Controlling the Skin Barrier Quality through the Application of Polymeric Films Containing Microspheres with Encapsulated Plant Extract
Abstract
1. Introduction
2. Materials and Methods
2.1. Materials
2.2. Preparation of Gelatin Microspheres
2.3. Production of Polymeric Films
2.4. The Samples Characterization
2.4.1. Mechanical Properties
2.4.2. Moisture Content
2.4.3. Contact Angles and Surface Free Energy
2.4.4. Loading Capacity of Matrices with Microspheres
2.4.5. In Vitro Release Study
2.4.6. Skin Examination
3. Results and Discussion
3.1. Mechanical Properties
3.2. Moisture Content
3.3. Contact Angles and Surface Free Energy
3.4. Loading Capacity and In Vitro Release
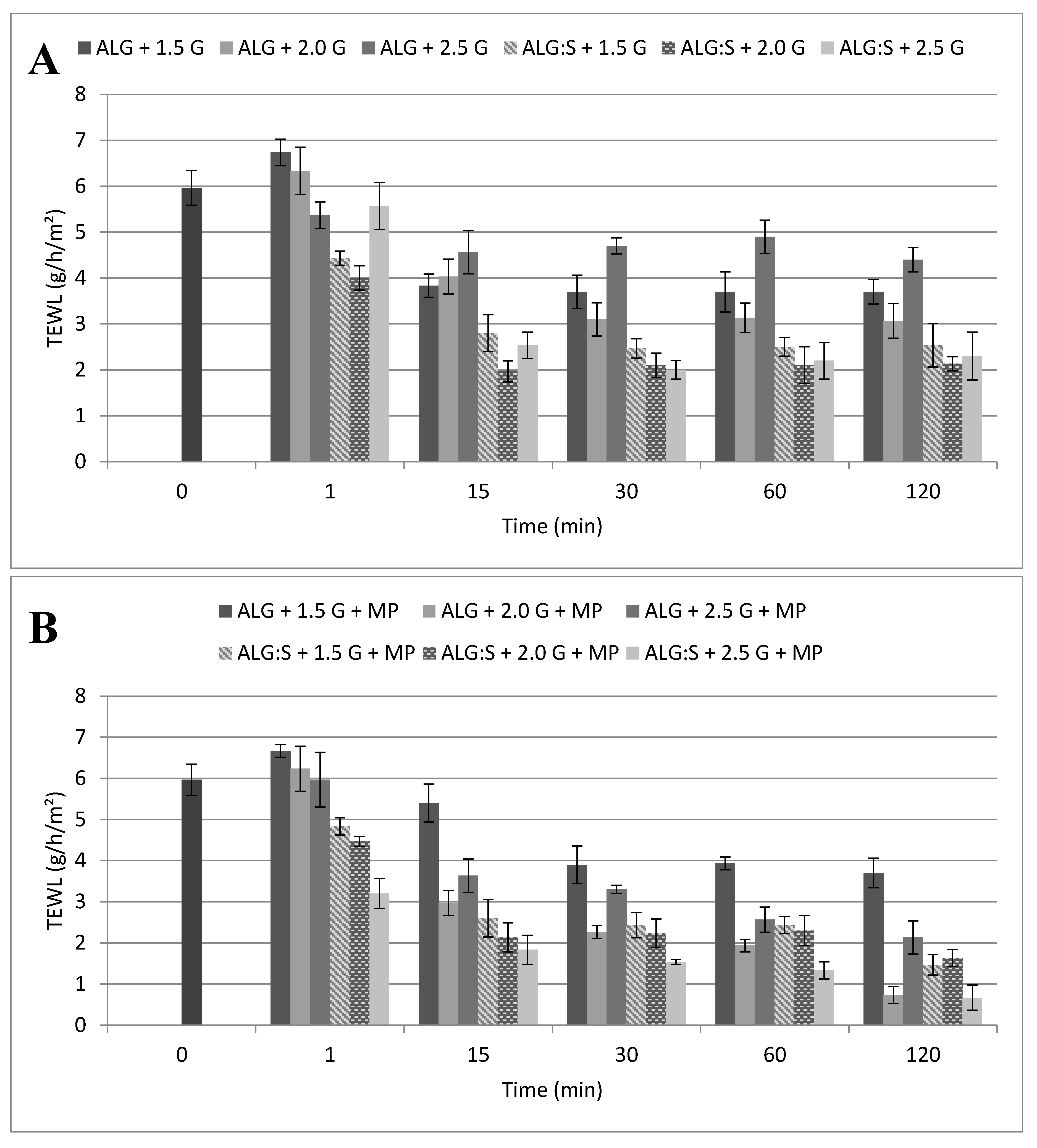
3.5. Skin Examination
4. Conclusions
Author Contributions
Funding
Acknowledgments
Conflicts of Interest
References
- Milani, M.; Sparavigna, A. The 24-hour skin hydration and barrier function effects of a hyaluronic 1%, glycerin 5%, and Centella asiatica stem cells extract moisturizing fluid: An intra-subject, randomized, assessor-blinded study. Clin. Cosmet. Investig. Dermatol. 2017, 10, 311–315. [Google Scholar] [CrossRef]
- van Jansen Rensburg, S.; Franken, A.; Du Plessis, J.L. Measurement of transepidermal water loss, stratum corneum hydration and skin surface pH in occupational settings: A review. Skin Res. Technol. 2019, 25, 595–605. [Google Scholar] [CrossRef]
- Engebretsen, K.A.; Johansen, J.D.; Kezic, S.; Linneberg, A.; Thyssen, J.P. The effect of environmental humidity and temperature on skin barrier function and dermatitis. J. Eur. Acad. Dermatol. Venereol. 2016, 30, 223–249. [Google Scholar] [CrossRef]
- Wallen-Russell, C. Is There a Relationship between Transepidermal Water Loss and Microbial Biodiversity on the Skin? Cosmetics 2019, 6, 18. [Google Scholar] [CrossRef]
- Biliaderis, C.G. Structural transitions and related physical properties of starch. In Starch, 3rd ed.; James BeMiller, J., Whistler, R., Eds.; Academic Press: Burlington, MA, USA, 2009; pp. 293–372. [Google Scholar]
- Mackie, W.; Noy, R.; Sellen, D.B. Solution properties of sodium alginate. Biopolym. Orig. Res. Biomol. 1980, 19, 1839–1860. [Google Scholar] [CrossRef]
- Tønnesen, H.H.; Karlsen, J. Alginate in drug delivery systems. Drug Dev. Ind. Pharm. 2002, 28, 621–630. [Google Scholar] [CrossRef]
- Pereira, L.; Sousa, A.; Coelho, H.; Amado, A.M.; Ribeiro-Claro, P.J. Use of FTIR, FT-Raman and 13C-NMR spectroscopy for identification of some seaweed phycocolloids. Biomol. Eng. 2003, 20, 223–228. [Google Scholar] [CrossRef]
- Tester, R.F.; Karkalas, J.; Qi, X. Starch—composition, fine structure and architecture. J. Cereal Sci. 2004, 39, 151–165. [Google Scholar] [CrossRef]
- Buléon, A.; Colonna, P.; Planchot, V.; Ball, S. Starch granules: Structure and biosynthesis. Int. J. Biol. Macromol. 1998, 23, 85–112. [Google Scholar] [CrossRef]
- Talja, R.A.; Helén, H.; Roos, Y.H.; Jouppila, K. Effect of various polyols and polyol contents on physical and mechanical properties of potato starch-based films. Carbohydr. Polym. 2007, 67, 288–295. [Google Scholar] [CrossRef]
- Haug, I.J.; Draget, K.I.; Smidsrød, O. Physical and rheological properties of fish gelatin compared to mammalian gelatin. Food Hydrocoll. 2004, 18, 203–213. [Google Scholar] [CrossRef]
- Gómez-Estaca, J.; Montero, P.; Fernández-Martín, F.; Gómez-Guillén, M.C. Physico-chemical and film-forming properties of bovine-hide and tuna-skin gelatin: A comparative study. J. Food Eng. 2009, 90, 480–486. [Google Scholar] [CrossRef]
- Marturano, V.; Kozlowska, J.; Bajek, A.; Giamberini, M.; Ambrogi, V.; Cerruti, P.; Garcia-Valls, R.; Montornes, J.M.; Tylkowski, B. Photo-triggered capsules based on lanthanide-doped upconverting nanoparticles for medical applications. Coord. Chem. Rev. 2019, 398, 213013. [Google Scholar] [CrossRef]
- El Asbahani, A.; Miladi, K.; Badri, W.; Sala, M.; Addi, E.A.; Casabianca, H.; El Mousadik, A.; Hartmann, D.; Jilale, A.; Renaud, F.N.R.; et al. Essential oils: From extraction to encapsulation. Int. J. Pharm. 2015, 483, 220–243. [Google Scholar] [CrossRef]
- Delmote, J.; Teruel-Biosca, L.; Ribelles, J.L.G.; Ferrer, G.G. Emulsion based microencapsulation of proteins in poly (L-lactic acid) films and membranes for the controlled release of drugs. Polym. Degrad. Stabil. 2017, 146, 24–33. [Google Scholar] [CrossRef]
- Re, T.A.; Mooney, D.; Antignac, E.; Dufour, E.; Bark, I.; Srinivasan, V.; Nohynek, G. Application of the threshold of toxicological concern approach for the safety evaluation of calendula flower (Calendula officinalis) petals and extracts used in cosmetic and personal care products. Food Chem. Toxicol. 2009, 47, 1246–1254. [Google Scholar] [CrossRef]
- Preethi, K.C.; Kuttan, G.; Kuttan, R. Antioxidant Potential of an Extract of Calendula officinalis. Flowers in Vitro and in Vivo. Pharm. Biol. 2006, 44, 691–697. [Google Scholar] [CrossRef]
- Fonseca, Y.M.; Catini, C.D.; Vicentini, F.T.; Nomizo, A.; Gerlach, R.F.; Fonseca, M.J.V. Protective effect of Calendula officinalis extract against UVB-induced oxidative stress in skin: Evaluation of reduced glutathione levels and matrix metalloproteinase secretion. J. Ethnopharmacol. 2010, 127, 596–601. [Google Scholar] [CrossRef]
- Ukiya, M.; Akihisa, T.; Yasukawa, K.; Tokuda, H.; Suzuki, T.; Kimura, Y. Anti-inflammatory, anti-tumor-promoting, and cytotoxic activities of constituents of marigold (Calendula officinalis) flowers. J. Nat. Prod. 2006, 69, 1692–1696. [Google Scholar] [CrossRef]
- Efstratiou, E.; Hussain, A.I.; Nigam, P.S.; Moore, J.E.; Ayub, M.A.; Rao, J.R. Antimicrobial activity of Calendula officinalis petal extracts against fungi, as well as Gram-negative and Gram-positive clinical pathogens. Complement. Ther. Clin. Prac. 2012, 18, 173–176. [Google Scholar] [CrossRef]
- Jiménez-Medina, E.; Garcia-Lora, A.; Paco, L.; Algarra, I.; Collado, A.; Garrido, F. A new extract of the plant calendula officinalis produces a dual in vitroeffect: Cytotoxic anti-tumor activity and lymphocyte activation. BMC Cancer 2006, 6, 119. [Google Scholar] [CrossRef] [PubMed]
- Chandran, P.K.; Kuttan, R. Effect of Calendula officinalis flower extract on acute phase proteins, antioxidant defense mechanism and granuloma formation during thermal burns. J. Clin. Biochem. Nutr. 2008, 43, 58–64. [Google Scholar] [CrossRef] [PubMed]
- Jan, N.; John, R. Calendula officinalis-an important medicinal plant with potential biological properties. Proc. Indian Natl. Sci. Acad. 2017, 83, 769–787. [Google Scholar]
- Kozlowska, J.; Stachowiak, N.; Prus, W. Stability studies of collagen-based microspheres with Calendula officinalis flower extract. Polym. Degrad. Stabil. 2019, 163, 214–219. [Google Scholar] [CrossRef]
- Kozlowska, J.; Stachowiak, N.A.; Sionkowska, A. The preparation and characterization of composite materials by incorporating microspheres into a collagen/hydroxyethyl cellulose matrix. Polym. Test. 2018, 69, 350–358. [Google Scholar] [CrossRef]
- Kozlowska, J.; Stachowiak, N.; Sionkowska, A. Collagen/gelatin/hydroxyethyl cellulose composites containing microspheres based on collagen and gelatin: Design and evaluation. Polymers 2018, 10, 456. [Google Scholar] [CrossRef]
- Singleton, V.L.; Rossi, J.A. Colorimetry of total phenolics with phosphomolybdic-phosphotungstic acid reagents. Am. J. Enol. Vitic. 1965, 16, 144–158. [Google Scholar]
- Aguirre-Loredo, R.Y.; Rodríguez-Hernández, A.I.; Morales-Sánchez, E.; Gómez-Aldapa, C.A.; Velazquez, G. Effect of equilibrium moisture content on barrier, mechanical and thermal properties of chitosan films. Food Chem. 2016, 196, 560–566. [Google Scholar] [CrossRef]
- Senturk Parreidt, T.; Müller, K.; Schmid, M. Alginate-based edible films and coatings for food packaging applications. Foods 2018, 7, 170. [Google Scholar] [CrossRef]
- Gao, C.; Pollet, E.; Avérous, L. Properties of glycerol-plasticized alginate films obtained by thermo-mechanical mixing. Food Hydrocoll. 2017, 63, 414–420. [Google Scholar] [CrossRef]
- Tapia-Blácido, D.R.; do Amaral Sobral, P.J.; Menegalli, F.C. Effect of drying conditions and plasticizer type on some physical and mechanical properties of amaranth flour films. LWT-Food Sci. Technol. 2013, 50, 392–400. [Google Scholar] [CrossRef]
- Ghasemlou, M.; Khodaiyan, F.; Oromiehie, A. Physical, mechanical, barrier, and thermal properties of polyol-plasticized biodegradable edible film made from kefiran. Carbohydr. Polym. 2011, 84, 477–483. [Google Scholar] [CrossRef]
- Zhang, Y.; Han, J.H. Plasticization of pea starch films with monosaccharides and polyols. J. Food Sci. 2006, 71, E253–E261. [Google Scholar] [CrossRef]
- Shaw, N.B.; Monahan, F.J.; O’riordan, E.D.; O’sullivan, M. Physical properties of WPI films plasticized with glycerol, xylitol, or sorbitol. J. Food Sci. 2002, 67, 164–167. [Google Scholar] [CrossRef]
- Sionkowska, A.; Płanecka, A.; Kozłowska, J.; Skopińska-Wiśniewska, J. Surface properties of UV-irradiated poly (vinyl alcohol) films containing small amount of collagen. Appl. Surf. Sci. 2009, 255, 4135–4139. [Google Scholar] [CrossRef]
- Tran, T.H.; Ramasamy, T.; Poudel, B.K.; Marasini, N.; Moon, B.K.; Cho, H.J.; Choi, H.G.; Yong, C.S.; Kim, J.O. Preparation and characterization of spray-dried gelatin microspheres encapsulating ganciclovir. Macromol. Res. 2014, 22, 124–130. [Google Scholar] [CrossRef]
- Batt, M.D.; Fairhurst, E. Hydration of the stratum corneum. Int. J. Cosmet. Sci. 1986, 8, 253–264. [Google Scholar] [CrossRef]
- Lodén, M. Effect of moisturizers on epidermal barrier function. Clin. Dermatol. 2012, 30, 286–296. [Google Scholar] [CrossRef]
- Graziola, F.; Candido, T.M.; de Oliveira, C.A.; Peres, D.D.A.; Issa, M.G.; Mota, J.; Rosado, C.; Consiglieri, V.O.; Kaneko, T.M.; Velasco, M.V.R.; et al. Gelatin-based microspheres crosslinked with glutaraldehyde and rutin oriented to cosmetics. Braz. J. Pharm. Sci. 2016, 52, 603–612. [Google Scholar] [CrossRef]






| Weight Ratio (%) | Addition (%) | |||
|---|---|---|---|---|
| Sample | ALG | S | G | |
| 1. | ALG + 1.5 G | 100 | - | 1.5 | 
| 2. | ALG + 2.0 G | 100 | - | 2.0 | 
| 3. | ALG + 2.5 G | 100 | - | 2.5 | 
| 4. | ALG: S + 1.5 G | 80 | 20 | 1.5 | 
| 5. | ALG: S + 2.0 G | 80 | 20 | 2.0 | 
| 6. | ALG: S + 2.5 G | 80 | 20 | 2.5 | 
| E (MPa) | ||
|---|---|---|
| Without Microspheres | With Microspheres | |
| ALG + 1.5 G | 79.3 ± 2.1 | 50.6 ± 0.9 | 
| ALG + 2.0 G | 18.1 ± 1.1 | 10.4 ± 1.8 | 
| ALG + 2.5 G | 10.0 ± 1.0 | 2.7 ± 0.2 | 
| ALG: S + 1.5 G | 67.6 ± 3.6 | 31.7 ± 2.1 | 
| ALG: S + 2.0 G | 25.6 ± 1.9 | 12.1 ± 0.7 | 
| ALG: S + 2.5 G | 14.8 ± 0.7 | 4.4 ± 0.3 | 
| Moisture Content (%) | ||
|---|---|---|
| Without Microspheres | With Microspheres | |
| ALG + 1.5 G | 39.6 ± 2.7 | 34.9 ± 1.2 | 
| ALG + 2.0 G | 50.6 ± 3.1 | 42.8 ± 1.9 | 
| ALG + 2.5 G | 64.8 ± 4.2 | 52.6 ± 0.7 | 
| ALG: S + 1.5 G | 34.4 ± 3.1 | 32.5 ± 1.2 | 
| ALG: S + 2.0 G | 44.4 ± 1.1 | 43.2 ± 2.7 | 
| ALG: S + 2.5 G | 52.4 ± 3.7 | 46.9 ± 2.2 | 
| Contact Angle (°) | Surface Free Energy (γ) (mN/m) | Dispersive (γd) and Polar (γp) Components (mN/m) | |||
|---|---|---|---|---|---|
| D | G | γd | γp | ||
| ALG + 1.5 G | 82.4 | 46.6 | 47.0 | 6.91 | 40.09 | 
| ALG + 2.0 G | 79.0 | 54.0 | 40.1 | 9.12 | 31.01 | 
| ALG + 2.5 G | 85.1 | 54.2 | 41.2 | 6.57 | 34.58 | 
| ALG: S + 1.5 G | 63.1 | 57.5 | 37.8 | 17.89 | 19.87 | 
| ALG: S + 2.0 G | 61.6 | 61.2 | 35.9 | 19.42 | 16.49 | 
| ALG: S + 2.5 G | 68.9 | 62.1 | 34.2 | 15.49 | 18.75 | 
© 2020 by the authors. Licensee MDPI, Basel, Switzerland. This article is an open access article distributed under the terms and conditions of the Creative Commons Attribution (CC BY) license (http://creativecommons.org/licenses/by/4.0/).
Share and Cite
Kozlowska, J.; Tylkowski, B.; Stachowiak, N.; Prus-Walendziak, W. Controlling the Skin Barrier Quality through the Application of Polymeric Films Containing Microspheres with Encapsulated Plant Extract. Processes 2020, 8, 530. https://doi.org/10.3390/pr8050530
Kozlowska J, Tylkowski B, Stachowiak N, Prus-Walendziak W. Controlling the Skin Barrier Quality through the Application of Polymeric Films Containing Microspheres with Encapsulated Plant Extract. Processes. 2020; 8(5):530. https://doi.org/10.3390/pr8050530
Chicago/Turabian StyleKozlowska, Justyna, Bartosz Tylkowski, Natalia Stachowiak, and Weronika Prus-Walendziak. 2020. "Controlling the Skin Barrier Quality through the Application of Polymeric Films Containing Microspheres with Encapsulated Plant Extract" Processes 8, no. 5: 530. https://doi.org/10.3390/pr8050530
APA StyleKozlowska, J., Tylkowski, B., Stachowiak, N., & Prus-Walendziak, W. (2020). Controlling the Skin Barrier Quality through the Application of Polymeric Films Containing Microspheres with Encapsulated Plant Extract. Processes, 8(5), 530. https://doi.org/10.3390/pr8050530
 
        



 
       