Ιnnovative Health Promotion Strategies: A 6-Month Longitudinal Study on Computerized Cognitive Training for Older Adults with Minor Neurocognitive Disorders
Abstract
1. Introduction
2. Materials and Methods
2.1. Subjects
2.2. Materials
2.2.1. Clinical Assessment
2.2.2. Neuropsychological Assessment
2.2.3. Computerized Cognitive Training (CTT) Program
2.3. Procedure
2.4. Statistical Analysis
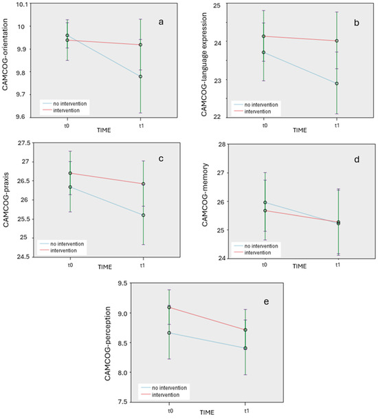
3. Results
4. Discussion
4.1. CCT and Underlying Mechanisms in Cognitive Decline
4.2. Clinical Considerations and Training Effectiveness
4.3. Delivery Mode in Cognitive Training
4.4. Motivation in Cognitive Training
4.5. Strengths and Limitations of the Study
5. Conclusions
Author Contributions
Funding
Institutional Review Board Statement
Informed Consent Statement
Data Availability Statement
Conflicts of Interest
References
- Alexopoulos, G. S. (2005). Depression in the elderly. The Lancet (London, England), 365(9475), 1961–1970. [Google Scholar] [CrossRef]
- Aprahamian, I., Diniz, B. S., Izbicki, R., Radanovic, M., Nunes, P. V., & Forlenza, O. V. (2011). Optimizing the CAMCOG test in the screening for mild cognitive impairment and incipient dementia: Saving time with relevant domains. International Journal of Geriatric Psychiatry, 26(4), 403–408. [Google Scholar] [CrossRef] [PubMed]
- Bahar-Fuchs, A., Webb, S., Bartsch, L., Clare, L., Rebok, G., Cherbuin, N., & Anstey, K. J. (2017). Tailored and adaptive computerized cognitive training in older adults at risk for dementia: A randomized controlled trial. Journal of Alzheimer’s Disease: JAD, 60(3), 889–911. [Google Scholar] [CrossRef] [PubMed]
- Barban, F., Annicchiarico, R., Pantelopoulos, S., Federici, A., Perri, R., Fadda, L., Carlesimo, G. A., Ricci, C., Giuli, S., Scalici, F., Turchetta, C. S., Adriano, F., Lombardi, M. G., Zaccarelli, C., Cirillo, G., Passuti, S., Mattarelli, P., Lymperopoulou, O., Sakka, P., … Caltagirone, C. (2016). Protecting cognition from aging and Alzheimer’s disease: A computerized cognitive training combined with reminiscence therapy. International Journal of Geriatric Psychiatry, 31(4), 340–348. [Google Scholar] [CrossRef]
- Barnes, D. E., Yaffe, K., Belfor, N., Jagust, W. J., DeCarli, C., Reed, B. R., & Kramer, J. H. (2009). Computer-based cognitive training for mild cognitive impairment: Results from a pilot randomized, controlled trial. Alzheimer Disease and Associated Disorders, 23(3), 205–210. [Google Scholar] [CrossRef]
- Bartsch, T., & Wulff, P. (2015). The hippocampus in aging and disease: From plasticity to vulnerability. Neuroscience, 309, 1–16. [Google Scholar] [CrossRef]
- Basak, C., Boot, W. R., Voss, M. W., & Kramer, A. F. (2008). Can training in a real-time strategy video game attenuate cognitive decline in older adults? Psychology and Aging, 23(4), 765–777. [Google Scholar] [CrossRef]
- Belleville, S., Gilbert, B., Fontaine, F., Gagnon, L., Ménard, E., & Gauthier, S. (2006). Improvement of episodic memory in persons with mild cognitive impairment and healthy older adults: Evidence from a cognitive intervention program. Dementia and Geriatric Cognitive Disorders, 22(5–6), 486–499. [Google Scholar] [CrossRef]
- Ben-Sadoun, G., Manera, V., Alvarez, J., Sacco, G., & Robert, P. (2018). Recommendations for the design of serious games in neurodegenerative diseases. Frontiers in Aging Neuroscience, 10, 13. [Google Scholar] [CrossRef]
- Ben-Sadoun, G., Sacco, G., Manera, V., Bourgeois, J., König, A., Foulon, P., Fosty, B., Bremond, F., d’Arripe-Longueville, F., & Robert, P. (2016). Physical and cognitive stimulation using an exergame in subjects with normal aging, mild and moderate cognitive impairment. Journal of Alzheimer’s Disease: JAD, 53(4), 1299–1314. [Google Scholar] [CrossRef]
- Bruel-Jungerman, E., Rampon, C., & Laroche, S. (2007). Adult hippocampal neurogenesis, synaptic plasticity and memory: Facts and hypotheses. Reviews in the Neurosciences, 18(2), 93–114. [Google Scholar] [CrossRef]
- Butler, M., McCreedy, E., Nelson, V. A., Desai, P., Ratner, E., Fink, H. A., Hemmy, L. S., McCarten, J. R., Barclay, T. R., Brasure, M., Davila, H., & Kane, R. L. (2018). Does cognitive training prevent cognitive decline?: A systematic review. Annals of Internal Medicine, 168(1), 63–68. [Google Scholar] [CrossRef] [PubMed]
- Chae, H. J., & Lee, S. H. (2023). Effectiveness of online-based cognitive intervention in community-dwelling older adults with cognitive dysfunction: A systematic review and meta-analysis. International Journal of Geriatric Psychiatry, 38(1), e5853. [Google Scholar] [CrossRef]
- Cipriani, G., Bianchetti, A., & Trabucchi, M. (2006). Outcomes of a computer-based cognitive rehabilitation program on Alzheimer’s disease patients compared with those on patients affected by mild cognitive impairment. Archives of Gerontology and Geriatrics, 43(3), 327–335. [Google Scholar] [CrossRef] [PubMed]
- Clare, L., Woods, R. T., Moniz Cook, E. D., Orrell, M., & Spector, A. (2003). Cognitive rehabilitation and cognitive training for early-stage Alzheimer’s disease and vascular dementia. The Cochrane Database of Systematic Reviews, 4, CD003260. [Google Scholar] [CrossRef]
- Conde-Sala, J. L., Garre-Olmo, J., Vilalta-Franch, J., Llinàs-Reglà, J., Turró-Garriga, O., Lozano-Gallego, M., Hernández-Ferrándiz, M., Pericot-Nierga, I., & López-Pousa, S. (2012). Predictors of cognitive decline in Alzheimer’s disease and mild cognitive impairment using the CAMCOG: A five-year follow-up. International Psychogeriatrics, 24(6), 948–958. [Google Scholar] [CrossRef] [PubMed]
- Crook, T., & Larrabee, G. J. (1988). Age-associated memory impairment: Diagnostic criteria and treatment strategies. Psychopharmacology Bulletin, 24(4), 509–514. [Google Scholar]
- Delbroek, T., Vermeylen, W., & Spildooren, J. (2017). The effect of cognitive-motor dual task training with the biorescue force platform on cognition, balance and dual task performance in institutionalized older adults: A randomized controlled trial. Journal of Physical Therapy Science, 29(7), 1137–1143. [Google Scholar] [CrossRef]
- Fiatarone Singh, M. A., Gates, N., Saigal, N., Wilson, G. C., Meiklejohn, J., Brodaty, H., Wen, W., Singh, N., Baune, B. T., Suo, C., Baker, M. K., Foroughi, N., Wang, Y., Sachdev, P. S., & Valenzuela, M. (2014). The Study of Mental and Resistance Training (SMART) study—Resistance training and/or cognitive training in mild cognitive impairment: A randomized, double-blind, double-sham controlled trial. Journal of the American Medical Directors Association, 15(12), 873–880. [Google Scholar] [CrossRef]
- Finn, M., & McDonald, S. (2011). Computerised cognitive training for older persons with mild cognitive impairment: A pilot study using a randomised controlled trial design. Brain Impairment, 12(3), 187–199. [Google Scholar] [CrossRef]
- Ge, S., Zhu, Z., Wu, B., & McConnell, E. S. (2018). Technology-based cognitive training and rehabilitation interventions for individuals with mild cognitive impairment: A systematic review. BMC Geriatrics, 18(1), 213. [Google Scholar] [CrossRef] [PubMed]
- González-Palau, F., Franco, M., Bamidis, P., Losada, R., Parra, E., Papageorgiou, S. G., & Vivas, A. B. (2014). The effects of a computer-based cognitive and physical training program in a healthy and mildly cognitive impaired aging sample. Aging & Mental Health, 18(7), 838–846. [Google Scholar] [CrossRef]
- Gooding, A. L., Choi, J., Fiszdon, J. M., Wilkins, K., Kirwin, P. D., van Dyck, C. H., Devanand, D., Bell, M. D., & Rivera Mindt, M. (2016). Comparing three methods of computerised cognitive training for older adults with subclinical cognitive decline. Neuropsychological Rehabilitation, 26(5–6), 810–821. [Google Scholar] [CrossRef]
- Hagovská, M., Dzvoník, O., & Olekszyová, Z. (2017). Comparison of two cognitive training programs with effects on functional activities and quality of life. Research in Gerontological Nursing, 10(4), 172–180. [Google Scholar] [CrossRef]
- Han, J. W., Oh, K., Yoo, S., Kim, E., Ahn, K.-H., Son, Y.-J., Kim, T. H., Chi, Y. K., & Kim, K. W. (2014). Development of the ubiquitous spaced retrieval-based memory advancement and rehabilitation training program. Psychiatry Investigation, 11(1), 52–58. [Google Scholar] [CrossRef] [PubMed][Green Version]
- Herrera, C., Chambon, C., Michel, B. F., Paban, V., & Alescio-Lautier, B. (2012). Positive effects of computer-based cognitive training in adults with mild cognitive impairment. Neuropsychologia, 50(8), 1871–1881. [Google Scholar] [CrossRef] [PubMed]
- Hill, N. T. M., Mowszowski, L., Naismith, S. L., Chadwick, V. L., Valenzuela, M., & Lampit, A. (2017). Computerized cognitive training in older adults with mild cognitive impairment or dementia: A systematic review and meta-analysis. The American Journal of Psychiatry, 174(4), 329–340. [Google Scholar] [CrossRef] [PubMed]
- Hong, Y. J., Jang, E. H., Hwang, J., Roh, J. H., & Lee, J.-H. (2015). The efficacy of cognitive intervention programs for mild cognitive impairment: A systematic review. Current Alzheimer Research, 12(6), 527–542. [Google Scholar] [CrossRef]
- Hu, M., Wu, X., Shu, X., Hu, H., Chen, Q., Peng, L., & Feng, H. (2021). Effects of computerised cognitive training on cognitive impairment: A meta-analysis. Journal of Neurology, 268(5), 1680–1688. [Google Scholar] [CrossRef]
- Hughes, T. F., Flatt, J. D., Fu, B., Butters, M. A., Chang, C.-C. H., & Ganguli, M. (2014). Interactive video gaming compared with health education in older adults with mild cognitive impairment: A feasibility study. International Journal of Geriatric Psychiatry, 29(9), 890–898. [Google Scholar] [CrossRef]
- Hwang, H. R., Choi, S. H., Yoon, D. H., Yoon, B.-N., Suh, Y. J., Lee, D., Han, I.-T., & Hong, C.-G. (2012). The effect of cognitive training in patients with mild cognitive impairment and early Alzheimer’s disease: A preliminary study. Journal of Clinical Neurology (Seoul, Korea), 8(3), 190–197. [Google Scholar] [CrossRef]
- Hyer, L., Scott, C., Atkinson, M. M., Mullen, C. M., Lee, A., Johnson, A., & Mckenzie, L. C. (2016). Cognitive training program to improve working memory in older adults with MCI. Clinical Gerontologist, 39(5), 410–427. [Google Scholar] [CrossRef]
- Karbach, J., & Kray, J. (2009). How useful is executive control training? Age differences in near and far transfer of task-switching training. Developmental Science, 12(6), 978–990. [Google Scholar] [CrossRef] [PubMed]
- Klados, M. A., Styliadis, C., Frantzidis, C. A., Paraskevopoulos, E., & Bamidis, P. D. (2016). Beta-band functional connectivity is reorganized in mild cognitive impairment after combined computerized physical and cognitive training. Frontiers in Neuroscience, 10, 55. [Google Scholar] [CrossRef]
- Kolb, B., Harker, A., & Gibb, R. (2017). Principles of plasticity in the developing brain. Developmental Medicine and Child Neurology, 59(12), 1218–1223. [Google Scholar] [CrossRef] [PubMed]
- Kral, V. A. (1958). Senescent memory decline and senile amnestic syndrome. The American Journal of Psychiatry, 115(4), 361–362. [Google Scholar] [CrossRef] [PubMed]
- Lampit, A., Hallock, H., & Valenzuela, M. (2014). Computerized cognitive training in cognitively healthy older adults: A systematic review and meta-analysis of effect modifiers. PLoS Medicine, 11(11), e1001756. [Google Scholar] [CrossRef]
- Li, H., Li, J., Li, N., Li, B., Wang, P., & Zhou, T. (2011). Cognitive intervention for persons with mild cognitive impairment: A meta-analysis. Ageing Research Reviews, 10(2), 285–296. [Google Scholar] [CrossRef]
- Liang, J., Xu, Y., Lin, L., Jia, R., Zhang, H., & Hang, L. (2018). Comparison of multiple interventions for older adults with Alzheimer disease or mild cognitive impairment. Medicine, 97(20), e10744. [Google Scholar] [CrossRef]
- Lin, F., Heffner, K. L., Ren, P., Tivarus, M. E., Brasch, J., Chen, D.-G., Mapstone, M., Porsteinsson, A. P., & Tadin, D. (2016). Cognitive and neural effects of vision-based speed-of-processing training in older adults with amnestic mild cognitive impairment: A pilot study. Journal of the American Geriatrics Society, 64(6), 1293–1298. [Google Scholar] [CrossRef]
- Liu, C.-C., Kanekiyo, T., Xu, H., & Bu, G. (2013). Apolipoprotein E and Alzheimer disease: Risk, mechanisms and therapy. Nature Reviews Neurology, 9(2), 106–118. [Google Scholar] [CrossRef] [PubMed]
- Maeng, S., Hong, J. P., Kim, W.-H., Kim, H., Cho, S.-E., Kang, J. M., Na, K.-S., Oh, S.-H., Park, J. W., Bae, J. N., & Cho, S.-J. (2021). Effects of virtual reality-based cognitive training in the elderly with and without mild cognitive impairment. Psychiatry Investigation, 18(7), 619–627. [Google Scholar] [CrossRef] [PubMed]
- Maffei, L., Picano, E., Andreassi, M. G., Angelucci, A., Baldacci, F., Baroncelli, L., Begenisic, T., Bellinvia, P. F., Berardi, N., Biagi, L., Bonaccorsi, J., Bonanni, E., Bonuccelli, U., Borghini, A., Braschi, C., Broccardi, M., Bruno, R. M., Caleo, M., Carlesi, C., … Train the Brain Consortium. (2017). Randomized trial on the effects of a combined physical/cognitive training in aged MCI subjects: The Train the Brain study. Scientific Reports, 7(1), 39471. [Google Scholar] [CrossRef]
- Manera, V., Petit, P.-D., Derreumaux, A., Orvieto, I., Romagnoli, M., Lyttle, G., David, R., & Robert, P. H. (2015). “Kitchen and cooking”, a serious game for mild cognitive impairment and Alzheimer’s disease: A pilot study. Frontiers in Aging Neuroscience, 7, 24. [Google Scholar] [CrossRef]
- Mansbach, W. E., Mace, R. A., & Clark, K. M. (2017). The efficacy of a computer-assisted cognitive rehabilitation program for patients with mild cognitive deficits: A pilot study. Experimental Aging Research, 43(1), 94–104. [Google Scholar] [CrossRef]
- Memory Motivation. (n.d.). Retrieved 10 February 2025. Available online: https://www.memory-motivation.org/home-4/ (accessed on 5 May 2020).
- Miller, K. J., Dye, R. V., Kim, J., Jennings, J. L., O’Toole, E., Wong, J., & Siddarth, P. (2013). Effect of a computerized brain exercise program on cognitive performance in older adults. The American Journal of Geriatric Psychiatry: Official Journal of the American Association for Geriatric Psychiatry, 21(7), 655–663. [Google Scholar] [CrossRef]
- Nasreddine, Z. S., Phillips, N. A., Bédirian, V., Charbonneau, S., Whitehead, V., Collin, I., Cummings, J. L., & Chertkow, H. (2005). The montreal cognitive assessment, MoCA: A brief screening tool for mild cognitive impairment. Journal of the American Geriatrics Society, 53(4), 695–699. [Google Scholar] [CrossRef]
- Owen, A. M., Hampshire, A., Grahn, J. A., Stenton, R., Dajani, S., Burns, A. S., Howard, R. J., & Ballard, C. G. (2010). Putting brain training to the test. Nature, 465(7299), 775–778. [Google Scholar] [CrossRef]
- Pamboris, G. M., Plakias, S., Tsiakiri, A., Karakitsiou, G., Bebeletsi, P., Vadikolias, K., Aggelousis, N., Tsiptsios, D., & Christidi, F. (2024). Physical therapy in neurorehabilitation with an emphasis on sports: A bibliometric analysis and narrative review. Sports, 12(10), 276. [Google Scholar] [CrossRef]
- Petersen, R. C., Caracciolo, B., Brayne, C., Gauthier, S., Jelic, V., & Fratiglioni, L. (2014). Mild cognitive impairment: A concept in evolution. Journal of Internal Medicine, 275(3), 214–228. [Google Scholar] [CrossRef]
- Petersen, R. C., Lopez, O., Armstrong, M. J., Getchius, T. S. D., Ganguli, M., Gloss, D., Gronseth, G. S., Marson, D., Pringsheim, T., Day, G. S., Sager, M., Stevens, J., & Rae-Grant, A. (2018). Practice guideline update summary: Mild cognitive impairment: Report of the guideline development, dissemination, and implementation subcommittee of the american academy of neurology. Neurology, 90(3), 126–135. [Google Scholar] [CrossRef] [PubMed]
- Petersen, R. C., Smith, G. E., Waring, S. C., Ivnik, R. J., Tangalos, E. G., & Kokmen, E. (1999). Mild cognitive impairment: Clinical characterization and outcome. Archives of Neurology, 56(3), 303–308. [Google Scholar] [CrossRef] [PubMed]
- Rabipour, S., & Raz, A. (2012). Training the brain: Fact and fad in cognitive and behavioral remediation. Brain and Cognition, 79(2), 159–179. [Google Scholar] [CrossRef]
- Rapp, S., Brenes, G., & Marsh, A. P. (2002). Memory enhancement training for older adults with mild cognitive impairment: A preliminary study. Aging & Mental Health, 6(1), 5–11. [Google Scholar] [CrossRef]
- Robert, P., Manera, V., Derreumaux, A., Ferrandez Y Montesino, M., Leone, E., Fabre, R., & Bourgeois, J. (2020). Efficacy of a web app for cognitive training (MeMo) regarding cognitive and behavioral performance in people with neurocognitive disorders: Randomized controlled trial. Journal of Medical Internet Research, 22(3), e17167. [Google Scholar] [CrossRef]
- Robert, P. H., König, A., Amieva, H., Andrieu, S., Bremond, F., Bullock, R., Ceccaldi, M., Dubois, B., Gauthier, S., Kenigsberg, P.-A., Nave, S., Orgogozo, J. M., Piano, J., Benoit, M., Touchon, J., Vellas, B., Yesavage, J., & Manera, V. (2014). Recommendations for the use of serious games in people with Alzheimer’s disease, related disorders and frailty. Frontiers in Aging Neuroscience, 6, 54. [Google Scholar] [CrossRef]
- Rosen, A. C., Sugiura, L., Kramer, J. H., Whitfield-Gabrieli, S., & Gabrieli, J. D. (2011). Cognitive training changes hippocampal function in mild cognitive impairment: A pilot study. Journal of Alzheimer’s Disease: JAD, 26(Suppl. S3), 349–357. [Google Scholar] [CrossRef]
- Roth, M., Tym, E., Mountjoy, C. Q., Huppert, F. A., Hendrie, H., Verma, S., & Goddard, R. (1986). CAMDEX. A standardised instrument for the diagnosis of mental disorder in the elderly with special reference to the early detection of dementia. The British Journal of Psychiatry: The Journal of Mental Science, 149, 698–709. [Google Scholar] [CrossRef]
- Rozzini, L., Costardi, D., Chilovi, B. V., Franzoni, S., Trabucchi, M., & Padovani, A. (2007). Efficacy of cognitive rehabilitation in patients with mild cognitive impairment treated with cholinesterase inhibitors. International Journal of Geriatric Psychiatry, 22(4), 356–360. [Google Scholar] [CrossRef]
- Sachs-Ericsson, N., & Blazer, D. G. (2015). The new DSM-5 diagnosis of mild neurocognitive disorder and its relation to research in mild cognitive impairment. Aging & Mental Health, 19(1), 2–12. [Google Scholar] [CrossRef]
- Sakamoto, M., Ando, H., & Tsutou, A. (2013). Comparing the effects of different individualized music interventions for elderly individuals with severe dementia. International Psychogeriatrics, 25(5), 775–784. [Google Scholar] [CrossRef] [PubMed]
- Savulich, G., Piercy, T., Fox, C., Suckling, J., Rowe, J. B., O’Brien, J. T., & Sahakian, B. J. (2017). Cognitive training using a novel memory game on an ipad in patients with amnestic mild cognitive impairment (aMCI). International Journal of Neuropsychopharmacology, 20(8), 624–633. [Google Scholar] [CrossRef] [PubMed]
- Scarmeas, N., Zarahn, E., Anderson, K. E., Hilton, J., Flynn, J., Van Heertum, R. L., Sackeim, H. A., & Stern, Y. (2003). Cognitive reserve modulates functional brain responses during memory tasks: A PET study in healthy young and elderly subjects. NeuroImage, 19(3), 1215–1227. [Google Scholar] [PubMed]
- Shah, T. M., Weinborn, M., Verdile, G., Sohrabi, H. R., & Martins, R. N. (2017). Enhancing cognitive functioning in healthly older adults: A systematic review of the clinical significance of commercially available computerized cognitive training in preventing cognitive decline. Neuropsychology Review, 27(1), 62–80. [Google Scholar] [CrossRef]
- Simpson, J. R. (2014). DSM-5 and neurocognitive disorders. The Journal of the American Academy of Psychiatry and the Law, 42(2), 159–164. [Google Scholar]
- Smith, G. S. (2013). Aging and neuroplasticity. Dialogues in Clinical Neuroscience, 15(1), 3–5. [Google Scholar] [CrossRef]
- Sood, P., Kletzel, S. L., Krishnan, S., Devos, H., Negm, A., Hoffecker, L., Machtinger, J., Hu, X., & Heyn, P. C. (2019). Nonimmersive brain gaming for older adults with cognitive impairment: A scoping review. The Gerontologist, 59(6), e764–e781. [Google Scholar] [CrossRef]
- Stern, Y. (2002). What is cognitive reserve? Theory and research application of the reserve concept. Journal of the International Neuropsychological Society: JINS, 8(3), 448–460. [Google Scholar] [CrossRef]
- Stern, Y., & Barulli, D. (2019). Cognitive reserve. Handbook of Clinical Neurology, 167, 181–190. [Google Scholar] [CrossRef]
- Styliadis, C., Kartsidis, P., Paraskevopoulos, E., Ioannides, A. A., & Bamidis, P. D. (2015). Neuroplastic effects of combined computerized physical and cognitive training in elderly individuals at risk for dementia: An eLORETA controlled study on resting states. Neural Plasticity, 2015, 172192. [Google Scholar] [CrossRef]
- Swaab, D. F. (1991). Brain aging and Alzheimer’s disease, “Wear and tear” versus “Use it or lose it”. Neurobiology of Aging, 12(4), 317–324. [Google Scholar] [CrossRef] [PubMed]
- Talassi, E., Guerreschi, M., Feriani, M., Fedi, V., Bianchetti, A., & Trabucchi, M. (2007). Effectiveness of a cognitive rehabilitation program in mild dementia (MD) and mild cognitive impairment (MCI): A case control study. Archives of Gerontology and Geriatrics, 44(Suppl. S1), 391–399. [Google Scholar] [CrossRef] [PubMed]
- Thapa, N., Park, H. J., Yang, J.-G., Son, H., Jang, M., Lee, J., Kang, S. W., Park, K. W., & Park, H. (2020). The effect of a virtual reality-based intervention program on cognition in older adults with mild cognitive impairment: A randomized control trial. Journal of Clinical Medicine, 9(5), 1283. [Google Scholar] [CrossRef]
- Troyer, A. K., Murphy, K. J., Anderson, N. D., Moscovitch, M., & Craik, F. I. M. (2008). Changing everyday memory behaviour in amnestic mild cognitive impairment: A randomised controlled trial. Neuropsychological Rehabilitation, 18(1), 65–88. [Google Scholar] [CrossRef]
- Tsiakiri, A. (2022). Remote learning for adults with mild cognitive impairment in the new landscape of COVID-19 restrictions. Advances in Social Sciences Research Journal, 9, 382–394. [Google Scholar] [CrossRef]
- Tsiakiri, A., Bakirtzis, C., Plakias, S., Vlotinou, P., Vadikolias, K., Terzoudi, A., & Christidi, F. (2024a). Predictive models for the transition from mild neurocognitive disorder to major neurocognitive disorder: Insights from clinical, demographic, and neuropsychological data. Biomedicines, 12(6), 1232. [Google Scholar] [CrossRef]
- Tsiakiri, A., Christidi, F., Tsiptsios, D., Vlotinou, P., Kitmeridou, S., Bebeletsi, P., Kokkotis, C., Serdari, A., Tsamakis, K., Aggelousis, N., & Vadikolias, K. (2024b). Processing speed and attentional shift/mental flexibility in patients with stroke: A comprehensive review on the trail making test in stroke studies. Neurology International, 16(1), 210–225. [Google Scholar] [CrossRef]
- Tsiakiri, A., Ioannidis, P., Vlotinou, P., Kokkotis, C., Megagianni, S., Toumaian, M., Terzoudi, K., Koutzmpi, V., Despoti, A., Megari, K., Liozidou, A., Kyriazidoy, S., Vadikolias, K., & Tsapanou, A. (2024c). The role of a computerized cognitive intervention program on the neuropsychiatric symptoms in mild cognitive impairment. Aging Medicine and Healthcare, 15(3), 122–128. [Google Scholar] [CrossRef]
- Tsiakiri, A., Vadikolias, K., Tripsianis, G., Vlotinou, P., Serdari, A., Terzoudi, A., & Heliopoulos, I. (2021). Influence of social and demographic factors on the montreal cognitive assessment (MoCA) test in rural population of North-Eastern Greece. Geriatrics, 6(2), 43. [Google Scholar] [CrossRef]
- Tsolaki, M., Fountoulakis, K. N., Chantzi, H., & Kazis, A. (2000). The Cambridge Cognitive Examination (CAMCOG): A validation study in outpatients suffering from dementia and non-demented elderly subjects (including Age Associated Cognitive Decline patients) in Greece. American Journal of Alzheimer’s Disease & Other Dementias®, 15(5), 269–276. [Google Scholar] [CrossRef]
- Unverzagt, F. W., Kasten, L., Johnson, K. E., Rebok, G. W., Marsiske, M., Koepke, K. M., Elias, J. W., Morris, J. N., Willis, S. L., Ball, K., Rexroth, D. F., Smith, D. M., Wolinsky, F. D., & Tennstedt, S. L. (2007). Effect of memory impairment on training outcomes in ACTIVE. Journal of the International Neuropsychological Society, 13(6), 953–960. [Google Scholar] [CrossRef] [PubMed]
- Valentijn, S. A. M., van Hooren, S. A. H., Bosma, H., Touw, D. M., Jolles, J., van Boxtel, M. P. J., & Ponds, R. W. H. M. (2005). The effect of two types of memory training on subjective and objective memory performance in healthy individuals aged 55 years and older: A randomized controlled trial. Patient Education and Counseling, 57(1), 106–114. [Google Scholar] [CrossRef][Green Version]
- van de Pol, L. A., Korf, E. S. C., van der Flier, W. M., Brashear, H. R., Fox, N. C., Barkhof, F., & Scheltens, P. (2007). Magnetic resonance imaging predictors of cognition in mild cognitive impairment. Archives of Neurology, 64(7), 1023–1028. [Google Scholar] [CrossRef]
- Verghese, J., Lipton, R. B., Katz, M. J., Hall, C. B., Derby, C. A., Kuslansky, G., Ambrose, A. F., Sliwinski, M., & Buschke, H. (2003). Leisure activities and the risk of dementia in the elderly. The New England Journal of Medicine, 348(25), 2508–2516. [Google Scholar] [CrossRef]
- Verhaeghen, P., Marcoen, A., & Goossens, L. (1992). Improving memory performance in the aged through mnemonic training: A meta-analytic study. Psychology and Aging, 7(2), 242–251. [Google Scholar] [CrossRef] [PubMed]
- Vlotinou, P., Tsiakiri, A., Frantzidis, C. A., Katsouri, I.-G., & Aggelousis, N. (2023). The effect of an interventional movement program on the mechanical gait characteristics of a patient with dementia. Engineering Proceedings, 50(1), 4. [Google Scholar] [CrossRef]
- Willis, S. L., Tennstedt, S. L., Marsiske, M., Ball, K., Elias, J., Koepke, K. M., Morris, J. N., Rebok, G. W., Unverzagt, F. W., Stoddard, A. M., Wright, E., & ACTIVE Study Group. (2006). Long-term effects of cognitive training on everyday functional outcomes in older adults. JAMA, 296(23), 2805–2814. [Google Scholar] [CrossRef]
- Xu, Z., Sun, W., Zhang, D., Chung, V. C.-H., Sit, R. W.-S., & Wong, S. Y.-S. (2021). Comparative effectiveness of interventions for global cognition in patients with mild cognitive impairment: A systematic review and network meta-analysis of randomized controlled trials. Frontiers in Aging Neuroscience, 13, 653340. [Google Scholar] [CrossRef]
- Zyda, M. (2005). From visual simulation to virtual reality to games. Computer, 38(9), 25–32. [Google Scholar] [CrossRef]

| Total Sample | Non-Intervention Group | Intervention Group | p-Value | |
|---|---|---|---|---|
| Age (yrs) | 69.92 ± 7.45 | 68.90 ± 8.35 | 70.94 ± 6.35 | 0.172 |
| Sex (M/F) | 27/73 | 16/34 | 11/39 | 0.260 |
| Education (yrs) | 9.48 ± 4.96 | 8.48 ± 5.32 | 10.48 ± 4.39 | 0.057 |
| MoCA | 24.72 ± 2.07 | 24.40 ± 2.15 | 25.04 ± 1.96 | 0.068 |
| Baseline (t0) Groups | Follow-Up (t1) Groups | |||
|---|---|---|---|---|
| Non-Intervention | Intervention | Non-Intervention | Intervention | |
| Orientation | 9.96 ± 0.20 | 9.94 ± 0.31 | 9.78 ± 0.58 | 9.92 ± 0.40 |
| Language comprehension | 6.38 ± 0.75 | 6.44 ± 0.76 | 6.24 ± 0.74 | 6.50 ± 0.68 |
| Language expression | 23.82 ± 2.72 | 24.22 ± 2.35 | 23.00 ± 2.93 | 24.10 ± 2.64 |
| Attention | 6.40 ± 1.03 | 6.68 ± 0.65 | 6.46 ± 0.73 | 6.62 ± 0.67 |
| Praxis | 26.42 ± 2.32 | 26.76 ± 2.02 | 25.68 ± 2.80 | 26.48 ± 2.10 |
| Calculation | 2.02 ± 0.14 | 2.00 ± 0.00 | 2.02 ± 0.14 | 2.00 ± 0.00 |
| Abstraction | 5.30 ± 1.66 | 5.52 ± 1.52 | 5.42 ± 1.68 | 5.52 ± 1.50 |
| Memory | 26.16 ± 3.55 | 25.86 ± 3.60 | 25.42 ± 3.99 | 25.46 ± 3.94 |
| Perception | 8.80 ± 1.92 | 9.14 ± 1.05 | 8.54 ± 1.93 | 8.76 ± 1.22 |
| CAMCOG Target Variables | Groups | Contrast Estimate (SE) | Statistics (t, df, padj) |
|---|---|---|---|
| Orientation | Non-intervention | 0.180 (0.083) | t (196) = 2.159; padj = 0.032 |
| Intervention | 0.020 (0.045) | t (196) = 0.448; padj = 0.655 | |
| Language comprehension | Non-intervention | 0.139 (0.080) | t (196) = 1.749; padj = 0.082 |
| Intervention | −0.060 (0.071) | t (196) = −0.838; padj = 0.403 | |
| Language expression | Non-intervention | 0.816 (0.304) | t (196) = 2.683; padj = 0.008 |
| Intervention | 0.120 (0.228) | t (196) = 0.524; padj = 0.601 | |
| Attention | Non-intervention | −0.060 (0.130) | t (196) = −0.458; padj = 0.647 |
| Intervention | 0.060 (0.059) | t (196) = 1.010; padj = 0.314 | |
| Praxis | Non-intervention | 0.738 (0.273) | t (196) = 2.701; padj = 0.008 |
| Intervention | 0.279 (0.179) | t (196) = 1.565; padj = 0.119 | |
| Calculation | Non-intervention | 0.000 (0.000) | n/a |
| Intervention | −0.000 (0.000) | n/a | |
| Abstraction | Non-intervention | −0.115 (0.153) | t (196) = −0.754; padj = 0.452 |
| Intervention | −0.000 (0.117) | t (196) = −0.000; padj = 1.000 | |
| Memory | Non-intervention | 0.734 (0.283) | t (196) = 2.592; padj = 0.010 |
| Intervention | 0.397 (0.440) | t (196) = 0.902; padj = 0.368 | |
| Perception | Non-intervention | 0.256 (0.117) | t (196) = 2.180; padj = 0.030 |
| Intervention | 0.378 (0.125) | t (196) = 3.012; padj = 0.003 |
Disclaimer/Publisher’s Note: The statements, opinions and data contained in all publications are solely those of the individual author(s) and contributor(s) and not of MDPI and/or the editor(s). MDPI and/or the editor(s) disclaim responsibility for any injury to people or property resulting from any ideas, methods, instructions or products referred to in the content. |
© 2025 by the authors. Published by MDPI on behalf of the University Association of Education and Psychology. Licensee MDPI, Basel, Switzerland. This article is an open access article distributed under the terms and conditions of the Creative Commons Attribution (CC BY) license (https://creativecommons.org/licenses/by/4.0/).
Share and Cite
Tsiakiri, A.; Plakias, S.; Vlotinou, P.; Athanasouli, P.; Terzoudi, A.; Kyriazidou, S.; Serdari, A.; Karakitsiou, G.; Megari, K.; Aggelousis, N.; et al. Ιnnovative Health Promotion Strategies: A 6-Month Longitudinal Study on Computerized Cognitive Training for Older Adults with Minor Neurocognitive Disorders. Eur. J. Investig. Health Psychol. Educ. 2025, 15, 34. https://doi.org/10.3390/ejihpe15030034
Tsiakiri A, Plakias S, Vlotinou P, Athanasouli P, Terzoudi A, Kyriazidou S, Serdari A, Karakitsiou G, Megari K, Aggelousis N, et al. Ιnnovative Health Promotion Strategies: A 6-Month Longitudinal Study on Computerized Cognitive Training for Older Adults with Minor Neurocognitive Disorders. European Journal of Investigation in Health, Psychology and Education. 2025; 15(3):34. https://doi.org/10.3390/ejihpe15030034
Chicago/Turabian StyleTsiakiri, Anna, Spyridon Plakias, Pinelopi Vlotinou, Paraskevi Athanasouli, Aikaterini Terzoudi, Sotiria Kyriazidou, Aspasia Serdari, Georgia Karakitsiou, Kalliopi Megari, Nikolaos Aggelousis, and et al. 2025. "Ιnnovative Health Promotion Strategies: A 6-Month Longitudinal Study on Computerized Cognitive Training for Older Adults with Minor Neurocognitive Disorders" European Journal of Investigation in Health, Psychology and Education 15, no. 3: 34. https://doi.org/10.3390/ejihpe15030034
APA StyleTsiakiri, A., Plakias, S., Vlotinou, P., Athanasouli, P., Terzoudi, A., Kyriazidou, S., Serdari, A., Karakitsiou, G., Megari, K., Aggelousis, N., Vadikolias, K., & Christidi, F. (2025). Ιnnovative Health Promotion Strategies: A 6-Month Longitudinal Study on Computerized Cognitive Training for Older Adults with Minor Neurocognitive Disorders. European Journal of Investigation in Health, Psychology and Education, 15(3), 34. https://doi.org/10.3390/ejihpe15030034

