Droplet Dynamics on a Wettability Patterned Surface during Spray Impact
Abstract
1. Introduction
2. Material and Methods
2.1. Surface Preparation and Characterization
2.2. Experimental Setup
2.2.1. Phase Doppler Particle Analyzer
2.2.2. High-Speed Imaging
3. Results and Discussion
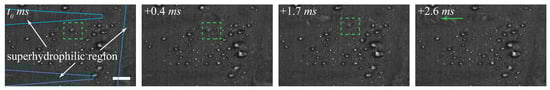
3.1. Spray Impact
3.2. Modes of Droplet Transport
3.3. Self Transport of Liquid Droplet on a Wedge Track
4. Conclusions
Supplementary Materials
Author Contributions
Funding
Institutional Review Board Statement
Informed Consent Statement
Data Availability Statement
Conflicts of Interest
Appendix A. Design of Wettability Pattern
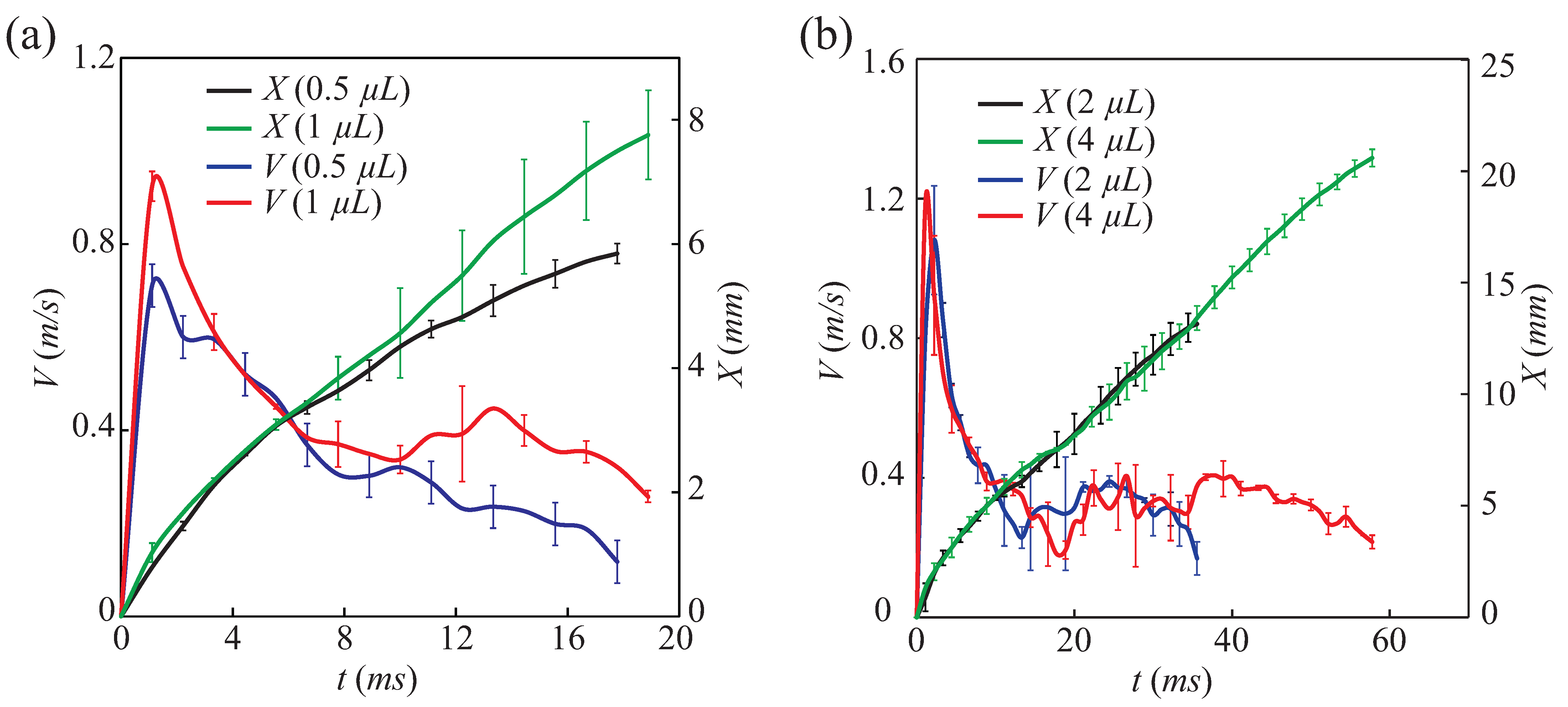
Appendix B. Drop Size and Velocity

Appendix C. Numerical Modeling
References
- Yarin, A.L. Drop impact dynamics: Splashing, spreading, receding, bouncing. Annu. Rev. Fluid Mech. 2006, 38, 159–192. [Google Scholar] [CrossRef]
- Josserand, C.; Thoroddsen, S.T. Drop impact on a solid surface. Annu. Rev. Fluid Mech. 2016, 48, 365–391. [Google Scholar] [CrossRef]
- Yu, X.; Zhang, Y.; Hu, R.; Luo, X. Water droplet bouncing dynamics. Nano Energy 2020, 81, 105647. [Google Scholar] [CrossRef]
- Kim, J. Spray cooling heat transfer: The state of the art. Int. J. Heat Fluid Flow 2007, 28, 753–767. [Google Scholar] [CrossRef]
- Antonini, C.; Amirfazli, A.; Marengo, M. Drop impact and wettability: From hydrophilic to superhydrophobic surfaces. Phys. Fluids 2012, 24, 102104. [Google Scholar] [CrossRef]
- Leng, L.J. Splash formation by spherical drops. J. Fluid Mech. 2001, 427, 73. [Google Scholar] [CrossRef]
- Burzynski, D.A.; Roisman, I.V.; Bansmer, S.E. On the splashing of high-speed drops impacting a dry surface. J. Fluid Mech. 2020, 892, A2. [Google Scholar] [CrossRef]
- Ramírez-Soto, O.; Sanjay, V.; Lohse, D.; Pham, J.T.; Vollmer, D. Lifting a sessile oil drop from a superamphiphobic surface with an impacting one. Sci. Adv. 2020, 6, eaba4330. [Google Scholar] [CrossRef]
- Lecointre, P.; Mouterde, T.; Checco, A.; Black, C.T.; Rahman, A.; Clanet, C.; Quéré, D. Ballistics of self-jumping microdroplets. Phys. Rev. Fluids 2019, 4, 013601. [Google Scholar] [CrossRef]
- Maitra, T.; Tiwari, M.K.; Antonini, C.; Schoch, P.; Jung, S.; Eberle, P.; Poulikakos, D. On the nanoengineering of superhydrophobic and impalement resistant surface textures below the freezing temperature. Nano Lett. 2014, 14, 172–182. [Google Scholar] [CrossRef]
- Lv, C.; Hao, P.; Zhang, X.; He, F. Drop impact upon superhydrophobic surfaces with regular and hierarchical roughness. Appl. Phys. Lett. 2016, 108, 141602. [Google Scholar] [CrossRef]
- De Gennes, P.G.; Brochard-Wyart, F.; Quéré, D. Capillarity and Wetting Phenomena: Drops, Bubbles, Pearls, Waves; Springer Science & Business Media: Berlin/Heidelberg, Germany, 2013. [Google Scholar]
- Grissom, W.M.; Wierum, F. Liquid spray cooling of a heated surface. Int. J. Heat Mass Transf. 1981, 24, 261–271. [Google Scholar] [CrossRef]
- Jowkar, S.; Morad, M. Rebounding suppression of droplet impact on hot surfaces: Effect of surface temperature and concaveness. Soft Matter 2019, 15, 1017–1026. [Google Scholar] [CrossRef] [PubMed]
- Salman, A.S.; Abdulrazzaq, N.M.; Tikadar, A.; Oudah, S.K.; Khan, J.A. Parametric study of heat transfer characteristics of enhanced surfaces in a spray cooling system: An experimental investigation. Appl. Therm. Eng. 2021, 183, 115824. [Google Scholar] [CrossRef]
- Xu, R.N.; Cao, L.; Wang, G.Y.; Chen, J.N.; Jiang, P.X. Experimental investigation of closed loop spray cooling with micro-and hybrid micro-/nano-engineered surfaces. Appl. Therm. Eng. 2020, 180, 115697. [Google Scholar] [CrossRef]
- Ghosh, A.; Beaini, S.; Zhang, B.J.; Ganguly, R.; Megaridis, C.M. Enhancing dropwise condensation through bioinspired wettability patterning. Langmuir 2014, 30, 13103–13115. [Google Scholar] [CrossRef]
- Mahapatra, P.S.; Ghosh, A.; Ganguly, R.; Megaridis, C.M. Key design and operating parameters for enhancing dropwise condensation through wettability patterning. Int. J. Heat Mass Transf. 2016, 92, 877–883. [Google Scholar] [CrossRef]
- Betz, A.R.; Jenkins, J.; Attinger, D. Boiling heat transfer on superhydrophilic, superhydrophobic, and superbiphilic surfaces. Int. J. Heat Mass Transf. 2013, 57, 733–741. [Google Scholar] [CrossRef]
- Feng, J.; Zhong, L.; Guo, Z. Sprayed hieratical biomimetic superhydrophilic-superhydrophobic surface for efficient fog harvesting. Chem. Eng. J. 2020, 388, 124283. [Google Scholar] [CrossRef]
- Schutzius, T.M.; Elsharkawy, M.; Tiwari, M.K.; Megaridis, C.M. Surface tension confined (STC) tracks for capillary-driven transport of low surface tension liquids. Lab Chip 2012, 12, 5237–5242. [Google Scholar] [CrossRef] [PubMed]
- Sen, U.; Chatterjee, S.; Ganguly, R.; Dodge, R.; Yu, L.; Megaridis, C.M. Scaling laws in directional spreading of droplets on wettability-confined diverging tracks. Langmuir 2018, 34, 1899–1907. [Google Scholar] [CrossRef]
- Chatterjee, S.; Sinha Mahapatra, P.; Ibrahim, A.; Ganguly, R.; Yu, L.; Dodge, R.; Megaridis, C.M. Precise liquid transport on and through thin porous materials. Langmuir 2018, 34, 2865–2875. [Google Scholar] [CrossRef]
- Morrissette, J.M.; Mahapatra, P.S.; Ghosh, A.; Ganguly, R.; Megaridis, C.M. Rapid, self-driven liquid mixing on open-surface microfluidic platforms. Sci. Rep. 2017, 7, 1–13. [Google Scholar] [CrossRef] [PubMed]
- Chowdhury, I.U.; Mahapatra, P.S.; Sen, A.K. Shape evolution of drops on surfaces of different wettability gradients. Chem. Eng. Sci. 2020, 229, 116136. [Google Scholar] [CrossRef]
- Li, J.; Zhou, X.; Li, J.; Che, L.; Yao, J.; McHale, G.; Chaudhury, M.K.; Wang, Z. Topological liquid diode. Sci. Adv. 2017, 3, eaao3530. [Google Scholar] [CrossRef]
- Schutzius, T.M.; Graeber, G.; Elsharkawy, M.; Oreluk, J.; Megaridis, C.M. Morphing and vectoring impacting droplets by means of wettability-engineered surfaces. Sci. Rep. 2014, 4, 7029. [Google Scholar] [CrossRef] [PubMed]
- Qi, W.; Weisensee, P.B. Dynamic wetting and heat transfer during droplet impact on bi-phobic wettability-patterned surfaces. Phys. Fluids 2020, 32, 067110. [Google Scholar] [CrossRef]
- Koukoravas, T.P.; Ghosh, A.; Mahapatra, P.S.; Ganguly, R.; Megaridis, C.M. Spatially-selective cooling by liquid jet impinging orthogonally on a wettability-patterned surface. Int. J. Heat Mass Transf. 2016, 95, 142–152. [Google Scholar] [CrossRef]
- Dhivyaraja, K.; Gaddes, D.; Freeman, E.; Tadigadapa, S.; Panchagnula, M. Dynamical similarity and universality of drop size and velocity spectra in sprays. J. Fluid Mech. 2019, 860, 510–543. [Google Scholar] [CrossRef]
- Quetzeri-Santiago, M.A.; Yokoi, K.; Castrejón-Pita, A.A.; Castrejón-Pita, J.R. Role of the dynamic contact angle on splashing. Phys. Rev. Lett. 2019, 122, 228001. [Google Scholar] [CrossRef]
- Quetzeri-Santiago, M.A.; Castrejón-Pita, A.A.; Castrejón-Pita, J.R. The effect of surface roughness on the contact line and splashing dynamics of impacting droplets. Sci. Rep. 2019, 9, 1–10. [Google Scholar] [CrossRef] [PubMed]
- Milne, A.; Amirfazli, A. Drop shedding by shear flow for hydrophilic to superhydrophobic surfaces. Langmuir 2009, 25, 14155–14164. [Google Scholar] [CrossRef] [PubMed]
- Moghtadernejad, S.; Jadidi, M.; Ahmmed, K.T.; Lee, C.; Dolatabadi, A.; Kietzig, A.M. Experimental study of droplet shedding on laser-patterned substrates. Phys. Fluids 2019, 31, 122107. [Google Scholar] [CrossRef]
- Boreyko, J.B.; Chen, C.H. Self-propelled dropwise condensate on superhydrophobic surfaces. Phys. Rev. Lett. 2009, 103, 184501. [Google Scholar] [CrossRef] [PubMed]
- Ghosh, A.; Ganguly, R.; Schutzius, T.M.; Megaridis, C.M. Wettability patterning for high-rate, pumpless fluid transport on open, non-planar microfluidic platforms. Lab Chip 2014, 14, 1538–1550. [Google Scholar] [CrossRef] [PubMed]
- Multiphysics, C. COMSOL Multiphysics CFD Module User Guide, version 5.3a; COMSOL: Stockholm, Sweden, 2015; pp. 208–265. [Google Scholar]
- Cai, X.; Marschall, H.; Wörner, M.; Deutschmann, O. Numerical simulation of wetting phenomena with a phase-field method using OpenFOAM®. Chem. Eng. Technol. 2015, 38, 1985–1992. [Google Scholar] [CrossRef]
- Dupont, J.B.; Legendre, D. Numerical simulation of static and sliding drop with contact angle hysteresis. J. Comput. Phys. 2010, 229, 2453–2478. [Google Scholar] [CrossRef]










Publisher’s Note: MDPI stays neutral with regard to jurisdictional claims in published maps and institutional affiliations. |
© 2021 by the authors. Licensee MDPI, Basel, Switzerland. This article is an open access article distributed under the terms and conditions of the Creative Commons Attribution (CC BY) license (http://creativecommons.org/licenses/by/4.0/).
Share and Cite
Thomas, T.M.; Chowdhury, I.U.; Dhivyaraja, K.; Mahapatra, P.S.; Pattamatta, A.; Tiwari, M.K. Droplet Dynamics on a Wettability Patterned Surface during Spray Impact. Processes 2021, 9, 555. https://doi.org/10.3390/pr9030555
Thomas TM, Chowdhury IU, Dhivyaraja K, Mahapatra PS, Pattamatta A, Tiwari MK. Droplet Dynamics on a Wettability Patterned Surface during Spray Impact. Processes. 2021; 9(3):555. https://doi.org/10.3390/pr9030555
Chicago/Turabian StyleThomas, Tibin M., Imdad Uddin Chowdhury, K. Dhivyaraja, Pallab Sinha Mahapatra, Arvind Pattamatta, and Manish K. Tiwari. 2021. "Droplet Dynamics on a Wettability Patterned Surface during Spray Impact" Processes 9, no. 3: 555. https://doi.org/10.3390/pr9030555
APA StyleThomas, T. M., Chowdhury, I. U., Dhivyaraja, K., Mahapatra, P. S., Pattamatta, A., & Tiwari, M. K. (2021). Droplet Dynamics on a Wettability Patterned Surface during Spray Impact. Processes, 9(3), 555. https://doi.org/10.3390/pr9030555

