Investigating the Feasibility of Mefenamic Acid Nanosuspension for Pediatric Delivery: Preparation, Characterization, and Role of Excipients
Abstract
1. Introduction
2. Materials and Methods
2.1. Materials
2.2. Solubility Study
2.3. Partition Coefficient
2.4. Formulation Development
2.5. Nanosuspension Characterization
2.5.1. Determination of Particle Size, Polydispersity Index, and Zeta Potential
2.5.2. Surface Morphology
2.5.3. Drug Content
2.5.4. Sedimentation Rate
2.5.5. Redispersibility
2.5.6. pH Value
2.6. In Vitro Drug Release
Kinetic Release Study
2.7. Stability Study
2.8. Statistical Analysis
3. Results and Discussion
3.1. Solubility Data and Partition Coefficient of MA
3.2. Nanosuspension Characterization
3.2.1. Particle Size, PDI, and Zeta Potential
3.2.2. Drug Content and pH
3.2.3. Sedimentation Rate and Redispersibility
3.2.4. Surface Morphology
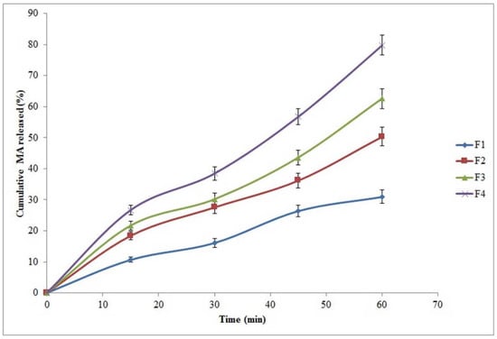
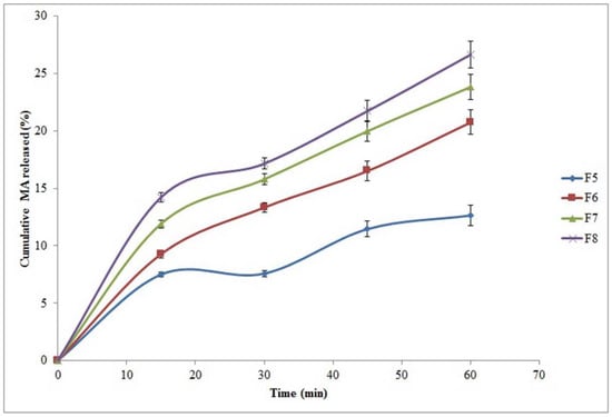
3.3. In Vitro Drug Release Study
3.4. Kinetic Release
3.5. Stability Study
4. Conclusions
Author Contributions
Funding
Institutional Review Board Statement
Informed Consent Statement
Data Availability Statement
Acknowledgments
Conflicts of Interest
References
- Alshehri, S.; Shakeel, F.; Ibrahim, M.; Elzayat, E.; Altamimi, M.; Shazly, G.; Mohsin, K.; Alkholief, M.; Alsulays, B.; Alshetaili, A.; et al. Influence of microwave technology on solid dispersions of mefenamic acid and flufenamic acid. PLoS ONE 2017, 12, e01822011. [Google Scholar] [CrossRef]
- Alshehri, S.; Shakeel, F.; Elzayat, E.; Almeanazel, O.; Altamimi, M.; Shazly, G.; Kazi, M.; Almutaity, B.; Alsulays, B.; Alshetaili, A.; et al. Rat palatability, pharmacodynamics effects and bioavailability of mefenamic acid formulations utilizing hot-melt extrusion technology. Drug Dev. Ind. Pharm. 2019, 45, 1610–1616. [Google Scholar] [CrossRef]
- Sharma, P.; Denny, W.A.; Garg, S. Effect of wet milling process on the solid state of indomethacin and simvastatin. Int. J. Pharm. 2009, 380, 40–48. [Google Scholar] [CrossRef]
- Kakran, M.; Sahoo, N.G.; Li, L.; Judeh, Z.; Wang, Y.; Chong, K.; Loh, L. Fabrication of drug nanoparticles by evaporative precipitation of nanosuspension. Int. J. Pharm. 2010, 383, 285–292. [Google Scholar] [CrossRef] [PubMed]
- Rao, K.S.; Nagabhushanam, M.V.; Chowdary, K.P. In vitro dissolution studies on solid dispersions of mefenamic acid. Indian J. Pharm. Sci. 2011, 73, 243–247. [Google Scholar]
- Khubchandani, R.P.; Ghatikar, K.N.; Keny, S.; Usgaonkar, N.G. Choice of antipyretic in children. J. Assoc. Physicians India 1995, 43, 614–616. [Google Scholar] [PubMed]
- Aishwarya, S.; Chavva, A.K. Evaluation of efficacy and tolerability of acetaminophen (paracetamol) and mefenamic acid as antipyretic in pediatric patients with febrile illness: A comparative study. Int. J. Med. Res. Health Sci. 2013, 2, 23–29. [Google Scholar]
- Alshehri, S.; Shakeel, F. Solubility determination, various solubility parameters and solution thermodynamics of sunitinib malate in some cosolvents, water and various (Transcutol + water) mixtures. J. Mol. Liq. 2020, 307, 112970. [Google Scholar] [CrossRef]
- Kale, A.R.; Kakade, S.; Bhosale, A. A review on: Solubility ehnacement techniques. Curr. Pharm. Res. 2020, 10, 3630–3647. [Google Scholar]
- Farokhzad, O.C.; Langer, R. Impact of nanotechnology on drug delivery. ACS Nano 2009, 3, 16–20. [Google Scholar] [CrossRef]
- Fernandes, G.J.; Kumar, L.; Sharma, K.; Tunge, R.; Rathnanand, M. A review on solubility enhancement of carvedilol—A BCS class II drug. J. Pharm. Innov. 2018, 13, 197–212. [Google Scholar] [CrossRef]
- Hu, J.; Johnston, K.P.; Williams, R.O., III. Nanoparticle engineering processes for enhancing the dissolution rates of poorly water soluble drugs. Drug Dev. Ind. Pharm. 2004, 30, 233–245. [Google Scholar] [CrossRef]
- Lawrence, X.Y.; Amidon, G.L.; Polli, J.E.; Zhao, H.; Mehta, M.U.; Conner, D.P.; Shah, V.P.; Lesko, L.J.; Chen, M.L.; Lee, V.H.; et al. Biopharmaceutics classification system: The scientific basis for biowaiver extensions. Pharm. Res. 2002, 19, 921–925. [Google Scholar]
- Rabinow, B.E. Nanosuspensions in drug delivery. Nat. Rev. Drug Discov. 2004, 3, 785–796. [Google Scholar] [CrossRef] [PubMed]
- Shakeel, F.; Ramadan, W.; Faisal, M.S.; Rizwan, M.; Faiyazuddin, M.; Mustafa, G.; Shafiq, S. Transdermal and topical delivery of anti-inflammatory agents using nanoemulsion/microemulsion: An updated review. Curr. Nanosci. 2010, 6, 184–198. [Google Scholar] [CrossRef]
- Qadir, A.; Faiyazuddin, M.; Hussain, M.T.; Alshammari, T.M.; Shakeel, F. Critical steps and energetics involved in a successful development of a stable nanoemulsion. J. Mol. Liq. 2016, 214, 7–18. [Google Scholar] [CrossRef]
- Faiyazuddin, M.; Ahmad, N.; Khar, R.K.; Bhatnagar, A.; Ahmad, F.J. Stabilized terbutaline submicron drug aerosol for deep lungs deposition: Drug assay, pulmonokinetics and biodistribution by UHPLC/ESI-q-TOF-MS method. Int. J. Pharm. 2012, 434, 59–69. [Google Scholar] [CrossRef] [PubMed]
- Ahmad, M.Z.; Rizwanullah, M.; Ahmad, J.; Alasmary, M.Y.; Akhter, M.D.; Abdel-Wahab, B.A.; Warsi, M.H.; Haque, A. Progress in nanomedicine-based drug delivery in designing of chitosan nanoparticles for cancer therapy. Int. J. Polym. Mater. Polym. Biomater. 2021. [Google Scholar] [CrossRef]
- Hafez, D.A.; Elkhodairy, K.A.; Taleb, M.; Elzoghby, O.A. Nanomedicine-based approaches for improved delivery of phyto-therapeutics for cancer therapy. Expert Opin. Drug Deliv. 2020, 17, 279–285. [Google Scholar] [CrossRef]
- Alarfaj, N.A.; Altamimi, S.A.; Almarshady, L.Z. Spectrophotometric determination of mefenamic acid in pharmaceutical preparations. Asian J. Chem. 2009, 21, 217–226. [Google Scholar]
- Jacob, S.; Nair, A.B.; Shah, J. Emerging role of nanosuspensions in drug delivery systems. Biomater. Res. 2020, 24, 3. [Google Scholar] [CrossRef] [PubMed]
- Higuchi, T.; Connors, K.A. Phase-solubility techniques. Adv. Anal. Chem. Instr. 1965, 4, 117–122. [Google Scholar]
- Wong, J.J.; Yu, H.; Hadinoto, K. Examining practical feasibility of amorphous curcumin-chitosan nanoparticle complex as solubility enhancement strategy of curcumin: Scaled-up production, dry powder transformation, and long-term physical stability. Coll. Surf. A 2018, 537, 36–43. [Google Scholar] [CrossRef]
- Shid, R.L.; Dhole, S.N.; Kulkarni, N.; Shid, S.L. Formulation and evaluation of nanosuspension delivery system for simvastatin. Int. J. Pharm. Sci. Nanotechnol. 2014, 7, 2459–2476. [Google Scholar] [CrossRef]
- Amsa, P.; Tamizharasi, S.; Jagadeeswaran, M.; Sivakumar, T. Preparation and solid state characterization of simvastatin nanosuspensions for enhanced solubility and dissolution. Int. J. Pharm. Pharm. Sci. 2014, 6, 265–269. [Google Scholar]
- Shah, K.; Shrivastava, S.K.; Mishra, P. Formulation and evaluation of suspensions: Mefenamic acid prodrugs. Pak. J. Pharm. Sci. 2014, 27, 917–923. [Google Scholar]
- Costa, P.; Lobo, J.M.S. Modeling and comparison of dissolution profiles. Eur. J. Pharm. Sci. 2001, 15, 123–133. [Google Scholar] [CrossRef]
- Sattar, A.; Chen, D.; Jiang, L.; Pan, Y.; Tao, Y.; Huang, L.; Liu, Z.; Xie, S.; Yuan, Z. Preparation, characterization and pharmacokinetics of cyadox nanosuspension. Sci. Rep. 2017, 7, 2289. [Google Scholar] [CrossRef]
- Sriamornsak, P.; Limmatvapirat, S.; Piriyaprasarth, S.; Mansukmanee, P.; Huang, Z. A new self-emulsifying formulation of mefenamic acid with enhanced drug dissolution. Asian J. Pharm. Sci. 2015, 10, 121–127. [Google Scholar] [CrossRef]
- Pyka-Pajak, A.; Parys, W.; Dolowy, M. Comparison of the utility of RP-TLC technique and different computational methods to assess the lipophilicity of selected antiparasitic, antihypertensive, and anti-inflammatory drugs. Molecules 2019, 24, 3187. [Google Scholar] [CrossRef] [PubMed]
- Kalvakuntla, S.; Deshpande, M.; Attari, Z.; Koteshwara, K.B. Preparation and characterization of nanosuspension of apripitant by H96 process. Adv. Pharm. Bull. 2016, 6, 83–90. [Google Scholar] [CrossRef] [PubMed]
- Attari, Z.; Kalvakuntla, S.; Reddy, M.R.; Deshpande, M.; Rao, C.M.; Koteshwara, K.B. Formulation and characterization of nanosuspension of BCS class II and IV drugs by combinative method. J. Exp. Nanosci. 2016, 11, 276–288. [Google Scholar] [CrossRef]
- Shakeel, F.; Shazly, G.A.; Raish, M.; Ahmad, A.; Kalam, M.A.; Ali, N.; Ansari, M.A.; Elosaily, G.M. Biological investigation of supersaturated self-nanoemulsifying drug delivery system of Piper cubeba essential oil. RSC Adv. 2015, 5, 105206–105217. [Google Scholar] [CrossRef]
- Mircioiu, C.; Voicu, V.; Anuta, V.; Tudose, A.; Celia, C.; Paolino, D.; Fresta, M.; Sandulovici, R.; Mircioiu, I. Mtahematical modeling of release kinetics from supramolecular drug delivery systems. Pharmaceutics 2019, 11, 140. [Google Scholar] [CrossRef]
- Yao, J.; Cui, B.; Zhao, X.; Wang, Y.; Zeng, Z.; Sun, C.; Yang, D.; Liu, G.; Gao, J.; Cui, H. Preparation, characterization, and evaluation of azoxystrobin nanosuspension produced by wet media milling. Appl. Nanosci. 2018, 8, 297–307. [Google Scholar] [CrossRef]





| Ingredients | Formulation Matrices | |||||||
|---|---|---|---|---|---|---|---|---|
| F1 | F2 | F3 | F4 | F5 | F6 | F7 | F8 | |
| MA (mg) (200 mg/20 mL) | 200 | 200 | 200 | 200 | 200 | 200 | 200 | 200 |
| HPMC-K4M (mg) | 10 | 20 | 30 | 40 | 10 | 20 | 30 | 40 |
| SLS (% w/v) | 0.1 | 0.2 | 0.3 | 0.4 | - | - | - | - |
| Tween 80 (% w/v) (0.1–0.4%) | - | - | - | - | 0.02 | 0.04 | 0.06 | 0.08 |
| Acetone (mL) | 1 | 1 | 1 | 1 | 1 | 1 | 1 | 1 |
| Water (mL) | 20 | 20 | 20 | 20 | 20 | 20 | 20 | 20 |
| Code | Particle Size (nm) ± SD | PDI | ZP (mV) ± SD | Drug Content (%) ± SD | pH ± SD | F ± SD | Redispersion Time (sec) ± SD |
|---|---|---|---|---|---|---|---|
| F1 | 672 ± 6.84 | 0.762 | −26 ± 1.21 | 42.21 ± 0.68 | 6.80 ± 0.15 | 1.12 ± 0.01 | 52 ± 1.85 |
| F2 | 656 ± 6.58 | 0.563 | −28 ± 1.26 | 64.32 ± 1.20 | 6.90 ± 0.18 | 1.10 ± 0.02 | 48 ± 1.74 |
| F3 | 554 ± 6.04 | 0.474 | −30 ± 1.19 | 70.10 ± 2.42 | 7.30 ± 0.28 | 0.96 ± 0.03 | 60 ± 2.12 |
| F4 | 510 ± 5.92 | 0.329 | −31 ± 1.34 | 82.41 ± 1.94 | 7.10 ± 0.21 | 1.04 ± 0.00 | 42 ± 1.42 |
| F5 | 862 ± 8.14 | 0.536 | −17 ± 1.12 | 54.10 ± 2.51 | 7.50 ± 0.31 | 0.94 ± 0.04 | 62 ± 2.14 |
| F6 | 732 ± 7.18 | 0.764 | −19 ± 0.98 | 32.34 ± 0.87 | 6.20 ± 0.12 | 0.93 ± 0.01 | 64 ± 2.17 |
| F7 | 612 ± 7.91 | 0.575 | −20 ± 0.82 | 38.21 ± 0.96 | 6.40 ± 0.11 | 0.95 ± 0.05 | 65 ± 2.19 |
| F8 | 534 ± 5.48 | 0.847 | −21 ± 1.28 | 42.21 ± 1.21 | 6.10 ± 0.14 | 0.90 ± 0.04 | 68 ± 2.32 |
| Code | Zero-Order | First-Order | Higuchi | Hixson–Crowell | Korsmeyer–Peppas | Best Fit Model | |
|---|---|---|---|---|---|---|---|
| R2 | R2 | R2 | R2 | R2 | n | ||
| F1 | 0.977 | 0.978 | 0.991 | 0.983 | 0.976 | 0.798 | Zero-order |
| F2 | 0.985 | 0.963 | 0.976 | 0.972 | 0.978 | 0.701 | Zero-order |
| F3 | 0.711 | 0.929 | 0.977 | 0.944 | 0.952 | 0.744 | Higuchi |
| F4 | 0.980 | 0.909 | 0.986 | 0.940 | 0.964 | 0.775 | Higuchi |
| F5 | 0.964 | 0.964 | 0.989 | 0.966 | 0.931 | 0.392 | Higuchi |
| F6 | 0.997 | 0.996 | 0.979 | 0.993 | 0.993 | 0.568 | Zero-order |
| F7 | 0.9997 | 0.9994 | 0.9927 | 0.9972 | 0.9893 | 0.4975 | Zero-order |
| F8 | 0.9879 | 0.9832 | 0.9936 | 0.9932 | 0.9496 | 0.4445 | Higuchi |
| Time (Month) | Temp/RH (25 ± 2 °C/60 ± 5%) | Temp/RH (40 ± 2 °C/75 ± 5%) | ||||
|---|---|---|---|---|---|---|
| Particle Size (nm) | PDI | Release (%) | Particle Size (nm) | PDI | Release (%) | |
| 1 | 542.23 | 0.323 | 79.23 | 540.23 | 0.321 | 79.59 |
| 2 | 544.24 | 0.327 | 80.43 | 541.23 | 0.326 | 79.56 |
| 3 | 543.53 | 0.329 | 79.45 | 538.23 | 0.331 | 78.56 |
Publisher’s Note: MDPI stays neutral with regard to jurisdictional claims in published maps and institutional affiliations. |
© 2021 by the authors. Licensee MDPI, Basel, Switzerland. This article is an open access article distributed under the terms and conditions of the Creative Commons Attribution (CC BY) license (http://creativecommons.org/licenses/by/4.0/).
Share and Cite
Perween, N.; Alshehri, S.; Easwari, T.S.; Verma, V.; Faiyazuddin, M.; Alanazi, A.; Shakeel, F. Investigating the Feasibility of Mefenamic Acid Nanosuspension for Pediatric Delivery: Preparation, Characterization, and Role of Excipients. Processes 2021, 9, 574. https://doi.org/10.3390/pr9040574
Perween N, Alshehri S, Easwari TS, Verma V, Faiyazuddin M, Alanazi A, Shakeel F. Investigating the Feasibility of Mefenamic Acid Nanosuspension for Pediatric Delivery: Preparation, Characterization, and Role of Excipients. Processes. 2021; 9(4):574. https://doi.org/10.3390/pr9040574
Chicago/Turabian StylePerween, Nikhat, Sultan Alshehri, T. S. Easwari, Vivek Verma, Md. Faiyazuddin, Abdullah Alanazi, and Faiyaz Shakeel. 2021. "Investigating the Feasibility of Mefenamic Acid Nanosuspension for Pediatric Delivery: Preparation, Characterization, and Role of Excipients" Processes 9, no. 4: 574. https://doi.org/10.3390/pr9040574
APA StylePerween, N., Alshehri, S., Easwari, T. S., Verma, V., Faiyazuddin, M., Alanazi, A., & Shakeel, F. (2021). Investigating the Feasibility of Mefenamic Acid Nanosuspension for Pediatric Delivery: Preparation, Characterization, and Role of Excipients. Processes, 9(4), 574. https://doi.org/10.3390/pr9040574

