Unsteady Flow Characteristics of Rotating Stall and Surging in a Backward Centrifugal Fan at Low Flow-Rate Conditions
Abstract
1. Introduction
2. Computational Geometric Model and Parameter of Backward Centrifugal Fan
3. Numerical Methods and Experimental Test
3.1. Governing Equations and Turbulence Model
3.2. Verification of Grid Independence
3.3. Boundary Conditions
3.4. Experimental Test
4. Results and Discussion
4.1. Aerodynamics Performance of Double Inlet Backward Centrifugal Fan
4.2. Steady Flow Field Distribution Characteristics
4.2.1. Internal Steady Flow at Different Working Conditions
4.2.2. Secondary Flow Distribution
4.3. Internal Unsteady Complex Flow with Time Evolution
4.4. Fluctuation and Its Spectral Analysis at Low Flow Rates
4.4.1. Pulsation Time Domain Analysis of Pressure and Velocity
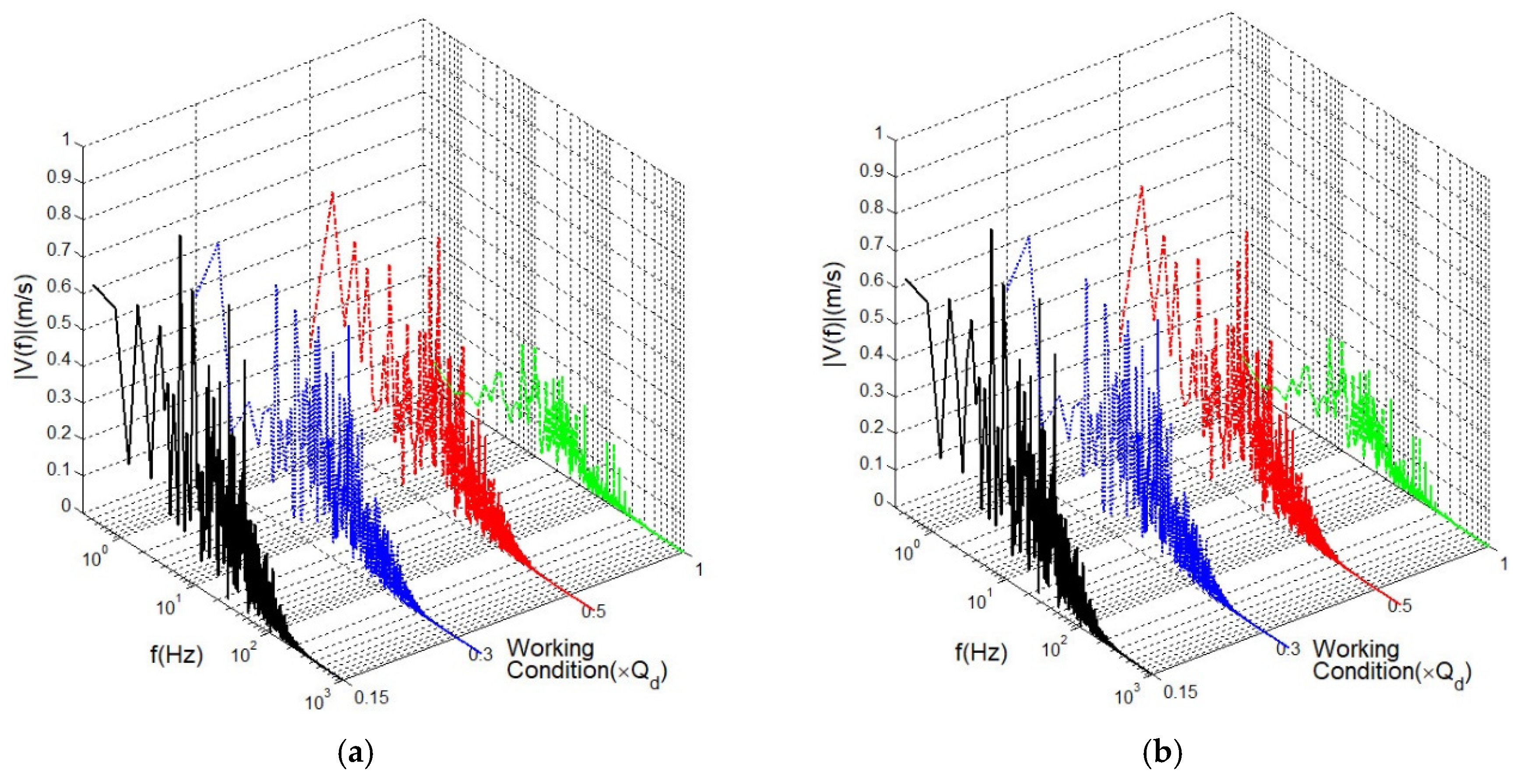
4.4.2. Fast Fourier Transform Analysis of Pressure and Velocity Fluctuations
5. Conclusions
Author Contributions
Funding
Conflicts of Interest
References
- Stefano, B.; Alessandro, C.; Cecilia, T. A critical review of stall control techniques in industrial fans. ISRN Mech. Eng. 2013, 2013, 526192. [Google Scholar]
- Kim, K.H.; Fleeter, S. Compressor unsteady aerodynamicresponse to rotating stall and surge excitations. J. Propuls. Power 1994, 10, 698–708. [Google Scholar]
- Cau, G.; Mandas, N.; Manfrida, G. Measurements of primary and secondary flows in an industrial forward-curved centrifugal fan. J. Fluids Eng. 1987, 109, 353–361. [Google Scholar] [CrossRef]
- Fike, M.; Bombek, G.; Hribersek, M.; Hribernik, A. Visualisation of rotating stall in an axial flow fan. Exp. Therm. Fluid Sci. 2014, 53, 269–276. [Google Scholar] [CrossRef]
- Norimasa, S.; Yoichi, K.; Jin, Y. Unsteady Flow at low flow-rate region in a semi-open propeller fan (velocity fluctuation outside of blade tip). J. Therm. Sci. 2011, 20, 218–223. [Google Scholar]
- Xiao, M.; Xiao, Q.; Dou, H.S. Study of flow instability in a centrifugal fan based on energy gradient theory. J. Mech. Sci. Technol. 2016, 30, 507–517. [Google Scholar] [CrossRef]
- Day, I.J. Stall, Surge, and 75 Years of Research. J. Turbomach. 2015, 138, 011001. [Google Scholar] [CrossRef]
- Semlitsch, B.; Mihaescu, M. Flow phenomena leading to surge in a centrifugal compressor. Energy 2016, 103, 572–587. [Google Scholar] [CrossRef]
- Yang, J.; Meng, L. Unsteady internal flow field simulations in a double suction centrifugal fan. Emerald Insight 2013, 30, 345–356. [Google Scholar] [CrossRef]
- Ding, W.; Chen, Y.; Ding, Y. Analysis of internal flow field for a three-stage centrifugal fan under various operating conditions. J. Eng. 2019, 13, 328–334. [Google Scholar] [CrossRef]
- Sushanlal, B.; Anish, S. Transient analysis of upstream wake inside turbine blade passage with purge flow. Aerosp. Sci. Technol. 2020, 98, 105654. [Google Scholar] [CrossRef]
- Abramian, M.; Howard, J.H.G. Experimental Investigation of the Steady and Unsteady Relative Flow in a Model Centrifugal Impeller Passage. J. Imaging Sci. Technol. 1994, 116, 269–279. [Google Scholar] [CrossRef]
- Ubaldi, M.; Zunino, P.; Ghiglione, A. Detailed flow measurements within the impeller and the vaneless diffuser of a centrifugal turbomachine. Exp. Therm. Fluid Sci. 1998, 17, 147–155. [Google Scholar] [CrossRef]
- Bianchi, S.; Corsini, A.; Sheard, A.G. Demonstration of a stall detection system for induced-draft fans. J. Power Energy 2013, 33, 214–222. [Google Scholar] [CrossRef]
- Lin, S.C.; Huang, C.L. An integrated experimental and numerical study of forward–curved centrifugal fan. Exp. Therm. Fluid Sci. 2002, 26, 421–434. [Google Scholar] [CrossRef]
- Fujisawa, N.; Inui, T.; Ohta, Y. Evolution Process of Diffuser Stall in a Centrifugal Compressor With Vaned Diffuser. J. Turbomach. 2018, 141, 041009–041020. [Google Scholar] [CrossRef]
- Sheard, A.G.; Corsini, A. The mechanical impact of aerodynamic stall on tunnel ventilation fans. Int. J. Rotating Mach. 2012, 2, 20–27. [Google Scholar] [CrossRef]
- Biliotti, D.; Bianchini, A.; Vannini, G.; Belardini, E.; Giachi, M.; Tapinassi, L.; Ferrari, L.; Ferrara, G. Analysis of the Rotordynamic Response of a Centrifugal Compressor Subject to Aerodynamic Loads Due to Rotating Stall. J. Turbomach. 2015, 137, 021002–021012. [Google Scholar] [CrossRef]
- Fink, D.A.; Cumpsty, N.A.; Greitzer, E.M. Surge dynamics in a free-spool centrifugal compressor system. J. Turbomach. 1992, 114, 321–332. [Google Scholar] [CrossRef]
- Christensen, D.; Cantin, P.; Gutz, D.; Szucs, P.N.; Wadia, A.R.; Armor, J.; Dhingra, M.; Neumeier, Y.; Prasad, J.V.R. Development and demonstration of a stability management system for gas turbine engines. J. Turbomach. 2008, 130, 031011–031019. [Google Scholar] [CrossRef]
- Yang, H.; Yu, P.Q.; Xu, J.; Ying, C.; Cao, W.; Wang, Y.; Zhu, Z.; Wei, Y. Experimental investigations on the performance and noise characteristics of a forward-curved fan with the stepped tongue. Meas. Control 2019, 52, 1480–1488. [Google Scholar] [CrossRef]
- Krain, H. Review of Centrifugal Compressor’s Application and Development. J. Turbomach. 2005, 127, 25–34. [Google Scholar] [CrossRef]
- Zhang, N.; Liu, X.; Gao, B.; Xia, B. DDES analysis of the unsteady wake flow and its evolution of a centrifugal pump. Renew. Energy 2019, 141, 570–582. [Google Scholar] [CrossRef]
- Zhang, N.; Liu, X.; Gao, B.; Wang, X.; Xia, B. Effects of modifying the blade trailing edge profile on unsteady pressure pulsations and flow structures in a centrifugal pump. Int. J. Heat Fluid Flow 2019, 75, 227–238. [Google Scholar] [CrossRef]
- Yang, H.; Zhang, W.; Zhu, Z.C. Unsteady mixed convection in a square enclosure with an inner cylinder rotating in a bi-directional and time-periodic mode. Int. J. Heat Mass Transf. 2019, 136, 563–580. [Google Scholar] [CrossRef]
- Lun, Y.; Lin, L.; He, H.; Ye, X.; Zhu, Z.; Wei, Y. Effects of Vortex Structure on Performance Characteristics of a Multiblade Fan with Inclined tongue. Proc. Inst. Mech. Eng. Part A J. Power Energy 2019, 233, 1007–1021. [Google Scholar] [CrossRef]
- Wei, Y.K.; Zhu, L.L.; Wang, Z.D. Numerical and experimental investigations on the flow and noise characteristics in a centrifugal fan with step tongue volutes. Proc. Inst. Mech. Eng. Part C J. Mech. Eng. Sci. 2019. [Google Scholar] [CrossRef]
- Wang, Z.D.; Wei, Y.K.; Qian, Y.H. A bounce back-immersed boundary-lattice Boltzmann model for curved boundary. Appl. Math. Model. 2020, 81, 428–440. [Google Scholar] [CrossRef]
- Zhang, W.; Li, X.J.; Zhu, Z.C. Quantification of wake unsteadiness for low-Re flow across two staggered cylinders. Proc. Inst. Mech. Eng. Part C J. Mech. Eng. Sci. 2019, 233, 19–20. [Google Scholar] [CrossRef]
- Hu, X.Q.; Yang, Q.W.; Xiao, G.; Chen, X.T.; Qiu, X. Power generation enhancement in direct methanol fuel cells using non-uniform cross-sectional serpentine channels. Energy Convers. Manag. 2019, 188, 438–446. [Google Scholar] [CrossRef]
- Yu, J.W.; Jiang, Y.Q.; Cai, W.H. Forced convective condensation flow and heat transfer characteristics of hydrocarbon mixtures refrigerant in helically coiled tubes. Int. J. Heat Mass Transf. 2018, 124, 646–654. [Google Scholar] [CrossRef]
- Tao, J.; Lin, Z.; Ma, C.; Ye, J.; Zhu, Z.; Li, Y.; Mao, W. An Experimental and Numerical Study of Regulating Performance and Flow Loss in a V-Port Ball Valve. ASME J. Fluids Eng. 2020, 142, 021207–021218. [Google Scholar] [CrossRef]
- Fernandez, J.M.; MeanaFernandez, A.; Galdo, V.M.; Pereiras, B.; Perez, J.G. LES-based simulation of the time-resolved flow for rotor-stator interactions in axial fan stages. Int. J. Numer. Methods Heat Fluid Flow 2019, 29, 657–681. [Google Scholar] [CrossRef]
- Lin, Z.; Liu, Z.X.; Liu, Q.; Li, Y. Fluidization characteristics of particles in a groove induced by horizontal air flow. Powder Technol. 2020, 363, 442–447. [Google Scholar] [CrossRef]
- Zheng, X.; Lin, Z.; Xu, B.Y. Thermal conductivity and sorption performance of nano-silver powder/FAPO-34 composite fin. Appl. Therm. Eng. 2019, 160, 114055–114063. [Google Scholar] [CrossRef]
- Yu, J.W.; Jiang, Y.Q.; Cai, W.H. Condensation flow patterns and heat transfer correction for zeotropic hydrocarbon mixtures in a helically coiled tube. Int. J. Heat Mass Transf. 2019, 143, 112–121. [Google Scholar] [CrossRef]
- Li, X.; Li, B.; Yu, B.; Ren, Y.; Chen, B. Calculation of cavitation evolution and associated turbulent kinetic energy transport around a NACA66 hydrofoil. J. Mech. Sci. Technol. 2019, 33, 1231–1241. [Google Scholar] [CrossRef]
























| Parameter | Dimension |
|---|---|
| Blade inner diameter (d1) | 368 mm |
| Blade outer diameter (d2) | 500 mm |
| Blade width (b) | 126 mm |
| Blade length (I) | 150 mm |
| Blade inlet angle (β1) | 19.5° |
| Blade outlet angle (β2) | 47° |
| Number of blades (Z) | 12 |
| Volute width (B) | 668 mm |
| Component | Number of Grids/103 |
|---|---|
| Left Impeller domain | 1109 |
| Right Impeller domain | 1237 |
| Left Inlet duct domain | 218 |
| Right Inlet duct domain | 218 |
| Outlet duct domain | 67 |
| Volute domain | 414 |
| Total | 3263 |
© 2020 by the authors. Licensee MDPI, Basel, Switzerland. This article is an open access article distributed under the terms and conditions of the Creative Commons Attribution (CC BY) license (http://creativecommons.org/licenses/by/4.0/).
Share and Cite
Zhou, B.; He, X.; Yang, H.; Zhu, Z.; Wei, Y.; Zhang, Y. Unsteady Flow Characteristics of Rotating Stall and Surging in a Backward Centrifugal Fan at Low Flow-Rate Conditions. Processes 2020, 8, 872. https://doi.org/10.3390/pr8070872
Zhou B, He X, Yang H, Zhu Z, Wei Y, Zhang Y. Unsteady Flow Characteristics of Rotating Stall and Surging in a Backward Centrifugal Fan at Low Flow-Rate Conditions. Processes. 2020; 8(7):872. https://doi.org/10.3390/pr8070872
Chicago/Turabian StyleZhou, Biao, Ximing He, Hui Yang, Zuchao Zhu, Yikun Wei, and Yan Zhang. 2020. "Unsteady Flow Characteristics of Rotating Stall and Surging in a Backward Centrifugal Fan at Low Flow-Rate Conditions" Processes 8, no. 7: 872. https://doi.org/10.3390/pr8070872
APA StyleZhou, B., He, X., Yang, H., Zhu, Z., Wei, Y., & Zhang, Y. (2020). Unsteady Flow Characteristics of Rotating Stall and Surging in a Backward Centrifugal Fan at Low Flow-Rate Conditions. Processes, 8(7), 872. https://doi.org/10.3390/pr8070872

