Next Article in Journal
Optimal Water Management in Agro-Industrial Districts: An Energy Hub’s Case Study in the Southeast of Spain
Next Article in Special Issue
Thermal Control Processes by Deterministic and Network-Based Models for Energy Use and Control Accuracy in a Building Space
Previous Article in Journal
Temperature-Dependent Viscosity Model for Silicone Oil and Its Application in Viscous Dampers
 
 
Font Type:
Arial Georgia Verdana
Font Size:
Aa Aa Aa
Line Spacing:
Column Width:
Background:
Article

Numerical Investigation of a Novel Plate-Fin Indirect Evaporative Cooling System Considering Condensation

School of Energy and Power Engineering, Nanjing University of Science & Technology, Nanjing 210094, China
*
Author to whom correspondence should be addressed.
Processes 2021, 9(2), 332; https://doi.org/10.3390/pr9020332
Submission received: 30 December 2020 / Revised: 6 February 2021 / Accepted: 8 February 2021 / Published: 11 February 2021
(This article belongs to the Special Issue Various Sustainable Energy Technologies in Buildings)

Abstract

An indirect evaporative cooling system combining with thermoelectric cooling technology (i.e., TIEC system) is proposed, in which a counter-flow plate-fin indirect evaporative cooler is inserted with thermoelectric cooling (i.e., TEC) modules. In hot and humid climate, condensation may occur on the dry channel surface of the cooler. For the TIEC system, with the aid of TEC technology, the surface temperature of the dry channel can be much lower than that of a traditional indirect evaporative cooler, thus, the condensation from the primary air is more likely to take place. A numerical model of this novel TIEC system is developed with specifically taking condensation from primary air into account. Detailed performance analysis of the TIEC system is carried out. Analytical results found that the condensation from primary air reduces the dew point effectiveness by up to 45.0% by weakening the sensible heat transfer but increases the coefficient of performance by up to 62.2% by increasing the latent heat transfer, under given conditions. The effects of main operating conditions, such as the electrical current I and number n of TEC modules, inlet temperature Tp,i, humidity ratio RHp and velocity Vp of the primary air, and the mass flow rate ratio x of secondary to primary air, are investigated under non-condensation and condensation states. It is shown that condensate is more easily produced under higher I, n, Tp,i, RHp, x and lower Vp.

1. Introduction

Evaporative cooling technology, which uses latent heat of water evaporation as the cooling source, has aroused wide attention for the last few years in building energy conservation due to its unique advantages of energy saving, environmental friendliness, simple structural configuration and easy maintenance [1]. Unlike direct evaporative coolers (i.e., DEC) where product air is in direct contact with water, indirect evaporative coolers use paired dry and wet channels. In the wet channel, water evaporates into the working air, and in the adjacent dry channel, product air is cooled down without the increase of humidity [2]. Indirect evaporative cooling system (i.e., IEC system) is suitable for many applications in public buildings and also in agriculture and industrial area [3]. For the IEC system, the main constraint of limiting its wide use is the wet bulb temperature of ambient air. In hot and humid conditions, high wet-bulb temperature of ambient air limits the supply air temperature, which restricts the application of indirect evaporative coolers. Therefore, new technologies and methods are needed for overcoming the shortcoming of the indirect evaporative cooler and improve its application potential.
Many researchers have proposed novel cooler configurations to further enhance the performance of IEC systems, and achieve sub-wet bulb temperature. Hasan [3] proposed an idea to cool the product air to the sub-wet bulb temperature by branching the working air from the product air. In this method, the product was indirectly pre-cooled before it was finally cooled. Anisimov and Pandelidis [4] numerically analyzed the advantages and disadvantages of cross-flow, counter-flow, regenerative and parallel-flow IEC heat exchangers. Multistage IEC systems and various hybrid systems of combining IEC and other cooling technologies have also been studied. Cooling performance of a two stage IEC/DEC system was experimentally investigated in various climatic conditions by Heidarinejad et al. [5]. The effectiveness of IEC/DEC system ranged from 108% to 111% while the effectiveness of IEC stage varied from of 55% to 61%. Moshari et al. [6] put forward three type two stage IEC/IEC systems, and found that the wet-bulb effectiveness of the three systems were all obviously higher than that of one stage IEC system. Khalajzadeh et al. [7] presented a hybrid system which used a ground-coupled circuit to precool the entering air of an IEC. The simulation results found that the hybrid system could cool the air to below the wet-bulb temperature. Farahani et al. [8] studied a two-stage nocturnal radiative/IEC system for conditions in Tehran. The results showed that by using the first stage nocturnal radiative precooling system, the system effectiveness could considerably increase. The authors [9] have theoretically investigated the performance of a hybrid system combining TEC and plate-type indirect evaporative cooler (i.e., TIEC system). It was shown that the TIEC system could cool the air to below the dew point temperature, and meanwhile maintain high COP by choosing appropriate working parameters of thermoelectric modules.
Simulation models, which consider different factors such as heat conduction, evaporative water, variable Lewis factor and loss water temperature variation, have been proposed and used for parameter analysis, performance prediction and configuration optimization of indirect evaporative coolers or hybrid cooling systems with indirect evaporative coolers [10,11,12]. Most of the models only consider the sensible heat transfer from the primary air. Nevertheless, condensation probably takes place when the dew point temperature of ambient air is high, which is gradually obtaining attention in last few years. Some researchers conducted studies to investigate and prove the impact of the condensation from primary air on performance of IEC systems [13,14,15]. For TIEC system as mentioned above [9], the surface temperature of the product air channel would be much lower than that of the traditional indirect evaporative cooler due to the assistance of TEC modules, thus, condensation from the primary air is more likely to occur. Thus, to better predict the performance of the TIEC system, a model including the influence of the condensation from the primary air is needed.
To enrich the previous research, in this paper, an analytical model for TIEC system especially considering condensation from primary air is developed. Additionally, a plate fin heat exchanger instead of a plate heat exchanger as in the previous study is adopted for the new TIEC system to further enhance the heat and mass transfer. The impact of the condensate from the primary air on the TIEC system performance will be specifically analyzed under various operating parameters, including the electrical current and number of TEC modules, inlet temperature, humidity ratio, and velocity of the primary air, and also the mass flow rate ratio of secondary air to primary air.

2. System Description

Figure 1a displays a schematic diagram of the novel counter-flow plate-fin IEC system with TEC modules. In the dry channel, Primary air flows downward. At the dry channel outlet, primary air is partially used as supply air, and the rest is redirected into the wet channel from bottom up as the secondary working air. The water distributed on the wet channel surface partially evaporates into the secondary air as it flows downward due to gravity. Figure 1b illustrates the structure of a counter-flow plain-fin indirect evaporative cooler inserted with TEC modules. Plain fins are arranged in both wet and dry channels. Sandwiched between dry and wet channels, TEC modules are installed in a way that the hot side is connected to the wet channel and the cold side to the dry channel. Dark blue arrow shows the flow direction of the primary air, green arrow of the secondary air, and light blue arrow of the water.

3. Mathematical Model

Figure 2 demonstrates a control volume of the counter-flow plate-fin TEC/indirect evaporative cooler, including half wet channel, the partition plate with TEC modules, and half dry channel. The control volume finite difference method is used to build a steady-state numerical model for the heat and mass transfer processes in the cooler based on the basic thermoelectric cooling theory and heat and mass transfer laws. The numerical model of the proposed TEC/indirect evaporative cooler just combines the classic models of the thermoelectric cooling module and the indirect evaporative cooler, which are well recognized and extensively used in open literature [10,16]. Along the z-axis, the cooler is discretized into two hundred segments, and each segment has a length of dz. Condensation water may appear on the dry channel surface. Several common assumptions are made to simplify the model referring to Reference [9].
For TEC modules, the cooling capacity Qc in the cold side, and the heat released to the hot side Qh are expressed as [16],
Q c = n [ α 0 I T c K 0 ( T h T c ) 1 2 R 0 I 2 ]
Q h = n [ α 0 I T h K 0 ( T h T c ) + 1 2 R 0 I 2 ]
where Th and Tc are the hot and cold junction temperatures of TEC modules. n is TEC module number, and I is the electrical current.
The heat transfer rate in each segment with height dz between TEC module hot junction and the water, dQh, is given by,
d Q h = Q h H d z = K h ( T h T w ) d A
where Kh is the overall thermal conductance from TEC module hot junction to the water. In each segment, heat balance of the wet channel is expressed as follows,
d Q h = d Q a + d Q w
d Q a = d Q a , s + d Q a , l
where dQw is heat increment of water, and dQa is the heat transfer rate on the secondary air/water interface, including latent and sensible heat transfer rate (i.e., dQa,l and dQa,s). dQw, dQa,s and dQa,l are calculated by using Equations (6)–(8),
d Q w = ( m w + m w z d z ) c w ( T w + T w z d z ) m w c w T w
d Q a , s = h a ( T w T a ) η o , a d A
d Q a , l = ( r w k d ) a ( W w W a ) β d A
where ha and kd are heat and mass transfer coefficients of secondary air, ηo,a is overall fin efficiency of the secondary air channel. rw is the specific enthalpy of water vapor at local temperature and β is the surface wettability factor.
The mass exchange between secondary air and water can be given by,
m w z d z = m a W a z d z = k d , a ( W w W a ) β d A
When local plate surface temperature Twall is higher than the dew point temperature of primary air Tp,dp, primary air only transfers sensible heat dQp,s to cold side of TEC modules. The heat balance in the dry channel within each segment can be written as,
d Q c = d Q p , s
d Q p , s = h p ( T p T wall ) η o , p d A
where Tp is the primary air temperature, ηo,p is overall fin efficiency of the primary air channel.
When Twall is lower than Tp,dp, both sensible and latent heat transfer occur. Then, we have,
d Q c = d Q p , s + d Q p , l
d Q p , l = ( r w k d ) p ( W p W wall ) β d A
The mass exchange between primary air and wall is as follows,
m p W p z d z = m cond z d z = k d , p ( W p W wall ) β d A
The heat transfer coefficient ha and hp can be calculated by [17],
h = 36.31 ( ρ u ) 0.68 ( L D e ) 0.08
where μ is the air velocity, De is the channel equivalent diameter, and L is the air channel length. Mass transfer coefficient kd,a and kd,p can be calculated by,
k d = h c p
The heat transfer coefficient of water film is written as [17],
N u w = h w δ w λ w = 1.88
where δw is the water film thickness calculated by using Equation (18) as follows,
δ w = ( 3 ν w m w ρ w g L ) 1 3
Normally, dew-point effectiveness εdp and coefficient of performance (COP) are used to evaluate the overall system performance, which can be obtained by using Equations (18) and (19) [18],
ε dp = T p , i T p , o T p , i T p , dp
COP = Q c N
where Tp,i and Tp,o are inlet and outlet temperature of primary air. Total energy consumption of pumps, fans, and TEC modules N is calculated by the following equation [19],
N = N p + N s + N e = G p Δ P p η p + G s Δ P s η s + n [ I 2 R 0 + α 0 I ( T h T c ) ]
Fan efficiencies ηp and ηs are assumed to be 0.75 [20].
When condensation occurs in the dry channel, some new parameters need to be introduced to indicate the effect of latent heat exchange, i.e., enlargement ratio ξ and dehumidification ratio φ,
ξ = Q p , l + Q p , s Q p , s
φ = W p , i W p , o W p , i

4. Results and Discussion

Numerical investigations have been conducted to evaluate the performance of the novel TIEC system under different states (i.e., condensation state and non-condensation state). Table 1 shows key geometrical and operating parameters. Commonly used commercial Bi2Te3 based TEC modules (CP1.4-127-06L) are used as thermoelectric materials, and the corresponding parameters are chosen according to Reference [9].
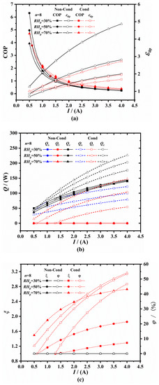
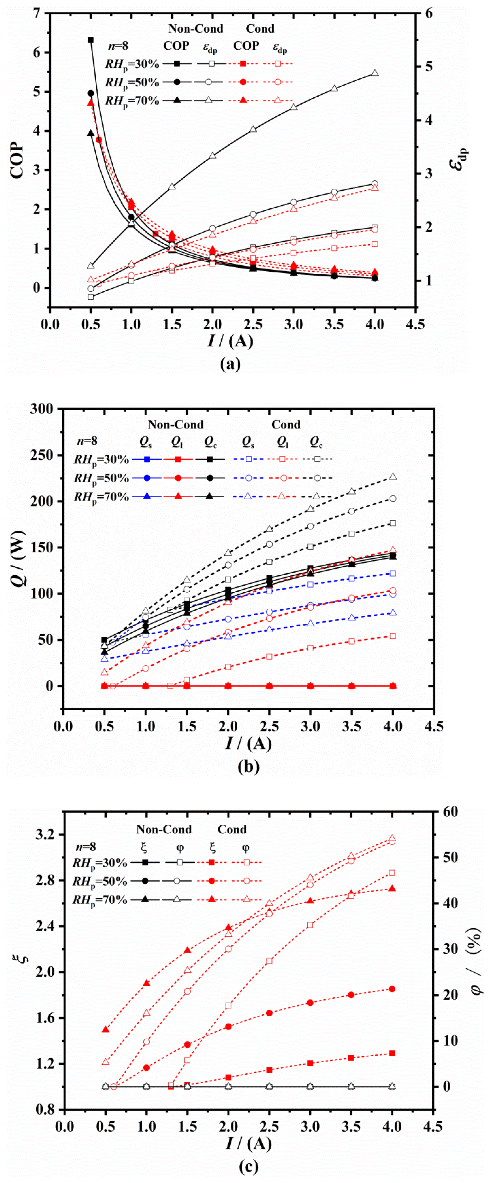
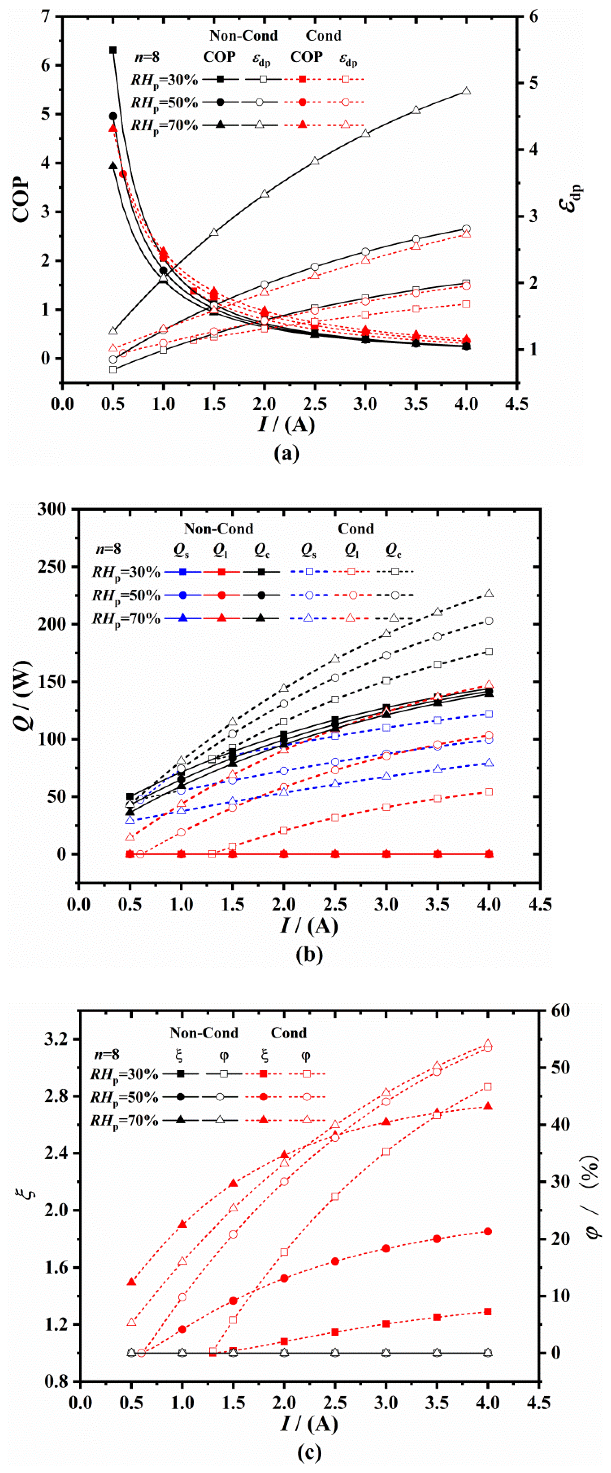
Figure 3a shows the variation trends of COP and εdp with the electric current I under non-condensation (i.e., Non-cond) and condensation (i.e., Cond) conditions. It can be seen that higher I leads to higher εdp, but lower COP. When the RHp keeps as 30%, condensation occurs in dry channel when the current I is higher than 1.3 A. When the RHp is 50%, condensation occurs when the current I is higher than 0.6 A. And when the RHp is 70%, the condensation occurs when the current I is lower than 0.5 A. To conclude, when the RHp is higher, condensation is more likely to occur under lower I. As is known that condensation occurs when the plate surface temperature of the primary air channel is decreased to lower than dew point temperature Tp,dp. And when the inlet primary air temperature is constant, higher RHp leads to higher Tp,dp. Thus, the plate surface temperature leading to condensation could be reached under lower I. Under both non-condensation and condensation state, εdp increases with the RHp increasing from 30% to 70%. However, with the increase of RHp, COP under non-condensation state decreases and COP under condensation state increases. In addition, condensation from primary air would decrease εdp up to 45.0% and increase the COP up to 62.2% by comparing the red lines under condensation conditions and black lines under non-condensation conditions. Once condensation occurs, latent heat transfer would appear and release heat to the plate, resulting in the increase of plate temperature, and then the increase of the outlet air temperature Tp,o, which finally leads to the decrease of εdp (εdp = (Tp,iTp,o)/(Tp,iTpd,i)). As shown in Figure 1b, when condensation occurs, the sensible heat transfer rate Qs decreases, but the latent heat transfer rate Q l increases, thus, total heat transfer rate Qc increases, which finally raises the value of COP (COP = Qc/N). Therefore, the latent heat transfer Q l plays a significant role in the heat and mass transfer process under condensation conditions. Moreover, when I is higher, the εdp under condensation state is much lower than those under non-condensation state. That is because that when I is higher, the plate temperature is lower, the driving force of mass transfer is larger, and thus, more latent heat is released. Figure 3c further shows that with considering condensation, both the enlargement ratio ξ and dehumidification ratio φ rise with the increases of I and RHp. The value of ξ could even reach 2.73 when I is 4 A and RHp is 70%, which means the Q l from condensation is much more higher than Qs. The dehumidification ratio φ increases by more than 50% when I is 4 A and the RHp is 70%.
Figure 4 shows the variation trends of COP and εdp with the TEC module number n under different RHp. It is shown that with the increase of n, COP decrease, while εdp increases. When RHp is higher, condensation occurs under lower n. With the RHp as 30%, non-condensation state takes place with n ranging from 8 to 25. With the RHp as 50%, εdp decreases by up to 7.5% and COP increases by up to 16.5% once condensation occurs when TEC module n is higher than 12. As RHp increases to 70%, condensation occurs throughout the range of TEC module n, which leads to a remarkable decrease of εdp by up to 26.1% and increase of COP by up to 58.8%.
Figure 5 displays the value of COP and εdp with primary air inlet temperature Tp,i under non-condensation and condensation states. With n as 10 and I as 0.5 A, condensation occurs when Tp,i is higher than 39 °C. With n as 15 and I as 0.5 A, condensation occurs when Tp,i is higher than 29 °C. With n as 10 and I as 1.0 A, condensation occurs when Tp,i is lower than 25 °C. To conclude, when n and I are higher, condensation tends to occur under lower Tp,i. When the Tp,i increases from 25 °C to 45 °C, COP increases monotonously under all given conditions. The dew point effectivness εdp increases with the Tp,i growing under non-condensation state. However, under condensation state, there exists a maximum εdp of 0.96 when n is 10 and I is 0.5 A, a maximum εdp of 1.01 when n is 15 and I is 0.5, and a maximum εdp of 1.16 when n is 10 and I is 1.0 A. In addition, in the given rages of Tp,i, condensation from primary air would decrease εdp by up to 24.5% and increase the COP by up to 31.2% by comparing the red lines under condensation conditions and black lines under non-condensation conditions.
Figure 6 presents the impact of inlet velocity of primary air Vp on the COP and εdp. COP increases and εdp decreases with Vp under given condition. The increase of Vp could lead to a larger mass flow rate and a larger cooling capacity, resulting in the increase of COP. However, the increase of Vp weakens the heat transfer between plate and primary air, leading to the decrease of the primary air outlet temperature, and then the decrease of εdp. The condensation disappears when Vp is larger than 2.5 m/s when RHp is 50%. And when RHp is 70%, the gape between εdp curves under non-condensation and condensation states becomes more narrow with the increase of Vp. The above results show that condensation is more likely occur under lower Vp. In addition, in the given rages of Vp, condensation from primary air would decrease εdp by up to 25.8% and increase the COP by up to 49.8%.
Figure 7 illustrates variation trends of COP and εdp with mass flow rate ratio x of secondary air to primary air. It can be seen that with RHp as 70%, condensation occurs throughout the given range of x, with RHp as 50%, condensation occurs when x is greater than 0.5, and with RHp as 30% non-condensation occurs. To conclude, when RHp is higher, condensation is more likely to occur under lower x. εdp increases monotonously with x under certain RHp. In the given rages of x, condensation from primary air would decrease εdp up to 26.6% and increase the COP up to 36.9% by comparing the red lines under condensation conditions and black lines under non-condensation conditions. Moreover, a maximal COP exists with an optimal x.

5. Conclusions

A numerical model of a novel thermoelectric assisted plate-fin indirect evaporative cooling system with especially considering effect of condensation from primary air is developed to evaluate the system performance. With the assistance of TEC modules, the plate surface temperature of the dry channel could be much lower than the dew point temperature of the fresh air, thus, condensate easily occurs. The condensation of the primary air reduces the dew point effectiveness by up to 45.0% by weakening the sensible heat transfer and raises the COP by up to 62.2% by increasing the latent heat transfer under given conditions. Thus, condensation from the the primary air is nonnegligible for the performance analysis of the novel cooling system. When RHp is higher, condensation is more likely to occur under lower I, n and x. Higher I and higher n lead to lower plate temperature, which promotes the condensation. When n and I are higher, condensation tends to occur under lower Tp,i. In addition, condensation is more likely occur under lower Vp.

Author Contributions

Conceptualization and methodology, Y.Z.; software and data curation, Z.Y. and M.G.; investigation, Y.Z., Z.Y. and M.G.; writing—original draft preparation, Z.Y. and M.G.; writing—review and editing, Y.Z., Q.D. and Y.Y.; supervision and project administration, Y.Z., Q.D. and Y.Y. All authors have read and agreed to the published version of the manuscript.

Funding

This research was funded by “the National Natural Science Foundation of China, grant number 51706099”, and “the Research Fund of Key Laboratory of Aircraft Environment Control and Life Support, MIIT, Nanjing University of Aeronautics and Astronautics, grant number KLAECLS-E-201905”, “Natural Science Foundation of Jiangsu Province, grant number BK20190469”, and “National Natural Science Foundation of China, grant number 52006100”.

Conflicts of Interest

The authors declare no conflict of interest.

Nomenclature

AArea (m2)
cSpecific heat (J kg−1 K−1)
COPCoefficient of performance
HHeight (m)
hHeat transfer coefficient (W m−2 K−1)
IWorking current (A)
kdMass transfer coefficient (kg m−2 s−1)
K0Total thermal conductance of TEC module (W K−1)
mMass flow rate (kg s−1)
NEnergy consumption (W)
nTEC module number
ΔPPressure drop (Pa)
QHeat transfer rate (W)
R0Total electrical resistance (Ω)
RHRelative humidity
rwSpecific enthalpy of water vapor (J kg−1)
TTemperature (°C)
WHumidity ratio (kg kg−1)
Greek symbols
α0Seebeck coefficient (V K−1)
βSurface wettability factor
εdpDew point effectiveness
η0Overall fin efficiency
δThickness (m)
σCondensation ratio
ξEnlargement ratio
φDehumidification ratio
Subscripts
aSecondary air
cCold-side
condCondensation
hHot-side
iInlet
lLatent
oOutlet
pPrimary air
dpDew point
sSensible
wWater film

References

  1. Zhang, L.; Zha, X.; Song, X.; Zhang, X. Optimization analysis of a hybrid fresh air handling system based on evaporative cooling and condensation dehumidification. Energy Convers. Manag. 2019, 180, 83–93. [Google Scholar] [CrossRef]
  2. Jafarian, H.; Sayyaadi, H.; Torabi, F. A numerical model for a dew-point counter-flow indirect evaporative cooler using a modified boundary condition and considering effects of entrance regions. Energy 2017, 84, 36–51. [Google Scholar] [CrossRef]
  3. Hasan, A. Indirect evaporative cooling of air to a sub-wet bulb temperature. Appl. Therm. Eng. 2010, 30, 2460–2468. [Google Scholar] [CrossRef]
  4. Anisimov, S.; Pandelidis, D. Theoretical study of the basic cycles for indirect evaporative air cooling. Int. J. Heat Mass Transf. 2015, 84, 974–989. [Google Scholar] [CrossRef]
  5. Heidarinejad, G.; Bozorgmehr, M.; Delfani, S.; Esmaeelian, J. Experimental investigation of two-stage indirect/direct evaporative cooling system in various climatic conditions. Build. Environ. 2019, 44, 2073–2079. [Google Scholar] [CrossRef]
  6. Moshari, S.; Heidarinejad, G.; Fathipour, A. Numerical investigation of wet-bulb effectiveness and water consumption in one-and two-stage indirect evaporative coolers. Energy Convers. Manag. 2016, 108, 309–321. [Google Scholar] [CrossRef]
  7. Khalajzadeh, V.; Farmahini-Farahani, M.; Heidarinejad, G. A novel integrated system of ground heat exchanger and indirect evaporative cooler. Energy Build. 2012, 49, 604–610. [Google Scholar] [CrossRef]
  8. Farahani, M.F.; Heidarinejad, G.; Delfani, S. A two-stage system of nocturnal radiative and indirect evaporative cooling for conditions in Tehran. Energy Build. 2010, 42, 2131–2138. [Google Scholar] [CrossRef]
  9. Zhou, Y.; Zhang, T.; Wang, F.; Yu, Y. Performance analysis of a novel thermoelectric assisted indirect evaporative cooling system. Energy 2018, 162, 299–308. [Google Scholar] [CrossRef]
  10. Liu, Z.; Allen, W.; Modera, M. Simplified thermal modeling of indirect evaporative heat exchangers. HVAC R Res. 2013, 19, 257–267. [Google Scholar]
  11. Ren, C.; Yang, H. An analytical model for the heat and mass transfer processes in indirect evaporative cooling with parallel/counter flow configurations. Int. J. Heat Mass Transf. 2006, 49, 617–627. [Google Scholar]
  12. Hasan, A. Going below the wet-bulb temperature by indirect evaporative cooling: Analysis using a modifiedε-NTU method. Appl. Energy 2012, 89, 237–245. [Google Scholar] [CrossRef]
  13. Chen, Y.; Yang, H.; Luo, Y. Parameter sensitivity analysis and configuration optimization of indirect evaporative cooler (IEC) considering condensation. Appl. Energy 2017, 194, 440–453. [Google Scholar]
  14. Min, Y.; Chen, Y.; Yang, H. Numerical study on indirect evaporative coolers considering condensation: A thorough comparison between cross flow and counter flow. Int. J. Heat Mass Transf. 2019, 131, 472–486. [Google Scholar] [CrossRef]
  15. Pandelidis, D.; Cichoń, A.; Pacak, A.; Anisimov, S.; Drąg, P. Counter-flow indirect evaporative cooler for heat recovery in the temperate climate. Energy 2018, 165, 877–894. [Google Scholar] [CrossRef]
  16. Zhou, Y.; Yu, J. Design optimization of thermoelectric cooling systems for applications in electronic devices. Int. J. Refrig. 2012, 35, 1139–1144. [Google Scholar] [CrossRef]
  17. Stoitchkov, N.J.; Dimitrov, G.I. Effectiveness of crossflow plate heat exchanger for indirect evaporative cooling: Efficacité des échangeurs thermiques à plaques, à courants croises pour refroidissement indirect évaporatif. Int. J. Refrig. 1998, 21, 463–471. [Google Scholar] [CrossRef]
  18. Anisimov, S.; Pandelidis, D.; Danielewicz, J. Numerical study and optimization of the combined indirect evaporative air cooler for air-conditioning systems. Energy 2015, 80, 452–464. [Google Scholar] [CrossRef]
  19. Ham, S.W.; Jeong, J.W. DPHX (dew point evaporative heat exchanger): System design and performance analysis. Energy 2016, 101, 132–145. [Google Scholar] [CrossRef]
  20. Xu, P.; Ma, X.; Diallo, M.O.T.; Zhao, X.; Fancey, K.; Li, D.; Chen, H. Numerical investigation of the energy performance of a guideless irregular heat and mass exchanger with corrugated heat transfer surface for dew point cooling. Energy 2016, 109, 803–817. [Google Scholar] [CrossRef]
Figure 1. (a) Schematic diagram of a counter-flow plate-fin TIEC system; (b) a counter-flow plate-fin indirect evaporative cooler with TEC modules.
Figure 1. (a) Schematic diagram of a counter-flow plate-fin TIEC system; (b) a counter-flow plate-fin indirect evaporative cooler with TEC modules.
Processes 09 00332 g001
Figure 2. Control volume of the counter-flow plate-fin TEC/indirect evaporative cooler.
Figure 2. Control volume of the counter-flow plate-fin TEC/indirect evaporative cooler.
Processes 09 00332 g002
Figure 3. (a) COP and ε dp versus I; (b) Qs and Ql versus I; (c) Enlargement ratio ξ and dehumidification ratio φ versus I.
Figure 3. (a) COP and ε dp versus I; (b) Qs and Ql versus I; (c) Enlargement ratio ξ and dehumidification ratio φ versus I.
Processes 09 00332 g003
Figure 4. COP and εdp versus n under various RHp.
Figure 4. COP and εdp versus n under various RHp.
Processes 09 00332 g004
Figure 5. COP and εdp versus Tp,i under various I and n.
Figure 5. COP and εdp versus Tp,i under various I and n.
Processes 09 00332 g005
Figure 6. COP and εdp versus Vp under various I and n.
Figure 6. COP and εdp versus Vp under various I and n.
Processes 09 00332 g006
Figure 7. COP and εdp versus mass flow rate ratio x under various I and n.
Figure 7. COP and εdp versus mass flow rate ratio x under various I and n.
Processes 09 00332 g007
Table 1. Key geometrical and operating parameters.
Table 1. Key geometrical and operating parameters.
Primary air dry-bulb temperature35 °C
Primary air velocity3 m/s
Primary air relative humidity30–70%
Mass flow rate ratio x r , p (i.e., m r / m p )0.42
Channel length0.5 m
Channel height0.5 m
Channel width5 mm
Fin thickness0.2 mm
Fin pitch10 mm
Intermediate plate thickness1.5 mm
Publisher’s Note: MDPI stays neutral with regard to jurisdictional claims in published maps and institutional affiliations.

Share and Cite

MDPI and ACS Style

Zhou, Y.; Yan, Z.; Gao, M.; Dai, Q.; Yu, Y. Numerical Investigation of a Novel Plate-Fin Indirect Evaporative Cooling System Considering Condensation. Processes 2021, 9, 332. https://doi.org/10.3390/pr9020332

AMA Style

Zhou Y, Yan Z, Gao M, Dai Q, Yu Y. Numerical Investigation of a Novel Plate-Fin Indirect Evaporative Cooling System Considering Condensation. Processes. 2021; 9(2):332. https://doi.org/10.3390/pr9020332

Chicago/Turabian Style

Zhou, Yuanyuan, Zhen Yan, Ming Gao, Qiumin Dai, and Yanshun Yu. 2021. "Numerical Investigation of a Novel Plate-Fin Indirect Evaporative Cooling System Considering Condensation" Processes 9, no. 2: 332. https://doi.org/10.3390/pr9020332

APA Style

Zhou, Y., Yan, Z., Gao, M., Dai, Q., & Yu, Y. (2021). Numerical Investigation of a Novel Plate-Fin Indirect Evaporative Cooling System Considering Condensation. Processes, 9(2), 332. https://doi.org/10.3390/pr9020332

Note that from the first issue of 2016, this journal uses article numbers instead of page numbers. See further details here.

Article Metrics

Back to TopTop