Next Article in Journal
Recombinant Technologies to Improve Ruminant Production Systems: The Past, Present and Future
Previous Article in Journal
Establishment of the Predicting Models of the Dyeing Effect in Supercritical Carbon Dioxide Based on the Generalized Regression Neural Network and Back Propagation Neural Network
 
 
Font Type:
Arial Georgia Verdana
Font Size:
Aa Aa Aa
Line Spacing:
Column Width:
Background:
Article

Effect of Titanium Dioxide Nanocomposite Material and Antimicrobial Agents on Mushrooms Shelf-Life Preservation

1
Department of Food Science and Nutrition, College of Sciences, Taif University, P.O. Box 11099, Taif 21944, Saudi Arabia
2
Department of Biology, College of Science and humanities in Al-Kharj, Prince Sattam Bin Abdulaziz University, Al-Kharj 11942, Saudi Arabia
3
Department of Basic Health Sciences, Deanship of Preparatory Year, Princess Nourah Bint Abdulrahman University, P.O. Box 84428, Riyadh 11671, Saudi Arabia
4
Department of Nutritional Sciences, Connecticut University, Storrs, CT 06269, USA
5
School of Chemistry and Chemical Engineering, Harbin Institute of Technology, Harbin 150090, China
6
Department of Mechanical Engineering, Faculty of Engineering, Taif University, P.O. Box 11099, Taif 21944, Saudi Arabia
7
Production and Mechanical Design Department, Faculty of Engineering, Mansoura University, Mansoura 35516, Egypt
*
Author to whom correspondence should be addressed.
Processes 2020, 8(12), 1632; https://doi.org/10.3390/pr8121632
Submission received: 18 November 2020 / Revised: 5 December 2020 / Accepted: 9 December 2020 / Published: 11 December 2020

Abstract

Mushrooms have limited shelf-life and it can be prolonged if suitable conditions and treatments are effectively applied. In this study, nanocomposite material and antimicrobial agents with a combination of chitosan were used as novel packaging material for mushroom preservation. The microbiological analysis, physicochemical properties, headspace gas analysis, and polyphenol oxidase activity (PPO) during cold storage were investigated. As compared with control, coated mushrooms with chitosan (CHS), and nano-titanium dioxide CHSTiO2 thymol + tween-80 CHSTiO2/TT80 coating treatment showed significantly (p ≤ 0.05) lower respiration rate, microbial contaminations (4.27 log CFU/g), and (5.93 log CFU/g) for total yeast/mold and aerobic plate counts, respectively. The weight loss ratio was the lowest for CHSTiO2/TT80 (10.88% loss) followed by CHSTiO2 (11.76% loss). CHSTiO2/TT80 recorded a higher electrolyte leakage rate (25.84%) and acidity. While the lowest PPO activity was established for CHSTiO2 (17.09 U mg−1 Protein), while the lowest values for total soluble solid concentrations were reported for CHSTiO2/TT80 mushrooms (4.91%). These results indicated that CHSTiO2/TT80 coating treatment might delay the aging degree of white button mushrooms and be investigated as a novel packaging material for other food products in the future.

1. Introduction

Mushrooms are highly perishable due to their high respiration, metabolic activities, and transpiration rates [1]. Themushroom’s shelf-life can be prolonged if the suitable conditions and treatment are effectively applied, as chilling at 4 °C can prolong the shelf life up to 3–4 days compared to the ambient temperature (1–2 days) [2]. Singh et al. [3], reported that the properties, quality, texture, and appearance can be influenced during the storage period. Mushrooms face several huge problems during storage which negatively affect marketing strategy as quality deterioration, color changes, tissue damages, cap opening, weight loss, turgidity, senescence, and bacterial contaminations [4]. The high demand for nutritious, fresh, healthy, cheap, and delicious protein has awakened the mushroom preservation industry to fulfill the needs of customers in several countries. Mushroom tissues are good sources of minerals, vitamins, phenolics, and oxidative enzymes. Inactivation of polyphenol oxidase is the main reason for browning reactions [5]. Effective packaging systems are applied for mushroom preservation and retaining quality to extend shelf-life, such as film wrap, vacuum, perforations, and modified atmosphere with the addition of several chemical treatments, especially polyethylene and polyvinyl chloride films [6,7]. Chemicals such as potassium metasulphite, calcium chloride, citric acid, sodium ethylene diamine tetra acetic acid, and sorbitol were applied for mushroom preservation due to the vital functions to reduce pH, increase antioxidant activities, and maintain the firmness [8]. Blanching and autoclaved methods are recently used for avoiding browning, weight loss, and nutritional leakage [5].Licciardello et al. [9] established that 6% O2 with the addition of chitosan can efficiently decrease cap progress, respiration, and enzymatic browning. Consequently, the adoption of novel technologies is needed for commercial use. Titanium dioxide nanoemulsion (TiO2) is an efficient photocatalyst, cheap, and toxic for several applications of coatings against microorganisms [10]. The American Food and Drug Administration (FDA) announced that Nano-TiO2 with low concentrations is safe in the food industry and cosmetics [11]. Qiao et al. [12] established that thymol and tween are effective antimicrobials against microbes.
The research work focused on the effects of chitosan/titanium dioxide nanocomposite material with the addition of thymol and tween-80 agents on mushrooms shelf-life preservation along with the storage period.

2. Materials and Methods

2.1. Materials

Nano-titanium dioxide with a partial size of (15 nm), acetic acid, chitosan (85%), thymol, and tween-80 were from (Sigma-Aldrich, Shanghai, China).
White button mushrooms were purchased from a local orchard in Taif, Saudi Arabia. Mushroom samples were at the closed cap stage, about 3–4 cm in diameter. Injured, damaged, shriveled, and decadent samples were rejected. Mushroom samples were categorized as follows: control: Mushrooms were subjected to deionized water, placed on a trellis shelf, allowed to dry at ambient temperature, and stored without any coating treatment. CHS: Mushrooms washed with chitosan (1%) and acetic acid (1%). CHSTiO2: Mushrooms were washed with the CHS solution and nano-titanium dioxide (15 nm) (1%). CHSTiO2/TT80: Mushrooms were washed with the CHSTiO2 solution with the addition of thymol (0.5%) and tween-80 (0.25%) as antimicrobial agents. All mushroom categories were washed for 2 min, allowed to dry, then packaged with a zipped lock polyethylene overwrapping bags with twelve perforations with a 5 mm diameter hole [13]. Three various trays of each mushroom treatment were prepared on each sampling day. All the mushroom samples were stored at 4 °C for 12 days to be detected at an interval of 3 days.

2.2. Microbiological Analysis

Approximately 30 g of mushroom samples were homogenized by using a stomacher (400 VW, Weymouth, MA, USA) for 5 min with 225 mLof (0.1%, w/v) Rose Bengal Medium. Serial dilutions (10−1, 10−2, and 10−3) were made and incubated for 5 days at 28 °C [12]. Total aerobic plate counts were incubated for 2 days by using 3 M petriflims at 37 °C [14]. Total aerobic counts, yeast/mold populations were evaluated and expressed as the average of the triplicate measurements as log CFU/g.

2.3. Color Analysis

The color analysis was detected by a CR-400 (Konica Co., Japan), where L* value is the lightness that ranges from (0) black to (100) white; a* value ranges from (−120) green to (+120) red, while b* value ranges from (−120) blue to (+120) yellow at three different locations on mushroom samples [15].Total color difference (ΔE*) was calculated by Equation (1):
ΔE* = [(L*L0) 2 + (a*a0)2 + (b*b0) 2] 0.5
where L0, a0, and b0 are the initial color values. Moreover, the color was evaluated in terms of the browning index that was calculated by Equation (2):
Browning   index = 100 ( x 0.31 ) 0.17
where x = ( a 1.75 L ) / ( 5.645 L ) + ( a 3.012 L ) .

2.4. Weight Loss Ratio and Texture Measurements

The weight loss ratio (%) for each mushroom treatments was evaluated by dividing the weight change by using a digital balance with an accuracy of 0.01 g and calculated by Equation (3):
W e i g h t l o s s ( % ) = ( w i w f w i ) × 100
where, w i is the initial weight, while w f is the weight during the storage period.
The firmness of mushroom samples was detected on the top side of nine mushroom pieces for each treatment by using an FHR-1 (1 kg) a texture analyzer with a speed of 2 mm/s, diameter 5 mm cylinder-type, 250 N load cell, and 0.5 Ncontact force (Nippon CO., Tokyo, Japan) [15].

2.5. Headspace Gas Analysis and pH

The gas compositions, carbon dioxide (CO2) and oxygen (O2), inside the headspace of packaged mushrooms were detected by using a gas chromatograph (GC) (Check Mate-II, Ringsted, Denmark) Propaq-Q and Molecular Sieve 5A columns (25 m × 0.5 mm i.d. × 1 pm)were used for CO2 and O2 determinations, respectively. Mushroom samples were detected by a gas-tight syringe septum and placed on the film exterior, while the carrier of the gas was the helium flow of (2.5 mL/min) and detection of FID (250 °C). The chromatography was applied in triplicate with a thermal conductivity detector [16]. The pH value of the mushroom juices was detected after homogenization, filtration, and the use of a digital pH meter (S20-K, Columbia, OH, USA).

2.6. Enzyme Activity Analysis and Total Soluble Solids

The polyphenol oxidase activity (PPO) was evaluated by using a kit (Solarbio, Beijing, China) according to the protocol method reported by the manufacturer’s instructions by mixing 1 mL pyrocatechol (50 mM) and 1 mL of sodium phosphate buffer (100 mM, pH 7.0) with detection at 410 nm. (PPO) activity was expressed at U mg−1 Protein [17]. The total soluble solids (TSS) of mushroom samples were homogenized, filtered by a 40 μm filter pape, and evaluated by a hand-held refractometer with a resolution of 0.01in three replications (Krüss, Hamburg, Germany) [18].

2.7. Membrane Permeability Analysis and Open Cap Percents

Randomly selected mushroom bodies (5 g) were cut into several parts, leaving the pileus intact and suspended in a 50 mL beaker of deionized water. Electrical conductivity was detected and recorded (P0) then detected again after 10 min (P1) after the addition of deionized water several times and soaking for 1 h. Mushroom tissues were boiled for 10 min then (P2) was detected after cooling [19]. Electrolyte leakage rate (%) was described by Equation (4):
(P1 − P0)/(P2 − P0)
The quality of white button mushrooms was detected according to the development of the opening cap and described by Equation (5) [20]:
% O p e n c a p s = N a c N t × 100
where, N t is the total mushroom numbers and N a c is the open cap numbers.

2.8. Statistical Analyses

The normal test (Kolmogorov_Smirnov) was done to check the normal distribution of the samples. Analysis of variance (ANOVA) was used to compare the storage period for each treatment. Duncan’s tests as post hoc were performed to investigate the differences between days interval at p ≤ 0.05. The computer program SPSS software for windows version 22.0 was used for statistical analysis (Statistical Package for Social Science, Armonk, NY, USA: IBM Corp) at significant levels 0.05 (p-Value ≤ 0.5), while the charts were drawn by Origin 8 software.

3. Results and Discussion

3.1. Microbiological Analysis

The yeast and mold counts of CHSTiO2 and CHSTiO2/TT80 coating treatments did not vary significantly for the first 9 days but were raised by prolonging the storage time, Table 1. The yeast and mold counts of CHS coating (6.17 log CFU/g) and CHSTiO2 coating (6.13 log CFU/g) treatments were higher than (control) samples on days 12. The lowest count was established in CHSTiO2/TT80 coating treatment (4.27 log CFU/g).
It was noticed that the addition of thymol and tween-80 as antimicrobial agents have suppressed the growth of total yeast and mold loads [12]. Rok [14] reported that the pH values and high sugar contents are the mean reasons for microbial growth enhancement.
According to Table 1, aerobic plate counts were efficiently obtained for CHSTiO2/TT80 coating treatments (5.93 log CFU/g). Furthermore, CHS and CHSTiO2 coating treatments established parallel values (6.43 log CFU/g). The reduction of aerobic plate counts in CHSTiO2/TT80 mushroom samples can be due to the presence of thymol and tween-80 as antimicrobial agents. In agreement with the aerobic plate counts, Karimirad et al. [21] reported the strong effect of chitosan nanoparticles on the mushroom contaminations and shelf life extension. The combination of nano-films with the antimicrobial agents leads to control the electronegative and polycationic on the surface of the mushrooms for the modification of cell permeability [12].

3.2. Color Attribute Changes

Mushrooms have a very short shelf-life due to turning brown and losing quality within a few days as the majority significant parameter for customer approval is the color [4]. The L* value reduced and the browning index increased with the storage period onwards. The results for color attribute changes are shown in Figure 1. Although, on the sixth day, L* value values were in parallel in all coating treatments compared with (control), Figure 1a. CHS coating treatment preserved lightness (12.81% loss) as compared to other coatings treatments, whereas CHSTiO2/TT80 mushroom samples established the maximum (20.91% loss) on day 12. Weight loss and enzyme activities might be the major reasons for the optical reduction. Parameter L*, depending on the mushroom reflectivity surface that can show the luminosity [22]. Gholami et al. [2] reported that the lower lightness values can be due to the coating films that can cause some changes on the mushroom surfaces.
a* and b* values of all treatments were raised for the duration of the storage period, while the increase in control samples (9.12–24.56% loss) was greater compared with the coated mushrooms, respectively Figure 1b,c. The larger a* value linked to the enzymatic browning increase during the storage period [5].
The browning index can be influenced by L* value decrease, as it is one of the major quality features for white mushroom deterioration measurements and freshness. As shown in Figure 1d, the browning index values raised with the upwards of storage days. Attractively, at day 12, CHSTiO2/TT80 (0.71% loss) mushrooms significantly reduced the browning index compared with the control and other treatments. As a result, the presence of thymol and tween-80 could delay repining and preserve color. Lin et al. [23] established that modified atmosphere packages also can control the browning index, physiological injuries, and cell membrane damage.
After 12 days of the storage period, the largest ΔE* values were established for the CHS (48.39), Figure 1e. Walkowiak-Tomczak et al. [24] confirmed that when the total color variation values were more than five it observed two colors impression. The minimum color differences were observed for CHSTiO2/TT80 (ΔE* from 37.79 to 40.50), as a total color variation of more than two means a significant color difference. Tarlak et al. [15] confirmed that color can be influenced by several factors such as enzyme oxidations and microbial population. Rok et al. [25] confirmed that the reduction of the color attribute could be due to the polyphenolic compounds oxidation reactions.

3.3. Weight Loss Ratio and Texture Measurements

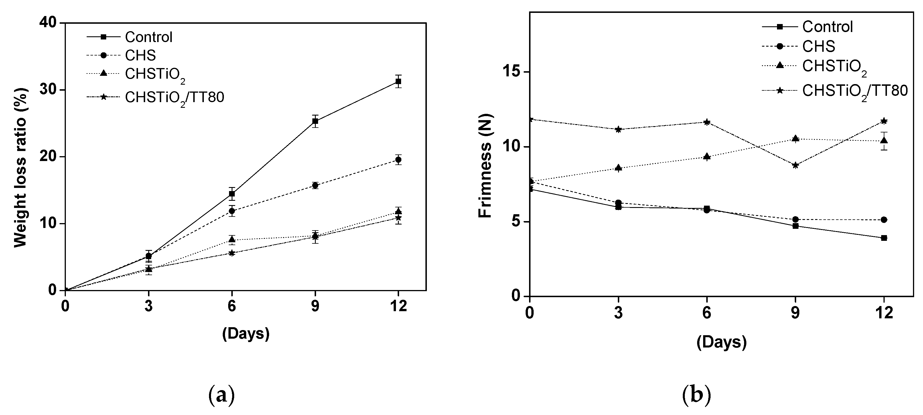
Weight loss can be occurred due to several factors such as respiration, microbial growth, and transpiration during the storage period. Figure 2a shows a significant (p ≤ 0.05) weight loss during storage for all samples. As expected, the weight losses were significantly the lowest for CHSTiO2/TT80 (10.88% loss) followed by CHSTiO2 (11.76% loss) compared with the control samples due to the presence of nanocomposite material and antimicrobial agents which retained the respiration, inhibited the microbial growth, and delayed the enzyme activities [25].
The mushroom texture is a vital item for overall acceptance, which is influenced by the quality during the marketing [26]. Control samples were reduced rapidly during the storage onwards by 3.91 N from the initial value, Figure 2b. It was also obvious that the firmness of CHS mushrooms was significantly (p ≤ 0.05) suppressed on day 12 and had 5.11 N. Firmness loss can be influenced by several factors such as the biochemical and microbial processes [27]. However, CHSTiO2 mushrooms established that the nanocomposite material might decrease cell-wall-degrading enzyme activities, due to its high anti-oxidation capacities during the storage time [14]. Our results were linked with the finding of Gholami et al. [2] who established that applying nanocomposite materials can enhance the firmness of mushroom samples.

3.4. Headspace Gas Analysis and pH

The changes in headspace gas concentrations control and coated mushroom samples are presented in Figure 3. However, after three days of the storage period, O2 concentration ratio was reduced in mushroom samples during the respiration process, Figure 3a. Decreases values differed according to the coating treatments. In detail, O2 concentration in control samples (19.25%) + CHS (16.57%) decreased slightly, while in both CHSTTiO2 (5.52%) and CHSTiO2/TT80 (2.17%), the O2 concentration consumptions were very low due to the effective oxygen barrier properties of nanocomposite material and antimicrobial agents. A subtle increase was detected from day 9 to day 12 for CHSTiO2 and CHSTiO2/TT80 mushrooms, which might be a sign of O2 permeation through the mushroom packages. In contrast to oxygen, carbon dioxide concentration was raised to reach (5.73%) in (control) samples on day 12 due to the respiration and permeation, while the deposition of other coating treatments did not, Figure 3b. Qin et al. [28], reported similar values for carbon dioxide concentration as it may influence by white button mushroom quality.
Mushroom samples CHSTiO2/TT80 followed by CHESTiO2 established the best results as there were slightly higher acidity values from the initial pH value, Figure 3c. The decrement in pH was recorded for CHS mushroom samples 6.40 compared with the inertial ph 6.56 on day 12. Higher O2 concentrations activate microorganisms on foods as visual bacteria growth was observed with the storage time on control and CHS samples. The pH of the coated mushroom with CHS decreased during storage can be due to the microbial growth population rate [29]. The evaluated pH values were in agreement with the results from the literature [3,30].

3.5. PPO Activity and TSS Concentration

In all the coating treatments, the PPO activity (Figure 4a) was raised with the progress of the storage time, while the maximum enzyme value was detected in control (45.49 U mg−1 Protein) after 12 days. The lowest PPO activity was established forCHSTiO2 (17.09 U mg−1 Protein), while its initial value was (12.62 U mg−1 Protein). Besides, CHS obtained lower PPO activity (32.29 U mg−1 Protein) compared with the control (45.49 U mg−1 Protein) could be due to the chitosan component. Karimirad et al. [21] explained that mushroom browning is a result of phenolic oxidation by polyphenol oxidase activity. Meanwhile, Wei et al. [6] reported that PPO enzyme is the main reason for browning in mushrooms as it catalyzes the polyphenolic matrix to create dyes, which reduces the marketability. Consequently, nanocomposite material inhibited color changes and the ability to retain antioxidant phenolics in mushroom bodies.
TSS concentration decreased with the storage period due to higher respiration and ripening rates [8]. CHSTiO2/TT80 mushrooms (4.91%) showed the best results as compared to the control (5.15%), Figure 4b. This study shows that the senescence rate was the lowest in the case of nanocomposite material with the addition of thymol and tween-80 as antimicrobial agents [6].

3.6. Membrane Permeability and Open Cap Percents

Membrane permeability percentage reflected frequently by the electrolyte leakage rate [31]. According to Figure 5a, the electrolyte leakage rate increased as long as the storage time in all coated samples, indicating a decrease in the mushroom membrane integrity. Furthermore, CHSTiO2/TT80 mushrooms (25.84%) exhibited a significantly (p ≤ 0.05) lower electrolyte leakage rate than the other samples, which might be attributed to the presence of thymol and tween-80. Other reports suggested the lower value of mushroom membrane integrity was directly related to the mushroom browning and lipid peroxidation [32,33,34].
Cap opening was raised in all coating treatments with the duration of the storage period, and the highest value was detected for uncoated samples (76.49%) after 12 days, Figure 5b. At the end of the experiment, the value of cap opening was in-between 30.08 and 31.61% in CHSTiO2 + CHSTiO2/TT80 samples, respectively, which prevented the water vapor from affecting the packaged mushrooms. The cap opening percentile is regarded as the maturity indicator and refers to moisture content loss and mushroom aging [35,36]. In addition, according to our findings, high CO2 and low O2 concentrations have a positive effect on the cap opening reduction and preventing repining.

4. Conclusions

The results of this research work have established that CHSTiO2/TT80 coating treatment has a positive effect on button mushroom preservation. The preservation effect might be attributed to the combination of chitosan, nanocomposite material, and antimicrobial agents (thymol and tween-80) CHSTiO2/TT80. Thus, it showed lower respiration rate, weight loss, browning degree, and microbial contaminations, and higher electrolyte leakage rate and acidity than those coated with CHS and CHSTiO2. Meanwhile, CHSTiO2 coating treatment established the lowest polyphenol oxidase activity andCHS maintained lightness. These results indicated that CHSTiO2/TT80 coating treatment might be investigated as a novel packaging material for other consumable vegetables and fruit products in the future. Semi nano-films mainly with the addition of (thymol-tween) is suggested for nanotechnology application researches and preservation manufacturing.

Author Contributions

Conceptualization, R.S.; methodology, R.S.; N.B.; software, M.H.; validation, R.S.; formal analysis, A.E.; investigation, A.E.; resources, M.A. (Mona Alharbi); data curation, M.H.; writing—original draft preparation M.H.; writing—review and editing, M.H.; J.J.; visualization, M.H.; supervision, R.S., M.A. (Manal Almatrafi); N.B.; project administration, R.S.; funding acquisition, R.S., M.A. (Manal Almatrafi) and N.B. All authors have read and agreed to the published version of the manuscript.

Funding

This research received no external funding.

Acknowledgments

Taif University Researchers Supporting Project Number (TURSP-2020/140), Taif University, Taif, Saudi Arabia. This research was funded by the Deanship of Scientific Research at Princess Nourah bint Abdulrahman University through the Fast-track Research Funding Program.

Conflicts of Interest

The authors declared no conflict of interest.

References

  1. Azevedo, S.; Cunha, L.M.; Oliveira, J.C.; Mahajan, P.V.; Fonseca, S.C. Modelling the influence of time, temperature and relative humidity conditions on the mass loss rate of fresh oyster mushrooms. J. Food Eng. 2017, 212, 108–112. [Google Scholar] [CrossRef]
  2. Gholami, R.; Ahmadi, E.; Farris, S. Shelf life extension of white mushroom (Agaricus bisporus) by low temperatures conditioning, modified atmosphere, and nanocomposite packaging material. Food Packag. Shelf Life 2017, 14, 88–95. [Google Scholar] [CrossRef]
  3. Singh, S.; Gaikwad, K.K.; Lee, M.; Lee, Y.S. Thermally buffered corrugated packaging for preserving the postharvest freshness of mushrooms (Agaricus bisporus). J. Food Eng. 2018, 216, 11–19. [Google Scholar] [CrossRef]
  4. Wang, H.J.; An, D.S.; Rhim, J.W.; Lee, D.S. Shiitake mushroom packages turned in active CO2 and moisture absorption requirements. Food Packag. Shelf Life 2017, 11, 10–15. [Google Scholar] [CrossRef]
  5. Eissa, H. Effect of chitosan coating on shelf-life and quality of fresh-cut mushroom. Polish J. Food Nutr. Sci. 2008, 58, 95–105. [Google Scholar] [CrossRef]
  6. Wei, W.; Lv, P.; Xia, Q.; Tan, F.; Sun, F.; Yu, W.; Jia, L.; Cheng, J. Fresh-keeping effects of three types of modified atmosphere packaging of pine-mushrooms. Postharvest Biol. Technol. 2017, 132, 62–70. [Google Scholar] [CrossRef]
  7. Sakinah, M.J.; Misran, A.; Mahmud, T.M.M.; Abdullah, S.; Azhar, M. Evaluation of storage temperature, packaging system and storage duration on postharvest quality of straw mushroom (Volvariella Volvacea). Food Res. 2020, 4, 679–689. [Google Scholar]
  8. Srivastava, P.; Prakash, P.; Bunkar, D. Enhancement in physiological and sensory attributes of button mushroom (Agaricus bisporus) as influenced by chemical and modified atmospheric packaging (MAP) treatments at low temperature storage. Int. J. Chem. Stud. 2020, 8, 2059–2064. [Google Scholar] [CrossRef]
  9. Licciardello, F.; Kharchoufi, S.; Muratore, G.; Restuccia, C. Effect of edible coating combined with pomegranate peel extract on the quality maintenance of white shrimps (Parapenaeus longirostris) during refrigerated storage. Food Packag. Shelf Life 2018, 17, 114–119. [Google Scholar] [CrossRef]
  10. Chawengkijwanich, C.; Hayata, H. Development of TiO2 powder-coated food packaging film and its ability to inactivate Escherichia coli in vitro and in actual tests. Int. J. Food Microbiol. 2008, 123, 288–292. [Google Scholar] [CrossRef]
  11. Maneerat, C.; Hayata, Y. Antifungal activity of TiO2 photocatalysisagainst Penicilliumexpansum in vitro and in fruit tests. Int. J. Food Microbiol. 2006, 107, 99–103. [Google Scholar] [CrossRef] [PubMed]
  12. Qiao, G.; Xiao, Z.; Ding, W.; Ahmed, R. Effect of Chitosan/Nano-Titanium Dioxide/Thymol and Tween films on ready-to-eat cantaloupe fruit quality. Coating 2019, 9, 828. [Google Scholar] [CrossRef]
  13. Belay, Z.A.; Caleb, O.J.; Opara, U.L. Modelling approaches for designing and evaluating the performance of modified atmosphere packaging (MAP) systems for fresh produce: A review. Food Packag. Shelf Life 2016, 10, 1–15. [Google Scholar] [CrossRef]
  14. Rok, E. Application of Nano-Coating and Chitosan Combination Films on Cantaloupe Preservation. Pak. J. Biol. Sci. 2020, 23, 1–7. [Google Scholar]
  15. Tarlak, F.; Ozdemir, M.; Melikoglu, M. The combined effect of exposure time to sodium chlorite (NaClO2) solution and packaging on postharvest quality of white button mushroom (Agaricus bisporus) stored at 4 °C. Food Sci. Technol. 2020, 40, 864–870. [Google Scholar] [CrossRef]
  16. Zhaojun, B.; Li, L.; Junfeng, G.; Jianhua, F.; Maoyu, W.; Xinming, X.; Jiang, L. Modified atmosphere packaging (MAP) and coating for improving preservation of whole and sliced Agaricus Bisporus. J. Food Sci. Technol. 2014, 51, 3894–3901. [Google Scholar]
  17. Amin, M.; Babak, M.; John, B. Aloe vera gel treatment delays postharvest browning of white button mushroom (Agaricus bisporus). J. Food Meas. Charact. 2019, 13, 1250–1256. [Google Scholar]
  18. Pešaković, M.; Karaklajić-Stajić, Ž.; Milenković, S.; Mitrović, O. Biofertilizer affecting yield related characteristics of strawberry (Fragaria ananassa Duch.) and soil micro-organisms. Sci. Hortic. 2013, 150, 238–243. [Google Scholar]
  19. Peng, Y.; Li, T.; Jiang, H.; Gu, Y.; Chen, Q.; Yang, C.; Qi, W.L.; Liu, S.; Zhang, X. Postharvest biochemical characteristics and ultrastructure of Coprinus comatus. PeerJ 2020, 8, e8508. [Google Scholar] [CrossRef]
  20. Oz, A.T.; Ulukanli, Z.; Bozok, F.; Baktemur, G. The postharvest quality, sensory and shelf life of a Garicus Bisporus in active map. J. Food Process. Preserv. 2015, 39, 100–106. [Google Scholar] [CrossRef]
  21. Karimirad, R.; Behnamian, M.; Dezhsetan, S. Application of chitosan nanoparticles containing Cuminum cyminum oil as a delivery system for shelf life extension of Agaricus bisporus. LWT 2019, 106, 218–228. [Google Scholar] [CrossRef]
  22. Fernandes, N.; Antonio, A.L.; Barreira, J.O.C.; Oliveira, M.B.P.; Martins, A.; Ferreira, I.C. Effects of gamma irradiation on physical parameters of Lactarius deliciosus wild edible mushrooms. Postharvest Biol. Technol. 2012, 74, 79–84. [Google Scholar] [CrossRef]
  23. Lin, Q.; Lu, Y.; Zhang, J.; Liu, W.; Guan, W.; Wang, Z. Effects of high CO2 in-package treatment on flavor, quality and antioxidant activity of button mushroom (Agaricus bisporus) during postharvest storage. Postharvest Biol. Technol. 2017, 123, 112–118. [Google Scholar] [CrossRef]
  24. Walkowiak-Tomczak, D.; Idaszewska, N.; Bieńczak, K.; Kómoch, W. The effect of mechanical actions occurring during transport on physicochemical changes in Agaricus bisporus mushrooms. Sustainability 2020, 12, 4993. [Google Scholar] [CrossRef]
  25. Rok, E.; Ebtihal, K.; Abeer, E.; Nada, B.; Mahmoud, H. Chitosan, Nisin, Silicon Dioxide nanoparticles coating films effects on blueberry (Vaccinium myrtillus) quality. Coatings 2020, 10, 1–12. [Google Scholar]
  26. Nasiri, M.; Barzegar, M.; Sahari, M.A.; Niakousari, M. Application of Tragacanth gum impregnated with Satureja khuzistanica essential oil as a natural coating for enhancement of postharvest quality and shelf life of button mushroom (Agaricus Bisporus). Int. J. Biol. Macromol. 2018, 106, 218–226. [Google Scholar] [CrossRef]
  27. Wang, Q.; Chu, L.; Kou, L. UV-C treatment maintains qualityand delays senescence of oyster mushroom (Pleurotus Ostreatus). Sci. Hortic. 2017, 225, 380–385. [Google Scholar] [CrossRef]
  28. Qin, Y.; Liu, D.; Wu, Y.; Yuan, M.; Li, L.; Yang, J. Effect of PLA/PCL/cinnamaldehyde antimicrobial packaging on physicochemical and microbial quality of button mushroom (Agaricus Bisporus). Postharvest Biol. Technol. 2015, 99, 73–79. [Google Scholar] [CrossRef]
  29. Mannozzi, C.; Tylewicz, U.; Chinnici, F.; Siroli, L.; Rocculi, P.; Dalla, M.; Romani, S. Effects of chitosan based coatings enriched with procyanidin by-product on quality of fresh blueberries during storage. Food Chem. 2018, 251, 18–24. [Google Scholar] [CrossRef]
  30. US Food and Drug Administration. Approximate pH of Foods and Food Products. Available online: http://www.cfsan.fda.gov/-comm/lacf-phs.html (accessed on 17 June 2020).
  31. Hu, Y.H.; Chen, C.M.; Xu, L.; Cui, Y.; Yu, X.Y.; Gao, H.J.; Wang, Q.; Liu, K.; Shi, Y.; Chen, Q.X. Postharvest application of 4-methoxy cinnamic acid for extending the shelf life of mushroom (Agaricus Bisporus). Postharvest Biol. Technol. 2015, 104, 33–41. [Google Scholar] [CrossRef]
  32. Aday, M.S. Application of electrolyzed water for improving postharvest quality of mushroom. LWT Food Sci. Technol. 2016, 68, 44–51. [Google Scholar] [CrossRef]
  33. Ding, Y.; Zhu, Z.; Zhao, J.; Nie, Y.; Zhang, Y.; Sheng, J.; Meng, D.; Mao, H.; Tang, X. Effects of postharvest brassinolide treatment on the metabolism of white button mushroom (Agaricus bisporus) in relation to development of browning during storage. Food Bioprocess Technol. 2016, 9, 1327–1334. [Google Scholar] [CrossRef]
  34. Dokhanieh, A.Y.; Aghdam, M.S. Postharvest browning alleviation of Agaricus bisporus using salicylic acid treatment. Sci. Hortic. 2016, 207, 146–151. [Google Scholar] [CrossRef]
  35. Alikhani-Koupaei, M.; Mazlumzadeh, M.; Sharifani, M.; Adibian, M. Enhancing stability of essential oils by microencapsulation for preservation of button mushroom during postharvest. Food Sci. Nutr. 2014, 2, 526–533. [Google Scholar] [CrossRef]
  36. Liu, J.; Liu, S.; Zhang, X.; Kan, J.; Jin, C. Effect of gallic acid grafted chitosan film packaging on the postharvest quality of white button mushroom (Agaricus Bisporus). Postharvest Biol. Technol. 2019, 147, 39–47. [Google Scholar] [CrossRef]
Figure 1. Effects of nanocomposite material and antimicrobial agents on color attribute changes, L* (a), a* (b), b* (c), browning index (d), and ΔE*(e).
Figure 1. Effects of nanocomposite material and antimicrobial agents on color attribute changes, L* (a), a* (b), b* (c), browning index (d), and ΔE*(e).
Processes 08 01632 g001aProcesses 08 01632 g001b
Figure 2. Effects of nanocomposite material and antimicrobial agents on weight loss ratio (a) and texture measurements (b).
Figure 2. Effects of nanocomposite material and antimicrobial agents on weight loss ratio (a) and texture measurements (b).
Processes 08 01632 g002
Figure 3. Effects of nanocomposite material and antimicrobial agents on headspace gas analysis, O2 (a), CO2 (b), and pH (c); a; b; c; d mean significant differences between treatments at p ≤ 0.05.
Figure 3. Effects of nanocomposite material and antimicrobial agents on headspace gas analysis, O2 (a), CO2 (b), and pH (c); a; b; c; d mean significant differences between treatments at p ≤ 0.05.
Processes 08 01632 g003aProcesses 08 01632 g003b
Figure 4. Effects of nanocomposite material and antimicrobial agents on PPO activity (a) and TSS concentration (b); a; b; c; d mean significant differences between treatments at p ≤ 0.05.
Figure 4. Effects of nanocomposite material and antimicrobial agents on PPO activity (a) and TSS concentration (b); a; b; c; d mean significant differences between treatments at p ≤ 0.05.
Processes 08 01632 g004
Figure 5. Effects of nanocomposite material and antimicrobial agents on membrane permeability (a) and open cap percents (b).
Figure 5. Effects of nanocomposite material and antimicrobial agents on membrane permeability (a) and open cap percents (b).
Processes 08 01632 g005
Table 1. Microbiological analysis (log CFU/g).
Table 1. Microbiological analysis (log CFU/g).
DaysControlCHSCHSTiO2CHSTiO2/TT80
Yeast and Mold counts
01.23 ± 0.60 c1.13 ± 0.49 c1.10 ± 0.56 c0.73 ± 0.21 c
32.50 ± 0.44 bc2.57 ± 0.67 bc2.70 ± 0.46 b1.47 ± 0.55 bc
62.90 ± 0.75 b2.87 ± 0.19 b2.80 ± 0.14 b1.80 ± 0.26 bc
94.03 ± 0.15 b4.17 ± 0.06 b3.90 ± 0.10 b2.87 ± 0.15 b
126.30 ± 0.13 a6.17 ± 0.55 a6.13 ± 0.16 a4.27 ± 0.12 a
Total aerobic plate counts
03.50 ± 0.30 d3.37 ± 0.71 c3.40 ± 0.95 c3.20 ± 0.61 b
34.47 ± 0.81 cd4.27 ± 0.14 bc4.20 ± 0.66 bc3.93 ± 0.91 b
65.17 ± 0.51 bc5.07 ± 0.91 ab5.03 ± 0.51 b4.70 ± 0.72 ab
95.73 ± 0.80 ab5.53 ± 0.64 ab5.33 ± 0.40 ab5.03 ± 0.75 ab
126.80 ± 0.26 a6.43 ± 0.72 a6.43 ± 0.61 a5.93 ± 0.12 a
Results in the same column as a; b; c; d mean significant differences between treatments at p ≤ 0.05.
Publisher’s Note: MDPI stays neutral with regard to jurisdictional claims in published maps and institutional affiliations.

Share and Cite

MDPI and ACS Style

Sami, R.; Elhakem, A.; Alharbi, M.; Benajiba, N.; Almatrafi, M.; Jing, J.; Helal, M. Effect of Titanium Dioxide Nanocomposite Material and Antimicrobial Agents on Mushrooms Shelf-Life Preservation. Processes 2020, 8, 1632. https://doi.org/10.3390/pr8121632

AMA Style

Sami R, Elhakem A, Alharbi M, Benajiba N, Almatrafi M, Jing J, Helal M. Effect of Titanium Dioxide Nanocomposite Material and Antimicrobial Agents on Mushrooms Shelf-Life Preservation. Processes. 2020; 8(12):1632. https://doi.org/10.3390/pr8121632

Chicago/Turabian Style

Sami, Rokayya, Abeer Elhakem, Mona Alharbi, Nada Benajiba, Manal Almatrafi, Jing Jing, and Mahmoud Helal. 2020. "Effect of Titanium Dioxide Nanocomposite Material and Antimicrobial Agents on Mushrooms Shelf-Life Preservation" Processes 8, no. 12: 1632. https://doi.org/10.3390/pr8121632

APA Style

Sami, R., Elhakem, A., Alharbi, M., Benajiba, N., Almatrafi, M., Jing, J., & Helal, M. (2020). Effect of Titanium Dioxide Nanocomposite Material and Antimicrobial Agents on Mushrooms Shelf-Life Preservation. Processes, 8(12), 1632. https://doi.org/10.3390/pr8121632

Note that from the first issue of 2016, this journal uses article numbers instead of page numbers. See further details here.

Article Metrics

Back to TopTop