Efficient Production of 3′-Sialyllactose by Single Whole-Cell in One-Pot Biosynthesis
Abstract
1. Introduction
2. Materials and Methods
2.1. Materials
2.2. Plasmids and Strains
2.3. Biocatalyst Preparation
2.4. Optimization of Reaction Conditions
2.5. Enzyme Activity Assays
2.6. Production of 3′-SL
2.7. Analytical Method
2.8. Statistical Analysis
3. Results
3.1. Single-Cell Construction
3.2. Optimization of Biotransformation Temperature and pH
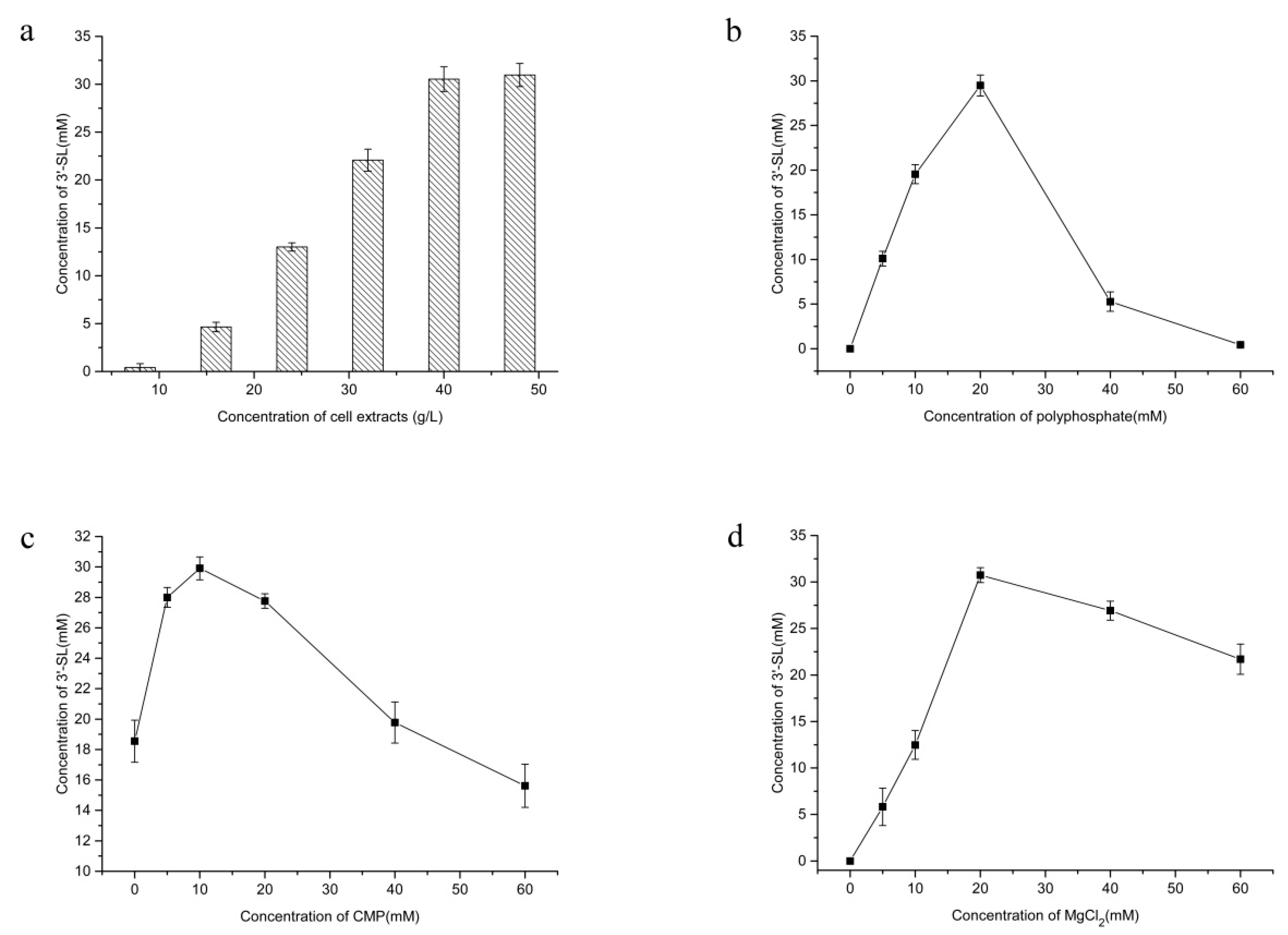
3.3. Optimization of Cell Extracts, Polyphosphate, CMP, and MgCl2
3.4. Optimization of Cell Permeability
3.5. Production of 3′-SL
4. Discussion
5. Conclusions
Supplementary Materials
Author Contributions
Funding
Institutional Review Board Statement
Informed Consent Statement
Data Availability Statement
Acknowledgments
Conflicts of Interest
References
- Le Doare, K.; Holder, B.; Bassett, A.; Pannaraj, P.S. Mother’s Milk: A Purposeful Contribution to the Development of the Infant Microbiota and Immunity. Front. Immunol. 2018, 9, 361. [Google Scholar] [CrossRef]
- Cheng, L.; Kiewiet, M.B.G.; Logtenberg, M.J.; Groeneveld, A.; Nauta, A.; Schols, H.A.; Walvoort, M.T.C.; Harmsen, H.J.M.; de Vos, P. Effects of Different Human Milk Oligosaccharides on Growth of Bifidobacteria in Monoculture and Co-culture With Faecalibacterium prausnitzii. Front. Microbiol. 2020, 11, 569700. [Google Scholar] [CrossRef] [PubMed]
- Thurl, S.; Munzert, M.; Boehm, G.; Matthews, C.; Stahl, B. Systematic review of the concentrations of oligosaccharides in human milk. Nutr. Rev. 2017, 75, 920–933. [Google Scholar] [CrossRef] [PubMed]
- Idota, T.; Kawakami, H.; Murakami, Y.; Sugawara, M. Inhibition of cholera toxin by human milk fractions and sialyllactose. Biosci. Biotechnol. Biochem. 1995, 59, 417–419. [Google Scholar] [CrossRef] [PubMed]
- Ten Bruggencate, S.J.; Bovee-Oudenhoven, I.M.; Feitsma, A.L.; van Hoffen, E.; Schoterman, M.H. Functional role and mechanisms of sialyllactose and other sialylated milk oligosaccharides. Nutr. Rev. 2014, 72, 377–389. [Google Scholar] [CrossRef] [PubMed]
- Bode, L.; Contractor, N.; Barile, D.; Pohl, N.; Prudden, A.R.; Boons, G.J.; Jin, Y.S.; Jennewein, S. Overcoming the limited availability of human milk oligosaccharides: Challenges and opportunities for research and application. Nutr. Rev. 2016, 74, 635–644. [Google Scholar] [CrossRef]
- Bych, K.; Miks, M.H.; Johanson, T.; Hederos, M.J.; Vigsnaes, L.K.; Becker, P. Production of HMOs using microbial hosts-from cell engineering to large scale production. Curr. Opin. Biotechnol. 2019, 56, 130–137. [Google Scholar] [CrossRef]
- Sprenger, G.A.; Baumgartner, F.; Albermann, C. Production of human milk oligosaccharides by enzymatic and whole-cell microbial biotransformations. J. Biotechnol. 2017, 258, 79–91. [Google Scholar] [CrossRef]
- Schenkman, S.; Eichinger, D.; Pereira, M.E.A.; Nussenzweig, V. Structural and functional properties of Trypanosoma trans-sialidase. Annu. Rev. Microbiol. 1994, 48, 499–523. [Google Scholar] [CrossRef]
- Michalak, M.; Larsen, D.M.; Jers, C.; Almeida, J.R.M.; Willer, M.; Li, H.; Kirpekar, F.; Kjærulff, L.; Gotfredsen, C.H.; Nordvang, R.T.; et al. Biocatalytic production of 3′-sialyllactose by use of a modified sialidase with superior trans-sialidase activity. Process Biochem. 2014, 49, 265–270. [Google Scholar] [CrossRef]
- Gilbert, M.; Cunningham, A.-M.; Watson, D.C.; Martin, A.; Rlchards, J.C.; Wakarchuk, W.W. Characterization of a recombinant Neisseria meningitidis alpha-2,3-sialyltransferase and its acceptor specificity. Eur. J. Biochem. 1997, 249, 187–194. [Google Scholar] [CrossRef] [PubMed]
- Li, Y.; Sun, M.; Huang, S.; Yu, H.; Chokhawala, H.A.; Thon, V.; Chen, X. The Hd0053 gene of Haemophilus ducreyi encodes an alpha2,3-sialyltransferase. Biochem. Biophys. Res. Commun. 2007, 361, 555–560. [Google Scholar] [CrossRef] [PubMed]
- Luo, J.; Nordvang, R.T.; Morthensen, S.T.; Zeuner, B.; Meyer, A.S.; Mikkelsen, J.D.; Pinelo, M. An integrated membrane system for the biocatalytic production of 3′-sialyllactose from dairy by-products. Bioresour. Technol. 2014, 166, 9–16. [Google Scholar] [CrossRef] [PubMed]
- Li, Y.; Chen, X. Sialic acid metabolism and sialyltransferases: Natural functions and applications. Appl. Microbiol. Biotechnol. 2012, 94, 887–905. [Google Scholar] [CrossRef]
- Endo, T.; Koizumi, S.; Tabata, K.; Ozaki, A. Large-scale production of CMP-NeuAc and sialylated oligosaccharides through bacterial coupling. Appl. Microbiol. Biotechnol. 2000, 53, 257–261. [Google Scholar] [CrossRef]
- Gilbert, M.; Bayer, R.; Cunningham, A.M.; DeFrees, S.; Gao, Y.; Watson, D.C.; Young, N.M.; Wakarchuk, W.W. The synthesis of sialylated oligosaccharides using a CMP-Neu5Ac synthetase sialyltransferase fusion. Nat. Biotechnol. 1998, 16, 769–772. [Google Scholar] [CrossRef]
- Lee, S.G.; Lee, J.O.; Yi, J.K.; Kim, B.G. Production of cytidine 5′-monophosphate N-acetylneuraminic acid using recombinant Escherichia coli as a biocatalyst. Biotechnol. Bioeng. 2002, 80, 516–524. [Google Scholar] [CrossRef]
- Wang, J.; Zheng, C.; Zhang, T.; Liu, Y.; Cheng, Z.; Liu, D.; Ying, H.; Niu, H. Novel one-pot ATP regeneration system based on three-enzyme cascade for industrial CTP production. Biotechnol. Lett. 2017, 39, 1875–1881. [Google Scholar] [CrossRef]
- Ishige, K.; Hamamoto, T.; Shiba, T.; Noguchi, T. Novel method for enzymatic synthesis of CMP-NeuAc. Biosci. Biotechnol. Biochem. 2001, 65, 1736–1740. [Google Scholar] [CrossRef]
- Li, Z.; Ni, Z.; Chen, X.; Wang, G.; Wu, J.; Yao, J. Multi-Enzymatic Cascade One-Pot Biosynthesis of 3′-Sialyllactose Using Engineered Escherichia coli. Molecules 2020, 25, 3567. [Google Scholar] [CrossRef]
- Datsenko, K.A.; Wanner, B.L. One-step inactivation of chromosomal genes in Escherichia coli K-12 using PCR products. Proc. Natl. Acad. Sci. USA 2000, 97, 6640–6645. [Google Scholar] [CrossRef]
- Pederson, S.; Skouv, J.; Kajitani, M.; Ishihama, A. Transcriptional organization of the rpsA operon of Escherichia coli. Mol. Genet. Genom. 1984, 196, 135–140. [Google Scholar] [CrossRef] [PubMed]
- Akiyama, M.; Crooke, E.; Kornberg, A. The Polyphosphate Kinase Gene of Escherichia coli. J. Biol. Chem. 1992, 267, 22556–22561. [Google Scholar] [CrossRef]
- Singh, A.; Van Hamme, J.D.; Ward, O.P. Surfactants in microbiology and biotechnology: Part 2. Application aspects. Biotechnol. Adv. 2007, 25, 99–121. [Google Scholar] [CrossRef] [PubMed]
- Hou, Y.; Gao, B.; Cui, J.; Tan, Z.; Qiao, C.; Jia, S. Combination of multi-enzyme expression fine-tuning and co-substrates addition improves phenyllactic acid production with an Escherichia coli whole-cell biocatalyst. Bioresour. Technol. 2019, 287, 121423. [Google Scholar] [CrossRef]
- Ding, Q.B.; Ou, L.; Wei, D.Z.; Wei, X.K.; Xu, Y.M.; Zhang, C.Y. Enzymatic synthesis of nucleosides by nucleoside phosphorylase co-expressed in Escherichia coli. J. Zhejiang Univ. Sci. B 2010, 11, 880–888. [Google Scholar] [CrossRef]
- Todea, A.; Dreavă, D.M.; Benea, I.C.; Bîtcan, I.; Peter, F.; Boeriu, C.G. Achievements and Trends in Biocatalytic Synthesis of Specialty Polymers from Biomass-Derived Monomers Using Lipases. Processes 2021, 9, 646. [Google Scholar] [CrossRef]
- Nahálka, J.; Pätoprstý, V. Enzymatic synthesis of sialylation substrates powered by a novel polyphosphate kinase (PPK3). Org. Biomol. Chem. 2009, 7, 1778–1780. [Google Scholar] [CrossRef]
- Xiong, T.Z.; Jiang, J.; Bai, Y.J.; Fan, T.P.; Zhao, Y.; Zheng, X.H.; Cai, Y. Biosynthesis of D-danshensu from L-DOPA using engineered Escherichia coli whole cells. Appl. Microbiol. Biotechnol. 2019, 103, 6097–6105. [Google Scholar] [CrossRef]
- Zhu, Y.M.; Li, H.Y.; Liu, P.P.; Yang, J.G.; Zhang, X.L.; Sun, Y.X. Construction of allitol synthesis pathway by multi-enzyme coexpression in Escherichia coli and its application in allitol production. J. Ind. Microbiol. Biotechnol. 2015, 42, 661–669. [Google Scholar] [CrossRef]






| Description | Reference or Source | |
|---|---|---|
| Strains | ||
| E. coli BL21 Star (DE3) ΔlacZΔnanETKA | F- ompT hsdSB (rB-, mB-) gal dcm rne131 (DE3) ΔlacZΔnanETKA | This study |
| Genes | ||
| css | CMP-sialic acid synthetase from Neisseria meningitides (U60146.1) | [16] |
| st | α-2, 3-sialyltransferase from Neisseria gonorrhoeae (U60664.1) | [11] |
| cmk | CMP kinase from Escherichia coli (X00785.1) | [22] |
| ppk | Polyphosphate kinase from Escherichia coli (CP043942.1) | [23] |
| Plasmids | ||
| pCOLADuet-ST-CSS | pCOLADuet-1 containing st and css | This study |
| pCOLADuet-CSS-ST | pCOLADuet-1 containing css and st | This study |
| pETDuet-CMK-PPK | pETDuet-1 containing cmk and ppk | This study |
| pETDuet-PPK-CMK | pETDuet-1 containing ppk and cmk | This study |
Publisher’s Note: MDPI stays neutral with regard to jurisdictional claims in published maps and institutional affiliations. |
© 2021 by the authors. Licensee MDPI, Basel, Switzerland. This article is an open access article distributed under the terms and conditions of the Creative Commons Attribution (CC BY) license (https://creativecommons.org/licenses/by/4.0/).
Share and Cite
Li, Z.; Chen, X.; Ni, Z.; Yuan, L.; Sun, L.; Wang, Y.; Wu, J.; Yao, J. Efficient Production of 3′-Sialyllactose by Single Whole-Cell in One-Pot Biosynthesis. Processes 2021, 9, 932. https://doi.org/10.3390/pr9060932
Li Z, Chen X, Ni Z, Yuan L, Sun L, Wang Y, Wu J, Yao J. Efficient Production of 3′-Sialyllactose by Single Whole-Cell in One-Pot Biosynthesis. Processes. 2021; 9(6):932. https://doi.org/10.3390/pr9060932
Chicago/Turabian StyleLi, Zhongkui, Xiangsong Chen, Zhijian Ni, Lixia Yuan, Lijie Sun, Yu Wang, Jinyong Wu, and Jianming Yao. 2021. "Efficient Production of 3′-Sialyllactose by Single Whole-Cell in One-Pot Biosynthesis" Processes 9, no. 6: 932. https://doi.org/10.3390/pr9060932
APA StyleLi, Z., Chen, X., Ni, Z., Yuan, L., Sun, L., Wang, Y., Wu, J., & Yao, J. (2021). Efficient Production of 3′-Sialyllactose by Single Whole-Cell in One-Pot Biosynthesis. Processes, 9(6), 932. https://doi.org/10.3390/pr9060932
