Academic Success at Social Costs: An Exploratory Study on Social Networks of Chinese Students under Academic Streaming
Abstract
1. Introduction
1.1. Peer Networks in Higher Education
1.2. Effects of Educational Policies on Peer Networks
1.3. Peer Relationships of Chinese Students
1.4. Theoretical Foundation: Ego Network Analysis and Measures
1.5. The Present Study
- Due to the non-alignment of class and dormitory assignment, students experiencing streaming may have distinct networks in academic and social settings, resulting in different network multiplexity.
- Given the exclusive nature of their class, honour students are likely to have different alter attributes (e.g., more similarity) and network variations.
- Due to the academic sorting system, students experiencing streaming would demonstrate different network turnover patterns.
2. Materials and Methods
2.1. Procedure and Participants
2.2. Measures and Analysis
2.2.1. Quantitative and Qualitative Measures
- Could you please describe your assessment experience in the university thus far? What motivates you to perform well in assessments?
- How do you feel about the process of streaming/re-streaming? Does it have any impact on your learning and/or social life? If so, how?
- Could you share an example of a time when your assessment experience influenced your interactions with peers or friends?
- Have you noticed any changes in your social network or relationships due to the implementation of assessments or re-streaming? What are they and how do you feel?
2.2.2. Data Analysis
3. Results
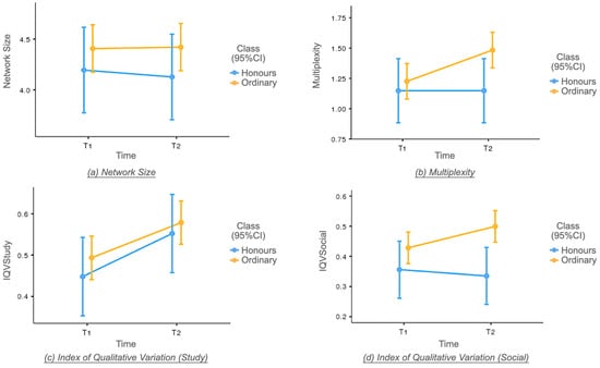
3.1. Quantitative Results
3.1.1. Between-Group Comparisons
3.1.2. Within-Group Comparisons
3.1.3. The Special Case of Demoted Group
3.2. Qualitative Results
3.2.1. Honours Group
3.2.2. Demoted Group
4. Discussion
4.1. General Discussion
4.2. Limitations
5. Conclusions
Author Contributions
Funding
Institutional Review Board Statement
Informed Consent Statement
Data Availability Statement
Acknowledgments
Conflicts of Interest
References
- Chen, X.; Chang, L.; He, Y. The peer group as a context: Mediating and moderating effects on relations between academic achievement and social functioning in Chinese children. Child Dev. 2003, 74, 710–727. [Google Scholar] [CrossRef] [PubMed]
- Gašević, D.; Zouaq, A.; Janzen, R. Choose your classmates, your GPA is at stake! The association of cross-class social ties and academic performance. Am. Behav. Sci. 2013, 57, 1460–1479. [Google Scholar] [CrossRef]
- Li, J. Cultural Foundations of Learning: East and West, 3rd ed.; Cambridge University Press: Cambridge, UK, 2012. [Google Scholar]
- Zimmerman, D.J. Peer effects in academic outcomes: Evidence from a natural experiment. Rev. Econ. Stat. 2003, 85, 9–23. [Google Scholar] [CrossRef]
- Lubbers, M.J.; Molina, J.L.; Lerner, J.; Brandes, U.; Ávila, J.; McCarty, C. Longitudinal analysis of personal networks. The case of Argentinean migrants in Spain. Soc. Netw. 2010, 32, 91–104. [Google Scholar] [CrossRef]
- Small, M.L.; Deeds Pamphile, V.; McMahan, P. How stable is the core discussion network? Soc. Netw. 2015, 40, 90–102. [Google Scholar] [CrossRef]
- Johnston, O.; Wildy, H. The effects of streaming in the secondary school on learning outcomes for Australian students—A review of the international literature. Aust. J. Educ. 2016, 60, 42–59. [Google Scholar] [CrossRef]
- Wang, J. Research on the Development of Undergraduate Honors Colleges in China. Ph.D. Thesis, Zhejiang University of Technology, Hangzhou, China, 2020. Available online: http://cdmd.cnki.com.cn/Article/CDMD-10337-1020440034.htm (accessed on 28 July 2021).
- Daly, A.J. Refocusing the lens: Educational research in an era of relationships. J. Educ. Adm. 2015, 53, 140–150. [Google Scholar] [CrossRef]
- Li, L.; Peng, Z.; Lu, L.; Liao, H.; Li, H. Peer relationships, self-efficacy, academic motivation, and mathematics achievement in Zhuang adolescents: A moderated mediation model. Child Youth Serv. Rev. 2020, 118, 105358. [Google Scholar] [CrossRef]
- Wentzel, K.R.; Muenks, K. Peer influence on students’ motivation, academic achievement, and social behavior. In Handbook of Social Influences in School Contexts: Social-Emotional, Motivation, and Cognitive Outcomes; Wentzel, K.R., Ramani, G.B., Eds.; Routledge: London, UK, 2016; pp. 13–30. [Google Scholar]
- Griffith, A.L.; Rask, K.N. Peer effects in higher education: A look at heterogeneous impacts. Econ. Educ. Rev. 2014, 39, 65–77. [Google Scholar] [CrossRef]
- Mishra, S.; Müller, L. Resources, norms, and dropout intentions of migrant students in Germany: The role of social networks and social capital. Stud. High. Educ. 2021, 47, 1666–1680. [Google Scholar] [CrossRef]
- Sacerdote, B. Peer effects in education: How might they work, how big are they and how much do we know thus far? In Handbook of the Economics of Education; Hanushek, E.A., Machin, S., Woessmann, L., Eds.; Elsevier: Amsterdam, The Netherlands, 2011; Volume 3, pp. 249–277. [Google Scholar] [CrossRef]
- Stinebrickner, R.; Stinebrickner, T.R. What can be learned about peer effects using college roommates? Evidence from new survey data and students from disadvantaged backgrounds. J. Public Econ. 2006, 90, 1435–1454. [Google Scholar] [CrossRef]
- Han, L.; Li, T. The gender difference of peer influence in higher education. Econ. Educ. Rev. 2009, 28, 129–134. [Google Scholar] [CrossRef]
- Marmaros, D.; Sacerdote, B. How do friendships form? Q. J. Econ. 2006, 121, 79–119. [Google Scholar]
- Ha, W. Quasi-experimental evidence of academic peer effects at an elite university in People’s Republic of China. Asia Pac. Educ. Rev. 2016, 17, 703–718. [Google Scholar] [CrossRef]
- Hallinan, M.T.; Sørensen, A.B. Ability grouping and student friendship. Am. Educ. Res. J. 1985, 22, 485–499. [Google Scholar] [CrossRef]
- Perry, B.L. Ego Network Analysis. Duke University. Available online: https://sites.duke.edu/dnac/04-ego-network-analysis/ (accessed on 3 September 2023).
- Block, P.; Grund, T. Multidimensional Homophily in Friendship Networks. Netw. Sci. 2014, 2, 189–212. [Google Scholar] [CrossRef] [PubMed]
- Mishra, S. Social networks, social capital, social support and academic success in higher education: A systematic review with a special focus on ‘underrepresented’ students. Educ. Res. Rev. 2020, 29, 100307. [Google Scholar] [CrossRef]
- Fisher, K.W.; Shogren, K.A. The Influence of Academic Tracking on Adolescent Social Networks. Remedial Spec. Educ. 2016, 37, 89–100. [Google Scholar] [CrossRef]
- Li, F.; Loyalka, P.; Yi, H.; Shi, Y.; Johnson, N.; Rozelle, S. Ability tracking and social trust in China’s rural secondary school system. Sch. Eff. Sch. Improv. 2018, 29, 545–572. [Google Scholar] [CrossRef]
- Oh, H.; Vang, H. Outcomes of Academic Tracking Among Young Adults in the United States: A Longitudinal Survey Analysis. Sociol. Res. Online 2021, 1–18. [Google Scholar] [CrossRef]
- Domina, T.; McEachin, A.; Hanselman, P.; Agarwal, P.; Hwang, N.; Lewis, R.W. Beyond tracking and detracking: The dimensions of organizational differentiation in schools. Sociol. Educ. 2019, 92, 293–322. [Google Scholar] [CrossRef]
- Francis, B.; Taylor, B.; Tereshchenko, A. Reassessing ‘Ability’ Grouping: Improving Practice for Equity and Attainment; Routledge: London, UK, 2020. [Google Scholar]
- Mackert, J. Social closure. In Oxford Bibliographies; Oxford University Press: Oxford, UK, 2021. [Google Scholar] [CrossRef]
- Dekeyser, L.; Van Houtte, M.; Maene, C.; Stevens, P. Track prejudice in Belgian secondary schools: Examining the influence of social-psychological and structural school features. Oxf. Rev. Educ. 2022, 1–18. [Google Scholar] [CrossRef]
- Marsh, H.W.; Hau, K.-T. Big-fish-little-pond effect on academic self-concept: A cross-cultural (26-country) test of the negative effects of academically selective schools. Am. Psychol. 2003, 58, 364–376. [Google Scholar] [CrossRef] [PubMed]
- Legette, K. A Social-Cognitive Perspective of the Consequences of Curricular Tracking on Youth Outcomes. Educ Psychol Rev. 2020, 32, 885–900. [Google Scholar] [CrossRef] [PubMed]
- Lessard, V.; Larose, S.; Duchesne, S. Does mathematics tracking influence student motivation? Exploring the classroom experience. Int. J. School Educ. Psychol. 2018, 8, 21–35. [Google Scholar] [CrossRef]
- Zhao, Q.; Su, C. Competitive attitudes, interpersonal relationship, and aggressive behaviors at college dormitories. Ludong Univ. J. Philos. Soc. Sci. Ed. 2015, 32, 31–36. Available online: http://www.cnki.com.cn/Article/CJFDTotal-YSZS201506008.htm (accessed on 28 July 2021).
- Chen, W.-W.; Wong, Y.-L. Chinese mindset: Theories of intelligence, goal orientation and academic achievement in Hong Kong students. Educ. Psychol. 2015, 35, 714–725. [Google Scholar] [CrossRef]
- Wu, F.; Jiang, Y.; Liu, D.; Konorova, E.; Yang, X. The role of perceived teacher and peer relationships in adolescent students’ academic motivation and educational outcomes. Educ. Psychol. 2022, 42, 439–458. [Google Scholar] [CrossRef]
- Brown, G.T.L.; Wang, Z. Illustrating assessment: How Hong Kong university students conceive of the purposes of assessment. Stud. High. Educ. 2013, 38, 1037–1057. [Google Scholar] [CrossRef]
- Li, J. The core of Confucian learning. Am. Psychol. 2003, 58, 146–147. [Google Scholar] [CrossRef]
- Wang, Z.; Brown, G.T.L. Hong Kong tertiary students’ conceptions of assessment of academic ability. High. Educ. Res. Dev. 2014, 33, 1063–1077. [Google Scholar] [CrossRef]
- Hau, K.-T.; Ho, I.T. Chinese students’ motivation and achievement. In The Oxford Handbook of Chinese Psychology; Bond, M.H., Ed.; Oxford University Press: Oxford, UK, 2010; pp. 187–204. [Google Scholar]
- Fang, J.; Brown, G.T.L.; Hamilton, R. Changes in Chinese students’ academic emotions after examinations: Pride in success, shame in failure, and self-loathing in comparison. Br. J. Educ. Psychol. 2022, 93, 245–261. [Google Scholar] [CrossRef] [PubMed]
- Wang, F. An empirical research on factors effecting dormitory interpersonal relationship of college student. Univ. Educ. Sci. 2008, 1, 84–89. Available online: http://d.wanfangdata.com.cn/Periodical_dxjykx200801020.aspx (accessed on 28 July 2021).
- Bittmann, F. Academic track mismatch and the temporal development of well-being and competences in German secondary education. Vienna Yearb. Popul. Res. 2021, 19, 467–502. [Google Scholar] [CrossRef]
- Wasserman, S.; Faust, K. Social Network Analysis: Methods and Applications; Cambridge University Press: Cambridge, UK, 1994. [Google Scholar]
- Burt, R.S. Models of network structure. Ann. Rev. Sociol. 1980, 6, 79–141. [Google Scholar] [CrossRef]
- Perry, B.L.; Pescosolido, B.A.; Borgatti, S.P. Egocentric Network Analysis: Foundations, Methods and Models; Cambridge University Press: Cambridge, UK, 2018. [Google Scholar]
- McPherson, M.; Smith-Lovin, L.; Brashears, M.E. Social isolation in America: Changes in core discussion networks over two decades. Am. Sociol. Rev. 2006, 71, 353–375. [Google Scholar] [CrossRef]
- Wellman, B.; Wortley, S. Different strokes from different folks: Community ties and social support. Am. J. Sociol. 1990, 96, 558–588. [Google Scholar] [CrossRef]
- Smith, K.P.; Christakis, N.A. Social networks and health. Ann. Rev. Sociol. 2008, 34, 405–429. [Google Scholar] [CrossRef]
- Newsom, J.T.; Rook, K.S.; Nishishiba, M.; Sorkin, D.H.; Mahan, T.L. Understanding the relative importance of positive and negative social exchange: Examining specific domains and appraisals. Gerontol. Soc. Am. 2005, 60, 304–312. [Google Scholar] [CrossRef]
- Mesch, G.; Talmud, I. The quality of online and offline relationships: The role of multiplexity and duration of social relationship. Inf. Soc. 2006, 22, 137–148. [Google Scholar] [CrossRef]
- Grossetti, M. Are French networks different? Soc. Netw. 2007, 29, 391–404. [Google Scholar] [CrossRef]
- Park, N.; Lee, S.; Kim, J.H. Individuals’ personal network characteristics and patterns of Facebook use: A social network approach. Comput. Hum. Behav. 2012, 28, 1700–1707. [Google Scholar] [CrossRef]
- Lazarsfeld, P.F.; Merton, R.K. Friendship as social process: A substantive and methodological analysis. In Freedom and Control in Modern Society; Berger, M., Abel, T., Page, C.H., Eds.; Van Norstrand Company: New York, NY, USA, 1954; pp. 18–66. [Google Scholar]
- McPherson, M.; Smith-Lovin, L.; Cook, J.M. Birds of a feather: Homophily in social networks. Ann. Rev. Sociol. 2001, 27, 415–444. [Google Scholar] [CrossRef]
- Wellman, B.; Wong, R.Y.-L.; Tindall, D.; Nazer, N. A decade of network change: Turnover, persistence and stability in personal communities. Soc. Netw. 1997, 19, 27–50. [Google Scholar] [CrossRef]
- Times Higher Education. Best Universities in China 2024. Available online: https://www.timeshighereducation.com/student/best-universities/best-universities-china (accessed on 17 October 2023).
- ABC Advanced & Better Consulting. 2023 ABC Chinese University Ranking. Available online: https://www.cnur.com/rankings/505.html (accessed on 17 October 2023).
- Browne, K. Snowball sampling: Using social networks to research non-heterosexual women. Int. J. Soc. Res. Methodol. 2005, 8, 47–60. [Google Scholar] [CrossRef]
- Perry, B.L.; Pescosolido, B.A. Social network activation: The role of health discussion partners in recovery from mental illness. Soc. Sci. Med. 2015, 125, 116–128. [Google Scholar] [CrossRef] [PubMed]
- Carolan, B.V. Social Network Analysis and Education: Theory, Methods and Applications; SAGE Publications Inc.: Thousand Oaks, CA, USA, 2014. [Google Scholar]
- Cohen, J. Statistical Power Analysis for the Behavioral Sciences; Lawrence Erlbaum Associates: New York, NY, USA, 1988. [Google Scholar]
- Braun, V.; Clarke, V. Using thematic analysis in psychology. Qual. Res. Psychol. 2006, 6, 77–101. [Google Scholar] [CrossRef]
- Vaismoradi, M.; Turunen, H.; Bondas, T. Content analysis and thematic analysis: Implications for conducting a qualitative descriptive study. Nurs. Health Sci. 2013, 15, 398–405. [Google Scholar] [CrossRef]
- Kandel, D.B. Homophily, selection, and socialization in adolescent friendships. Am. J. Sociol. 1978, 84, 427–436. [Google Scholar] [CrossRef]
- Oseguera, L.; Conchas, G.Q.; Mosqueda, E. Beyond family and ethnic culture: Understanding the preconditions for the potential realization of social capital. Youth Soc. 2011, 43, 1136–1166. [Google Scholar] [CrossRef]
- Smirnov, I.; Thurner, S. Formation of homophily in academic performance: Students change their friends rather than performance. PLoS ONE 2017, 12, e0183473. [Google Scholar] [CrossRef] [PubMed]
- Wang, M.-T.; Kiuru, N.; Degol, J.L.; Salmela-Aro, K. Friends, academic achievement, and school engagement during adolescence: A social network approach to peer influence and selection effects. Learn. Instr. 2018, 58, 148–160. [Google Scholar] [CrossRef]


| Semester 1 | Semester 2 | Matched Rate | ||||
|---|---|---|---|---|---|---|
| Demographics | HO 1 | NH 2 | HO | NH | HO | NH |
| Sex | ||||||
| Male | 91 | 300 | 64 (4) 3 | 149 | 67% | 52% |
| Female | 50 | 301 | 31 (2) | 138 | 33% | 48% |
| Faculty | ||||||
| Humanities | 5 | 108 | 2 | 44 | 2% | 15% |
| Social science | 4 | 57 | 3 (1) | 29 | 3% | 10% |
| Engineering | 11 | 148 | 10 (1) | 63 | 11% | 22% |
| Information technology | 24 | 90 | 16 (1) | 49 | 17% | 17% |
| Agriculture, life science and environment | 19 | 80 | 12 | 43 | 13% | 15% |
| Medicine and pharmacy | 25 | 71 | 13 | 39 | 14% | 14% |
| Science | 53 | 47 | 39 (3) | 20 | 41% | 7% |
| Subgroup Total | 141 | 601 | 95 (6) | 287 | 25% | 75% |
| Total | 742 | 382 | 51% | |||
| Network Measures | Honours (n = 89) | Non-Honours (n = 287) | Between-Group Difference Effect Size | ||
|---|---|---|---|---|---|
| M | SD | M | SD | Cohen’s |d| 1 | |
| Semester 1 | |||||
| Network size | 4.16 | 2.06 | 4.41 | 2.08 | 0.12 |
| Multiplexity | 1.13 | 1.18 | 1.23 | 1.34 | 0.08 |
| IQV 2 (study) | 0.44 | 0.46 | 0.49 | 0.46 | 0.11 |
| IQV (social) | 0.35 | 0.45 | 0.43 | 0.45 | 0.18 |
| Semester 2 | |||||
| Network size | 4.09 | 1.92 | 4.43 | 1.95 | 0.18 |
| Multiplexity | 1.13 | 1.16 | 1.49 | 1.23 | 0.30 * |
| IQV (study) | 0.54 | 0.46 | 0.55 | 0.45 | 0.02 |
| IQV (social) | 0.33 | 0.44 | 0.50 | 0.46 | 0.37 ** |
| Between-Semesters Turnover | |||||
| Study | 0.55 | 0.27 | 0.53 | 0.26 | 0.08 |
| Social | 0.50 | 0.28 | 0.52 | 0.26 | 0.08 |
| Within-Group between Semesters Effect Size (Cohen’s |d|) | |||||
| Network size | 0.04 | 0.00 | |||
| Multiplexity | 0.00 | 0.20 * | |||
| IQV (study) | 0.20 * | 0.13 ** | |||
| IQV (social) | 0.04 | 0.15 * | |||
| Network turnover | 0.19 | 0.04 | |||
| Case ID | Network Size | Multiplexity | Study IQV 3 | Social IQV | Turnover | |||||
|---|---|---|---|---|---|---|---|---|---|---|
| S1 1 | S2 2 | S1 | S2 | S1 | S2 | S1 | S2 | Study | Social | |
| 2362 | 8 | 9 | 2 | 1 | 0.96 | 0.84 | 0.96 | 0.96 | 0.67 | 0.40 |
| 2360 | 4 | 4 | 1 | 1 | 0.96 | 0.89 | 0 | 1 | 0.67 | 0.17 |
| 5212 | 4 | 4 | 1 | 1 | 0.89 | 0.89 | 1 | 1 | 0.57 | 0.29 |
| 4291 | 3 | 1 | 0 | 1 | 0 | 0 | 0 | 0 | 1.00 | 0.50 |
| 2976 | 3 | 5 | 0 | 3 | 0 | 0.75 | 0 | 0.75 | 0.86 | 0.71 |
| 3586 | 4 | 6 | 1 | 0 | 1 | 1 | 0 | 0 | 0.44 | 0.56 |
| Mean | 4.33 | 4.83 | 0.83 | 1.17 | 0.64 | 0.73 | 0.33 | 0.62 | 0.70 | 0.44 |
| SD | 1.86 | 2.64 | 0.75 | 0.98 | 0.49 | 0.62 | 0.51 | 0.49 | 0.20 | 0.20 |
| Effect size 4 | 0.33 | 0.22 | 0.29 | 0.64 | 1.14 * | |||||
Disclaimer/Publisher’s Note: The statements, opinions and data contained in all publications are solely those of the individual author(s) and contributor(s) and not of MDPI and/or the editor(s). MDPI and/or the editor(s) disclaim responsibility for any injury to people or property resulting from any ideas, methods, instructions or products referred to in the content. |
© 2024 by the authors. Licensee MDPI, Basel, Switzerland. This article is an open access article distributed under the terms and conditions of the Creative Commons Attribution (CC BY) license (https://creativecommons.org/licenses/by/4.0/).
Share and Cite
Fang, J.; Brown, G.T.L. Academic Success at Social Costs: An Exploratory Study on Social Networks of Chinese Students under Academic Streaming. Eur. J. Investig. Health Psychol. Educ. 2024, 14, 164-180. https://doi.org/10.3390/ejihpe14010011
Fang J, Brown GTL. Academic Success at Social Costs: An Exploratory Study on Social Networks of Chinese Students under Academic Streaming. European Journal of Investigation in Health, Psychology and Education. 2024; 14(1):164-180. https://doi.org/10.3390/ejihpe14010011
Chicago/Turabian StyleFang, Jinjing, and Gavin T. L. Brown. 2024. "Academic Success at Social Costs: An Exploratory Study on Social Networks of Chinese Students under Academic Streaming" European Journal of Investigation in Health, Psychology and Education 14, no. 1: 164-180. https://doi.org/10.3390/ejihpe14010011
APA StyleFang, J., & Brown, G. T. L. (2024). Academic Success at Social Costs: An Exploratory Study on Social Networks of Chinese Students under Academic Streaming. European Journal of Investigation in Health, Psychology and Education, 14(1), 164-180. https://doi.org/10.3390/ejihpe14010011
