Diazotrophic Behaviour in a Non-Sterile Bioreactor: The Effect of O2-Availability
Abstract
:1. Introduction
2. Materials and Methods
2.1. Materials and Reagents
2.2. Equipment
2.3. Experimental Methods and Analyses
2.3.1. Inoculum Procurement and Development
2.3.2. Mass-Transfer Experiments
2.3.3. Experimental Conditions
2.3.4. Sample Analysis
2.3.5. C:N Determination
2.3.6. ngDNA Sequencing
2.3.7. Statistical Analysis
3. Results and Discussion
3.1. Diazotrophic Growth
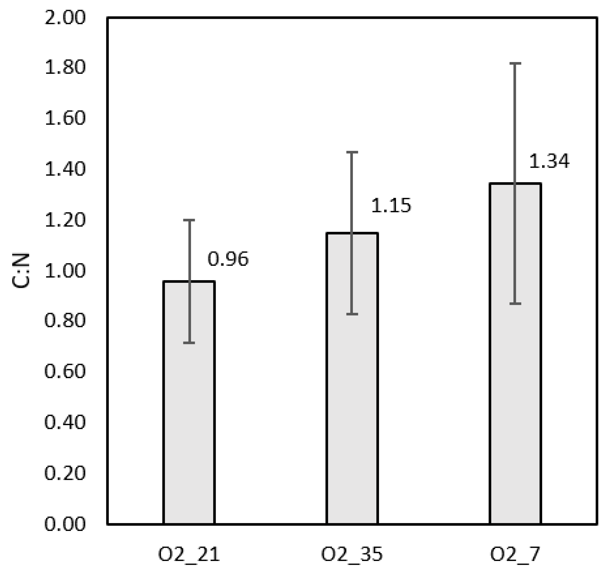
3.2. C:N Ratios
3.3. ngDNA Sequencing
4. Conclusions
Supplementary Materials
Author Contributions
Funding
Data Availability Statement
Acknowledgments
Conflicts of Interest
References
- Population Action International. Why Population Matters to Food Security; Population Action International: Washington, DC, USA, 2011; pp. 1–4. [Google Scholar]
- Hester, R.; Harrison, R. Soils and Food Security, 1st ed.; Royal Society of Chemistry: Cambridge, UK, 2012; pp. i–vi. [Google Scholar]
- Kozai, T.; Niu, G.; Takagaki, M. Plant Factory: An Indoor Vertical Farming System for Efficient Quality Food Production, 1st ed.; Elsevier Science and Technology: Amsterdam, The Netherland, 2015; pp. 1–10. [Google Scholar]
- OECD. Human Acceleration of the Nitrogen Cycle: Managing Risks and Uncertainty; IWA Publishing: London, UK, 2018. [Google Scholar]
- Barnard, J. Biological Nutrient Removal—Quo Vadis. In Proceedings of the 93rd Annual Conference—Michigan Water Environment Association, Boyne Falls, MI, USA, 24–27 June 2018. [Google Scholar]
- Chen, S.; Perathoner, S.; Ampelli, C.; Centi, G. Chapter 2—Electrochemical Dinitrogen Activation: To Find a Sustainable Way to Produce Ammonia. Stud. Surf. Sci. Catal. 2019, 178, 31–46. [Google Scholar]
- Mitsushima, S.; Hacker, V. Fuel Cells and Hydrogen, 1st ed.; Elsevier: Amsterdam, The Netherland, 2018; pp. 243–255. [Google Scholar]
- Kuypers, M.; Marchant, H.; Kartal, B. The microbioal nitrogen-cycling network. Nat. Rev. 2018, 16, 263–276. [Google Scholar]
- Mahanty, T.; Bhattacharjee, S.; Goswami, M.; Bhattacharyya, P.; Das, B.; Ghosh, A.; Tribedi, P. Biofertilizer: A potential approach for sustainable agricultural development. Environ. Sci. Pollut. Resolut. 2018, 24, 3315–3335. [Google Scholar] [CrossRef]
- Oelze, J. Respiratory protection of nitrogenase in Azotobacter species: Is a widely held hypothesis unequivocally supported by experimental evidence? FEMS Microbiol. Rev. 2000, 24, 321–333. [Google Scholar] [CrossRef]
- Pankievicz, V.; Irving, T.; Maia, L.; Ané, J. Are we there yet? The long walk towards the development of efficient symbiotic associations between nitrogen-fixing bacteria and non-leguminous crops. BMC Biol. 2019, 17, 99. [Google Scholar] [CrossRef] [Green Version]
- Singh, R.; Ryu, J.; Kim, S. Microbial consortia including methanotrophs: Some benefits of living together. J. Microbiol. 2019, 57, 939–952. [Google Scholar] [CrossRef]
- Brewin, B.; Woodley, P.; Drummond, M. The Basis of Ammonium Release in nifL Mutants of Azotobacter vinelandii. J. Bacteriol. 1999, 181, 7356–7362. [Google Scholar] [CrossRef] [Green Version]
- Barney, B.; Plunkett, M.; Natarajan, V.; Mus, F.; Knutson, C.; Peters, J. Transcriptional Analysis of an AmmoniumExcreting Strain of Azotobacter vinelandii Deregulated for Nitrogen Fixation. Appl. Environ. Microbiol. 2017, 83, e01534-17. [Google Scholar] [CrossRef] [PubMed] [Green Version]
- Bali, A.; Blanco, G.; Hill, S.; Kennedy, C. Excretion of Ammonium by a nifL Mutant of Azotobacter vinelandii Fixing Nitrogen. Appl. Environ. Microbiol. 1992, 58, 1711–1718. [Google Scholar] [CrossRef] [PubMed] [Green Version]
- Romero-Perdomo, F.; Camelo-Rusinque, M.; Criollo-Campos, P.; Bonilla-Buitrago, R. Effect of temperature and pH on the biomass production of Azospirillum brasilense C16 isolated from Guinea grass. Pastos Y Forraje 2015, 38, 231–233. [Google Scholar]
- Merck KGaA. Nitrogen (Total) Cell Test. 2021. Available online: https://www.sigmaaldrich.com/ZA/en/product/mm/100613 (accessed on 6 October 2021).
- PacBio. Procedure & Checklist—Full-Length 16S Amplification, SMRTbellR Library Preparation and Sequencing. 2018. Available online: https://dnatech.genomecenter.ucdavis.edu/wp-content/uploads/2018/07/PacBio-Full-Length-16S-Sequencing-Protocol-June2018.pdf (accessed on 6 October 2021).
- Somerfield, P. Identification of the Bray-Curtis similarity index: Comment on Yoshioka. Mar. Ecol. Prog. Ser. 2008, 372, 303–306. [Google Scholar] [CrossRef] [Green Version]
- Smercina, D.; Evans, S.; Friesen, M.; Tiemanna, L. To Fix or Not To Fix: Controls on Free-Living Nitrogen Fixation in the Rhizosphere. Appl. Environ. Microbiol. 2019, 86, e02546-18. [Google Scholar] [CrossRef] [PubMed] [Green Version]
- Kövilein, A.; Kubisch, C.; Cai, L.; Ochsenreither, K. Malic acid production from renewables: A review. J. Chem. Technol. Biotechnol. 2020, 95, 513–526. [Google Scholar] [CrossRef] [Green Version]
- Wang, D.; Xu, A.; Elmerich, C.; Ma, L. Biofilm formation enables free-living nitrogen-fixing rhizobacteria to fix nitrogen under aerobic conditions. ISME J. 2017, 11, 1602–1613. [Google Scholar] [CrossRef] [Green Version]
- Lexow, W.G.; Sekgetho, C.M.; Brink, H.G.; Nicol, W. Identifying Energy Extraction Optimisation Strategies for A. succinogenes. Catalysts 2021, 11, 1016. [Google Scholar] [CrossRef]
- Bailey, W. Biofilms: Formation, Development and Properties; Nova Science Publishers: New York, NY, USA, 2011. [Google Scholar]
- Nielsen, J.; Villadsen, J. Bioreaction Engineering Principles; Springer: Boston, MA, USA, 1994. [Google Scholar]
- Iwata, K.; Azlan, A.; Yamakawa, H.; Omori, T. Ammonia accumulation in culture broth by the novel nitrogen-fixing bacterium, Lysobacter sp. E4. J. Biosci. Bioeng. 2010, 110, 415–418. [Google Scholar] [CrossRef]
- de Souza Pinto Lemgruber, R.; Valgepea, K.; Tappel, R.; Behrendorffb, J.; Palfreyman, R.; Plan, M.; Hodson, M.; Simpson, S.; Nielsen, L.; Köpke, N.; et al. Systems-level engineering and characterisation of Clostridium autoethanogenum through heterologous production of poly-3-hydroxybutyrate (PHB). Metab. Eng. 2019, 53, 14–23. [Google Scholar] [CrossRef]
- Dhole, A.; Shelat, H.; Deepak, P. Chryseobacterium indologenes A Novel Root Nodule Endophyte in Vigna radiata. Int. J. Curr. Microbiol. Appl. Sci. 2017, 6, 836–844. [Google Scholar]
- Giri, S.; Pati, B. A comparative study on phyllosphere nitrogen fixation by newly isolated Corynebacterium sp. & Flavobacterium sp. and their potentialities as biofertilizer. Acta Microbiol. Immunol. Hung. 2004, 51, 47–56. [Google Scholar]
- Naqqash, T.; Imran, A.; Hameed, S.; Shahid, M.; Majeed, A.; Iqbal, J.; Hanif, M.; Ejaz, S.; Malik, K. First report of diazotrophic Brevundimonas spp. as growth enhancer and root colonizer of potato. Sci. Rep. 2020, 10, 12893. [Google Scholar] [CrossRef]
- Kaminski, P.; Mandon, K.; Arigoni, F.; Desnoues, N.; Elmerich, C. Regulation of nitrogen fixation in Azorhizobium caulinodans: Identification of a fixK-like gene, a positive regulator of nifA. Mol. Microbiol. 1991, 5, 1983–1991. [Google Scholar] [CrossRef] [PubMed]
- Calderón, G.; García, E.; Rojas, P.; García, E.; Rosso, M.; Losada, A. Chryseobacterium indologenes infection in a newborn: A case report. J. Med. Case Rep. 2011, 5, 10. [Google Scholar] [CrossRef] [PubMed] [Green Version]
- De Donno Novelli, L.; Moreno, S.; Rene, E. Polyhydroxyalkanoate (PHA) production via resource recovery from industrial waste streams: A review of techniques and perspectives. Bioresour. Technol. 2021, 331, 124985. [Google Scholar] [CrossRef]
- Jurat-Fuentes, J.; Jackson, T. Chapter 8—Bacterial Entomopathogens, 2nd ed.; Academic Press: Cambridge, MA, USA, 2012; pp. 265–349. [Google Scholar]
- Gtari, M.; Ghodhbane-Gtari, F.; Nouioui, I.; Beauchemin, N.; Tisa, L. Phylogenetic perspectives of nitrogen-fixing actinobacteria. Arch. Microbiol. 2012, 194, 3–11. [Google Scholar] [CrossRef] [PubMed]
- Osman, Y.; Elrazak, A.; Khater, W. Bioprocess Optimization of Microbial Biopolymer Production. J. Biobased Mater. Bioenergy 2016, 10, 119–128. [Google Scholar] [CrossRef]
- Orozco-Medina, C.; López-Cortés, A.; Maeda-Martínez, A. Aerobic Gram-positive heterotrophic bacteria Exiguobacterium mexicanum and Microbacterium sp. in the gut lumen of Artemia franciscana larvae under gnotobiotic conditions. Curr. Sci. 2009, 96, 120–129. [Google Scholar]
- Ali, I.; Jamil, N. Biosynthesis and genetics of polyhydroxyalkanoates by newly isolated Pseudomonas aeruginosa IFS and 30N using inexpensive carbon sources. Int. J. Environ. Sci. Technol. 2017, 14, 1879–1888. [Google Scholar] [CrossRef]
- Bhuwal, A.; Singh, G.; Aggarwal, K.; Goyal, V.; Yadav, A. Isolation and Screening of Polyhydroxyalkanoates Producing Bacteria from Pulp, Paper, and Cardboard Industry Wastes. Int. J. Biomater. 2013, 2013, 752821. [Google Scholar] [CrossRef] [Green Version]
- Nojima, S.; Mineki, S.; Iida, M. Purification and characterization of extracellular poly(3-hydroxybutyrate) depolymerases produced by Agrobacterium sp. K-03. J. Ferment. Bioeng. 1996, 81, 72–75. [Google Scholar] [CrossRef]
- Van Montagu, M.; Zambryski, P. Agrobacterium and Ti Plasmids; Elsevier: Amsterdam, The Netherlands, 2017. [Google Scholar]
- Earth Observing System. Nitrogen Fixation: N-Fixing Plants And Bacteria. 2021. Available online: https://eos.com/blog/nitrogen-fixation/ (accessed on 20 September 2021).
- Rai, S.; Solanki, A.; Anal, A. Modern Biotechnological Tools: An Opportunity to Discover Complex Phytobiomes of Horticulture Crops; Academic Press: Cambridge, MA, USA, 2021; pp. 85–124. [Google Scholar]
- Copeland, A.; Lucas, S.; Lapidus, A.; Barry, K.; Detter, J.C.; Glavina del Rio, T.; Dalin, E.; Tice, H.; Pitluck, S.; Chertkov, O.; et al. Proteomes—Acidovorax sp. (Strain JS42). UniProt Database. 2006. Available online: https://www.uniprot.org/proteomes/UP000000645 (accessed on 20 September 2021).
- Feng, Y.; Feng, J.; Shu, Q. Isolation and characterization of heterotrophic nitrifying and aerobic denitrifying Klebsiella pneumoniae and Klebsiella variicola strains from various environments. J. Appl. Microbiol. 2018, 124, 1195–1211. [Google Scholar] [CrossRef]
- Apparao, A.; Krishnaswamy, V. Production of Polyhydroxyalkanoate (PHA) by a Moderately Halotolerant Bacterium Klebsiella pneumoniae U1 Isolated from Rubber Plantation Area. Int. J. Environ. Bioremediat. Biodegrad. 2015, 3, 54–61. [Google Scholar]







| Keywords | Scopus | Web of Science | Science Direct | Average | ||||
|---|---|---|---|---|---|---|---|---|
| # | (%) | # | (%) | # | (%) | (%) | ||
| Diazotrophs | 1428 | 100.00 | 1401 | 100.00 | 2074 | 100.00 | 100.00 | |
| Diazotrophs | free-living | 552 | 38.66 | 141 | 10.06 | 858 | 41.37 | 30.03 |
| Diazotrophs | aerobic | 271 | 18.98 | 38 | 2.71 | 674 | 32.50 | 18.06 |
| Diazotrophs | batch | 80 | 5.60 | 10 | 0.71 | 265 | 12.78 | 6.36 |
| Diazotrophs | bio-fertilizer | 16 | 1.12 | 7 | 0.50 | 214 | 10.32 | 3.98 |
| Diazotrophs | bioreactor | 25 | 1.75 | 2 | 0.14 | 95 | 4.58 | 2.16 |
| Diazotrophs | chemostat | 19 | 1.33 | 2 | 0.14 | 62 | 2.99 | 1.49 |
| Bioreactor | 90,865 | 100.00 | 41,397 | 100.00 | 79,249 | 100.00 | 100.00 | |
| Bioreactor | fertilizer | 2381 | 2.62 | 189 | 0.46 | 5652 | 7.13 | 3.40 |
| Bioreactor | nitrogen fixation | 1207 | 1.33 | 47 | 0.11 | 3719 | 4.69 | 2.04 |
| Run | Yield (g/g) | Productivity (mg/L·h) | Growth Rate (g/L·h) | Glucose Consumption Rate (g/L·h) |
|---|---|---|---|---|
| O_21 | 0.20 | 6.03 | 0.0732 ± 0.003 | 0.262 ± 0.003 |
| O_35 | 0.19 | 7.59 | 0.0820 ± 0.006 | 0.393 ± 0.031 |
| O_7 | 0.12 | 2.75 | 0.0277 ± 0.003 | 0.207 ± 0.033 |
| Species | Description | Environment | N-Fixing | References |
|---|---|---|---|---|
| Chryseobacterium | Gram-negative, yellow bacterium commonly found in soil. The bacterium also produces plant-promoting growth hormones. | Aerobic | Yes | [28,32] |
| Flavobacterium | Gram-negative, rod-shaped bacterium found in soil and fresh water. | Aerobic | Yes | [29] |
| Pseudoxanthomonas | Gram-negative, rod-shaped bacterium | Aerobic | No | [33] |
| Azorhizophilus | Rhizobial bacterium capable of fixing nitrogen both symbiotically and in free-living conditions. | Aerobic | Yes | [31,34] |
| Microbacterium | Gram-positive, heterotrophic bacterium | Aerobic | Yes | [35,36,37] |
| Pseudomonas | Plant-growth promoting bacterium. Posseses adaptation strategy for anaerobic environments. | Aerobic | Yes | [34,38] |
| Brevundimonas | Root colonizing bacterium which also facilitates effective phosphate solubization for enhanced plant growth. | Aerobic | Yes | [30,39] |
| Agrobacterium | Gram-negative, rod-shaped bacterium | Aerobic | Yes | [40,41,42] |
| Acidovorax | Gram-negative with nitroaromatic degradation ability | Aerobic | Yes | [43,44] |
| Klebsiella | Gram-negative, heterotrophic soil bacterium | Aerobic | Yes | [45,46] |
Publisher’s Note: MDPI stays neutral with regard to jurisdictional claims in published maps and institutional affiliations. |
© 2021 by the authors. Licensee MDPI, Basel, Switzerland. This article is an open access article distributed under the terms and conditions of the Creative Commons Attribution (CC BY) license (https://creativecommons.org/licenses/by/4.0/).
Share and Cite
de Zoete, A.Y.S.; Brink, H.G.; Beukes, J.C.; van Rooyen, I.L.; Nicol, W. Diazotrophic Behaviour in a Non-Sterile Bioreactor: The Effect of O2-Availability. Processes 2021, 9, 2039. https://doi.org/10.3390/pr9112039
de Zoete AYS, Brink HG, Beukes JC, van Rooyen IL, Nicol W. Diazotrophic Behaviour in a Non-Sterile Bioreactor: The Effect of O2-Availability. Processes. 2021; 9(11):2039. https://doi.org/10.3390/pr9112039
Chicago/Turabian Stylede Zoete, Amber Yasemin Shirin, Hendrik Gideon Brink, Joshua Cornelus Beukes, Ignatius Leopoldus van Rooyen, and Willie Nicol. 2021. "Diazotrophic Behaviour in a Non-Sterile Bioreactor: The Effect of O2-Availability" Processes 9, no. 11: 2039. https://doi.org/10.3390/pr9112039
APA Stylede Zoete, A. Y. S., Brink, H. G., Beukes, J. C., van Rooyen, I. L., & Nicol, W. (2021). Diazotrophic Behaviour in a Non-Sterile Bioreactor: The Effect of O2-Availability. Processes, 9(11), 2039. https://doi.org/10.3390/pr9112039

