A Visualization and Control Strategy for Dynamic Sustainability of Chemical Processes
Abstract
1. Introduction
2. Background
2.1. Fermentation Process
2.2. Sustainability Assessment Tool
3. Process Control for Sustainable Process Operation
3.1. Integrated Control Strategy for Sustainability
3.2. BIO-CS (Biologically Inspired Optimal Control Strategy) Controller
4. Visualization of Dynamic Sustainability Performance
4.1. Visualization Approach
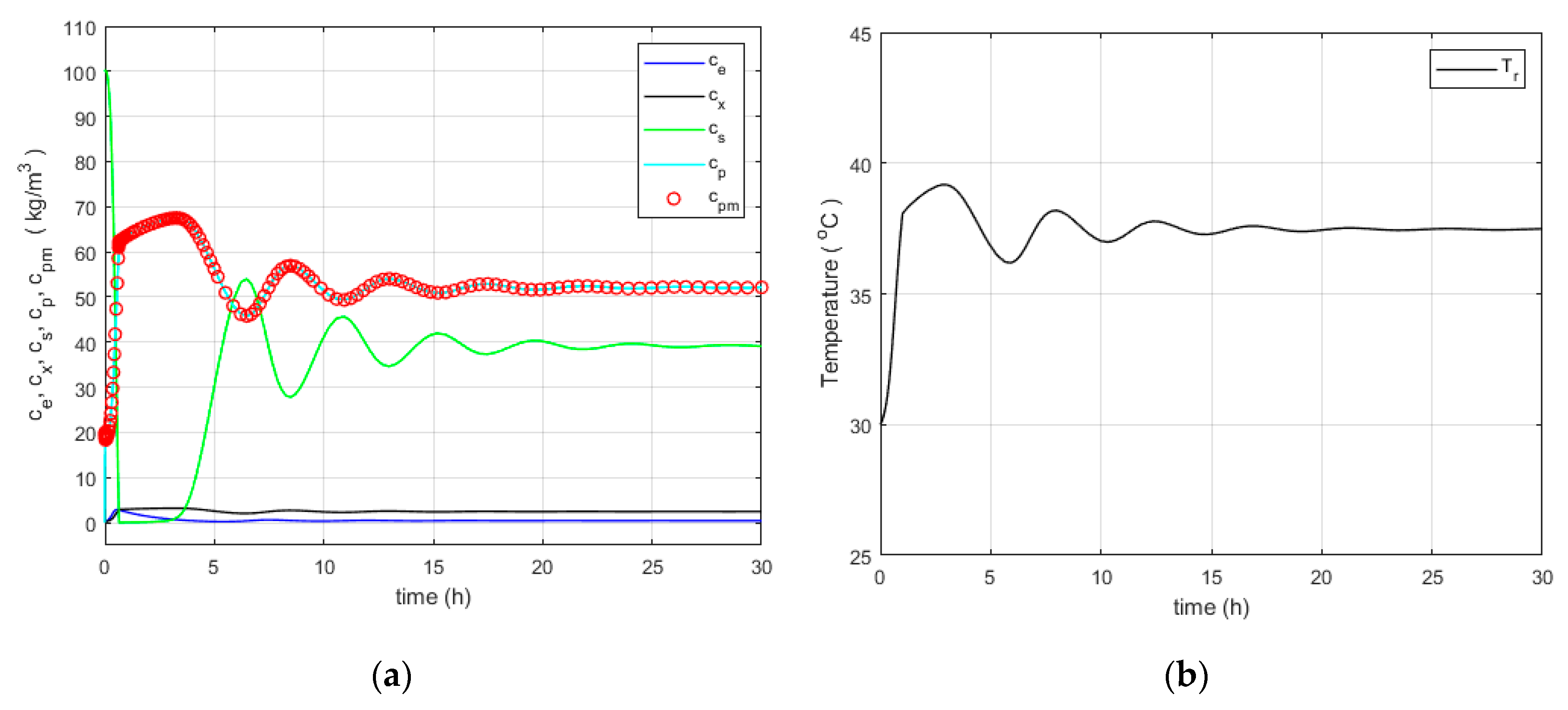
4.2. Open-Loop Simulation Example
5. Closed-Loop Simulation Results and Discussions
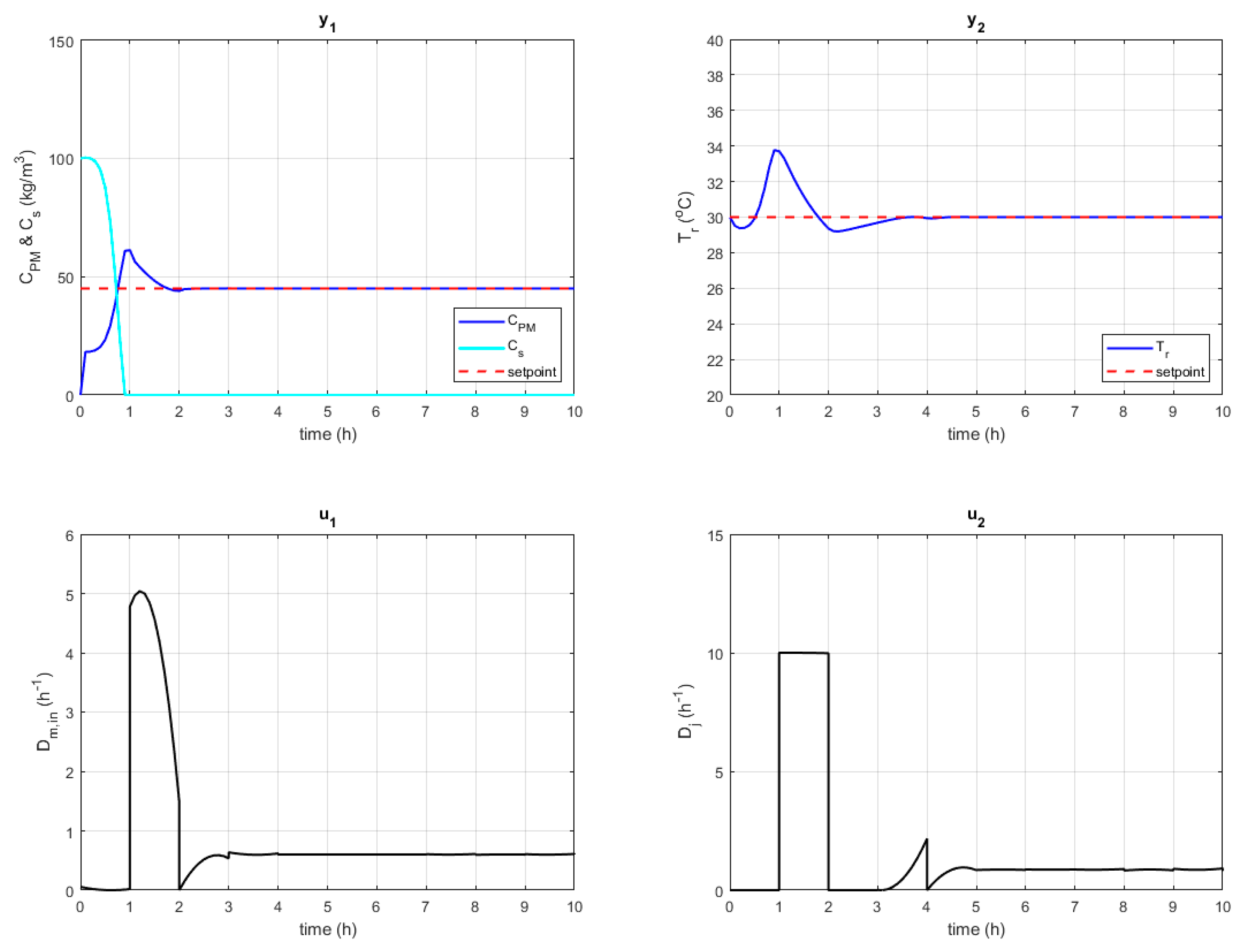
5.1. Case 1
5.2. Case 2
6. Conclusions and Future Work
Author Contributions
Funding
Conflicts of Interest
Disclaimer
Nomenclature
| Variables | Definition (Units) |
| A1/A2 | Exponential factors in Arrhenius equation |
| AM | Area of membrane (m2) |
| AC | Concentration analysis control |
| AT | Heat transfer area (m2) |
| Ci | Concentration of component i (kg/m3) |
| Cp,r | Heat capacity of the reactants (kJ/kg/K) |
| Cp,w | Heat capacity of cooling water (kJ/kg/K) |
| CSRM | Specific raw material cost indicator |
| Din | Inlet fermentor dilution rate (h−1) |
| Dj | Cooling water flow rate (h−1) |
| Dout | Outlet fermentor dilution rate (h−1) |
| Dm,in | Inlet membrane dilution rate (h−1) |
| Dm,out | Outlet membrane dilution rate (h−1) |
| Ea1/Ea2 | Activation energies (kJ/mol) |
| EQ | Environmental quotient indicator |
| Process model | |
| GWP | Global warming potential indicator |
| J | Control objective |
| KS | Monod constant (kg/m3) |
| KT | Heat transfer coefficient (kJ/h/ m2/K) |
| k1 | Empirical constant (h−1) |
| k2 | Empirical constant (m3/kgh) |
| k3 | Empirical constant (m6/kg2h) |
| ms | Maintenance factor based on substrate (kg/kgh) |
| mp | Maintenance factor based on product (kg/kgh) |
| Production rate (kg/h) | |
| M | Mixer |
| MW | Molecular weight (g/mole) |
| Membrane permeability (m/h) | |
| P | Correction factor |
| Parameters of the process model | |
| Sustainability indicator percent score | |
| Maximum percent score for the specific indicator i | |
| ri | Production rate of component i (kg/m3) |
| R | Gas constant |
| RY | Reaction yield indicator |
| RSEI | Specific energy intensity indicator |
| Sustainability constraint i | |
| Dynamic sustainability index | |
| Average sustainability index | |
| Threshold value for sustainability index | |
| TC | Temperature control |
| Tj | Temperature of cooling water in the jacket (K) |
| Tw,in | Inlet temperature of cooling water (K) |
| Tr | Temperature of the reactor (K) |
| Initial time interval | |
| Final time interval | |
| Input variables | |
| The past input action for the controller | |
| Lower boundary for input variables | |
| upper boundary for input variables | |
| VF | Fermentor volume (m3) |
| VM | Membrane volume (m3) |
| Vj | Cooling jacket volume (m3) |
| Weighting factors i | |
| Penalty factor on the output variables for the controller | |
| Penalty factor on the input variables for the controller | |
| Water intensity indicator | |
| Upper WI boundary (m3/kg) | |
| Lower WI boundary (m3/kg) | |
| State variables | |
| Derivatives of state variable | |
| Lower boundary for state variables | |
| upper boundary for state variables | |
| Output variables | |
| Setpoint for process controller | |
| Ysx | Yield factor based on substrate (kg/kg) |
| Ypx | Yield factor based on product (kg/kg) |
| Greek Symbols | |
| Reactants density (kg/m3) | |
| Cooling water density (kg/m3) | |
| Specific growth rate (h−1) | |
| Maximum specific growth rate (h−1) | |
| Heat of fermentation reaction (kJ/kg) | |
| Subscripts | |
| e | Key component inside the fermentor |
| e0 | Inlet key component to the fermentor |
| P | Product (ethanol) inside the fermentor |
| P0 | Inlet product to the fermentor |
| PM | Product (ethanol) inside the membrane |
| S | Substrate inside the fermentor |
| S0 | Inlet substrate to the fermentor |
| X | Biomass inside the fermentor |
| X0 | Inlet biomass to the fermentor |
Appendix A
| Category | Indicator | Formula | Unit | Sustainability Value | |
|---|---|---|---|---|---|
| Best Case (100%) | Worst Case (0%) | ||||
| Efficiency | Reaction Yield (RY) | kg/kg | 1.0 | 0 | |
| Water Intensity (WI) | m3/kg | 0 | 0.1 | ||
| Environmental | Environmental Quotient (EQ) | m3/kg | 0 | 2.5 | |
| Global Warming Potential (GWP) | kg/kg | 0 | Any waste released has a potency factor at least equal to 1 | ||
| Economic | Specific Raw Material Cost (CSRM) | $/kg | 0 | 0.5 | |
| Energy | Specific Energy Intensity (RSEI) | kJ/kg | 0 | 100 | |
References
- Martins, A.A.; Teresa, M.M.; Costa, C.A.V.; Sikdar, S.K. Framework for Sustainability Metrics. Ind. Eng. Chem. Res. 2006, 46, 2962–2973. [Google Scholar] [CrossRef]
- Sikdar, S.K. Sustainable Development and Sustainability Metrics. AIChE J. 2003, 49, 1928–1932. [Google Scholar] [CrossRef]
- Jacquemin, L.; Pontalier, P.-Y.; Sablayrolles, C. Life Cycle Assessment (LCA) Applied to The Process Industry: A Review. Int. J. Life Cycle Assess. 2012, 17, 1028–1041. [Google Scholar] [CrossRef]
- Cobb, C.; Schuster, D.; Beloff, B.; Tanzil, D. The AIChE Sustainability Index the Factors in Detail. Chem. Eng. Prog 2009, 111, 59–63. [Google Scholar]
- Chin, K.; Schuster, D.; Tanzil, D.; Beloff, B.; Cobb, C. Sustainability Trends in the Chemical Industry. Chem. Eng. Prog 2015, 111, 36–40. [Google Scholar]
- Institution of Chemical Engineers. The Sustainability Metrics: Sustainable Development Progress Metrics Recommended for Use in the Process Industries; IChemE: Warwickshire, UK, 2014. [Google Scholar]
- Ruiz-Mercado, G.J.; Gonzalez, M.A.; Smith, R.L. Sustainability Indicators for Chemical Processes: III. Biodiesel Case Study. Ind. Eng. Chem. Res. 2013, 52, 6747–6760. [Google Scholar] [CrossRef]
- Ruiz-Mercado, G.J.; Smith, R.L.; Gonzalez, M.A. Sustainability Indicators for Chemical Processes: I. Taxonomy. Ind. Eng. Chem. Res. 2012, 51, 2309–2328. [Google Scholar] [CrossRef]
- Ruiz-Mercado, G.J.; Smith, R.L.; Gonzalez, M.A. Sustainability Indicators for Chemical Processes: II. Data Needs. Ind. Eng. Chem. Res 2012, 51, 2329–2353. [Google Scholar] [CrossRef]
- Li, S.; Feliachi, Y.; Agbleze, S.; Ruiz-Mercado, G.J.; Smith, R.L.; Meyer, D.E.; Gonzalez, M.A.; Lima, F.V. A Process Systems Framework for Rapid Generation of Life Cycle Inventories for Pollution Control and Sustainability Evaluation. Clean Technol. Environ. Policy 2018, 20, 1543–1561. [Google Scholar] [CrossRef]
- Gao, J.; You, F. Endpoint-Oriented Life Cycle Optimization Models for Sustainable Design and Operations of Shale Gas Supply Chains with Modular Manufacturing. Comput. Aided Chem. Eng. 2018, 43, 591–596. [Google Scholar]
- Dubey, R.; Gunasekaran, A.; Papadopoulos, T.; Childe, S.J.; Shibin, K.T.; Wamba, S.F. Sustainable Supply Chain Management: Framework and Further Research Directions. J. Clean. Prod. 2017, 142, 1119–1130. [Google Scholar] [CrossRef]
- Lozano, F.J.; Lozano, R.; Freire, P.; Jiménez-Gonzalez, C.; Sakao, T.; Ortiz, M.G.; Trianni, A.; Carpenter, A.; Viveros, T. New Perspectives for Green and Sustainable Chemistry and Engineering: Approaches from Sustainable Resource and Energy Use, Management, and Transformation. J. Clean. Prod. 2018, 172, 227–232. [Google Scholar] [CrossRef]
- Ghosh, T.; Liu, X.; Bakshi, B.R. Including Ecosystem Services in Sustainable Process Design across Multiple Spatial Scales. Comput. Aided Chem. Eng. 2018, 44, 1837–1842. [Google Scholar]
- Bakshi, B.R. Toward Sustainable Chemical Engineering: The Role of Process Systems Engineering. Annu. Rev. Chem. Biomol. Eng. 2019, 10, 265–288. [Google Scholar] [CrossRef]
- Alanqar, A.; Ellis, M.; Christofides, P.D. Economic Model Predictive Control of Nonlinear Process Systems Using Empirical Models. AIChE J. 2015, 61, 816–830. [Google Scholar] [CrossRef]
- Mesbah, A. Stochastic Model Predictive Control: An Overview and Perspectives for Future Research. IEEE Control Syst. 2016, 36, 30–44. [Google Scholar]
- Zhang, Z.; Wu, Z.; Rincon, D.; Garcia, C.; Christofides, P.D. Operational Safety of Chemical Processes via Safeness-Index Based MPC: Two Large-Scale Case Studies. Comput. Chem. Eng. 2019, 204–215. [Google Scholar] [CrossRef]
- Daoutidis, P.; Zachar, M.; Jogwar, S.S. Sustainability and Process Control: A Survey and Perspective. J. Process Control 2016, 44, 184–206. [Google Scholar] [CrossRef]
- Rossi, F.; Manenti, F.; Pirola, C.; Mujtaba, I. A Robust Sustainable Optimization & Control Strategy (RSOCS) for (fed-)Batch Processes towards the Low-cost Reduction of Utilities Consumption. J. Clean. Prod. 2016, 111, 181–192. [Google Scholar]
- Zhu, Q.; Lujia, F.; Mayyas, A.; Omar, M.A.; Al-Hammadi, Y.; Al Saleh, S. Production Energy Optimization Using Low Dynamic Programming: A Decision Support Tool for Sustainable Manufacturing. J. Clean. Prod. 2015, 105, 178–183. [Google Scholar] [CrossRef]
- Li, S.; Mirlekar, G.; Ruiz-Mercado, G.J.; Lima, F.V. Development of Chemical Process Design and Control for Sustainability. Processes 2016, 4, 23. [Google Scholar] [CrossRef]
- Ruiz-Mercado, G.J.; Smith, R.L.; Gonzalez, M.A. GREENSCOPE.xlsm Tool; US Environmental Protection Agency: Cincinnati, OH, USA, 2013.
- Mirlekar, G.; Li, S.; Lima, F.V. Design and Implementation of a Biologically Inspired Optimal Control Strategy for Chemical Process Control. Ind. Eng. Chem. Res. 2017, 56, 6468–6479. [Google Scholar] [CrossRef]
- Miroslav Fikar Dynopt Solver. Available online: https://www.uiam.sk/~fikar/research/dynopt/dynopt.htm (accessed on 10 September 2019).
- Mirlekar, G.; Gebreslassie, B.H.; Li, S.; Diwekar, U.M.; Lima, F.V. An Integrated Biomimetic Control Strategy with Multi-agent Optimization for Nonlinear Chemical Processes. In Proceedings of the 2018 IFAC ADCHEM Symposium, Shenyang, China, 25–27 July 2018; Volume 51, pp. 55–60. [Google Scholar]
- Mirlekar, G.; Pezzini, P.; Bryden, M.; Tucker, D.; Lima, F.V. A Biologically-Inspired Optimal Control Strategy (BIO-CS) for Hybrid Energy Systems. In Proceedings of the 2017 American Control Conference (ACC), Seattle, WA, USA, 24–26 May 2017; pp. 4821–4826. [Google Scholar]
- Mirlekar, G.; Al-Sinbol, G.; Perhinschi, M.; Lima, F.V. A Biologically-Inspired Approach for Adaptive Control of Advanced Energy Systems. Comput. Chem. Eng. 2018, 117, 378–390. [Google Scholar] [CrossRef]
- Lima, F.V.; Georgakis, C. Dynamic Operability for the Calculation of Transient Output Constraints for Non-Square Linear Model Predictive Controllers. In Proceedings of the 2009 IFAC ADCHEM Symposium, Istanbul, Turkey, 12–15 July 2009. [Google Scholar]















© 2020 by the authors. Licensee MDPI, Basel, Switzerland. This article is an open access article distributed under the terms and conditions of the Creative Commons Attribution (CC BY) license (http://creativecommons.org/licenses/by/4.0/).
Share and Cite
Li, S.; Ruiz-Mercado, G.J.; Lima, F.V. A Visualization and Control Strategy for Dynamic Sustainability of Chemical Processes. Processes 2020, 8, 310. https://doi.org/10.3390/pr8030310
Li S, Ruiz-Mercado GJ, Lima FV. A Visualization and Control Strategy for Dynamic Sustainability of Chemical Processes. Processes. 2020; 8(3):310. https://doi.org/10.3390/pr8030310
Chicago/Turabian StyleLi, Shuyun, Gerardo J. Ruiz-Mercado, and Fernando V. Lima. 2020. "A Visualization and Control Strategy for Dynamic Sustainability of Chemical Processes" Processes 8, no. 3: 310. https://doi.org/10.3390/pr8030310
APA StyleLi, S., Ruiz-Mercado, G. J., & Lima, F. V. (2020). A Visualization and Control Strategy for Dynamic Sustainability of Chemical Processes. Processes, 8(3), 310. https://doi.org/10.3390/pr8030310

