lanthanum tungstate membranes. Acta Mater. 2019, 180, 35–41. [Google Scholar] [CrossRef]
- Kalland, L.E.; Magrasó, A.; Mancini, A.; Tealdi, C.; Malavasi, L. Local Structure of Proton-Conducting Lanthanum Tungstate La28–xW4+xO54+δ: A Combined Density Functional Theory and Pair Distribution Function Study. Chem. Mater. 2013, 25, 2378–2384. [Google Scholar] [CrossRef]
- Solís, C.; Escolastico, S.; Haugsrud, R.; Serra, J.M. La5.5WO12-δ Characterization of Transport Properties under Oxidizing Conditions: A Conductivity Relaxation Study. J. Phys. Chem. C 2011, 115, 11124–11131. [Google Scholar] [CrossRef]
- Shimura, T.; Fujimoto, S.; Iwahara, H. Proton conduction in non-perovskite-type oxides atelevated temperatures. Solid State Ion. 2001, 143, 117–123. [Google Scholar] [CrossRef]
- Haugsrud, R. Defects and transport properties in Ln6WO12 (Ln = La, Nd, Gd, Er). Solid State Ion. 2007, 178, 555–560. [Google Scholar] [CrossRef]
- Deibert, W.; Stournari, V.; Ivanova, M.E.; Escolástico, S.; Serra, J.M.; Malzbender, J.; Beck, T.; Singheiser, L.; Guillon, O.; Meulenberg, W.A. Effect of microstructure on electrical and mechanical properties of La5.4WO12−δ proton conductor. J. Eur. Ceram. Soc. 2018, 38, 3527–3538. [Google Scholar] [CrossRef]
- Aguadero, A.; Alonso, J.; Fernández-Díaz, M.T.; Escudero, M.; Daza, L. In situ high temperature powder neutron diffraction study of undoped and Ca-doped La28−xW4+xO54+3x/2 (x = 0.85). J. Mater. Chem. A 2013, 1, 3774–3782. [Google Scholar] [CrossRef]
- Escolástico, S.; Schroeder, M.; Serra, J.M. Optimization of the mixed protonic–electronic conducting materials based on (Nd5/6Ln1/6)5.5WO11.25−δ. J. Mater. Chem. A 2014, 2, 6616–6630. [Google Scholar] [CrossRef]
- Ruf, M.; Solís, C.; Escolástico, S.; Dittmeyer, R.; Serra, J.M. Transport properties and oxidation and hydration kinetics of the proton conductor Mo doped Nd5.5WO11.25−δ. J. Mater. Chem. A 2014, 2, 18539–18546. [Google Scholar] [CrossRef]
- Lashtabeg, A.; Bradley, J.; Dicks, A.; Auchterlonie, G.; Drennan, J. Structural and conductivity studies of Y10−xLaxW2O21. J. Solid State Chem. 2010, 183, 1095–1101. [Google Scholar] [CrossRef]
- Liu, H.; Wen, Z.; Zhang, J.; Han, J.; Chi, X. Improved protonic conductivity and Vickers hardness for lanthanum tungstate with potassium doping (La,K)28−yW4+yO54+δ. Solid State Ion. 2015, 278, 69–77. [Google Scholar] [CrossRef]
- Zayas-Rey, M.J.; Santos-Gómez, L.; Marrero-López, D.; León-Reina, L.; Canales-Vázquez, J.; Aranda, M.a.G.; Losilla, E.R. Structural and Conducting Features of Niobium-Doped Lanthanum Tungstate, La27(W1–xNbx)5O55.55−δ. Chem. Mater. 2013, 25, 448–456. [Google Scholar] [CrossRef]
- Escolastico, S.; Seeger, J.; Roitsch, S.; Ivanova, M.; Meulenberg, W.A.; Serra, J.M. Enhanced H2 separation through mixed proton-electron conducting membranes based on La5.5W0.8M0.2O11.25−δ. ChemSusChem 2013, 6, 1523–1532. [Google Scholar] [CrossRef]
- Porotnikova, N.M.; Ananyev, M.V.; Osinkin, D.A.; Khodimchuk, A.V.; Fetisov, A.V.; Farlenkov, A.S.; Popov, A.I. Increase in the density of Sr2Fe1.5Mo0.5O6−δ membranes through an excess of iron oxide: The effect of iron oxide on transport and kinetic parameters. Surf. Interfaces 2022, 29, 101784. [Google Scholar] [CrossRef]
- Vøllestad, E.; Teusner, M.; Souza, R.; Haugsrud, R. Diffusion of Nd and Mo in lanthanum tungsten oxide. Solid State Ion. 2015, 274, 128–133. [Google Scholar] [CrossRef]
- Magrasó, A. Transport number measurements and fuel cell testing of undoped and Mo-substituted lanthanum tungstate. J. Power Sources 2013, 240, 583–588. [Google Scholar] [CrossRef]
- Amsif, M.; Magrasó, A.; Marrero-López, D.; Ruiz-Morales, J.C.; Canales-Vázquez, J.; Núñez, P. Mo-Substituted Lanthanum Tungstate La28–yW4+yO54+δ: A Competitive Mixed Electron–Proton Conductor for Gas Separation Membrane Applications. Chem. Mater. 2012, 24, 3868–3877. [Google Scholar] [CrossRef]
- Vøllestad, E.; Vigen, C.K.; Magrasó, A.; Haugsrud, R. Hydrogen permeation characteristics of La27Mo1.5W3.5O55.5. J. Membr. Sci. 2014, 461, 81–88. [Google Scholar] [CrossRef]
- Chen, Y.; Cheng, S.; Chen, L.; Wei, Y.; Ashman, P.J.; Wang, H. Niobium and molybdenum co-doped La5.5WO11.25−δ membrane with improved hydrogen permeability. J. Membr. Sci. 2016, 510, 155–163. [Google Scholar] [CrossRef]
- Xue, J.; Chen, Y.; Wei, Y.; Feldhoff, A.; Wang, H.; Caro, J. Gas to Liquids: Natural Gas Conversion to Aromatic Fuels and Chemicals in a Hydrogen-Permeable Ceramic Hollow Fiber Membrane Reactor. ACS Catal. 2016, 6, 2448–2451. [Google Scholar] [CrossRef]
- Li, Z.; Kjølseth, C.; Haugsrud, R. Hydrogen permeation, water splitting and hydration kinetics in Nd5.4Mo0.3W0.7O12−δ. J. Membr. Sci. 2015, 476, 105–111. [Google Scholar] [CrossRef]
- Escolástico, S.; Serra, J.M. Nd5.5W1−xUxO11.25−δ system: Electrochemical characterization and hydrogen permeation study. J. Membr. Sci. 2015, 489, 112–118. [Google Scholar] [CrossRef]
- Escolástico, S.; Solís, C.; Haugsrud, R.; Magrasó, A.; Serra, J.M. On the ionic character of H2 separation through mixed conducting Nd5.5W0.5Mo0.5O11.25−δ membrane. Int. J. Hydrogen Energy 2017, 42, 11392–11399. [Google Scholar] [CrossRef]
- Escolástico, S.; Somacescu, S.; Serra, J.M. Tailoring mixed ionic–electronic conduction in H2 permeable membranes based on the system Nd5.5W1−xMoxO11.25−δ. J. Mater. Chem. A 2015, 3, 719–731. [Google Scholar] [CrossRef]
- Liu, H.; Chen, Y.; Wei, Y.; Wang, H. CO2-tolerant U-shaped hollow fiber membranes for hydrogen separation. Int. J. Hydrogen Energy 2017, 42, 4208–4215. [Google Scholar] [CrossRef]
- Escolástico, S.; Solís, C.; Scherb, T.; Schumacher, G.; Serra, J.M. Hydrogen separation in La5.5WO11.25−δ membranes. J. Membr. Sci. 2013, 444, 276–284. [Google Scholar] [CrossRef]
- Chen, Y.; Wei, Y.; Xie, H.; Zhuang, L.; Wang, H. Effect of the La/W ratio in lanthanum tungstate on the structure, stability and hydrogen permeation properties. J. Membr. Sci. 2017, 542, 300–306. [Google Scholar] [CrossRef]
- Escolástico, S.; Solís, C.; Serra, J.M. Study of hydrogen permeation in (La5/6Nd1/6)5.5WO12−δ membranes. Solid State Ion. 2012, 216, 31–35. [Google Scholar] [CrossRef]
- Huang, Y.; Shi, G.; Liao, Q.; Chen, Y.; Yan, X.; Guo, X.; Lang, W. Development of Mn and Mo double-substituted La5.5WO11.25−δ based membranes with enhanced hydrogen permeation flux. J. Eur. Ceram. Soc. 2021, 41, 5711–5720. [Google Scholar] [CrossRef]
- Huang, Y.; Zhang, Q.; Liao, Q.; Chen, Y.; Yan, X.; Guo, X.; Lang, W. Influence of Cr doping on hydrogen permeation performance of lanthanum tungstate membrane. Sep. Purif. Technol. 2021, 262, 118333. [Google Scholar] [CrossRef]
- Chen, Y.; Wei, Y.; Zhuang, L.; Xie, H.; Wang, H. Effect of Pt layer on the hydrogen permeation property of La5.5W0.45Nb0.15Mo0.4O11.25−δ membrane. J. Membr. Sci. 2018, 552, 61–67. [Google Scholar] [CrossRef]
- Cao, Y.; Chi, B.; Pu, J.; Jian, L. Effect of Pt catalyst and external circuit on the hydrogen permeation of Mo and Nb co-doped lanthanum tungstate. J. Membr. Sci. 2017, 533, 336–341. [Google Scholar] [CrossRef]
- Chen, L.; Liu, L.; Xue, J.; Zhuang, L.; Wang, H. Tailoring hydrogen separation performance through the ceramic lanthanum tungstate membranes by chlorine doping. J. Membr. Sci. 2019, 573, 117–125. [Google Scholar] [CrossRef]
- Chen, Y.; Liu, H.; Zhuang, L.; Wei, Y.; Wang, H. Hydrogen permeability through Nd5.5W0.35Mo0.5Nb0.15O11.25−δ mixed protonic-electronic conducting membrane. J. Membr. Sci. 2019, 579, 33–39. [Google Scholar] [CrossRef]
- Porras-Vázquez, J.M.; Santos-Gomez, L.; Marrero-López, D.; Slater, P.R.; Masó, N.; Magrasó, A.; Losilla, E.R. Effect of tri- and tetravalent metal doping on the electrochemical properties of lanthanum tungstate proton conductors. Dalton Trans. 2016, 45, 3130–3138. [Google Scholar] [CrossRef]
- Escolástico, S.; Somacescu, S.; Serra, J.M. Solid State Transport and Hydrogen Permeation in the System Nd5.5W1–xRexO11.25−δ. Chem. Mater. 2014, 26, 982–992. [Google Scholar] [CrossRef]
- Xie, H.; Zhuang, L.; Wei, Y.; Xue, J.; Wang, H. CO2-tolerant Ni-La5.5WO11.25−δ dual-phase membranes with enhanced H2 permeability. Ceram. Int. 2017, 43, 14608–14615. [Google Scholar] [CrossRef]
- Bespalko, Y.; Sadykov, V.; Eremeev, N.; Skryabin, P.; Krieger, T.; Sadovskaya, E.; Bobrova, L.; Uvarov, N.; Lukashevich, A.; Krasnov, A.; et al. Synthesis of tungstates/Ni0.5Cu0.5O nanocomposite materials for hydrogen separation cermet membranes. Compos. Struct. 2018, 202, 1263–1274. [Google Scholar] [CrossRef]
- Escolástico, S.; Solis, C.; Kjølseth, C.; Serra, J.M. Outstanding hydrogen permeation through CO2-stable dual-phase ceramic membranes. Energy Environ. Sci. 2014, 7, 3736–3746. [Google Scholar] [CrossRef]
- Liang, W.; Zhang, Y.; Hu, T.; Jiang, H. Enhanced H2 production by using La5.5WO11.25−δ-La0.8Sr0.2FeO3−δ mixed oxygen ion-proton-electron triple-conducting membrane. Int. J. Hydrogen Energy 2021, 46, 33143–33151. [Google Scholar] [CrossRef]
- Polfus, J.M.; Xing, W.; Fontaine, M.L.; Denonville, C.; Henriksen, P.P.; Bredesen, R. Hydrogen separation membranes based on dense ceramic composites in the La27W5O55.5–LaCrO3 system. J. Membr. Sci. 2015, 479, 39–45. [Google Scholar] [CrossRef]
- Sadykov, V.A.; Krasnov, A.V.; Fedorova, Y.E.; Lukashevich, A.I.; Bespalko, Y.N.; Eremeev, N.F.; Skriabin, P.I.; Valeev, K.R.; Smorygo, O.L. Novel nanocomposite materials for oxygen and hydrogen separation membranes. Int. J. Hydrogen Energy 2020, 45, 13575–13585. [Google Scholar] [CrossRef]
- Sadykov, V.A.; Bespalko, Y.N.; Krasnov, A.V.; Skriabin, P.I.; Lukashevich, A.I.; Fedorova, Y.E.; Sadovskaya, E.M.; Eremeev, N.F.; Krieger, T.A.; Ishchenko, A.V.; et al. Novel proton-conducting nanocomposites for hydrogen separation membranes. Solid State Ion. 2018, 322, 69–78. [Google Scholar] [CrossRef]
- Polfus, J.M.; Li, Z.; Xing, W.; Sunding, M.F.; Walmsley, J.C.; Fontaine, M.L.; Henriksen, P.P.; Bredesen, R. Chemical stability and H2 flux degradation of cercer membranes based on lanthanum tungstate and lanthanum chromite. J. Membr. Sci. 2016, 503, 42–47. [Google Scholar] [CrossRef]
- Escolástico, S.; Kjølseth, C.; Serra, J.M. Catalytic activation of ceramic H2 membranes for CMR processes. J. Membr. Sci. 2016, 517, 57–63. [Google Scholar] [CrossRef]
- Kalyanaraman, J.; Morejudo, S.H.; Kjølseth, C.; Beeaff, D.; Vigen, C.; Johnson, J.R.; Mccool, B.A. Fundamental modeling and experimental validation of hydrogen and oxygen transport through mixed ionic and electronic conducting membranes. J. Membr. Sci. 2022, 660, 120797. [Google Scholar] [CrossRef]
- Deibert, W.; Schulze-Küppers, F.; Forster, E.; Ivanova, M.E.; Müller, M.; Meulenberg, W.A. Stability and sintering of MgO as a substrate material for Lanthanum Tungstate membranes. J. Eur. Ceram. Soc. 2017, 37, 671–677. [Google Scholar] [CrossRef]
- Weirich, M.; Gurauskis, J.; Gil, V.; Wiik, K.; Einarsrud, M.A. Preparation of lanthanum tungstate membranes by tape casting technique. Int. J. Hydrogen Energy 2012, 37, 8056–8061. [Google Scholar] [CrossRef]
- Gil, V.; Gurauskis, J.; Kjølseth, C.; Wiik, K.; Einarsrud, M.A. Hydrogen permeation in asymmetric La28−xW4+xO54+3x/2 membranes. Int. J. Hydrogen Energy 2013, 38, 3087–3091. [Google Scholar] [CrossRef]
- Xie, H.; Zhuang, L.; Chen, Y.; Wei, Y.; Wang, H. Phase-inversion synthesize of asymmetric-structured La5.5W0.6Mo0.4O11.25−δ membranes with enhanced hydrogen permeation flux. J. Alloys Compd. 2017, 729, 890–896. [Google Scholar] [CrossRef]
- Gil, V.; Gurauskis, J.; Einarsrud, M.A. Asymmetric supported dense lanthanum tungstate membranes. J. Eur. Ceram. Soc. 2014, 34, 3783–3790. [Google Scholar] [CrossRef]
- Deibert, W.; Ivanova, M.E.; Meulenberg, W.A.; Vaßen, R.; Guillon, O. Preparation and sintering behaviour of La5.4WO12−δ asymmetric membranes with optimised microstructure for hydrogen separation. J. Membr. Sci. 2015, 492, 439–451. [Google Scholar] [CrossRef]
- Chen, L.; Liu, L.; Xue, J.; Zhuang, L.; Wang, H. Asymmetric membrane structure: An efficient approach to enhance hydrogen separation performance. Sep. Purif. Technol. 2018, 207, 363–369. [Google Scholar] [CrossRef]
- Ivanova, M.E.; Deibert, W.; Marcano, D.; Escolástico, S.; Mauer, G.; Meulenberg, W.A.; Bram, M.; Serra, J.M.; Vaßen, R.; Guillon, O. Lanthanum tungstate membranes for H2 extraction and CO2 utilization: Fabrication strategies based on sequential tape casting and plasma-spray physical vapor deposition. Sep. Purif. Technol. 2019, 219, 100–112. [Google Scholar] [CrossRef]
- Gurauskis, J.; Gil, V.; Lin, B.; Einarsrud, M.A. Pilot scale fabrication of lanthanum tungstate supports for H2 separation membranes. Open Ceram. 2022, 9, 100226. [Google Scholar] [CrossRef]
- Cheng, H.; Meng, B.; Li, C.; Wang, X.; Meng, X.; Sunarso, J.; Tan, X.; Liu, S. Single-step synthesized dual-layer hollow fiber membrane reactor for on-site hydrogen production through ammonia decomposition. Int. J. Hydrogen Energy 2020, 45, 7423–7432. [Google Scholar] [CrossRef]
- Magraso, A.; Frontera, C. Comparison of the local and the average crystal structure of proton conducting lanthanum tungstate and the influence of molybdenum substitution. Dalton Trans. 2016, 45, 3791–3797. [Google Scholar] [CrossRef] [PubMed]
- Meng, B.; Wang, H.; Cheng, H.; Wang, X.; Meng, X.; Sunarso, J.; Tan, X.; Liu, S. Hydrogen permeation performance of dual-phase protonic-electronic conducting ceramic membrane with regular and independent transport channels. Sep. Purif. Technol. 2019, 213, 515–523. [Google Scholar] [CrossRef]
Disclaimer/Publisher’s Note: The statements, opinions and data contained in all publications are solely those of the individual author(s) and contributor(s) and not of MDPI and/or the editor(s). MDPI and/or the editor(s) disclaim responsibility for any injury to people or property resulting from any ideas, methods, instructions or products referred to in the content. |
© 2023 by the author. Licensee MDPI, Basel, Switzerland. This article is an open access article distributed under the terms and conditions of the Creative Commons Attribution (CC BY) license (https://creativecommons.org/licenses/by/4.0/).




