Simultaneous Quantitative Detection of HCN and C2H2 in Combustion Environment Using TDLAS
Abstract
:1. Introduction
2. Experimental Setup
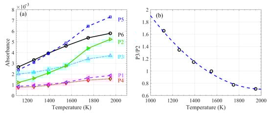
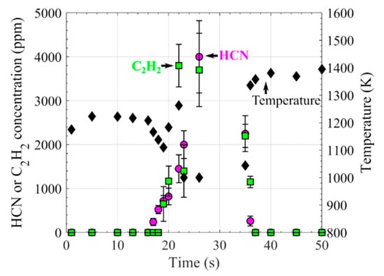
3. Results and Discussion
4. Conclusions
Supplementary Materials
Author Contributions
Funding
Institutional Review Board Statement
Informed Consent Statement
Data Availability Statement
Conflicts of Interest
References
- Sun, Z.W.; Li, Z.S.; Konnov, A.A.; Aldén, M. Quantitative HCN measurements in CH4/N2O/O2/N2 flames using mid-infrared polarization spectroscopy. Combust. Flame 2011, 158, 1898–1904. [Google Scholar] [CrossRef]
- Hot, D.; Pedersen, R.L.; Weng, W.; Zhang, Y.; Aldén, M.; Li, Z. Spatially and temporally resolved IR-DFWM measurement of HCN released from gasification of biomass pellets. Proc. Combust. Inst. 2019, 37, 1337–1344. [Google Scholar] [CrossRef]
- Goldman, A.; Rahinov, I.; Cheskis, S.; Löhden, B.; Wexler, S.; Sengstock, K.; Baev, V.M. Fiber laser intracavity absorption spectroscopy of ammonia and hydrogen cyanide in low pressure hydrocarbon flames. Chem. Phys. Lett. 2006, 423, 147–151. [Google Scholar] [CrossRef]
- Gersen, S.; Mokhov, A.V.; Levinsky, H.B. Diode laser absorption measurement and analysis of HCN in atmospheric-pressure, fuel-rich premixed methane/air flames. Combust. Flame 2008, 155, 267–276. [Google Scholar] [CrossRef]
- Lamoureux, N.; El Merhubi, H.; Mercier, X.; Pauwels, J.F.; Desgroux, P. HCN quantitative measurement in a laminar low pressure flame at 1036 nm using pulsed CRDS technique. Proc. Combust. Inst. 2013, 34, 3557–3564. [Google Scholar] [CrossRef]
- Lamoureux, N.; El Merhubi, H.; Gasnot, L.; Schoemaecker, C.; Desgroux, P. Measurements and modelling of HCN and CN species profiles in laminar CH4/O2/N2 low pressure flames using LIF/CRDS techniques. Proc. Combust. Inst. 2015, 35, 745–752. [Google Scholar] [CrossRef]
- Weng, W.; Gao, Q.; Wang, Z.; Whiddon, R.; He, Y.; Li, Z.; Aldén, M.; Cen, K. Quantitative Measurement of Atomic Potassium in Plumes over Burning Solid Fuels Using Infrared-Diode Laser Spectroscopy. Energy Fuels 2017, 31, 2831–2837. [Google Scholar] [CrossRef]
- Zhang, Z.; Li, M.; Guo, J.; Du, B.; Zheng, R. A Portable Tunable Diode Laser Absorption Spectroscopy System for Dissolved CO2 Detection Using a High-Efficiency Headspace Equilibrator. Sensors 2021, 21, 1723. [Google Scholar] [CrossRef]
- Wang, F.; Jia, S.; Wang, Y.; Tang, Z. Recent Developments in Modulation Spectroscopy for Methane Detection Based on Tunable Diode Laser. Appl. Sci. 2019, 9, 2816. [Google Scholar] [CrossRef] [Green Version]
- Li, Z.S.; Linvin, M.; Zetterberg, J.; Kiefer, J.; Aldén, M. Mid-infrared polarization spectroscopy of C2H2: Non-intrusive spatial-resolved measurements of polyatomic hydrocarbon molecules for combustion diagnostics. Proc. Combust. Inst. 2007, 31, 817–824. [Google Scholar] [CrossRef]
- Sun, Z.W.; Li, Z.S.; Li, B.; Alwahabi, Z.T.; Aldén, M. Quantitative C2H2 measurements in sooty flames using mid-infrared polarization spectroscopy. Appl. Phys. B 2010, 101, 423–432. [Google Scholar] [CrossRef]
- Farrow, R.L.; Lucht, R.P.; Flower, W.L.; Palmer, R.E. Coherent anti-stokes raman spectroscopic measurements of temperature and acetylene spectra in a sooting diffusion flame: Colloquium on combustion diagnostics. Symp. (Int.) Combust. 1985, 20, 1307–1312. [Google Scholar] [CrossRef]
- Lucht, R.; Farrow, R.L.; Palmer, R.E. Acetylene Measurements in Flames by Coherent Anti-Stokes Raman Scattering. Combust. Sci. Technol. 1986, 45, 261–274. [Google Scholar] [CrossRef]
- Williams, B.A.; Fleming, J.W. Laser-induced fluorescence detection of acetylene in low-pressure propane and methane flames. Appl. Phys. B 2002, 75, 883–890. [Google Scholar] [CrossRef]
- Mokhov, A.V.; Gersen, S.; Levinsky, H.B. Spontaneous Raman measurements of acetylene in atmospheric-pressure methane/air flames. Chem. Phys. Lett. 2005, 403, 233–237. [Google Scholar] [CrossRef]
- Fuest, F.; Barlow, R.S.; Magnotti, G.; Dreizler, A.; Ekoto, I.W.; Sutton, J.A. Quantitative acetylene measurements in laminar and turbulent flames using 1D Raman/Rayleigh scattering. Combust. Flame 2015, 162, 2248–2255. [Google Scholar] [CrossRef] [Green Version]
- Mokhov, A.V.; Bennett, B.A.V.; Levinsky, H.B.; Smooke, M.D. Experimental and computational study of C2H2 and CO in a laminar axisymmetric methane–air diffusion flame. Proc. Combust. Inst. 2007, 31, 997–1004. [Google Scholar] [CrossRef]
- Kim, H.; Aldén, M.; Brackmann, C. Suppression of unpolarized background interferences for Raman spectroscopy under continuous operation. Opt. Express 2021, 29, 1048–1063. [Google Scholar] [CrossRef]
- Wagner, S.; Fisher, B.T.; Fleming, J.W.; Ebert, V. TDLAS-based in situ measurement of absolute acetylene concentrations in laminar 2D diffusion flames. Proc. Combust. Inst. 2009, 32, 839–846. [Google Scholar] [CrossRef]
- Wagner, S.; Klein, M.; Kathrotia, T.; Riedel, U.; Kissel, T.; Dreizler, A.; Ebert, V. In situ TDLAS measurement of absolute acetylene concentration profiles in a non-premixed laminar counter-flow flame. Appl. Phys. B 2012, 107, 585–589. [Google Scholar] [CrossRef] [Green Version]
- Gordon, I.E.; Rothman, L.S.; Hill, C.; Kochanov, R.V.; Tan, Y.; Bernath, P.F.; Birk, M.; Boudon, V.; Campargue, A.; Chance, K.V.; et al. The HITRAN2016 molecular spectroscopic database. J. Quant. Spectrosc. Radiat. Transfer 2017, 203, 3–69. [Google Scholar] [CrossRef]
- Rothman, L.S.; Gordon, I.E.; Barber, R.J.; Dothe, H.; Gamache, R.R.; Goldman, A.; Perevalov, V.I.; Tashkun, S.A.; Tennyson, J. HITEMP, the high-temperature molecular spectroscopic database. J. Quant. Spectrosc. Radiat. Transfer 2010, 111, 2139–2150. [Google Scholar] [CrossRef]
- Weng, W.; Borggren, J.; Li, B.; Aldén, M.; Li, Z. A novel multi-jet burner for hot flue gases of wide range of temperatures and compositions for optical diagnostics of solid fuels gasification/combustion. Rev. Sci. Instrum. 2017, 88, 045104. [Google Scholar] [CrossRef] [PubMed] [Green Version]
- Borggren, J.; Weng, W.; Hosseinnia, A.; Bengtsson, P.-E.; Aldén, M.; Li, Z. Diode laser-based thermometry using two-line atomic fluorescence of indium and gallium. Appl. Phys. B 2017, 123, 278. [Google Scholar] [CrossRef] [PubMed] [Green Version]
- Weng, W.; Zhang, Y.; Wu, H.; Glarborg, P.; Li, Z. Optical measurements of KOH, KCl and K for quantitative K-Cl chemistry in thermochemical conversion processes. Fuel 2020, 271, 117643. [Google Scholar] [CrossRef]
- Borggren, J.; Weng, W.; Aldén, M.; Li, Z. Spatially Resolved Temperature Measurements Above a Burning Wood Pellet Using Diode Laser-Based Two-Line Atomic Fluorescence. Appl. Spectrosc. 2017, 72, 964–970. [Google Scholar] [CrossRef] [PubMed]








| Flame Case | Gas Flow Rate (SLM) | Fuel/O2 Equivalence Ratio ϕ | Gas Product Temperature (K) | H2O in Gas Product (%) | ||||
|---|---|---|---|---|---|---|---|---|
| Jet-Flow | Co-Flow | |||||||
| CH4 | Air | O2 | N2 | Air | ||||
| F1 | 2.95 | 19.20 | 2.09 | 6.84 | 7.09 | 0.78 | 1950 | 15 |
| F2 | 2.66 | 17.34 | 1.89 | 10.83 | 7.74 | 0.74 | 1750 | 13 |
| F3 | 2.47 | 12.23 | 2.58 | 18.97 | 8.90 | 0.70 | 1550 | 11 |
| F4 | 2.28 | 11.89 | 2.26 | 22.69 | 9.83 | 0.67 | 1390 | 9 |
| F5 | 2.09 | 10.90 | 2.07 | 26.50 | 10.66 | 0.63 | 1260 | 8 |
| F6 | 1.71 | 8.91 | 1.69 | 26.92 | 10.25 | 0.60 | 1120 | 7 |
| F7 | 2.66 | 17.34 | 1.89 | 18.60 | 0.00 | 0.96 | 1790 | 13 |
| Tran. | v (cm−1) | S (cm/Molecule) (1260 K) | E (cm−1) | v′ | v″ | J′ Ka′ Kc′ | J″ Ka″ Kc″ |
|---|---|---|---|---|---|---|---|
| a | 6483.840 | 2.91 × 10−24 | 5076.349 | 2 0 1 | 1 0 0 | 9 1 9 | 10 3 8 |
| b | 6484.212 | 4.30 × 10−24 | 6108.281 | 0 3 1 | 0 1 0 | 17 5 13 | 18 5 14 |
| c | 6484.411 | 1.05 × 10−23 | 1282.919 | 0 2 1 | 0 0 0 | 8 1 7 | 9 3 6 |
| d | 6484.744 | 4.08 × 10−24 | 4837.700 | 1 2 1 | 1 0 0 | 8 2 6 | 9 2 7 |
| e | 6485.234 | 6.73 × 10−24 | 4738.634 | 0 2 1 | 0 0 0 | 19 3 17 | 20 3 18 |
| f | 6485.580 | 1.75 × 10−23 | 3360.600 | 2 0 0 | 0 0 0 | 14 4 11 | 15 5 10 |
Publisher’s Note: MDPI stays neutral with regard to jurisdictional claims in published maps and institutional affiliations. |
© 2021 by the authors. Licensee MDPI, Basel, Switzerland. This article is an open access article distributed under the terms and conditions of the Creative Commons Attribution (CC BY) license (https://creativecommons.org/licenses/by/4.0/).
Share and Cite
Weng, W.; Aldén, M.; Li, Z. Simultaneous Quantitative Detection of HCN and C2H2 in Combustion Environment Using TDLAS. Processes 2021, 9, 2033. https://doi.org/10.3390/pr9112033
Weng W, Aldén M, Li Z. Simultaneous Quantitative Detection of HCN and C2H2 in Combustion Environment Using TDLAS. Processes. 2021; 9(11):2033. https://doi.org/10.3390/pr9112033
Chicago/Turabian StyleWeng, Wubin, Marcus Aldén, and Zhongshan Li. 2021. "Simultaneous Quantitative Detection of HCN and C2H2 in Combustion Environment Using TDLAS" Processes 9, no. 11: 2033. https://doi.org/10.3390/pr9112033
APA StyleWeng, W., Aldén, M., & Li, Z. (2021). Simultaneous Quantitative Detection of HCN and C2H2 in Combustion Environment Using TDLAS. Processes, 9(11), 2033. https://doi.org/10.3390/pr9112033

