Acute and Chronic Effects of a Glyphosate and a Cypermethrin-Based Pesticide on a Non-Target Species Eucypris sp. Vavra, 1891 (Crustacea, Ostracoda)
Abstract
1. Introduction
2. Materials and Methods
2.1. Test Species
2.2. Chemicals Properties
2.3. Acute Test
2.4. Chronic Test
2.5. Data Analysis
3. Results
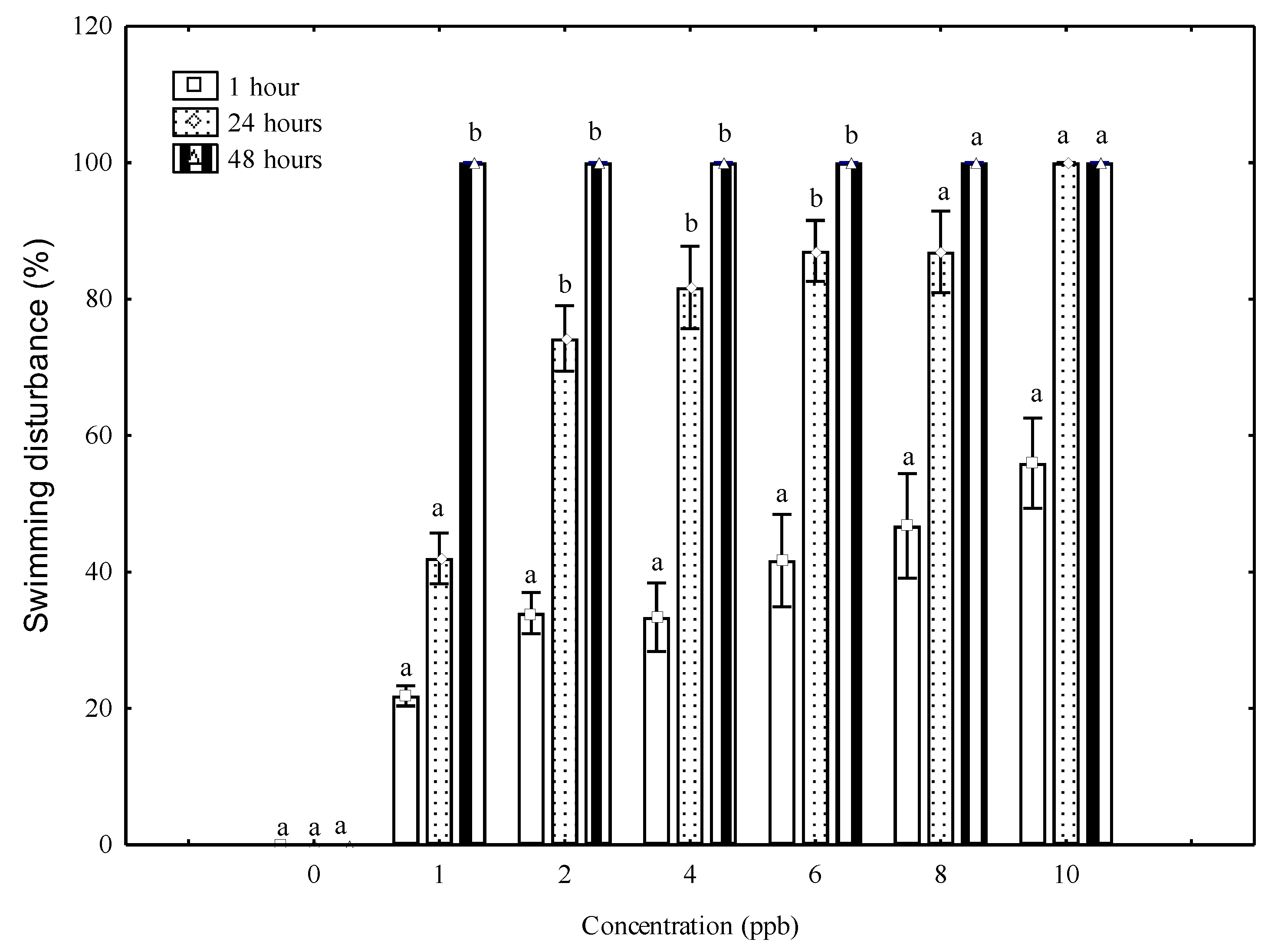
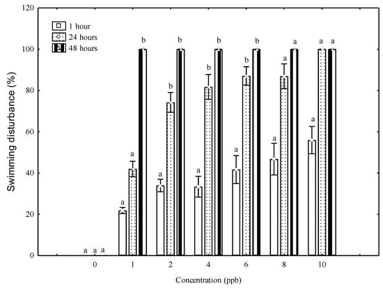
3.1. Swimming Ability
3.2. Individual Mortality
3.3. Reproduction and Neonate Survival
3.4. Population Growth
4. Discussion
5. Conclusions
Author Contributions
Funding
Acknowledgments
Conflicts of Interest
References
- Weiner, I. Centre Écotox News 7; Centre Suisse d’écotoxicologie Appliquée Eawag-EPFL: Lausanne, Switzerland, 2013; 12p. (In French) [Google Scholar]
- Wendt-Rasch, L.; Friberg-Jensen, U.; Woin, P.; Christoffersen, K. Effects of the pyrethroid insecticide cypermethrin on a freshwater community studied under field conditions. II. Direct and indirect effects on the species composition. Aquat. Toxicol. 2003, 63, 373–389. [Google Scholar] [CrossRef]
- Houssou, A.M.; Daguégué, E.J.; Montchowui, E. Lethal and sub-lethal effects of cypermethrin and glyphosate on the freshwater’s copepod, Acanthocyclops robustus. Invertebr. Surviv. J. 2017, 14, 140–148. [Google Scholar]
- Casado-Martinez, M.C.; Schneeweiss, A.; Thiemann, C.; Dubois, N.; Pintado-Herrera, M.; Lara-Martin, P.A.; Ferrari, B.J.D.; Werner, I. Écotoxicité des sédiments de ruisseaux. Les pesticides présents dans les sédiments ont des effets sur les organismes benthiques. Aqua Gas 2019, 99, 62–71. (In French) [Google Scholar]
- Külköylüoğlu, O. On the usage of ostracods (Crustacea) as bioindicator species in different aquatic habitats in the Bolu region, Turkey. Ecol. Indic. 2004, 4, 139–147. [Google Scholar] [CrossRef]
- Ito, E.; Forester, R.M. Changes in continental ostracode shell chemistry; uncertainty of cause. Hydrobiologia 2009, 620, 1–15. [Google Scholar] [CrossRef]
- Curry, B.B. Linking ostracodes to climate and landscape. Paleontol. Soc. Pap. 2003, 9, 223–246. [Google Scholar] [CrossRef]
- Curry, B.B.; Filippelli, G.M. Episodes of low dissolved oxygen indicated by ostracodes and sediment geochemistry at Crystal Lake, Illinois, USA. Limnol. Oceanogr. 2010, 55, 2403–2423. [Google Scholar] [CrossRef]
- Mezquita, F.; Olrnos, V.; Oltra, R. Population ecology of Cyprideis torosa Jones, 1850 in a hypersaline environment of the western Mediterranean (Santa pola, alacant) (Crustacea: Ostracoda). Ophelia 2000, 53, 119–130. [Google Scholar] [CrossRef]
- Lévèque, C.; Paugy, D. Les Poissons des Eaux Continentales Africaines: Diversité, Écologie, Utilisation par L’homme; IRD Éditions: Marseille, France, 2006; 573p. (In French) [Google Scholar]
- Druart, C. Effets des Pesticides de la Vigne sur le Cycle Biologique de L’escargot dans Divers Contextes D’exposition. Ph.D. Thesis, Environmental Sciences, Université de Franche-Comté, Besançon, France, 2011; 327p. (In French). [Google Scholar]
- Houssou, A.M.; Cocan, D.; Bonou, C.A.; Miresan, V.; Montchowui, E. Survival and reproduction of Cyclops abyssorum (freshwater copepod) exposed to spirotetramat and 2,4-D. Rom. Biotechnol. Lett. 2018, 23, 13761–13770. [Google Scholar] [CrossRef]
- Adégbidi, A. Etude des Filières des Intrants Agricoles au Bénin: Engrais Minéraux, Produits Phytosanitaires, Semences, Matériels et Équipements Agricoles, Fertilisants Organiques, (Tome 3); Presse de la FSA: Cotonou, Benin, 2000. (In French) [Google Scholar]
- Fadoegnon, B.; Midingoyi, S. Produire du Coton de Meilleure Qualité. Référentiel Technico-Économique de la Production Agricole; Rapport ProCGRN-INRAB: Abomey-Calavi, Benin, 2006; 28p. (In French) [Google Scholar]
- Pesce, S.; Fajon, C.; Bardot, C.; Bonnemoy, F.; Portelli, C.; Bohatier, J. Longitudinal changes in microbial planktonic communities of french river in relation to pesticide and nutients input. Aquat. Toxicol. 2008, 86, 352–360. [Google Scholar] [CrossRef]
- Houssou, A.M.; Ahouansou Montcho, S.; Montchowui, E.; Bonou, C.A. Spatial and seasonal characterization of water quality in the Ouémé River Basin (Republic of Benin, West Africa). Egypt. J. Chem. 2017, 60, 1077–1090. [Google Scholar] [CrossRef]
- Sanchez-Bravo, F. Comparative acute toxicity of organic pollutants and reference values for crustaceans. I. Branchiopoda, Copepoda and Ostracoda. Environ. Pollut. 2006, 139, 385–420. [Google Scholar] [CrossRef]
- Lutnicka, H.; Fochtman, P.; Bojarski, B.; Ludwikowska, A.; Formicki, G. The influence of low concentration of cypermethrin and deltamethrin on phyto and zooplankton of surface waters. Folia Biol. (Krakow) 2014, 62, 251–257. [Google Scholar] [CrossRef] [PubMed]
- Anderson, B.S.; Hunt, J.W.; Phillips, B.M.; Nicely, P.A.; Tjeerdema, R.S.; Martin, M. A comparison of in situ and laboratory toxicity tests with the estuarine amphipod Eohaustorius estuarius. Arch. Environ. Contam. Toxicol. 2004, 46, 52–60. [Google Scholar] [CrossRef] [PubMed]
- Willis, K.J.; Ling, N. Toxicity of the aquaculture pesticide cypermethrin to planktonic marine copepods. Aquac. Res. 2004, 35, 263–270. [Google Scholar] [CrossRef]
- Christensen, B.T.; Lauridsen, T.L.; Ravnh, W.; Baylwy, M. A comparison of feeding efficiency and swimming ability of Daphnia magna exposed to cypermethrin. Aquat. Toxicol. 2005, 73, 210–220. [Google Scholar] [CrossRef] [PubMed]
- Lupi, L.; Bedmar, F.; Puricelli, M.; Marino, D.; Aparicio, V.C.; Wunderlin, D.; Miglioranza, K.S.B. Glyphosate runoff and its occurrence in rainwater and subsurface soil in the nearby area of agricultural fields in Argentina. Chemosphere 2019, 225, 906–914. [Google Scholar] [CrossRef]
- Deepananda, K.H.M.; Gajamange, D.; de Silva, W.A.J.P.; Wegiriya, H.C.E. Acute toxicity of a glyphosate herbicide, Roundup®, to two freshwater crustaceans. J. Natl. Sci. Found. Sri Lanka 2011, 39, 169–173. [Google Scholar] [CrossRef]
- Lim, X.-E.; Koksong, L.; Koksong, L.; Liew, H.-J.; Loh, J.Y.; Loh, J.Y. Acute toxicity of glyphosate on various life stages of calanoid copepod, Pseudodiaptomus annandalei. Asia Pac. J. Mol. Biol. Biotechnol. 2019, 27, 24–31. [Google Scholar] [CrossRef]
- Maycock, D.; Crane, M.; Atkinson, C.; Johnson, I. Proposed EQS for Water Framework Directive Annex VIII Substances: Glyphosate (For Consultation); Water Framework Directive—United Kingdom Technical Advisory Group: Edinburgh, Scotland, 2010. [Google Scholar]
- Agadjihouèdé, H.; Bonou, C.A.; Montchowui, E.; Lalèyè, P.H. Recherche de la dose optimale de fiente de volaille pour la production spécifique de zooplancton à des fins piscicoles. Cah. Agric. 2011, 20, 247–260. (In French) [Google Scholar]
- Martens, K. The systematic position of the Eucypris clavata-group, with a description of Trajancypris gen.nov. (crustacea, Ostracoda). Arch. Hydrobiol. 1989, 2, 227–251. [Google Scholar]
- Baltanas, A.; Otero, M.; Arqueros, L.; Rossetti, G.; Rossi, V. Ontogenetic changes in the carapace shape of the non-marine ostracod Eucypris virens (Jurine). Hydrobiologia 2000, 419, 65–72. [Google Scholar] [CrossRef]
- Smith, R.J.; Martens, K. The ontogeny of the cypridid ostracod Eucypris virens (Jurine, 1820) (Crustacea, Ostracoda). Hydrobiologia 2000, 419, 31–63. [Google Scholar] [CrossRef]
- U.S. Environmental Protection Agency (EPA). Methods for Measuring the Acute Toxicity of Effluents and Receiving Waters to Freshwater and Marine Organisms, 5th ed.; EPA-821-R-02-012; US Environmental Protection Agency, Office of Water (4303T): Washington, DC, USA, 2002; p. 266.
- Darriet, F. Moustiquaires Imprégnées et Résistance des Moustiques aux Insecticides; IRD Éditions: Marseille, France, 2017; 116p, (In French). [Google Scholar] [CrossRef]
- Werner, I.; Moran, K. Effect of pyrethrinoid insecticides on aquatic organismes. ACS Symp. Ser. 2008, 991, 310–334. [Google Scholar] [CrossRef]
- Mugni, H.; Paracampo, A.; Marrochi, N.; Bonetto, C. Acute Toxicity of cypermethrin to the non-target organisms Hyalella curvispina. Environ. Toxicol. Pharmacol. 2013, 35, 88–92. [Google Scholar] [CrossRef]
- Mulla, M.S.; Darwazeh, H.A.; Ede, L. Evaluation of new pyrethroids against immature mosquitoes and their effects on nontarget organisms. Mosq. News 1982, 42, 583–590. [Google Scholar]
- Gbaguidi, M.A.N.; Soclo, H.H.; Issa, Y.M.; Fayomi, B.; Dognon, R.; Agagbe, A.; Bonou, C.; Youssao, A.; Dovonou, L.F.; Sanni, A. Evaluation quantitative des résidus de pyréthrinoïdes, d’aminophosphate et de triazines en zones de production de coton au Bénin par la méthode ELISA en phase liquide: Cas des eaux de la rivière Agbado. Int. J. Biol. Chem. Sci. 2011, 5, 1476–1490. (In French) [Google Scholar] [CrossRef][Green Version]
- Rico-Martinez, R.; Arias-Almeida, J.C.; Pérez-Legaspi, I.A.; Alvarado-Flores, J.; Retes-Pruneda, J.L. Adverse effects of herbicides on freshwater zooplankton. In Herbicides—Properties, Synthesis and Control of Weeds; Hasaneen, M.N., Ed.; IntechOpen: London, UK, 2012. [Google Scholar] [CrossRef][Green Version]
- Gardner, S.C.; Grue, C.E. Effects of Rodeo® and Garlon® 3A on nontarget wetland species in central Washington. Environ. Toxicol. Chem. 1996, 15, 441–451. [Google Scholar] [CrossRef]
- Linz, G.M.; Bleier, W.J.; Overland, J.D.; Homan, H.J. Response of invertebrates to glyphosate-induced habitat alterations in wetlands. Wetlands 1999, 19, 220–227. [Google Scholar] [CrossRef]
- Golombieski, J.I.; Marchesan, E.; Baumart, J.S.; Reimche, G.B.; Júnior, C.R.; Storck, L.; Santos, S. Cladocers, copepods and rotifers in rice-fish culture handled with metsulfuron-methyl and azimsulfuron herbicides and carbofuran insecticide. Cienc. Rural 2008, 38, 2097–2102. [Google Scholar] [CrossRef][Green Version]
- Sharma, K.K.; Sharma, A.; Jamwal, H.; Sharma, N.; Kour, A. Toxic effects (By LC50 analysis) of cypermethrin on a cyclopoid copepod Mesocyclops leuckarti (Claus, 1857). Int. J. Recent. Sci. Res. 2018, 5, 215–217. [Google Scholar]
- Zhou, J.; Kang, H.-M.; Lee, Y.H.; Jeong, C.-B.; Park, J.C.; Lee, J.-S. Adverse effects of a synthetic pyrethrinoid insecticide cypermethrin on life parameters and antioxidant responses in the marine copepods Paracyclopina nana and Tigriopus japonicas. Chemosphere 2019, 217, 383–392. [Google Scholar] [CrossRef] [PubMed]
- Hanazato, T. Pesticide effects on freshwater zooplankton: An ecological perspective. Environ. Pollut. 2001, 112, 1–10. [Google Scholar] [CrossRef]





| Control | 10% LC50 | 20% LC50 | ||
|---|---|---|---|---|
| Percentage of females able to reproduce (%) | Cypermethrin | 80 | 30 | 30 |
| Glyphosate | 90 | 60 | 50 | |
| Neonates survival (%) | Cypermethrin | 100 | 100 | 67.2 ± 0.01 |
| Glyphosate | 95.0 ± 0.3 | 98.2 ± 0.1 | 83.7 ± 0.5 |
Publisher’s Note: MDPI stays neutral with regard to jurisdictional claims in published maps and institutional affiliations. |
© 2021 by the authors. Licensee MDPI, Basel, Switzerland. This article is an open access article distributed under the terms and conditions of the Creative Commons Attribution (CC BY) license (https://creativecommons.org/licenses/by/4.0/).
Share and Cite
Houssou, A.M.; Cocan, D.; Răducu, C.M.; Daguégué, E.J.; Miresan, V.; Montchowui, E. Acute and Chronic Effects of a Glyphosate and a Cypermethrin-Based Pesticide on a Non-Target Species Eucypris sp. Vavra, 1891 (Crustacea, Ostracoda). Processes 2021, 9, 701. https://doi.org/10.3390/pr9040701
Houssou AM, Cocan D, Răducu CM, Daguégué EJ, Miresan V, Montchowui E. Acute and Chronic Effects of a Glyphosate and a Cypermethrin-Based Pesticide on a Non-Target Species Eucypris sp. Vavra, 1891 (Crustacea, Ostracoda). Processes. 2021; 9(4):701. https://doi.org/10.3390/pr9040701
Chicago/Turabian StyleHoussou, Arsène Mathieu, Daniel Cocan, Camelia Maria Răducu, Eric Joslin Daguégué, Vioara Miresan, and Elie Montchowui. 2021. "Acute and Chronic Effects of a Glyphosate and a Cypermethrin-Based Pesticide on a Non-Target Species Eucypris sp. Vavra, 1891 (Crustacea, Ostracoda)" Processes 9, no. 4: 701. https://doi.org/10.3390/pr9040701
APA StyleHoussou, A. M., Cocan, D., Răducu, C. M., Daguégué, E. J., Miresan, V., & Montchowui, E. (2021). Acute and Chronic Effects of a Glyphosate and a Cypermethrin-Based Pesticide on a Non-Target Species Eucypris sp. Vavra, 1891 (Crustacea, Ostracoda). Processes, 9(4), 701. https://doi.org/10.3390/pr9040701

