Abstract
Chitin is an important part of the fungal cell wall, but is not found in plants and mammals, so chitin synthase (CHS) can be a green fungicide target. In this paper, 35 maleimide compounds were designed and synthesized as CHS inhibitors. All the screened compounds showed different degrees of CHS inhibitory activity and antifungal activity in vitro. In particular, the half–inhibitory concentration (IC50) value of compound 20 on CHS was 0.12 mM, and the inhibitory effect was better than that of the control polyoxin B (IC50 = 0.19 mM). At the same time, this compound also showed good antifungal activity and has further development value.
1. Introduction
Fungal infections are a worldwide threat to agricultural economy and human health [1,2]. However, effective and safe antifungal drugs are very limited, and drug resistance risks are on the rise. Therefore, there is a substantial and constant need for novel antifungal agents [3].
Chitin, a polymer of N-acetylglucosamine conjugated by β-1,4 glycoside bonds, is an essential structural polysaccharide found in all fungal cell walls but not in vertebrates and plants [4]. Thus, CHS, the key enzyme in charge of catalyzing chitin biosynthesis, is an attractive and green target for new fungicides [5]. The earliest research on CHS inhibitors dates back to the late 1950s. Isono et al. isolated and extracted polyoxin from streptomycin, and found that it can inhibit the growth and reproduction of fungi by reducing the synthesis of chitin [6]. Since then, researchers have successively screened and obtained a variety of compounds that have a mild inhibitory effect on CHS by separation from natural products, extraction from plants, or chemical synthesis.
In the 1980s, Japanese scientists Kobiata et al. isolated new polyoxins (A, B and C) from Streptomyces cacaoi, which can be widely used in agricultural fungicides to control plant pathogens [7,8]. Nikkomycin, which was isolated from Streptomyces tendae and had a structure similar to polyoxin, also had great potential as an agricultural insecticide and fungicide. It is also the only CHS inhibitor that has entered clinical trials so far to treat fungal infections [9]. In 1999, Korean scientists Kim et al. isolated and extracted ursolic acid from the leaves of hawthorn. They found that it can be used as a selective inhibitor of chitin synthase II (CHS II), which is a branch of CHS, and its main function is to form a membrane. The IC50 towards Saccharomyces cerevisiae can reach 0.184 μg/mL. In the same year, they isolated and extracted gosin N and wuwezisu C from Schisandra chinensis that had excellent inhibitory effects on CHS II, and the inhibitory effect was much better than polyoxin D (IC50 values of 6214 μg/mL and 1912 μg/mL, respectively). In 2002, the research team once again isolated and extracted obovatol from Magnolia officinalis, which was a competitive inhibitor of CHS II, and its derivative tetrahydrobovatol also showed strong inhibitory activity against CHS II, with an IC50 of up to 59 μg/mL [10,11]. Japanese scientists Obi et al. designed a series of compounds by introducing a hydrophobic group at the β position of the amino acid chain of nikkomycin Z to replace the β-CH3 and γ-OH groups of nikkomycin Z, they also found that the inhibitory activity of the compound KFC-431, which contains a phenanthrene structure, was no less than that of nikkomycin Z through biological activity studies [12].
However, as scholars continue their in-depth research, these CHS inhibitors have also exposed some shortcomings such as poor chemical stability, a narrow antibacterial spectrum and high cost [13]. Therefore, it is of great significance to study new and highly effective CHS inhibitors.
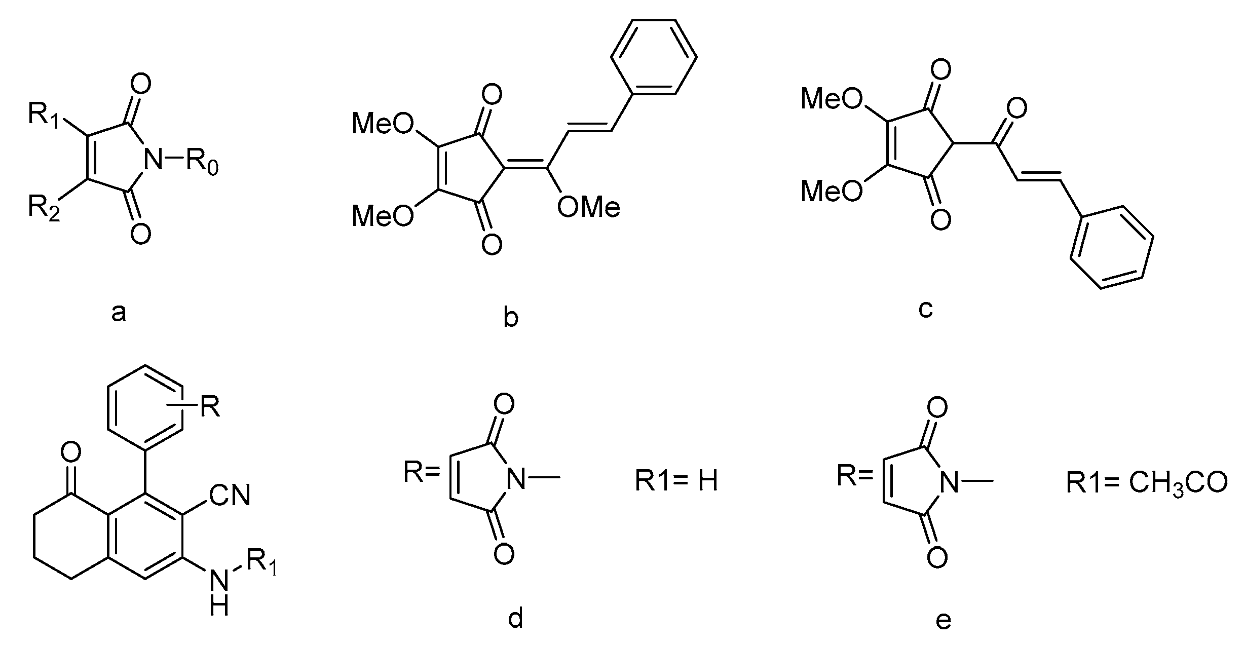
Maleimide compounds a are five-membered heterocyclic compounds containing N (Figure 1). These compounds contain α, β unsaturated carbon–carbon double bonds, and have strong selectivity to various nucleophilic substances. This also determines that these compounds have a variety of biological activities, such as antibacterial [14], antifungal [15], insecticidal [16], anti-cancer and as an enzyme inhibitor [17,18]. Hwang and Zacchino et al. have reported that this class of compounds and their analogs have a good inhibitory effect on CHS. In particular, compounds b and c (Figure 1) have a higher inhibitory activity on CHS than that of nikkomycin, and the inhibitory activity of compounds d and e (Figure 1) on CHS were comparable to that of nikkomycin [19,20]. Previous studies have also shown that some maleimide compounds and their analogs had good inhibitory effects on Sclerotinia sclerotiorum and Botrytis cinereal [21,22,23].
Figure 1.
General formula of maleimide compounds (a), structures of methyllinderone (b), linderone (c), maleimide derivative (d) and maleimide derivative (e).
Recently, we have synthesized a series of maleimide compounds with excellent antifungal activity [24]. In order to screen out highly active maleimide compounds and use them as CHS inhibitors, based on previous research, we put more activity substituents in place to structure the maleimide ring. Thirty-five maleimide derivatives were synthesized with some modifications and their antifungal activity and CHS inhibitory effect were studied. All compound structures were characterized by 1H NMR and high-resolution mass spectrometry (HRMS).
2. Materials and Methods
2.1. Materials and Instruments
All reactions were performed with commercially available reagents. S. sclerotiorum was isolated from sclerotia collected from a diseased plant of oilseed rape in Zhejiang, China, as described before [21]. The culture medium was potato dextrose agar (PDA). 1H NMR spectra was recorded on a Bruker Advance I 500 MHz spectrometer in dimethyl sulfoxide (DMSO) or dehydrated chloroform (CDCl3) solutions using tetramethylsilane (TMS) as an internal standard. HRMS was determined by a Thermo LCQ/ADVANTAGE mass spectrometer (Thermo Fisher Scientific, Waltham, MA, USA); the CHS inhibition test was determined by an Elx808 (Bio Tek Instruments, Inc., Vermont, VT, USA) type microplate reader.
2.2. Chemistry
We designed, synthesized and evaluated a series of maleimide compounds (Figure 2), which were modified in both their five-membered ring structure and substituents on the benzene ring. All reactions are shown in Scheme 1 and Scheme 2. All target compounds are summarized in Table 1.
Figure 2.
The designed compounds 1–20 (f), the designed compounds 21–35 (g), n represented the number of the methylene groups, R1 and R2 represented the substituents on the five-membered ring, R represented the substituents on the benzene ring.
Scheme 1.
Synthesis of compounds 1–20. Reagents and conditions: (i) acetone, 25 °C, 1 h. (ii) acetic anhydride, sodium acetate, 120 °C, 3 h.
Scheme 2.
Synthesis of compounds 21–35. Reagents and conditions: (i) acetic acid, 25 °C, 0.5 h. (ii) 120 °C, 3 h.
Table 1.
Maleimide compound structures.
2.3. Biological Activity Assay
2.3.1. Inhibition on Chitin Synthase Assay
The CHS inhibition assay was performed using S. sclerotiorum yeast cell extracts according to the method with some modifications described by Ke et al. [25]. In brief, S. sclerotiorum mycelium were inoculated into 250 mL PDA liquid medium from fresh S. sclerotiorum PDA solid medium, and cultured at 23 °C for 36 h. The fungal cells were collected by centrifugation at 3000× g for 10 min. Then, the harvested cells were disrupted in liquid nitrogen after being washed twice with ultrapure water. After digestion by 80 μg/mL trypsin at 30 °C for 30 min, 120 μg/mL soybean trypsin inhibitor was added to terminate the reaction. Finally, we collected the supernatant to obtain the crude CHS solution at 3000 g for 10 min, and stored it at −20 °C.
CHS activity was measured on a 96-well microtiter plate coated with wheat germ agglutinin (WGA). All test samples were formulated into a drug solution with a concentration of 10 mg/mL with DMSO and diluted to 300, 150, 75, 37.5, 18.75, 9.375 and 4.69 μg/mL with 50 mM Tris-HCl buffer, respectively. Trypsin pretreated cell extracts (48 µL), 50 μL premixed solution (3.2 mM CoCl2, 80 mM GlcNAc, 8 mM UDP-GlcNAc dissolved in 50 mM Tris-HCl buffer pH 7.5) and 2 μL of test sample or DMSO (control) were added to each well. The plate was immediately washed 6 times with ultrapure water after it was incubated on a shaker at 30 °C for 3 h. Then, 100 μL of horseradish peroxidase conjugated wheat germ agglutinin (WGA-HRP) solution (1 mg/mL WGA-HRP and 20 mg/mL bovine serum albumin (BSA) dissolved in 50 mM Tris-HCl buffer pH 7.5) was added to each well. The plate was washed 6 times with ultrapure water after it was incubated at 30 °C for 30 min. Finally, 100 μL fresh tetramethylbenzidine (TMB) reaction solution (0.8 mmol/L TMB and 1.8% H2O2 dissolved in 100 mmol/L sodium acetate buffer, pH 3.7) was added to it. The optical density (OD) values at 600 nm were detected every 2 min for 40 min. The reaction rate was calculated based on the measured OD600 values. The IC50 values were calculated by using the reaction rate derived from 7 different compound concentrations.
2.3.2. Antifungal Assays
Antifungal activities and structure–activity relationship studies against S. sclerotiorum were previously investigated in vitro by the mycelial growth rate method [26]. All test samples were dissolved in 0.1% Tween-80 containing 10% acetone and formulated into drug-containing PDA medium at final concentrations of 50, 25, 12.5, 6.25, 3.125, and 1.56 μg/mL. Each concentration gradient set two parallels, and 1.0 mL of 0.1% Tween-80 containing 10% acetone plus 9.0 mL of sterilized and melted PDA medium was used as the blank control. These dishes were incubated at 23 °C for 36 h, and then the diameter of each colony was measured by making two measurements at right angles. The inhibition rate was calculated using the following formula:
where Dck is the average colony diameter of the blank control, D is the average colony diameter of test compounds, and 6 is the diameter of the inoculum plug (in mm). With a logit–log transformation, the concentration–response curves were linearized by regression, and then the half–effective concentration (EC50) values of different compounds on mycelial growth was calculated [27].
Inhibition of growth (%) = (Dck − D)/(Dck − 6) × 100,
3. Results
3.1. General Synthetic Procedure for Maleimides 1–20
In the first step, maleic anhydride (1.96 g, 0.02 mol) and aniline (1.82 mL, 0.02 mol) were added to a three–necked flask equipped with a magnetic stirrer, then 15 mL of acetone solution was added at room temperature for 1 h to generate the corresponding maleamic acid. For the second step, 5 mL acetic anhydride and 100 mg sodium acetate were added to the three–necked flask and then the reaction mixture was heated to 120 °C and refluxed for 2–3 h. Finally, the concentrated solution was obtained by rotary evaporation after the reaction solution was cooled to room temperature. The concentrated solution was isolated by silica gel column to obtain the target compound 1. Other maleimide derivatives were synthesized similarly. The physical constants and spectral data of compounds 1–20 are summarized below.
3.1.1. N-phenyl-maleimide (1)
Yield 78.6%. 1H NMR (500 MHz, CDCl3) δ7.38–7.35 (m, 2H), 7.35–7.31 (m, 2H), 7.29 (dq, J = 3.9, 1.7 Hz, 1H), 6.72 (d, J = 5.0 Hz, 2H). HRMS [M + H]+: 174.1715, found, 174.0477.
3.1.2. N-phenyl-3-methylmaleimide (2)
Yield 72.3%. 1H NMR (500 MHz, CDCl3) δ7.47 (dt, J = 9.9, 1.9 Hz, 2H), 7.37 (tt, J = 3.6, 1.7 Hz, 2H), 7.36–7.34 (m, 1H), 6.05 (q, J = 1.8 Hz, 1H), 2.19 (t, J = 2.2 Hz, 3H). HRMS [M + H]+: 188.0645, found, 188.0633.
3.1.3. N-phenyl-3-phenylmaleimide (3)
Yield 83.3%. 1H NMR (500 MHz, CDCl3) δ7.67 (m, 5H), 7.55 (m, 1H), 7.47 (m, 4H), 7.27 (s, 1H). HRMS [M + H]+: 250.0788, found, 250.0790.
3.1.4. N-phenyl-3,4-dimethylmaleimide (4)
Yield 79.3%. 1H NMR (500 MHz, DMSO) δ7.50 (d, J = 7.9 Hz, 2H), 7.32–7.28 (m, 2H), 7.02 (t, J = 7.4 Hz, 1H), 2.07 (s, 6H). HRMS [M + H]+: 202.0788, found, 202.0790.
3.1.5. N-phenyl-3,4-dichloromaleimide (5)
Yield 70.3%. 1H NMR (500 MHz, CDCl3) δ7.53–7.48 (m, 2H), 7.43 (dd, J = 8.5, 6.4 Hz, 1H), 7.38–7.33 (m, 2H). HRMS [M + H]+: 241.9686, found, 241.9697.
3.1.6. N-benzyl-maleimide (6)
Yield 73.3%. 1H NMR (500 MHz, CDCl3) δ7.38–7.35 (m, 2H), 7.35–7.31 (m, 2H), 7.29 (dq, J = 3.9, 1.7 Hz, 1H), 6.72 (d, J = 5.0 Hz, 2H), 4.69 (s, 2H). HRMS [M + H]+: 188.1985, found, 188.1980.
3.1.7. N-benzyl-3-methylmaleimide (7)
Yield 76.2%. 1H NMR (500 MHz, CDCl3) δ7.38–7.34 (m, 2H), 7.34–7.30 (m, 2H), 7.30–7.26 (m, 1H), 6.34 (q, J = 1.8 Hz, 1H), 4.67 (s, 2H), 2.09 (d, J = 1.8 Hz, 3H). HRMS [M + H]+: 202.0775, found, 202.0790.
3.1.8. N-benzyl-3-phenylmaleimide (8)
Yield 73.7%. 1H NMR (500 MHz, CDCl3) δ7.85–7.65 (m, 6H), 7.58 (dt, J = 4.7, 2.7 Hz, 2H), 7.47–7.45(m, 1H), 7.39–7.36 (m, 2H), 4,74 (m, 2H). HRMS [M + H]+: 264.0953, found, 264.0946.
3.1.9. N-benzyl-3,4-dimethylmaleimide (9)
Yield 78.2%. 1H NMR (500 MHz, CDCl3) δ7.37–7.30 (m, 5H), 4.66 (s, 2H), 1.97 (s, 6H). HRMS [M + H]+: 216.0954, found, 216.0946.
3.1.10. N-benzyl-3,4-dichloromaleimide (10)
Yield 72.7%. 1H NMR (500 MHz, CDCl3) δ7.38 (dt, J = 4.7, 2.7 Hz, 2H), 7.37–7.35 (m, 1H), 7.35–7.30 (m, 2H), 4.76 (s, 2H). HRMS [M + H]+: 255.9848, found, 255.9854.
3.1.11. N-phenethyl-maleimide (11)
Yield 77.2%. 1H NMR (500 MHz, CDCl3) δ7.50–7.46 (m, 2H), 7.29–7.24 (m, 2H), 7.24–7.18 (m, 2H), 7.16 (s, 1H), 3.69–3.65 (m, 2H), 2.86–2.82 (m, 2H). HRMS [M + H]+: 202.0785, found, 202.0790.
3.1.12. N-phenethyl-3-methylmaleimide (12)
Yield 70.2%. 1H NMR (500 MHz, CDCl3) δ7.29–7.24 (m, 2H), 7.24–7.18 (m, 2H), 7.16 (s, 1H), 6.92 (s, 1H), 3.75 (s, 1H), 3.60 (s, 1H), 2.86–2.82 (m, 2H), 1.91–1.87 (m, 3H). HRMS [M + H]+: 216.0952, found, 216.0946.
3.1.13. N-phenethyl-3-phenylmaleimide (13)
Yield 76.9%. 1H NMR (500 MHz, CDCl3) δ7.50–7.41 (m, 3H), 7.41–7.36 (m, 2H), 7.31 (s, 1H), 7.23–7.18 (m, 2H), 7.14–7.05 (m, 3H), 3.85 (s, 1H), 3.67 (s, 1H), 2.88–2.84 (m, 2H). HRMS [M + H]+: 278.1112, found, 278.1103.
3.1.14. N-phenethyl-3,4-dimethylmaleimide (14)
Yield 67.3%. 1H NMR (500 MHz, CDCl3) δ 7.29–7.24 (m, 2H), 7.24–7.18 (m, 2H), 7.16 (s, 1H), 3.70–3.66 (m, 2H), 2.86–2.82 (m, 2H), 1.90–1.86 (m, 6H). HRMS [M + H]+: 230.1112, found, 230.1103.
3.1.15. N-phenethyl-3,4-dichloromaleimide (15)
Yield 73.8%. 1H NMR (500 MHz, CDCl3) δ 7.29–7.26 (m, 2H), 7.26–7.13 (m, 6H), 3.70–3.66 (m, 3H), 2.85–2.81 (m, 3H). HRMS [M + H]+: 270.0016, found, 270.0010.
3.1.16. N-phenylpropyl-maleimide (16)
Yield 73.5%. 1H NMR (500 MHz, CDCl3) δ7.48–7.44 (m, 1H), 7.29–7.22 (m, 1H), 7.22–7.11 (m, 2H), 3.42–3.38 (m, 1H), 2.62–2.58 (m, 1H), 1.93–1.89 (m, 1H). HRMS [M + H]+: 216.0958, found, 216.0946.
3.1.17. N-phenylpropyl-3-methylmaleimide (17)
Yield 66.5%. 1H NMR (500 MHz, CDCl3) δ7.29–7.22 (m, 2H), 7.22–7.11 (m, 3H), 6.90 (s, 1H), 3.49 (s, 1H), 3.34 (s, 1H), 2.62–2.58 (m, 2H), 1.93–1.85 (m, 5H). HRMS [M + H]+: 230.1113, found, 230.1103.
3.1.18. N-phenylpropyl-3-phenylmaleimide (18)
Yield 70.4%. 1H NMR (500 MHz, CDCl3) δ7.50–7.43 (m, 3H), 7.39 (t, J = 5.7 Hz, 3H), 7.26–7.17 (m, 2H), 7.17–7.07 (m, 3H), 3.57 (s, 1H), 3.45 (s, 1H), 2.58–2.54 (m, 2H), 2.00–1.86 (m, 2H). HRMS [M + H]+: 292.1267, found, 292.1259.
3.1.19. N-phenylpropyl-3,4-dimethylmaleimide (19)
Yield 72.6%. 1H NMR (500 MHz, CDCl3) δ7.30–7.24 (m, 2H), 7.24–7.12 (m, 3H), 3.34–3.30 (m, 2H), 2.64–2.60 (m, 2H), 1.97–1.88 (m, 2H), 1.87–1.83 (m, 6H). HRMS [M + H]+: 244.1263, found, 244.1259.
3.1.20. N-phenylpropyl-3,4-dichloromaleimide (20)
Yield 72.5%. 1H NMR (500 MHz, CDCl3) δ7.28–7.22 (m, 1H), 7.22–7.12 (m, 2H), 3.44–3.40 (m, 1H), 2.62–2.58 (m, 1H), 1.92–1.88 (m, 1H). HRMS [M + H]+: 284.0174, found, 284.0167.
3.2. General Synthetic Procedure for Maleimides 21–35
In the first step, maleic anhydride (1.96 g, 0.02 mol) with 10 mL of acetic acid was added to a three–necked flask. At the same time, 4-fluoroaniline (1.89 mL, 0.02 mol) with 15 mL acetic acid was dripped into the three–necked flask through a constant-pressure dropping funnel at room temperature for 30 min. For the second step, the reaction mixture was heated to 120 °C and refluxed for 2–3 h. Then, the concentrated solution was obtained by rotary evaporation after the reaction solution was cooled to room temperature. The concentrated solution was isolated by silica gel column to obtain the target compound 21. Other maleimide derivatives were synthesized similarly. The physical constants and spectral data of compounds 21–35 are summarized below.
3.2.1. N-(4-fluorophenyl)-maleimide (21)
Yield 83.8%. 1H NMR (500 MHz, CDCl3) δ7.36–7.32 (m, 2H), 7.21–7.14 (m, 2H), 6.88 (q, 2H). HRMS [M + H]+: 192.0378, found, 192.0383.
3.2.2. N-(4-fluorophenyl)-3-methylmaleimide (22)
Yield 84.7 %. 1H NMR (500 MHz, CDCl3) δ7.36–7.32 (m, 2H), 7.18–7.14 (m, 2H), 6.50 (q, J = 1.7 Hz, 1H), 1.92 (d, J = 1.8 Hz, 3H). HRMS [M + H]+: 206.0525, found, 206.0539.
3.2.3. N-(4-fluorophenyl)-3-phenylmaleimide (23)
Yield 77.2 %. 1H NMR (500 MHz, DMSO) δ7.64–7.05 (m, 6H), 3.59–3.56 (m, 2H), 3.35–3.26 (m, 2H). HRMS [M + H]+: 268.0687, found, 268.0696.
3.2.4. N-(4-fluorophenyl)-3,4-dimethylmaleimide (24)
Yield 85.7 %. 1H NMR (500 MHz, CDCl3) δ7.45 (m, 2H), 7.23 (m, 2H), 2.72 (s, 6H). HRMS [M + H]+: 220.0687, found, 220.0696.
3.2.5. N-(4-fluorophenyl)-3,4-dichloromaleimide (25)
Yield 87.2 %. 1H NMR (500 MHz, CDCl3) δ7.37–7.32 (m, 2H), 7.22–7.17(m, 2H). HRMS [M + H]+: 259.9612, found, 259.9603.
3.2.6. N-(4-chlorophenyl)-maleimide (26)
Yield 86.5%. 1H NMR (500 MHz, CDCl3) δ7.48–7.44(m, 2H), 7.36–7.30 (m, 2H), 6.88 (m, 2H). HRMS [M + H]+: 208.0076, found, 208.0087.
3.2.7. N-(4-chlorophenyl)-3-methylmaleimide (27)
Yield 83.5%. 1H NMR (500 MHz, CDCl3) δ7.46–7.42 (m, 2H), 7.35–7.31 (m, 2H), 6.50 (q, J = 1.7 Hz, 1H), 2.19 (d, J = 1.8 Hz, 3H). HRMS [M + H]+: 222.0253, found, 222.0244.
3.2.8. N-(4-chlorophenyl)-3-phenylmaleimide (28)
Yield 72.7%. 1H NMR (500 MHz, DMSO) δ7.65–7.00 (m, 6H), 3.69–3.51 (m, 2H), 3.25–3.20 (m, 2H). HRMS [M + H]+: 284.0412, found, 284.0400.
3.2.9. N-(4-chlorophenyl)-3,4-dimethylmaleimide (29)
Yield 83.5%. 1H NMR (500 MHz, CDCl3) δ7.43 (m, 2H), 7.34 (m, 2H), 2.07 (s, 6H). HRMS [M + H]+: 236.0412, found, 236.0400.
3.2.10. N-(4-chlorophenyl)-3,4-dichloromaleimide (30)
Yield 82.7%. 1H NMR (500 MHz, CDCl3) δ7.50–7.45 (m, 2H), 7.35–7.31 (m, 2H). HRMS [M + H]+: 275.9313, found, 275.9308.
3.2.11. N-(4-bromophenyl)-maleimide (31)
Yield 73.8%. 1H NMR (500 MHz, CDCl3) δ7.62–7.53 (m, 1H), 7.53–7.49 (m, 1H), 7.46–7.31 (m, 1H). HRMS [M + H]+: 251.9586, found, 251.9582.
3.2.12. N-(4-bromophenyl)-3-methylmaleimide (32)
Yield 69.5%. 1H NMR (500 MHz, CDCl3) δ7.62–7.48 (m, 2H), 7.46–7.31 (m, 2H), 6.96 (s, 1H), 1.93–1.89 (m, 3H). HRMS [M + H]+: 265.9742, found, 265.9738.
3.2.13. N-(4-bromophenyl)-3-phenylmaleimide (33)
Yield 77.7%. 1H NMR (500 MHz, CDCl3) δ7.60–7.50 (m, 11H), 7.50–7.38 (m, 32H), 7.38 (d, J = 0.7 Hz, 1H), 7.37–7.28 (m, 11H). HRMS [M + H]+: 327.9892, found, 327.9895.
3.2.14. N-(4-bromophenyl)-3,4-dimethylmaleimide (34)
Yield 74.1%. 1H NMR (500 MHz, CDCl3) δ7.64–7.49 (m, 1H), 7.42–7.28 (m, 1H), 1.84–1.80 (m, 3H). HRMS [M + H]+: 279.9886, found, 279.9895.
3.2.15. N-(4-bromophenyl)-3,4-dichloromaleimide (35)
Yield 83.2%. 1H NMR (500 MHz, CDCl3) δ7.64–7.49 (m, 1H), 7.41–7.27 (m, 1H). HRMS [M + H]+: 319.8811, found, 319.8802.
3.3. Biological Activity
3.3.1. Chitin Synthase Inhibitory Activity
The CHS inhibitory activities of all synthesized compounds 1–35 were evaluated in comparison with that of commercially available polyoxin B in vitro. The results showed that the inhibitory rate of CHS of 14 compounds compared to the semi-inhibitory concentration of CHS by polyoxin B (IC50 = 0.19 mM) were over 50%. Therefore, the IC50 values of these 14 compounds on CHS were studied and summarized in Table 2.
Table 2.
The IC50 values of different maleimides against CHS.
3.3.2. In Vitro Antifungal Activity
The antifungal activities of all target compounds 1–35 were evaluated in vitro against S. sclerotiorum using the mycelium growth rate method in glassware. The clinical antifungal drugs pyrimethanil and polyoxin B were used as positive controls. The EC50 values of these target compounds on S. sclerotiorum in vitro are summarized in Table 3, and compound 20, which had the best inhibitory effect on CHS among the 35 tested compounds, had an inhibitory effect on the growth of S. sclerotiorum mycelial at different concentrations as shown in Figure 3.
Table 3.
The EC50 values of different maleimides against S.sclerotiorum.
Figure 3.
The inhibitory effect of compound 20 on S. sclerotiorum mycelial at 25, 12.5, 6.25, 3.125, 1.56, 0.78, 0.39 μg/mL and blank control, which were incubated at 23 °C for 36 h.
4. Discussion
The IC50 values in Table 2 revealed that nearly half of the compounds displayed moderate to high inhibitory activities on CHS. Compound 20 displayed highest CHS inhibitory activity (IC50 = 0.12 mM) among all the tested compounds, which was more effective than polyoxin B, which acts as control drug with an IC50 of 0.19 mM. Compounds 11, 19, 26, 30 and 35 had IC50 values of 0.21, 0.20, 0.17, 0.23, 0.23 mM, respectively, which were almost equal to that of polyoxin B. Compounds 4, 6, 31 and 33 had slightly lower CHS inhibitory activity, while compounds 7, 21, 24 and 33 exerted the lowest inhibition potency among these compounds. Generally, the number of carbon bonds between the five-membered ring and the benzene ring (n = 3) was a key factor that determined the most potent inhibitory activity toward CHS, such as for compounds 19 and 20.
As chitin is essential for fungi survival, we guessed that the design of these CHS inhibitors may inhibit fungi growth, because they can reduce the synthesis of chitin by inhibiting the activity of CHS. The results of their antifungal activity in Table 3 showed that the target compounds 1–35 exhibited moderate to excellent antifungal efficacy against S. sclerotiorum. Compounds 6, 19, 20, 31 and 32 displayed EC50 values of 6.95, 9.13, 8.47, 5.78, 7.83 μg/mL, respectively, having better inhibitory activities than polyoxin B. Their inhibitory activities were almost equal to pyrimethanil, especially 31 with an EC50 value of 5.78 μg/mL. Therefore, these five compounds displayed favorable antifungal activities in comparison to pyrimethanil and polyoxin B, which indicated that they have a higher potential as a superactive fungicide.
This data shows that the design of these compounds to act as antifungal agents was reasonable, and superactivity towards CHS and bioactivity against S. sclerotiorum can be seen. As a rule, some compounds which displayed superior inhibitory activity against CHS showed excellent antifungal activity.
5. Conclusions
CHS, an attractive and green target for new fungicides, was inhibited by some biologically active compounds. In this study, a series of maleimide compounds were synthesized and researched for their anti-CHS and antifungal activity. The anti-CHS assay data indicated that most of the target compounds displayed moderate to excellent activity against CHS; in particular, compound 20 was the best CHS inhibitor among the 35 target compounds, with an IC50 value of 0.12 mM. The antifungal assay results indicated that all maleimide compounds had varying degrees of inhibition towards S. sclerotiorum. Among them, compounds 6, 19, 20, 31 and 32 displayed excellent antifungal activity, which were almost equal to the standard drugs pyrimethanil and polyoxin B. Furthermore, compounds with three carbon bonds between the five-membered ring and the benzene ring had higher anti-CHS and antifungal activity than other target compounds. This indicated that it is possible to develop new CHS inhibitors from these target compounds, which may have potential for the treatment of fungal infections.
Author Contributions
X.C. and Y.L. conceived and designed the experiments; X.S. and S.Q. performed the experiments; Y.B. and H.C. analyzed the data; X.S. wrote the paper. All authors have read and agreed to the published version of the manuscript.
Funding
We are grateful for the research grants from the National Natural Science Foundation of China (No. 21572206 and No. 31601390).
Conflicts of Interest
The authors declare no conflict of interest.
References
- Fisher, M.C.; Henk, D.A.; Briggs, C.J.; Brownstein, J.S.; Madoff, L.C.; McCraw, S.L.; Gurr, S.J. Emerging fungal threats to animal, plant and ecosystem health. Nature 2013, 484, 186–194. [Google Scholar] [CrossRef] [PubMed]
- Zhu, S.P.; Wang, W.Y.; Fang, K.; Li, Z.G.; Dong, G.Q.; Miao, Z.Y.; Yao, J.Z.; Zhang, W.N.; Sheng, C.Q. Design, synthesis and antifungal activity of carbazole derivatives. Chin. Chem. Lett. 2014, 25, 229–233. [Google Scholar] [CrossRef]
- Scheffler, R.J.; Colmer, S.; Tynan, H.; Demain, A.L.; Gullo, V.P. Antimicrobials, drug discovery, and genome mining. Appl. Microbiol. Biot. 2013, 97, 969–978. [Google Scholar] [CrossRef]
- Kapteyn, J.C.; Hoyer, L.L.; Hecht, J.E.; Müller, W.H.; Andel, A.; Verkleij, A.J.; Makarow, M.; Van Den Ende, H.; Klis, F.M. The cell wall architecture of candida lbicans wild-type cells and cell wall-defective mutants. Mol. Microbiol. 2000, 35, 601–611. [Google Scholar] [CrossRef] [PubMed]
- Lenardon, M.D.; Munro, C.A.; Gow, N.A.R. Chitin synthesis and fungal pathogenesis. Curr. Opin. Microbiol. 2010, 13, 416–423. [Google Scholar] [CrossRef] [PubMed]
- Isono, K.; Nagatsu, J.; Kawashima, Y.; Suzuki, S. Studies on polyoxins, antifungal antibiotics. J. Agric. Chem. Soc. Jpn. 1965, 29, 848–854. [Google Scholar]
- Kobinata, K.; Uramoto, M.; Nishii, M.; Kusakabe, H.; Nakamura, G.; Isono, K. Neopolyoxins A, B, and C, New chitin synthetase inhibitors. Agric. Biol. Chem. 1980, 44, 1709–1711. [Google Scholar]
- Uramoto, M.; Kobinata, K.; Jenkins, E.E.; McCloskey, J.A.; Higashijima, T.; Miyazawa, T. Neopolyoxins A, B, and C: New inhibitors of fungal cell wall chitin synthetase. Nucleic Acids Symp. Ser. 1980, 8, 69–71. [Google Scholar]
- Shubitz, L.F.; Trinh, H.T.; Perrill, R.H.; Thompson, C.M.; Hanan, N.J.; Galgiani, J.N.; Nix, D.E. Modeling nikkomycin Z dosing and pharmacology in murine pulmonary coccidioidomycosis preparatory to phase 2 clinical trials. J. Infect. Dis. 2014, 209, 1949–1954. [Google Scholar] [CrossRef]
- Jeong, T.S.; Hwang, E.I.; Lee, H.B.; Lee, E.S.; Kim, Y.K.; Min, B.S.; Bae, K.H.; Bok, S.H.; Kim, S.U. Chitin synthase II inhibitory activity of ursolic acid, isolated from crataegus pinnatifida. Planta Med. 1999, 65, 261–262. [Google Scholar] [CrossRef]
- Kim, C.J.; Yoo, H.R.; Yoo, M.S.; Kwon, B.E.; Hwang, K.J. Attitude, beliefs, and intentions to care for sars patients among korean clinical nurses. Taehan Kanho Hakhoe Chi 2006, 36, 596–603. [Google Scholar] [PubMed]
- Uda, J.; Obi, K.; Iwase, K.; Sugimoto, O.; Ebisu, H.; Matsuda, A. Synthesis and structure-activity relationships of novel nikkomycin analogs: Inhibitors of the fungal cell wall biosynthesis enzyme chitin synthase. Nucleic Acids Symp. Ser. 1999, 42, 13–14. [Google Scholar] [CrossRef] [PubMed]
- Tokumura, T.; Horie, T. Kinetics of nikkomycin Z degradation in aqueous solution and in plasma. Biol. Pharm. Bull. 1997, 20, 577–580. [Google Scholar] [CrossRef] [PubMed][Green Version]
- Watanabe, S.; Igarashi, Y.; Yagami, K. Antimicrobial activity of some Narylalkyl maleimides. Pest. Sci. 2006, 34, 99–104. [Google Scholar] [CrossRef]
- Wattanadilok, R.; Sawangwong, P.; Rodrigues, C.; Cidade, H.; Pinto, M.; Pinto, E.; Silva, A.; Kijjoa, A. Antifungal activity evaluation of the constituents of haliclona baeri and haliclona cymaeformis, collected from the gulf of thailand. Mar. Drugs 2007, 5, 40–51. [Google Scholar] [CrossRef]
- Bradsher, C.K.; Harvan, D.J. Stereochemistry of the addition of N-arylmaleimides to the acridizinium ion. J. Org. Chem. 1971, 36, 67–70. [Google Scholar] [CrossRef]
- Uehara, Y.I.; Fisher, J.M.; Rabinovitz, M. Showdomycin and its reactive moiety, maleimide. A comparison in selective toxicity and mechanism of action in vitro. Biochem. Pharmacol. 1980, 29, 2199–2204. [Google Scholar] [CrossRef]
- Kar, S.; Wang, M.F.; Yao, W.; Michejda, C.J.; Carr, B.I. PM-20, a novel inhibitor of Cdc25A, induces extracellular signal-regulated kinase 1/2 phosphorylation and inhibits hepatocellular carcinoma growth in vitro and in vivo. Mol. Cancer Ther. 2006, 5, 1511–1519. [Google Scholar] [CrossRef]
- Hwang, E.I.; Lee, Y.M.; Lee, S.M.; Yeo, W.H.; Moon, J.S.; Kang, T.H.; Park, K.D.; Kim, S.U. Inhibition of chitin synthase 2 and antifungal activity of lignans from the stem bark of Lindera erythrocarpa. Planta Med. 2007, 73, 679–682. [Google Scholar] [CrossRef]
- Gholap, A.R.; Toti, K.S.; Shirazi, F.; Kumari, R.; Bhat, M.K.; Deshpande, M.V.; Srinivasan, K.V. Synthesis and evaluation of antifungal properties of a series of the novel 2-amino-5-oxo-4-phenyl-5,6,7,8-tetrahydroquinoline-3-carbonitrile and its analogues. Bioorg. Med. Chem. 2007, 15, 6705–6715. [Google Scholar] [CrossRef]
- Chen, X.L.; Zhu, X.H.; Ding, Y.C.; Shen, Y.C. Antifungal activity of tautomycin and related compounds against Sclerotinia sclerotiorum. J. Antibiot. 2011, 64, 563–569. [Google Scholar] [CrossRef] [PubMed]
- Chen, X.L.; Zheng, Y.G.; Shen, Y.C. Natural products with maleic anhydride structure: Nonadrides, tautomycin, chaetomellic anhydride, and other compounds. Chem. Rev. 2007, 107, 1777–1830. [Google Scholar] [CrossRef] [PubMed]
- Li, W.; Fan, Y.X.; Shen, Z.Z.; Shen, Y.C.; Chen, X.L. Antifungal activity of simple compounds with maleic anhydride or dimethylmaleimide structure against botrytis cinerea. J. Pestic. Sci. 2012, 37, 247–251. [Google Scholar] [CrossRef]
- Shen, Z.Z.; Fan, Y.X.; Li, F.G.; Chen, X.L.; Shen, Y.C. Synthesis of N-substituted dimethylmaleimides and their antifungal activities against Sclerotinia sclerotiorum. J. Pest. Sci. 2013, 86, 353–360. [Google Scholar] [CrossRef]
- Ke, S.Y.; Liu, F.Y.; Wang, N.; Yang, Q.; Qian, X.H. 1,3,4-Oxadiazoline derivatives as novel potential inhibitors targeting chitin biosynthesis: Design, synthesis and biological evaluation. Bioorg. Med. Chem. Lett. 2009, 19, 332–335. [Google Scholar] [CrossRef] [PubMed]
- Li, C.F.; Wang, F.; Ma, H.; Luo, M.; Yu, Y.H. Study on antibacterial activity of Arnebia euchroma (Royle) johnst hairy roots extract. J. Agric. Univ. Hebei 2010, 33, 92–96. [Google Scholar]
- Alexander, B.; Browse, D.J.; Reading, S.J.; Benjamin, I.S. A simple and accurate mathematical method for calculation of the EC50. J. Pharmacol. Toxicol. Meth. 1999, 41, 55–58. [Google Scholar] [CrossRef]
© 2020 by the authors. Licensee MDPI, Basel, Switzerland. This article is an open access article distributed under the terms and conditions of the Creative Commons Attribution (CC BY) license (http://creativecommons.org/licenses/by/4.0/).




