Effects of Bi Substitution on the Cobalt-Free 60wt.%Ce0.9Pr0.1O2−δ-40wt.%Pr0.6Sr0.4Fe1−xBixO3−δ Oxygen Transport Membranes
Abstract
:1. Introduction
2. Experimental
2.1. Powders and Membranes Preparation
2.2. Characterization of Membranes
2.3. Oxygen Permeability of Membranes
3. Results and Discussion
3.1. Phase Structural Characterization
3.2. Surface Morphology Characterization
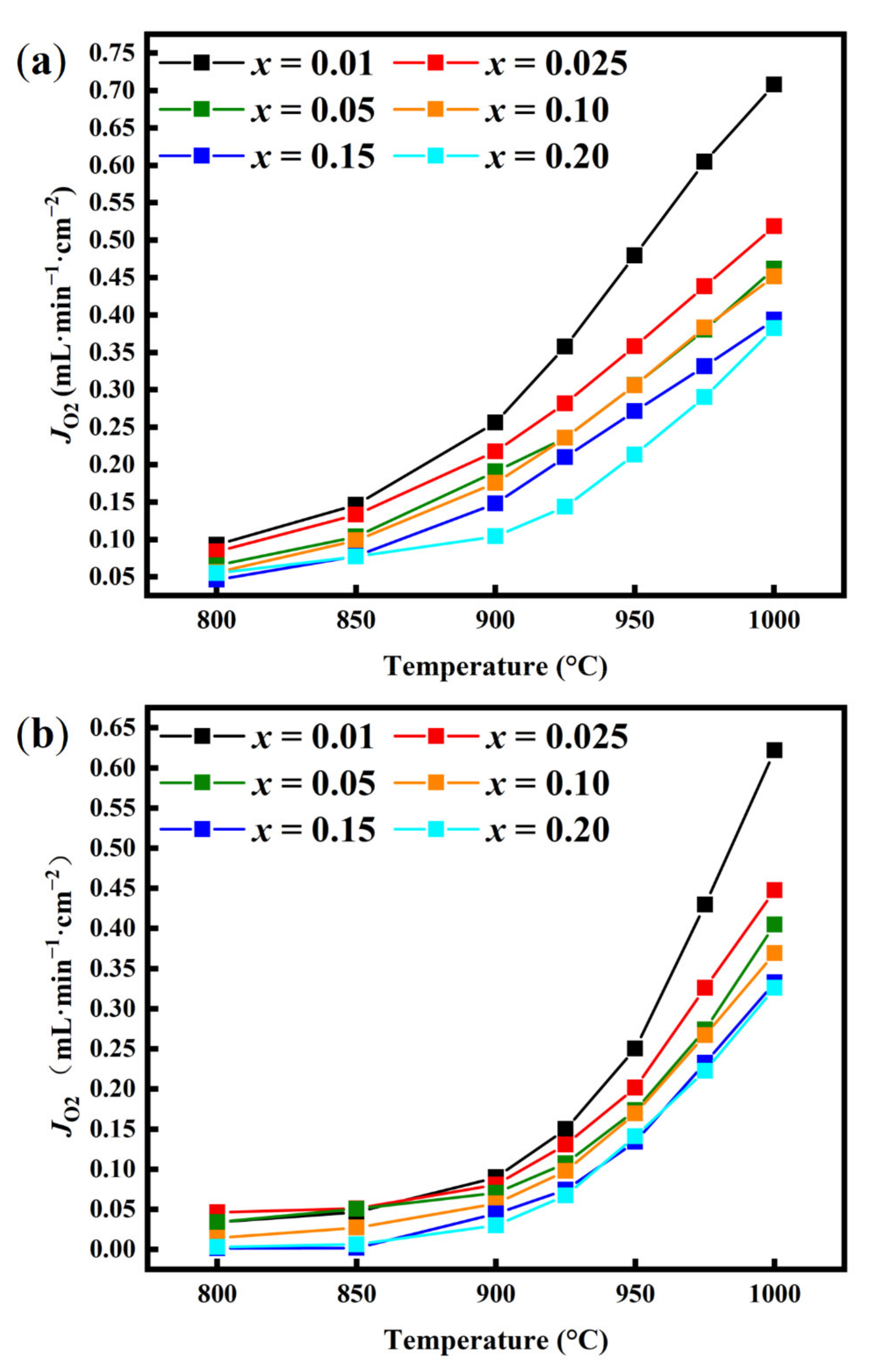
3.3. Oxygen Permeation Performance
3.4. Stabilization
4. Conclusions
Supplementary Materials
Author Contributions
Funding
Acknowledgments
Conflicts of Interest
References
- Smart, S.; Lin, C.X.C.; Ding, L.; Thambimuthu, K.; Diniz Da Costa, J.C. Ceramic membranes for gas processing in coal gasification. Energy Environ. Sci. 2010, 3, 268–278. [Google Scholar] [CrossRef]
- Eichhorn Colombo, K.; Kharton, V.V.; Bolland, O. Simulation of an Oxygen Membrane-Based Gas Turbine Power Plant: Dynamic Regimes with Operational and Material Constraints. Energy Fuels 2010, 24, 590–608. [Google Scholar] [CrossRef]
- Leo, A.; Liu, S.; Costa, J.C.D.D. Development of mixed conducting membranes for clean coal energy delivery. Int. J. Greenh. Gas Control 2009, 3, 357–367. [Google Scholar] [CrossRef]
- Zhang, G.; Jin, W.; Xu, N. Design and Fabrication of Ceramic Catalytic Membrane Reactors for Green Chemical Engineering Applications. Engineering 2018, 4, 848–860. [Google Scholar] [CrossRef]
- Jiang, H.; Wang, H.; Werth, S.; Schiestel, T.; Caro, J. Simultaneous Production of Hydrogen and Synthesis Gas by Combining Water Splitting with Partial Oxidation of Methane in a Hollow-Fiber Membrane Reactor. Angew. Chem. Int. Ed. 2008, 47, 9341–9344. [Google Scholar] [CrossRef]
- Luo, H.; Wei, Y.; Jiang, H.; Yuan, W.; Lv, Y.; Caro, J.; Wang, H. Performance of a ceramic membrane reactor with high oxygen flux Ta-containing perovskite for the partial oxidation of methane to syngas. J. Membr. Sci. 2010, 350, 154–160. [Google Scholar] [CrossRef]
- Cao, Z.; Jiang, H.; Luo, H.; Baumann, S.; Meulenberg, W.A.; Assmann, J.; Mleczko, L.; Liu, Y.; Caro, J. Natural Gas to Fuels and Chemicals: Improved Methane Aromatization in an Oxygen-Permeable Membrane Reactor. Angew. Chem. Int. Ed. 2013, 52, 13794–13797. [Google Scholar] [CrossRef]
- Alqaheem, Y.; Thursfield, A.; Zhang, G.; Metcalfe, I.S. The impact of sulfur contamination on the performance of La0.6Sr0.4Co0.2Fe0.8O3−δ oxygen transport membranes. Solid State Ion. 2014, 262, 262–265. [Google Scholar] [CrossRef] [Green Version]
- Liu, S.; Lu, X.F.; Xiao, J.; Wang, X.; Lou, X.W. Bi2O3 Nanosheets Grown on Multi-Channel Carbon Matrix to Catalyze Efficient CO2 Electroreduction to HCOOH. Angew. Chem. Int. Ed. 2019, 58, 13828–13833. [Google Scholar] [CrossRef]
- Waindich, A.; Möbius, A.; Müller, M. Corrosion of Ba1−xSrxCo1−yFeyO3−δ and La0.3Ba0.7Co0.2Fe0.8O3−δ materials for oxygen separating membranes under Oxycoal conditions. J. Membr. Sci. 2009, 337, 182–187. [Google Scholar] [CrossRef]
- Xie, J.; Ju, Y.-W.; Ishihara, T. Influence of sulfur impurities on the stability of La0.6Sr0.4Co0.2Fe0.8O3 cathode for solid oxide fuel cells. Solid State Ion. 2013, 249-250, 177–183. [Google Scholar] [CrossRef]
- Venkatalaxmi, A.; Padmavathi, B.S.; Amaranath, T. A general solution of unsteady Stokes equations. Fluid Dyn. Res. 2004, 35, 229–236. [Google Scholar] [CrossRef]
- Zhang, C.; Sunarso, J.; Liu, S. Designing CO2-resistant oxygen-selective mixed ionic–electronic conducting membranes: Guidelines, recent advances, and forward directions. Chem. Soc. Rev. 2017, 46, 2941–3005. [Google Scholar] [CrossRef] [PubMed]
- Schlehuber, D.; Wessel, E.; Singheiser, L.; Markus, T. Long-term operation of a La0.58Sr0.4Co0.2Fe0.8O3−δ-membrane for oxygen separation. J. Membr. Sci. 2010, 351, 16–20. [Google Scholar] [CrossRef]
- Shao, Z.; Dong, H.; Xiong, G.; Cong, Y.; Yang, W. Performance of a mixed-conducting ceramic membrane reactor with high oxygen permeability for methane conversion. J. Membr. Sci. 2001, 183, 181–192. [Google Scholar] [CrossRef]
- Partovi, K.; Geppert, B.; Liang, F.; Rüscher, C.H.; Caro, J. Effect of the B-Site Composition on the Oxygen Permeability and the CO2 Stability of Pr0.6Sr0.4CoxFe1–xO3−δ (0.0 ≤ x ≤ 1.0) Membranes. Chem. Mater. 2015, 27, 2911–2919. [Google Scholar] [CrossRef]
- Luo, H.; Jiang, H.; Klande, T.; Cao, Z.; Liang, F.; Wang, H.; Caro, J. Novel Cobalt-Free, Noble Metal-Free Oxygen-Permeable 40Pr0.6Sr0.4FeO3−δ–60Ce0.9Pr0.1O2−δ Dual-Phase Membrane. Chem. Mater. 2012, 24, 2148–2154. [Google Scholar] [CrossRef]
- Shi, L.; Wang, S.; Lu, T.; He, Y.; Yan, D.; Lan, Q.; Xie, Z.; Wang, H.; Boubeche, M.; Luo, H. Effects of Al content on the oxygen permeability through dual-phase membrane 60Ce0.9Pr0.1O2--40Pr0.6Sr0.4Fe1−xAlxO3. Ceram. Int. 2019, 45, 20033–20039. [Google Scholar] [CrossRef] [Green Version]
- Wang, X.; Huang, Y.; Li, D.; Zeng, L.; He, Y.; Boubeche, M.; Luo, H. High oxygen permeation flux of cobalt-free Cu-based ceramic dual-phase membranes. J. Membr. Sci. 2021, 633, 119403. [Google Scholar] [CrossRef]
- Jeong, N.C.; Lee, J.S.; Tae, E.L.; Lee, Y.J.; Yoon, K.B. Acidity Scale for Metal Oxides and Sanderson’s Electronegativities of Lanthanide Elements. Angew. Chem. Int. Ed. 2008, 47, 10128–10132. [Google Scholar] [CrossRef]
- Liang, F.; Luo, H.; Partovi, K.; Ravkina, O.; Cao, Z.; Liu, Y.; Caro, J. A novel CO2-stable dual phase membrane with high oxygen permeability. Chem. Commun. 2014, 50, 2451–2454. [Google Scholar] [CrossRef] [PubMed] [Green Version]
- Huang, Y.; Zhang, C.; Wang, X.; Li, D.; Zeng, L.; He, Y.; Yu, P.; Luo, H. High CO2 resistance of indium-doped cobalt-free 60 wt.%Ce0.9Pr0.1O2−δ-40 wt.%Pr0.6Sr0.4Fe1−xInxO3−δ oxygen transport membranes. Ceram. Int. 2021. [Google Scholar] [CrossRef]
- Luo, H.; Klande, T.; Cao, Z.; Liang, F.; Wang, H.; Caro, J. A CO2-stable reduction-tolerant Nd-containing dual phase membrane for oxyfuel CO2 capture. J. Mater. Chem. A 2014, 2, 7780–7787. [Google Scholar] [CrossRef] [Green Version]
- Partovi, K.; Bittner, M.; Caro, J. Novel CO2-tolerant Al-containing membranes for high-temperature oxygen separation. J. Mater. Chem. A 2015, 3, 24008–24015. [Google Scholar] [CrossRef] [Green Version]
- Wang, Z.; Kathiraser, Y.; Kawi, S. High performance oxygen permeable membranes with Nb-doped BaBi0.05Co0.95O3−δ perovskite oxides. J. Membr. Sci. 2013, 431, 180–186. [Google Scholar] [CrossRef]
- Song, J.; Qiu, Z.; Gao, J.; Tan, X.; Sunarso, J.; Wang, S.; Liu, S. CO2 erosion of BaCo0.85Bi0.05Zr0.1O3−δ perovskite membranes under oxygen permeating conditions. Sep. Purif. Technol. 2018, 207, 133–141. [Google Scholar] [CrossRef]
- Pyykko, P. Relativistic effects in structural chemistry. Chem. Rev. 1988, 88, 563–594. [Google Scholar] [CrossRef]
- Yan, T.; Li, N.; Wang, L.; Ran, W.; Duchesne, P.N.; Wan, L.; Nguyen, N.T.; Wang, L.; Xia, M.; Ozin, G.A. Bismuth atom tailoring of indium oxide surface frustrated Lewis pairs boosts heterogeneous CO2 photocatalytic hydrogenation. Nat. Commun. 2020, 11, 6095. [Google Scholar] [CrossRef]
- Yashima, M.; Ishimura, D. Crystal structure and disorder of the fast oxide-ion conductor cubic Bi2O3. Chem. Phys. Lett. 2003, 378, 395–399. [Google Scholar] [CrossRef]
- Wachsman, E.D. Effect of oxygen sublattice order on conductivity in highly defective fluorite oxides. J. Eur. Ceram. Soc. 2004, 24, 1281–1285. [Google Scholar] [CrossRef]
- Sanna, S.; Esposito, V.; Andreasen, J.W.; Hjelm, J.; Zhang, W.; Kasama, T.; Simonsen, S.B.; Christensen, M.; Linderoth, S.; Pryds, N. Enhancement of the chemical stability in confined δ-Bi2O3. Nat. Mater. 2015, 14, 500–504. [Google Scholar] [CrossRef] [PubMed]
- Bothwell, J.M.; Krabbe, S.W.; Mohan, R.S. Applications of bismuth(iii) compounds in organic synthesis. Chem. Soc. Rev. 2011, 40, 4649–4707. [Google Scholar] [CrossRef] [Green Version]
- Deng, P.; Wang, H.; Qi, R.; Zhu, J.; Chen, S.; Yang, F.; Zhou, L.; Qi, K.; Liu, H.; Xia, B.Y. Bismuth Oxides with Enhanced Bismuth–Oxygen Structure for Efficient Electrochemical Reduction of Carbon Dioxide to Formate. ACS Catal. 2020, 10, 743–750. [Google Scholar] [CrossRef]
- Momma, K.; Izumi, F. VESTA: A three-dimensional visualization system for electronic and structural analysis. J. Appl. Crystallogr. 2008, 41, 653–658. [Google Scholar] [CrossRef]
- Luo, H.; Jiang, H.; Efimov, K.; Caro, J.; Wang, H. Influence of the preparation methods on the microstructure and oxygen permeability of a CO2-stable dual phase membrane. AIChE J. 2011, 57, 2738–2745. [Google Scholar] [CrossRef]
- Kharton, V.V.; Kovalevsky, A.V.; Viskup, A.P.; Figueiredo, F.M.; Yaremchenko, A.A.; Naumovich, E.N.; Marques, F.M.B. Oxygen Permeability of Ce0.8Gd0.2O2−δ-La0.7Sr0.3MnO3−δ Composite Membranes. J. Electrochem. Soc. 2000, 147, 2814. [Google Scholar] [CrossRef]
- Wang, X.; Shi, L.; Huang, Y.; Zeng, L.; Boubeche, M.; Li, D.; Luo, H. CO2-Tolerant Oxygen Permeation Membranes Containing Transition Metals as Sintering Aids with High Oxygen Permeability. Processes 2021, 9, 528. [Google Scholar] [CrossRef]
- Shi, L.; Wang, S.; Lu, T.; He, Y.; Yan, D.; Lan, Q.; Xie, Z.; Wang, H.; Li, M.-R.; Caro, J.; et al. High CO2-tolerance oxygen permeation dual-phase membranes Ce0.9Pr0.1O2--Pr0.6Sr0.4Fe0.8Al0.2O3. J. Alloy. Compd. 2019, 806, 500–509. [Google Scholar] [CrossRef] [Green Version]
- Goldschmidt, V.M. Die Gesetze der Krystallochemie. Die Nat. 1926, 14, 477–485. [Google Scholar] [CrossRef]
- Geffroy, P.M.; Reichmann, M.; Kilmann, L.; Jouin, J.; Richet, N.; Chartier, T. Identification of the rate-determining step in oxygen transport through La1−xSrxFe1−yGayO3−δ perovskite membranes. J. Membr. Sci. 2015, 476, 340–347. [Google Scholar] [CrossRef]
- Luo, H.; Jiang, H.; Efimov, K.; Liang, F.; Wang, H.; Caro, J. CO2-Tolerant Oxygen-Permeable Fe2O3-Ce0.9Gd0.1O2−δ Dual Phase Membranes. Ind. Eng. Chem. Res. 2011, 50, 13508–13517. [Google Scholar] [CrossRef]
- Zhang, Z.; Ning, K.; Xu, Z.; Zheng, Q.; Tan, J.; Liu, Z.; Wu, Z.; Zhang, G.; Jin, W. Highly efficient preparation of Ce0.8Sm0.2O2−δ–SrCo0.9Nb0.1O3−δ dual-phase four-channel hollow fiber membrane via one-step thermal processing approach. J. Membr. Sci. 2021, 620, 118752. [Google Scholar] [CrossRef]
- Liu, Y.; Zhu, X.; Li, M.; O’Hayre, R.P.; Yang, W. Nanoparticles at Grain Boundaries Inhibit the Phase Transformation of Perovskite Membrane. Nano Lett. 2015, 15, 7678–7683. [Google Scholar] [CrossRef]
- Li, Q.; Zhu, X.; He, Y.; Cong, Y.; Yang, W. Effects of sintering temperature on properties of dual-phase oxygen permeable membranes. J. Membr. Sci. 2011, 367, 134–140. [Google Scholar] [CrossRef]
- Zhu, X.; Yang, W. Microstructural and Interfacial Designs of Oxygen-Permeable Membranes for Oxygen Separation and Reaction–Separation Coupling. Adv. Mater. 2019, 31, 1902547. [Google Scholar] [CrossRef]
- Luo, H.; Efimov, K.; Jiang, H.; Feldhoff, A.; Wang, H.; Caro, J. CO2-Stable and Cobalt-Free Dual-Phase Membrane for Oxygen Separation. Angew. Chem. Int. Ed. 2011, 50, 759–763. [Google Scholar] [CrossRef] [PubMed]
- Shao, Z.; Xiong, G.; Cong, Y.; Yang, W. Synthesis and oxygen permeation study of novel perovskite-type BaBixCo0.2Fe0.8−xO3−δ ceramic membranes. J. Membr. Sci. 2000, 164, 167–176. [Google Scholar] [CrossRef]
- Balaguer, M.; Solís, C.; Serra, J.M. Structural–Transport Properties Relationships on Ce1–xLnxO2−δ System (Ln = Gd, La, Tb, Pr, Eu, Er, Yb, Nd) and Effect of Cobalt Addition. J. Phys. Chem. C 2012, 116, 7975–7982. [Google Scholar] [CrossRef]
- Du, Z.; Ma, Y.; Zhao, H.; Li, K.; Lu, Y. High CO2-tolerant and Cobalt-free dual-phase membranes for pure oxygen separation. J. Membr. Sci. 2019, 574, 243–251. [Google Scholar] [CrossRef]
- Konysheva, E.Y.; Xu, X.; Irvine, J.T.S. On the Existence of A-Site Deficiency in Perovskites and Its Relation to the Electrochemical Performance. Adv. Mater. 2012, 24, 528–532. [Google Scholar] [CrossRef]
- Lide, D.R. CRC Handbook of Chemistry and Physics; CRC Press: Boca Raton, FL, USA, 2004; Volume 85. [Google Scholar]
- Dean, J.A. Lange’s Handbook of Chemistry; McGraw-Hill Education: New York, NY, USA, 1990; Volume 5, pp. 687–688. [Google Scholar]
- Liu, X.Q.; Yang, W.Z.; Song, C.L.; Chen, X.M. Dielectric relaxation in LaSrCo1−xAlxO4 ceramics. Appl. Phys. A 2010, 100, 1131–1135. [Google Scholar] [CrossRef]
- Zhu, X.; Liu, H.; Cong, Y.; Yang, W. Novel dual-phase membranes for CO2 capture via an oxyfuel route. Chem. Commun. 2012, 48, 251–253. [Google Scholar] [CrossRef] [PubMed]
- Zhu, J.; Guo, S.; Chu, Z.; Jin, W. CO2-tolerant oxygen-permeable perovskite-type membranes with high permeability. J. Mater. Chem. A 2015, 3, 22564–22573. [Google Scholar] [CrossRef]
- Wang, Z.; Liu, W.; Wu, Y.; Sun, W.; Liu, W.; Wang, C. A novel cobalt-free CO2-stable perovskite-type oxygen permeable membrane. J. Membr. Sci. 2019, 573, 504–510. [Google Scholar] [CrossRef]









| Materials | Thickness (mm) | J(O2) (mL·min−1·cm−2) | Test Time | T (°C) | Refs. |
|---|---|---|---|---|---|
| 60wt.%Ce0.9Pr0.1O2−δ -40wt.%Pr0.6Sr0.4Fe0.99Bi0.01O3−δ | 0.6 | 0.62 | 50 h | 1000 | This work |
| 60wt.%Ce0.9Pr0.1O2−δ -40wt.%Pr0.6Sr0.4FeO3−δ | 0.6 | 0.22 | 100 h | 950 | [17] |
| 60wt.%Ce0.9Pr0.1O2−δ -40wt.%Pr0.6Sr0.4Fe0.5Co0.5O3−δ | 0.6 | 0.7 | 400 h | 950 | [21] |
| 60wt.%Ce0.9Pr0.1O2−δ -40wt.%Pr0.6Sr0.4Fe0.6Al0.4O3−δ | 0.4 | 1.12 (He) | 25 h | 1000 | [18] |
| 60wt.%Ce0.9Pr0.1O2−δ -40wt.%Pr0.6Sr0.4Fe0.99In0.01O3−δ | 0.6 | 0.80 | 100 h | 1000 | [22] |
| 60wt.%Ce0.9Nd0.1O2−δ -40wt.%Pr0.6Nd0.4FeO3−δ | 0.6 | 0.48 | 120 h | 1000 | [23] |
| 60wt.%Ce0.9Nd0.1O2−δ -40wt.%Pr0.6Nd0.4Al0.2Fe0.8O3−δ | 0.6 | 0.52 | 100 h | 1000 | [24] |
| Pr0.6Sr0.4Co0.2Fe0.8O3−δ | 0.6 | 1.24 | 200 h | 1000 | [16] |
| BaBi0.05Co0.8Nb0.15O3−δ | 1.3 | 2.92 (He) | - | 900 | [25] |
| BaCo0.85Bi0.05Zr0.1O3−δ | 1.51/1.04 (Fiber) | 2.05 | 12 h | 900 | [26] |
Publisher’s Note: MDPI stays neutral with regard to jurisdictional claims in published maps and institutional affiliations. |
© 2021 by the authors. Licensee MDPI, Basel, Switzerland. This article is an open access article distributed under the terms and conditions of the Creative Commons Attribution (CC BY) license (https://creativecommons.org/licenses/by/4.0/).
Share and Cite
Zhang, C.; Huang, Y.; Zeng, L.; He, Y.; Yu, P.; Luo, H. Effects of Bi Substitution on the Cobalt-Free 60wt.%Ce0.9Pr0.1O2−δ-40wt.%Pr0.6Sr0.4Fe1−xBixO3−δ Oxygen Transport Membranes. Processes 2021, 9, 1767. https://doi.org/10.3390/pr9101767
Zhang C, Huang Y, Zeng L, He Y, Yu P, Luo H. Effects of Bi Substitution on the Cobalt-Free 60wt.%Ce0.9Pr0.1O2−δ-40wt.%Pr0.6Sr0.4Fe1−xBixO3−δ Oxygen Transport Membranes. Processes. 2021; 9(10):1767. https://doi.org/10.3390/pr9101767
Chicago/Turabian StyleZhang, Chao, Yanhao Huang, Lingyong Zeng, Yiyi He, Peifeng Yu, and Huixia Luo. 2021. "Effects of Bi Substitution on the Cobalt-Free 60wt.%Ce0.9Pr0.1O2−δ-40wt.%Pr0.6Sr0.4Fe1−xBixO3−δ Oxygen Transport Membranes" Processes 9, no. 10: 1767. https://doi.org/10.3390/pr9101767
APA StyleZhang, C., Huang, Y., Zeng, L., He, Y., Yu, P., & Luo, H. (2021). Effects of Bi Substitution on the Cobalt-Free 60wt.%Ce0.9Pr0.1O2−δ-40wt.%Pr0.6Sr0.4Fe1−xBixO3−δ Oxygen Transport Membranes. Processes, 9(10), 1767. https://doi.org/10.3390/pr9101767
