Next Article in Journal
Numerical Investigation of Metal Foam Pore Density Effect on Sensible and Latent Heats Storage through an Enthalpy-Based REV-Scale Lattice Boltzmann Method
Next Article in Special Issue
Analysis of Turn-to-Turn Fault on Split-Winding Transformer Using Coupled Field-Circuit Approach
Previous Article in Journal
Supercritical Assisted Production of Lutein-Loaded Liposomes and Modelling of Drug Release
Previous Article in Special Issue
Parameter Estimation of a Countershaft Brake for Heavy-Duty Vehicles with Automated Mechanical Transmission
 
 
Font Type:
Arial Georgia Verdana
Font Size:
Aa Aa Aa
Line Spacing:
Column Width:
Background:
Article

Preload Optimization Method for Traveling-Wave Rotary Ultrasonic Motor

School of Mechanical and Automotive Engineering, Qingdao University of Technology, Qingdao 266520, China
*
Author to whom correspondence should be addressed.
Processes 2021, 9(7), 1164; https://doi.org/10.3390/pr9071164
Submission received: 18 May 2021 / Revised: 25 June 2021 / Accepted: 29 June 2021 / Published: 5 July 2021
(This article belongs to the Special Issue Design, Concepts and Applications of Electric Machines)

Abstract

:
Preload optimization is very important for ultrasonic motors’ design and application. In this paper, a novel method for a traveling-wave rotary ultrasonic motor is proposed. Firstly, based on linear regression and the analytic hierarchy process (AHP), the mapping between the drive characteristics, mechanical characteristics, speed stability, and preload of the traveling-wave-type rotary ultrasonic motor was established. Then, the characteristic curves of stalling torque, no-load speed, maximum efficiency, and speed stability with the change of preload method were measured with a new test platform. Finally, three traveling-wave rotary ultrasonic motors with optimized preload were used in a cooperative manipulator for validation. The experimental results showed that when the preload was optimized from 200 N to 310 N, the stalling torque of the motor increased by 20.7%, the maximum efficiency increased by 15.3%, the standard deviation of the speed decreased by 53.8%, and the no-load speed decreased by 5.5%. Therefore, it can be seen that the new preload optimization approach can significantly improve the performance indexes of ultrasonic motors and meet the practical requirements of direct-drive cooperative manipulators in engineering applications. The new preload optimization method offers advantages in motor output performance compared to conventional methods.

1. Introduction

Ultrasonic motors have the advantages of large torque and power density, compact structure, high positioning accuracy, and fast response speed. They have a broad application prospect in the fields of robots [1], medical instruments [2,3,4], micro-actuators [5,6,7,8], and precision driving platforms [9,10]. Preload is one of the key factors affecting motor performance. At present, research on ultrasonic motor preload is mostly focused on its design stage. The designers usually set the preload to a fixed value according to the structural parameters of the motor. The adaptability to different applications and working conditions is poor. Therefore, an optimization method for the preload of ultrasonic motors urgently needs to be determined.
Mashimo [11] designed a miniature preloading device using a miniature spiral spring and pointed out that the preloading device was the key to output performance. He made a comparison between the axial and radial preloading methods and found that the radial preloading could bring higher speed, torque, and efficiency. Tanoue [12] carried out selective excitation for the vibration modes of different orders of linear motor, eliminating the need for preloading mechanisms with different performances. Jian [13] explored the stiffness and speed characteristics of the preloading mechanism under the change of preloading. The results showed that the stiffness of the preloading mechanism was also a factor affecting the output performance of the motor. Since loading the preload will occupy a relatively large part of the motor space, Kazumi [14] inserted the preload loading device into the slider of the linear ultrasonic motor to achieve the miniaturization of the motor. All of the above studies have analyzed the effect of the preloading device on the performance of the motor but have neglected the selectivity of the preload for the application of the motor. The need to simulate the corresponding preload for actual application of the motor is most urgent.
From the perspective of regulation, Ren [15] used the finite element software ADINA to select an appropriate preload for the hollow traveling-wave ultrasonic motor, thus improving the speed, torque, and efficiency of the motor. The finite element analysis offers a very accurate result for output performance simulations, but the complex model may limit the motor’s dynamic ability. In order to track and control the optimal efficiency of the TRUM (Traveling-wave Rotary Ultrasonic Motor), Mustafa [16] used the preload dynamic loading mechanism to achieve efficient and stable tracking. Another of Mustafa’s papers [17] analyzed the influence of preload on the driving characteristics and showed that the preload would affect the driving efficiency, resonant frequency, and output power range. Based on the frequency control of the ultrasonic motor, he used the dynamic preloading mechanism as the auxiliary controller, which improved the driving efficiency and expanded the range of output power. These two designs have a better dynamic responsibility, but the additional linear actuator makes the whole system quite complicated. Wang [18] analyzed the influence of preload on mechanical characteristics by establishing a dynamic model of ultrasonic motor and proposed that the appropriate preload should be selected according to the load condition during motor assembly to improve output efficiency. Although the law of preload and load torque was obtained, the performance of the motor was not constrained to the load condition. The above studies illustrate the importance of the prestressing for the TRUM. Chen [19] tested the mechanical characteristics and rotational speed stability and concluded that a good preload range was 260 N to 320 N. This literature only provides a domain for optimization, which still forces the designer to select a certain preload value depending on his or her experiences. From the analysis of the above studies, it can be seen that the preload optimization method should concern both the structure simplification and the uniqueness of the solution from four dynamic outputs.
As for the optimizing methods, the analytic hierarchy process is used to measure the weight coefficient of different performances of the evaluation function of ultrasonic motors. The Analytic Hierarchy Process has been widely used in multi-attribute decisions. Solangi [20] used AHP to analyze Pakistan’s renewable-energy-planning decisions, providing important insights into the prioritization of renewable energy power generation resources. Lee [21] used a fuzzy analytic hierarchy process to evaluate and select suppliers in the oil and gas industry. In order to select the best supplier, Uslu [22] used AHP to determine the importance of the standard when studying the multi-standard decision of IoT enterprises. All these articles proved the advantages of the analytic hierarchy process in dealing with multi-attribute decision-making problems. However, traditional AHP layouts are not suited for ultrasonic motors; thus, we have to simplify the layer structure for higher response speed.
Aiming at a unique solution value, a preload optimization method for ultrasonic motors is proposed in this paper. A novel mapping model between preload and motor core performance indexes is established. Based on the theory of linear regression and a simplified analytic hierarchy process, the comprehensive performance of the motor is optimized, and the optimal preload is finally calculated. Lastly, simulation and test results are compared with other methods for validation.
The rest of this paper is as follows: Section 2 introduces the theoretical basis of the preload optimization method. Section 3 presents the ultrasonic motor test device and experimental results. Section 4 introduces the verification of the optimization method, and Section 5 gives the conclusion of this study.

2. Preload Optimization Method

In order to determine a preload that can be used in different applications, a new method with AHP and linear regression is discussed regarding its optimization. A flowchart of the optimization method is shown in Figure 1. Experiential data for the no-load speed, stalling torque, maximum efficiency, and speed standard deviation of a high-order polynomial equation are linearly regressed to evaluation functions with a unique form. A range transformation method is used to deal with the positive and negative effects of different performance indexes during the evaluation. The weight coefficient of the evaluation function is determined by the analytic hierarchy process with the consistency test for a comparison matrix. The optimal preload is the maximum value solving the total evaluation function. The limit range from the driving voltage phase difference could increase the calculation speed during optimization.

2.1. Construction of Evaluation Function

A unitary polynomial model was established, as shown in Equation (1). When subscript s takes one to four, four dependent characteristics, including no-load speed, stalling torque, maximum efficiency, and speed standard deviation, respectively, could function as evaluation indexes. With the linear regression method, the four parameters’ feature curves with the preload could be written in the same high-order functions.
f s ( x ) = a s 0 + a s 1 x 1 + + a s t x t = k = 0 t a s k x k , s = ( 1 , 2 , 3 , 4 )
The equation can be rewritten in matrix form as follows:
f s ( x ) = X · A
A = [ a s 0 a s 1 a s t ] , X = [ 1 x x t 1 x x t 1 x x t ]
where s represents the number of performance indicators and the independent variable x in the equation represents the preload. To balance the fitting accuracy and prevent over-fitting, we set t 3 .
Considering the use of ultrasonic motors in different applications, the linear combination of Equation (2) and the weight coefficient can be used to obtain the following evaluation function:
f ( x ) = m = 1 s A m × f m ( x )
where A m is the weighting coefficient of f m ( x ) .
Since the dimensions and orders of magnitude of performance indicators are different, the increase in the value of performance indicators may cause positive and negative effects on the extreme value of the evaluation function. Therefore, a range transformation method is adopted to conduct dimensionless treatment on Equation (2). The positive and negative effect factors can be eliminated and limited within 0–1.
The positive and negative influence indexes are, respectively:
p α = f α ( x ) f α min ( x ) f α max ( x ) f α min ( x )
q β = f β max ( x ) f β ( x ) f β max ( x ) f β min ( x )
After dimensionless treatment, α represents the positive impact, β represents the negative impact, α , β ( 1 , 2 , 3 , 4 ) . Equation (4) becomes:
f ( x ) = ( A α × p α + A β × q β )

2.2. Determine the Weight Coefficient

AHP is used to determine the weight coefficients in the evaluation function. The comparison matrix H is constructed according to the importance ratio between performance indicators [20]:
H = ( h i j ) n × n = [ h 11 h 12 h 1 n h 21 h 22 h 2 n h n 1 h n 2 h n n ]
where h i j is the importance ratio between index i and index j , namely the scale. The relative importance of each performance index is shown in Table 1. If the importance ratio is between the two indexes, the scales are 2, 4, 6, and 8 in turn.
To determine the weight ordering vector, note that the vector M of each of the entries in the comparison matrix H is equal to
M = [ M 1 , M 2 , , M n ] T
M i = j = 1 n h i j
where i , j ( 1 , 2 , 3 , n ) and n is the number of performance indicators.
The evaluation vector W ¯ has n components, and each one is the root of M corresponding components:
W ¯ = [ W ¯ 1 , W ¯ 2 , , W ¯ n ] T
W ¯ i = M i n
The regular vector W of W ¯ is:
W = W ¯ i = 1 n W i ¯
The maximum eigenvalue λ max , consistency index C I , and consistency ratio C R of matrix H are:
λ max = i = 1 n ( H W ) i n W i
C I = λ max n n 1
C R = C I R I

3. Experimental Test

The new preload optimization method requires linear regression according to the measured performance curve. Drive characteristics measure the phase difference of two-phase driving voltage; mechanical characteristics measure the stalling torque, no-load speed, and maximum efficiency; and speed stability measures the standard deviation of speed.
As described in this section, the preload test platform was built to obtain the performance curves of phase difference, stalling torque, no-load speed, maximum efficiency, and standard deviation of speed of the motor under different preload, and the drive characteristics, mechanical characteristics, and speed stability of the motor were analyzed and studied. The experimental device is shown in Figure 2a.
The digital oscilloscope was used to measure the electrical signal of the ultrasonic motor in Figure 2b. The servo electric cylinder driver was used to provide the driving energy and signal control for the servo electric cylinder. The data acquisition module was used to collect the speed signal, torque signal, and the power output of the torque sensor. The digital display unit was used to display the force signal from the pressure sensor. The loading of the ultrasonic motor preload was achieved by the micro-stepping motion of the servo electric cylinder. The magnetic powder brake was used to provide the simulated load for the ultrasonic motor.
The experimental device includes an ultrasonic motor (TRUM-60), servo electric cylinder (DDA-40, Dingying Intelligent Equipment Co., Ltd., Shenzhen, China), pressure sensor (TSC-1000, Toledo Corporation, Shanghai, China), torque sensor (CYT-303, Tianyu Hengchuang Sensor Technology Co., Ltd., Beijing, China), magnetic powder brake (FKG-10, Lanling Mechanical & Electrical Technology Co., Ltd., Jiangsu, China), tension controller (SC-1K, Lanling Mechanical & Electrical Technology Co., Ltd., Jiangsu, China), data acquisition card (PXI-1031, NI, TX, USA), PC, etc.

3.1. Drive Characteristics

When the phase difference of the driving voltage of the ultrasonic motor is 90°, the contact interface is in good condition. The movement trajectory of the particles on the stator surface is a standard ellipse. Therefore, when the preload is optimized in this section, the orthogonality of the driving voltage phase difference could be taken as the criterion to determine the preload optimization range.
It can be seen from Figure 3 that in the no-load state, the phase difference of the two-phase driving voltage gradually increases with the increase in preload, and the range of change is within 12°. When the preload is within the range of 150 N–400 N and the phase difference is within 85° to 95°, the motor is in good working condition. When the preload is 250 N and the phase difference is 90°, the motor is in the best running state.
During the preload optimization, in order to make the motor reach a good working state, the range of its change is 150 N–400 N. As the motor load increases, the range of phase difference decreases. When the load is 0.2 N·m, the range decreases to less than 7°, and the phase difference is about 90° when the preload is 250 N. Therefore, the load change is not sensitive to the preload adjustment range. We can limit the preload constraint range to 150 N–400 N during the optimization calculation.

3.2. Mechanical Characteristics

The mechanical characteristics include the power characteristics, efficiency characteristics, and output characteristics.

3.2.1. Power Characteristics

As shown in Figure 4, the driving frequency is 42 kHz, the preload is 250 N–350 N, the load torque is within the range of 0.3 N·m–0.5 N·m, the motor is in the high-power working area, and the maximum power is 4.39 W. The driving frequency is 43 kHz, the preload is 200 N–250 N, the load torque is in the range of 0.3 N·m–0.4 N·m, the motor is in the high-power working area, and the maximum power is 1.35 W. In the optimization of the preload, the high-power area is taken as one of the optimization objectives.
Figure 5 is a 3D curved surface diagram of preload, torque, and speed when driving frequency is 42 kHz–43 kHz. It can be seen that when the preload increases, the speed increases first and then decreases; when the load torque increases, the speed increases first and then decreases. As can be seen from Figure 5a,b, no matter how the driving frequency of the excitation signal changes, under different load torques, the speed increases first and then decreases with the increase in the preload, with basically similar changing trends. It should be pointed out that the problem of order should be considered in the linear regression of the speed curve, and the overfitting of Equation (1) must be prevented.

3.2.2. Efficiency Characteristics

Output efficiency is an important motor parameter, and the motor should be in high efficiency when working. In the process of preload optimization, it is necessary to analyze the output efficiency of the motor and obtain the maximum efficiency curve.
As can be seen from Figure 6a, when the preload or load torque increases, the output efficiency first increases and then decreases. When the preload is 150 N–350 N and the load torque is 0.3 N·m–0.5 N·m, the motor is in the high-efficiency working area, and the maximum efficiency can reach 32%. In the construction of the optimization method, the curve of maximum output efficiency (motor load torque of 0.4 N·m) was used as the input parameter of the optimization method after linear regression. The curve with the maximum output efficiency is shown in Figure 6b.

3.2.3. Output Characteristics

The output characteristics of a motor include the stalling torque and no-load speed, which are important parameters to measure the performance of a motor. During the experiments, the data of stalling torque and no-load speed were measured.
As can be seen from Figure 7, when the driving frequency is 42 kHz and the preload increases, both the stalling torque and the no-load speed increase at first and then decrease. The maximum stalling torque reaches 0.9 N·m, and the maximum no-load speed reaches 148 rpm. When the frequency is 43 kHz, both the stalling torque and no-load speed decrease, but the changing trends are similar to those in 42 kHz.

3.3. Speed Stability

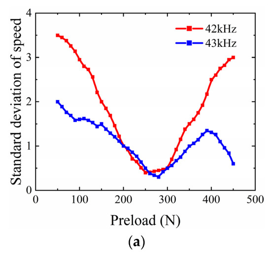
Speed stability is one of the bases of the preload optimization method, which represents the speed fluctuation when the motor is running steadily. In this paper, the standard deviation of speed is used as the evaluation index of the speed stability. Therefore, we used it as one of the input curves for the optimization method. Test results of motor speed stability under different working conditions are shown in Figure 8.
As can be seen from Figure 8a, when the frequency is 42 kHz, the preload is in the range of 200 N–300 N and the speed fluctuation is relatively small. When the driving frequency is increased to 43 kHz, the standard deviation of the speed decreases overall compared with 42 kHz. When the preload is between 200 N and 300 N, the standard deviations of the two driving frequencies are very similar. Therefore, when the preload is in the range of 200 N–300 N, the increase in driving frequency has little influence on the stability of the speed, and the preload can be set in this range during the optimization. In Figure 8b, when the motor is in the no-load state and the preload is 200 N–300 N, the speed fluctuation is relatively small. When the load torque increases, the standard deviation of the speed decreases as a whole compared with the no-load state. Therefore, when the preload is in the range of 200 N–300 N, the increase in the load torque has little influence on the stability of the speed. In the optimization method, it is feasible to optimize the preload between 200 N and 300 N when only the stability of rotational speed is considered.

4. Example Verification

Through the above analysis, it can be concluded that, for the drive characteristics, when the phase difference is close to 90°, the range of preload change is 150 N–400 N and the motor is in the best running state; under the mechanical characteristics, when the preload is between 250 N and 350 N, the motor is in a state of high power; when the preload is between 150 N and 350 N, the motor efficiency is the highest; and when the preload is 200 N–300 N, the motor has good stability of speed.
As for the motor preload optimization method, different performance indexes need to be focused on a certain application. Therefore, the union of the above interval is taken as the value range of preload of the optimization method, namely 150 N–400 N.
According to the preload test platform built in this paper, the test data of stalling torque, maximum efficiency, no-load speed, and standard deviation of speed within the preload range were measured and are shown in Figure 9.
The fitting qualities of these curves with their linear regression are shown in Table 2. It can be seen that the fitting degree of each performance curve is close to 1. The linear regression data can be used for the preload optimization method.
In this paper, a case is given to verify the preload optimization method. A direct-drive cooperative manipulator driven by an ultrasonic motor is taken as an application example. The physical prototype of the manipulator is shown in Figure 10a. The direct-drive cooperative manipulator consists of three traveling-wave rotary ultrasonic motors as joint actuators of the manipulator.
A direct-drive collaborative robotic arm based on ultrasound motors as a power source is shown in Figure 10b, which includes three traveling wave-type rotating ultrasound motors, the robotic arm, the driver and controller, and the operator interface. The joint parts of the robotic arm are all driven directly by the ultrasound motors. The driver provides the drive signal for the ultrasound motors. The controller provides the control signal for the robotic arm. The operator interface can be used to input the operating commands of the robotic arm.
According to the application requirements of the direct-drive cooperative manipulator [23], the manipulator needs to improve the stalling torque and kinematic stability. Therefore, the performance indicators are taken as the optimization method’s stalling torque, the standard deviation of speed, no-load speed, and maximum efficiency. The sorting order of the comparison matrix is obtained as follows:
H = [ 1 2 3 5 1 / 2 1 2 5 1 / 3 1 / 2 1 2 1 / 5 1 / 3 1 / 2 1 ]
According to Equations (9)–(13), the weight coefficients corresponding to different performance indicators can be obtained, as shown in Table 3.
According to Equations (14)–(16), the consistency index of the comparison matrix is 0.057, and the consistency ratio is 0.064. The consistency ratio is less than 0.1, so the comparison matrix is acceptable.
By substituting the weight coefficient in Table 3 into Equation (7), the preload of the ultrasonic motor in this case is 310 N. As can be seen from Figure 2, the phase difference of the two-phase driving voltage is 91.4°, which is close to orthogonal, and the trajectory of the particle on the stator surface is close to an ellipse.
The original preload of the ultrasonic motor was 200 N, and the preload was set to 310 N after optimization. As can be seen from Table 4. For comparison, the stalling torque of the ultrasonic motor is increased by 0.12 N·m, which was increased by 20.7% compared with the original state. The maximum efficiency increased by 3.6%, compared to the original maximum efficiency, which was increased by 15.3%; the no-load speed was reduced by 8 rpm, which is 5.5% lower than the original no-load speed. The standard deviation of the speed was reduced by 0.7, which was 53.8% lower than the standard deviation of the original speed.
It can be seen that the preload optimization method based on the analytic hierarchy process obtained the optimal preload through testing and calculation in the example of the direct-drive cooperative manipulator. The stalling torque and maximum efficiency are greatly improved, the no-load speed is slightly reduced, and the output influence on the motor performance can be ignored. The standard deviation of the speed was greatly reduced, and the stability of the speed was better, which met the application requirements of the direct-drive cooperative manipulator. Therefore, the preload optimization method proposed in this paper is effective and meets the requirements for the best preload and performance improvement.
Table 5 shows the results of the preload optimization method in this paper compared to other optimization methods.
The following conclusions can be drawn from Table 5: the stalling torque using the new method is less than the mean value 0.96 N·m of the optimization range in the literature [19]; the standard deviation of speed using the new method is less than the mean value 4.25; the no-load speed using the new method is larger than the mean value 76 rpm; the maximum efficiency using the new method is less than the mean value 33.7%; the stalling torque using the new method is larger than the value 0.65 N·m in the literature [24]; the standard deviation of speed using the new method is less than the value 2; the no-load speed using the new method is larger than the value 115 rpm; and the maximum efficiency using the new method is larger than the value 24%.
Traditional preload optimization methods are usually based on experience in determining the preload. The most important contribution is that the new approach offers a unique solution, instead of an optimization domain. The unique preload value makes the preload control simpler for TRUM design and fault monitoring.

5. Conclusions

In this paper, we put forward a new kind of optimization method for traveling-wave ultrasonic motors’ preload. The calculation and test results for a manipulator case indicated the following advantages:
  • Linear regression and analytic hierarchy process are used to synthesize multiple performance indexes of motor core to obtain the unique optimal value of preload. The simulation and test results prove that this method is feasible. This new approach offers a unique value for preload optimization, instead of a wide solution domain in other methods.
  • The mapping equation between the four core indexes of stalling torque, no-load speed, maximum efficiency, and standard deviation of speed and the preload was established to provide theoretical support for the preload optimization.
  • For the first time, we use the drive characteristics as one of the preload optimization indexes, which ensures the stability of the surface particle state of the stator.
  • The motor designed by this optimization method is applied to the direct-drive cooperative manipulator of the automobile, and its stalling torque is increased by 20.7%, the maximum efficiency is increased by 15.3%, the standard deviation of the speed is reduced by 53.8%, and the no-load speed is reduced by 5.5%, which better meets the application requirements of the example. The optimization results in this paper are also better than the four characteristics optimized with the traditional method.

Author Contributions

Conceptualization, H.S. and H.Y.; methodology, H.S.; software, H.S.; validation, H.S., H.Y. and J.L.; formal analysis, H.Y.; writing—original draft preparation, H.S.; writing—review and editing, H.S.; supervision, X.Z.; project administration, H.Y.; funding acquisition, J.L. All authors have read and agreed to the published version of the manuscript.

Funding

This research was funded by the National Natural Science Foundation of China (51575288) and the Natural Science Foundation of Shandong Province General Project(ZR2019MEE089).

Conflicts of Interest

The authors declare no conflict of interest.

References

  1. Pulskamp, J.S.; Polcawich, R.G.; Rudy, R.Q.; Bedair, S.S.; Proie, R.M.; Ivanov, T.; Smith, G.L. Piezoelectric PZT MEMS technologies for small-scale robotics and RF applications. MRS Bull. 2012, 37, 1062–1070. [Google Scholar] [CrossRef]
  2. Zhao, F.; Liang, W.; Ling, J.; Xiao, X.; Tan, K.K.; Lee, T.H. Integral terminal sliding-mode-based adaptive integral backstepping control for precision motion of a piezoelectric ultrasonic motor. Mech. Syst. Signal Process. 2020, 144, 106856–106875. [Google Scholar] [CrossRef]
  3. Takemura, K.; Park, S.; Maeno, T. Control of multi-dof ultrasonic actuator for dexterous surgical instrument. J. Sound Vib. 2008, 311, 652–666. [Google Scholar] [CrossRef]
  4. Lau, J.Y.; Liang, W.; Liaw, H.C.; Tan, K.K. Sliding Mode Disturbance Observer-based Motion Control for a Piezoelectric Actuator-based Surgical Device. Asian J. Control 2018, 20, 1194–1203. [Google Scholar] [CrossRef]
  5. Wang, W.; Castro, L.A.; Hoyos, M.; Mallouk, T.E. Autonomous motion of metallic microrods propelled by ultrasound. ACS Nano 2012, 6, 6122–6132. [Google Scholar] [CrossRef]
  6. Smith, G.L.; Pulskamp, J.S.; Sanchez, L.M.; Potrepka, D.M.; Proie, R.M.; Lvanov, T.G.; Rudy, R.Q.; Nothwang, W.D.; Bedair, S.S.; Meyer, C.D. PZT-Based Piezoelectric MEMS Technology. J. Am. Ceram. Soc. 2012, 95, 1777–1792. [Google Scholar] [CrossRef]
  7. Li, J.P.; Zhao, H.W.; Qu, H.; Cui, T.; Fu, L.; Huang, H.; Ren, L.Q.; Fan, Z.Q. A piezoelectric-driven rotary actuator by means of inchworm motion. Sens. Actuators A Phys. 2013, 194, 269–276. [Google Scholar] [CrossRef]
  8. Mashimo, T. Micro ultrasonic motor using a one cubic millimeter stator. Sens Actuators A Phys 2014, 213, 102–107. [Google Scholar] [CrossRef]
  9. Ho, S.T.; Jan, S.J. A piezoelectric motor for precision positioning applications. Precis. Eng. 2016, 43, 285–293. [Google Scholar] [CrossRef]
  10. Mashimo, T.; Izuhara, S.; Arai, S.; Zhang, Z.; Oku, H. High–Speed Visual Feedback Control of Miniature Rotating Mirror System Using a Micro Ultrasonic Motor. IEEE Access 2019, 8, 38546–38553. [Google Scholar] [CrossRef]
  11. Mashimo, T. Miniature preload mechanisms for a micro ultrasonic motor. Sens. Actuators A Phys. 2017, 257, 106–112. [Google Scholar] [CrossRef]
  12. Tanoue, Y.; Morita, T. Opposing Preloads Type Ultrasonic Linear Motor with Quadruped Stator. Sens. Actuators A Phys. 2019, 301, 111764. [Google Scholar] [CrossRef]
  13. Jian, L.; Wang, J.; Chen, C. Analysis of the characteristics of traveling wave ultrasonic motor considering the structural stiffness of the preload structure. AIP Adv. 2019, 9, 125336. [Google Scholar] [CrossRef]
  14. Kazumi, T.; Kurashina, Y.; Takemura, K. Ultrasonic motor with embedded preload mechanism. Sens. Actuators A Phys. 2019, 289, 44–49. [Google Scholar] [CrossRef]
  15. Ren, W.H.; Yang, M.J.; Chen, L.; Ma, C.C.; Yang, L. Mechanical optimization of a novel hollow traveling wave rotary ultrasonic motor. J. Intell. Mater. Syst. Struct. 2020, 31, 1091–1100. [Google Scholar] [CrossRef]
  16. Mustafa, A.; Morita, T. Efficiency Optimization of Rotary Ultrasonic Motors Using Extremum Seeking Control with Current Feedback. Sens. Actuators A Phys. 2019, 289, 26–33. [Google Scholar] [CrossRef]
  17. Mustafa, A.; Morita, T. Dynamic preload control of traveling wave rotary ultrasonic motors for energy efficient operation. Jpn. J. Appl. Phys. 2019, 58, SGGD04. [Google Scholar] [CrossRef]
  18. Wang, H.; Pan, Z.; Zhu, H.; Guo, Y. Pre-pressure influences on the traveling wave ultrasonic motor performance: A theoretical analysis with experimental verification. AIP Adv. 2020, 10, 115211. [Google Scholar] [CrossRef]
  19. Chen, N.; Zheng, J.J.; Fan, D.P. Pre-Pressure Optimization for Ultrasonic Motors Based on Multi-Sensor Fusion. Sensors 2020, 20, 2096. [Google Scholar] [CrossRef] [Green Version]
  20. Solangi, Y.A.; Tan, Q.M.; Mirjat, N.H.; Valasai, G.D.; Khan, M.W.; Ikram, M. An Integrated Delphi-AHP and Fuzzy TOPSIS Approach toward Ranking and Selection of Renewable Energy Resources in Pakistan. Processes 2019, 7, 118. [Google Scholar] [CrossRef] [Green Version]
  21. Lee, S. Determination of Priority Weights under Multiattribute Decision-Making Situations: AHP versus Fuzzy AHP. J. Constr. Div. Am. Soc. Civ. Eng. 2015, 141, 1322–1338. [Google Scholar] [CrossRef]
  22. Uslu, B.; Eren, T.; Gür, Ş.; Özcan, E. Evaluation of the Difficulties in the Internet of Things (IoT) with Multi-Criteria Decision-Making. Processes 2019, 7, 164. [Google Scholar] [CrossRef] [Green Version]
  23. Elfasakhany, A.; Yanez, E.; BaYlon, K.; Salgado, R. Design and Development of a Competitive Low–Cost Robot Arm with Four Degrees of Freedom. Mod. Mech. Eng. 2011, 1, 47–55. [Google Scholar] [CrossRef] [Green Version]
  24. Zhao, C. Ultrasonic Motors: Technologies and Applications; Science Press: Beijing, China; Springer: Berlin/Heidelberg, Germany, 2011. [Google Scholar]
Figure 1. Schematic diagram of optimization method flow.
Figure 1. Schematic diagram of optimization method flow.
Processes 09 01164 g001
Figure 2. Ultrasonic motor experimental device: (a) Physical pictures; (b) Schematic diagram of the structure.
Figure 2. Ultrasonic motor experimental device: (a) Physical pictures; (b) Schematic diagram of the structure.
Processes 09 01164 g002
Figure 3. Phase difference under different preloads.
Figure 3. Phase difference under different preloads.
Processes 09 01164 g003
Figure 4. Variation of output power with load torque under different preloads (a) Drive frequency is 42 kHz; (b) Drive frequency is 43 kHz.
Figure 4. Variation of output power with load torque under different preloads (a) Drive frequency is 42 kHz; (b) Drive frequency is 43 kHz.
Processes 09 01164 g004aProcesses 09 01164 g004b
Figure 5. Variation of velocity with load torque under different preloads: (a) Drive frequency is 42 kHz; (b) Drive frequency is 43 kHz.
Figure 5. Variation of velocity with load torque under different preloads: (a) Drive frequency is 42 kHz; (b) Drive frequency is 43 kHz.
Processes 09 01164 g005
Figure 6. Output efficiency under different preloads (a) Variation of output efficiency with load torque under different preloads; (b) Output efficiency of 0.4 N·m load torque.
Figure 6. Output efficiency under different preloads (a) Variation of output efficiency with load torque under different preloads; (b) Output efficiency of 0.4 N·m load torque.
Processes 09 01164 g006
Figure 7. Output characteristic under different preloads (a) Stalling torque; (b) No-load speed.
Figure 7. Output characteristic under different preloads (a) Stalling torque; (b) No-load speed.
Processes 09 01164 g007
Figure 8. Speed range and standard deviation under different preloads: (a) Drive frequencies are 42 kHz and 43 kHz; (b) Driving frequency is 42 kHz with different load torques.
Figure 8. Speed range and standard deviation under different preloads: (a) Drive frequencies are 42 kHz and 43 kHz; (b) Driving frequency is 42 kHz with different load torques.
Processes 09 01164 g008aProcesses 09 01164 g008b
Figure 9. Summary of motor performance indicators under different preloads.
Figure 9. Summary of motor performance indicators under different preloads.
Processes 09 01164 g009
Figure 10. Schematic diagram of direct-drive cooperative manipulator: (a) Physical pictures; (b) Schematic diagram of the structure.
Figure 10. Schematic diagram of direct-drive cooperative manipulator: (a) Physical pictures; (b) Schematic diagram of the structure.
Processes 09 01164 g010
Table 1. The definition of scale.
Table 1. The definition of scale.
ScaleDefinition
1Equal importance
3Moderate importance of one over another
5Essential or strong importance
7Very strong importance
9Extreme importance
Table 2. The goodness of fit of different performance indicators.
Table 2. The goodness of fit of different performance indicators.
Performance IndicatorsStalling TorqueMaximum EfficiencyNo-Load SpeedStandard Deviation of Speed
Goodness of fit0.8860.9050.9750.861
Table 3. Weight coefficients of different performance indicators.
Table 3. Weight coefficients of different performance indicators.
Performance IndicatorsStalling TorqueStandard Deviation of SpeedNo-Load SpeedMaximum Efficiency
Weight coefficient0.4650.30.150.085
Table 4. Motor performance index before and after preload control.
Table 4. Motor performance index before and after preload control.
Performance IndicatorsStalling Torque (N·m)Standard Deviation of SpeedNo-Load Speed (rpm)Maximum Efficiency (%)
200 N0.581.314423.5
310 N0.70.613627.1
Absolute value0.12↑0.7↓8↓3.6↑
Percentage20.7%53.8%5.5%15.3%
Table 5. Motor performance index in other methods [19,24].
Table 5. Motor performance index in other methods [19,24].
Performance IndicatorsStalling Torque (N·m)Standard Deviation of SpeedNo-Load Speed (rpm)Maximum Efficiency (%)
310 N0.70.613627.1
260 N–320 N [19]0.92–13.9–4.668–8432.8–34.6
310 N [24]0.65211524
Publisher’s Note: MDPI stays neutral with regard to jurisdictional claims in published maps and institutional affiliations.

Share and Cite

MDPI and ACS Style

Sun, H.; Yin, H.; Liu, J.; Zhang, X. Preload Optimization Method for Traveling-Wave Rotary Ultrasonic Motor. Processes 2021, 9, 1164. https://doi.org/10.3390/pr9071164

AMA Style

Sun H, Yin H, Liu J, Zhang X. Preload Optimization Method for Traveling-Wave Rotary Ultrasonic Motor. Processes. 2021; 9(7):1164. https://doi.org/10.3390/pr9071164

Chicago/Turabian Style

Sun, Haoyu, Hao Yin, Jiang Liu, and Xilong Zhang. 2021. "Preload Optimization Method for Traveling-Wave Rotary Ultrasonic Motor" Processes 9, no. 7: 1164. https://doi.org/10.3390/pr9071164

APA Style

Sun, H., Yin, H., Liu, J., & Zhang, X. (2021). Preload Optimization Method for Traveling-Wave Rotary Ultrasonic Motor. Processes, 9(7), 1164. https://doi.org/10.3390/pr9071164

Note that from the first issue of 2016, this journal uses article numbers instead of page numbers. See further details here.

Article Metrics

Back to TopTop