Pore Network Simulation of Gas-Liquid Distribution in Porous Transport Layers
Abstract
1. Introduction
2. Pore Network Model
3. PN Simulations and Results
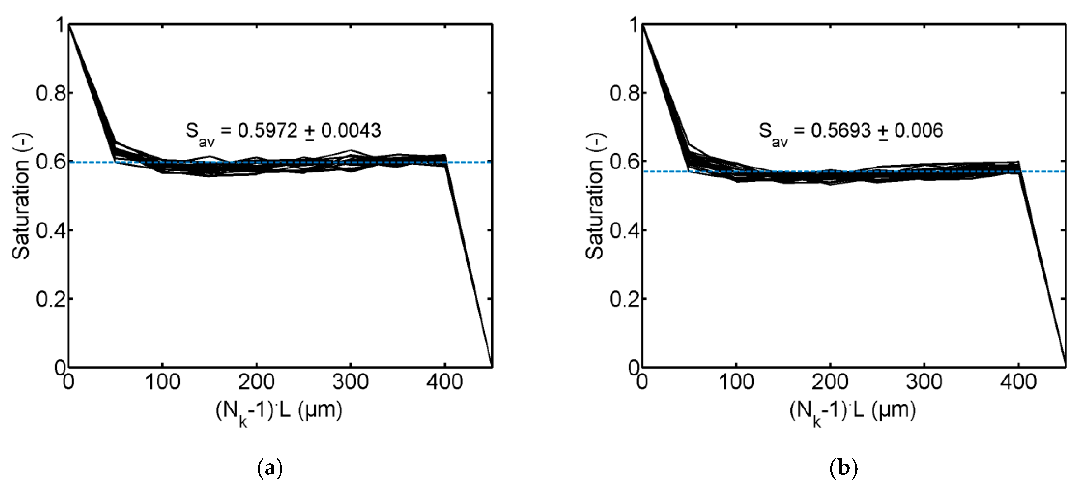
3.1. 3D PNMCS of Drainage
3.2. Estimation of Relative Permeabilities
3.3. Oxygen Production Rate
4. Summary and Discussions
Author Contributions
Funding
Conflicts of Interest
Abbreviations
| Symbol | Parameter (Unit) |
| A | Area (m2) |
| Matrix of conductances (-) | |
| b | Vector of boundary conditions (-) |
| d | Diameter (m) |
| F | Faraday constant (A s mol−1) |
| g | Conductance (m s) |
| I | Current (A) |
| I’, Itot | Number of invasion events (-) |
| J | Area related current (A m−2) |
| k | Relative permeability (-) |
| K | Absolute permeability (m2) |
| L | Length (m) |
| Flow rate (kg s−1) | |
| N | Molar amount (mol), number (-) |
| Ni, Nj, Nk | Room coordinates (-) |
| P | Pressure (Pa) |
| Pc | Capillary pressure (Pa) |
| pnp | Matrix of pore neighbor relations (-) |
| pnt | Matrix of pore and throat neighbor relations (-) |
| Q | Electric charge (C) |
| r | Radius (m) |
| Universal gas constant (J mol−1 K−1) | |
| S | Saturation (-) |
| t | Time (s) |
| tnp | Matrix of throat and pore neighbor relations (-) |
| tnt | Matrix of throat neighbor relations (-) |
| T | Temperature (K) |
| U | Voltage (V) |
| V | Volume (m3) |
| Velocity (m s−1) | |
| Volume flow rate (m3 s−1) | |
| z | Valency number (-), room coordinate (m) |
| Dynamic viscosity (Pa s) | |
| Contact angle (°) | |
| Density (kg m−3) | |
| Surface tension (N m−1) | |
| Subscripts | |
| 1,2 | Pore 1 or 2 |
| av | Average value |
| g | Gas phase |
| hor | Horizontal throats |
| k | Slice index/number |
| l | Liquid phase |
| p | Pore |
| PN | Pore network |
| MC | Main cluster |
| t | Throat |
| tot | Total |
| V | Volume related |
| ver | Vertical throats |
| Abbreviations | |
| PN | Pore network |
| PNM | Pore network model |
| PNMCS | Pore network Monte Carlo simulation |
| PSD | Pore size distribution |
| PTL | Porous transport layer |
References
- Blunt, M.J. Multiphase Flow in Permeable Media, 1st ed.; Cambridge University Press: Cambridge, UK, 2017. [Google Scholar]
- Bultreys, T.; Van Hoorebeke, L.; Cnudde, V. Multi-scale, micro-computed tomography-based pore network models to simulate drainage in heterogeneous rocks. Adv. Water Resour. 2015, 78, 36–49. [Google Scholar] [CrossRef]
- Niasar, V.J.; Hassanizadeh, S.M.; Pyrak-Nolte, L.J.; Berentsen, C. Simulating drainage and imbibition experiments in a high-porosity micromodel using an unstructured pore network model. Water Resour. Res. 2009, 45, W02430. [Google Scholar]
- Patzek, T.W. Verification of a complete network simulator of drainage and imbibition. SPE J. 2000. [Google Scholar] [CrossRef]
- Sun, Y.; Kharaghani, A.; Tsotsas, E. Micro-model experiments and pore network simulations of liquid imbibition in porous media. Chem. Eng. Sci. 2016, 150, 41–53. [Google Scholar] [CrossRef]
- Metzger, T. A personal view on pore network models in drying technology. Dry. Technol. 2019, 37, 497–512. [Google Scholar] [CrossRef]
- Vorhauer, N.; Tsotsas, E.; Prat, M. Drying of thin porous disks from pore network simulations. Dry. Technol. 2017, 36, 651–663. [Google Scholar] [CrossRef]
- Prat, M. Percolation model of drying under isothermal conditions in porous media. Int. J. Multiph. Flow 1993, 1, 691–704. [Google Scholar] [CrossRef]
- Börnhorst, M.; Walzel, P.; Rahimi, A.; Kharaghani, A.; Tsotsas, E.; Nestle, N.; Besser, A.; Kleine Jäger, F.; Metzger, T. Influence of pore structure and impregnation: Drying conditions on the solid distribution in porous support materials. Dry. Technol. 2016, 34, 1964–1978. [Google Scholar] [CrossRef]
- Segura, L.A. Modeling at pore-scale isothermal drying of porous materials: Liquid and vapor diffusivity. Dry. Technol. 2007, 25, 1677–1686. [Google Scholar] [CrossRef]
- Metzger, T.; Tsotsas, E. Viscous stabilization of drying front: Three-dimensional pore network simulations. Chem. Eng. Res. Des. 2008, 86, 739–744. [Google Scholar] [CrossRef]
- Yiotis, A.G.; Stubos, A.K.; Boudouvis, A.G.; Tsimpanogiannis, I.N.; Yortsos, Y.C. Pore-network modeling of isothermal drying in porous media. Transp. Porous Med. 2005, 58, 63–86. [Google Scholar] [CrossRef]
- Prat, M.; Bouleux, F. Drying of capillary porous media with a stabilized front in two dimensions. Phys. Rev. E 1999, 60, 5647–5656. [Google Scholar] [CrossRef] [PubMed]
- Fenwick, D.H.; Blunt, M. Three-dimensional modeling of three phase imbibition and drainage. Adv. Water Res. 1998, 21, 121–143. [Google Scholar] [CrossRef]
- Prat, M. On the influence of pore shape, contact angle and film flows on drying of capillary porous media. Int. J. Heat Mass Tran. 2002, 50, 1455–1468. [Google Scholar] [CrossRef]
- Yiotis, A.G.; Boudouvis, A.G.; Stubos, A.K.; Tsimpanogiannis, I.N.; Yortsos, Y.C. Effect of liquid films on the drying of porous media. AIChE J. 2004, 50, 2721–2737. [Google Scholar] [CrossRef]
- Vorhauer, N.; Wang, Y.; Kharaghani, A.; Tsotsas, E.; Prat, M. Drying with formation of capillary rings in a model porous medium. Transp. Porous Med. 2015, 110, 197–223. [Google Scholar] [CrossRef]
- Rahimi, A.; Metzger, T.; Kharaghani, A.; Tsotsas, E. Discrete modelling of ion transport and crystallization in layered porous media during drying. In Proceedings of the 21th International Drying Symposium (IDS2018), Valencia, Spain, 11–14 September 2018. [Google Scholar]
- Rahimi, A.; Kharaghani, A.; Metzger, T.; Tsotsas, E. Pore network modelling of a salt solution droplet on a porous substrate: Imbibition, evaporation and crystallization, In Proceedings of the 20th International Drying Symposium (IDS2016), Gifu, Japan, 7–10 August 2016.
- Veran-Tissoires, S.; Prat, M. Evaporation of a sodium chloride solution from a saturated porous medium with efflorescence formation. J. Fluid Mech. 2014, 749, 701–749. [Google Scholar] [CrossRef]
- Surasani, V.; Metzger, T.; Tsotsas, E. Drying simulations of various 3D pore structures by a nonisothermal pore network model. Dry. Technol. 2010, 28, 615–623. [Google Scholar] [CrossRef]
- Plourde, F.; Prat, M. Pore network simulations of drying of capillary porous media: Influence of thermal gradients. Int. J. Heat Mass Tran. 2003, 46, 1293–1307. [Google Scholar] [CrossRef]
- Huinink, H.P.; Pel, L.; Michels, M.A.J.; Prat, M. Drying processes in the presence of temperature gradients: Pore-scale modelling. Eur. Phys. J. 2002, 9, 487–498. [Google Scholar] [CrossRef]
- Vorhauer, N.; Tsotsas, E.; Prat, M. Temperature gradient induced double-stabilization of the evaporation front within a drying porous medium. Phys. Rev. Fluids 2018, 3, 114201. [Google Scholar] [CrossRef]
- Vorhauer, N.; Tran, Q.T.; Metzger, T.; Tsotsas, E.; Prat, M. Experimental investigation of drying in a model porous medium: Influence of thermal gradients. Dry. Technol. 2013, 31, 920–929. [Google Scholar] [CrossRef]
- Hinebaugh, J.; Bazylak, A. Condensation in PEM fuel cell gas diffusion layers: A pore network modeling approach. J. Electrochem. Soc. 2010, 157, 1382–1390. [Google Scholar] [CrossRef]
- Shahraeeni, M.; Hoorfar, M. Pore-network modeling of liquid water flow in gas diffusion layers of proton exchange membrane fuel cells. Int. J. Hydrog. Energy 2014, 39, 10697–10709. [Google Scholar] [CrossRef]
- Lee, K.J.; Kang, J.H.; Nam, J.H. Liquid water distribution in hydrophobic gas diffusion layers with interconnect rib geometry: An invasion-percolation pore network analysis. Int. J. Hydrog. Energy 2014, 39, 6646–6656. [Google Scholar] [CrossRef]
- Lee, K.J.; Nam, J.H.; Kim, C.J. Steady saturation distribution in hydrophobic gas-diffusion layers of polymer electrolyte membrane fuel cells: A pore-network study. J. Power Sources 2010, 195, 130–141. [Google Scholar] [CrossRef]
- Lee, K.J.; Kang, J.H.; Nam, J.H.; Kim, C.J. Steady liquid water saturation distribution in hydrophobic gas-diffusion layers with engineered pore paths: An invasion-percolation pore-network analysis. J. Power Sources 2010, 195, 3508–3512. [Google Scholar] [CrossRef]
- Straubhaar, B.; Pauchet, J.; Prat, M. Pore network modelling of condensation in gas diffusion layers of proton exchange membrane fuel cells. Int. J. Heat Mass Tran. 2016, 102, 891–901. [Google Scholar] [CrossRef]
- Agaesse, T.; Lamibrac, A.; Büchi, F.N.; Pauchet, J.; Prat, M. Validation of pore network simulations of ex-situ water distributions in a gas diffusion layer of proton exchange membrane fuel cells with X-ray tomographic images. J. Power Sources 2010, 331, 462–474. [Google Scholar] [CrossRef]
- Aghighi, M.; Gostick, J. Pore network modeling of phase change in PEM fuel cell fibrous cathode. J. Appl. Electrochem. 2017, 47, 1323–1338. [Google Scholar] [CrossRef]
- De Beer, F.; van der Merwe, J.H.; Bessarabov, D. PEM water electrolysis: Preliminary investigations using neutron radiography. Phys. Procedia 2017, 88, 19–26. [Google Scholar] [CrossRef]
- Biesdorf, J.; Oberholzer, P.; Bernauer, F.; Kästner, A.; Vontobel, P.; Lehmann, E.H.; Schmidt, T.J.; Boillat, P. Dual spectrum neutron radiography: Identification of phase transitions between frozen and liquid water. Phys. Rev. Lett. 2014, 112, 248301. [Google Scholar] [CrossRef] [PubMed]
- Lee, C.H.; Hinebaugh, J.; Banerjee, R.; Chevalier, S.; Abouatallah, R.; Wang, R.; Bazylak, A. Influence of limiting throat and flow regime on oxygen bubble saturation of polymer electrolyte membrane electrolyzer porous transport layers. Int. J. Hydrog. Energy 2017, 42, 2724–2735. [Google Scholar] [CrossRef]
- Arbabi, F.; Montazeri, H.; Abouatallah, R.; Wang, R.; Bazylak, A. Three-dimensional computational fluid dynamics modelling of oxygen bubble transport in polymer electrolyte membrane electrolyzer porous transport layers. J. Electrochem. Soc. 2016, 163, 3062–3069. [Google Scholar] [CrossRef]
- Arbabi, F.; Kalantarian, A.; Abouatallah, R.; Wang, R.; Wallace, J.; Bazylak, A. Visualizing bubble flows in electrolyzer GDLs using microfluidic platforms. ECS Trans. 2013, 58, 907–918. [Google Scholar] [CrossRef]
- Arbabi, F.; Kalantarian, A.; Abouatallah, R.; Wang, R.; Wallace, J.S.; Bazylak, A. Feasibility study of using microfluidic platforms for visualizing bubble flows in electrolyzer gas diffusion layers. J. Power Sources 2014, 258, 142–149. [Google Scholar] [CrossRef]
- Vorhauer, N.; Metzger, T.; Tsotsas, E.; Prat, M. Experimental investigation of drying by pore networks: Influence of pore size distribution and temperature. In Proceedings of the 4th International Conference on Porous Media and its Applications in Science, Engineering and Industry, Potsdam, Germany, 17–22 June 2012. [Google Scholar]
- Morrow, N.R. Physics and thermodynamics of capillary action in porous media. Ind. Eng. Chem. 1970, 62, 32–56. [Google Scholar] [CrossRef]
- Babic, U.; Suermann, M.; Büchi, F.N.; Gubler, L.; Schmidt, T.J. Critical Review—Identifying critical gaps for polymer electrolyte water electrolysis development. J. Electrochem. Soc. 2017, 164, 387–399. [Google Scholar] [CrossRef]
- Bernt, M.; Gasteiger, H.A. Influence of ionomer content in IrO2/TiO2 electrodes on PEM water electrolyzer performance. J. Electrochem. Soc. 2016, 163, 3179–3189. [Google Scholar] [CrossRef]
- Moghaddam, A.A.; Kharaghani, A.; Tsotsas, E.; Prat, M. Kinematics in a slowly drying porous medium: Reconciliation of pore network simulations and continuum modeling. Phys. Fluids 2017, 29, 022102. [Google Scholar] [CrossRef]
- Vorhauer, N.; Metzger, T.; Tsotsas, E. Extraction of effective parameters for continuous drying model from discrete pore network model. In Proceedings of the 17th International Drying Symposium (IDS 2010), Magdeburg, Germany, 3–6 October 2010; pp. 415–422. [Google Scholar]
- Schuler, T.; De Bruycker, R.; Schmidt, T.J.; Büchi, F.N. Polymer Electrolyte Water Electrolysis: Correlating porous transport layer structural properties and performance: Part I. Tomographic analysis of morphology and topology. J. Electrochem. Soc. 2019, 166, 555–565. [Google Scholar] [CrossRef]
- Metzger, T.; Irawan, A.; Tsotsas, E. Influence of pore structure on drying kinetics: A pore network study. AIChE J. 2007, 53, 3029–3041. [Google Scholar] [CrossRef]
- Blunt, M.J.; Jackson, M.D.; Piri, M.; Valvatne, P.H. Detailed physics, predictive capabilities and macroscopic consequences for pore-network models of multiphase flow. Adv. Water Resour. 2002, 25, 1069–1089. [Google Scholar] [CrossRef]
- Lenormand, R. Flow through porous media: Limits of fractal patterns. Proc. R. Soc. Lond. A 1989, 423, 159–168. [Google Scholar] [CrossRef]
- Zielke, L.; Fallisch, A.; Paust, N.; Zengerle, R.; Thiele, S. Tomography based screening of flow field/current collector combinations for PEM water electrolysis. RSC Adv. 2014, 4, 58888. [Google Scholar] [CrossRef]
- Tang, T.; Yu, P.; Shan, X.; Chen, H.; Su, J. Investigation of drag properties for flow through and around square arrays of cylinders at low Reynolds numbers. Chem. Eng. Sci. 2019, 199, 285–301. [Google Scholar] [CrossRef]
- Metzger, T.; Tsotsas, E.; Prat, M. Pore-network models: A powerful tool to study drying at the pore level and understand the influence of structure on drying kinetics. In Drying Technology, Modern Computational Tools at Different Scales; Tsotsas, E., Mujumdar, A.S., Eds.; Wiley-VCH: Weinheim, Germany, 2011; Volume 1, pp. 57–102. [Google Scholar]
- Zachariah, G.T.; Panda, D.; Surasani, V.J. Lattice Boltzmann modeling and simulation of isothermal drying of capillary porous media. In Proceedings of the 21th International Drying Symposium (IDS2018), Valencia, Spain, 11–14 September 2018. [Google Scholar]
- Yiotis, A.G.; Psihogios, J.; Kainourgiakis, M.E.; Papaioannou, A.; Stubos, A.K. A lattice Boltzmann study of viscous coupling effects in immiscible two-phase flow in porous media. Colloids Surf. A Physicochem. Eng. Asp. 2007, 300, 35–49. [Google Scholar] [CrossRef]
- Dhanushkodi, S.R.; Capitanio, F.; Biggs, T.; Merida, W. Understanding flexural, mechanical and physicochemical properties of gas diffusion layers for polymer membrane fuel cell and electrolyzer systems. Int. J. Hydrog. Energy 2015, 40, 16846–16859. [Google Scholar] [CrossRef]
- Siracusano, S.; Di Blasi, A.; Baglio, V.; Brunaccini, G.; Briguglio, N.; Stassi, A. Optimization of components and assembling in a PEM electrolyzer stack. Int. J. Hydrog. Energy 2011, 36, 3333–3339. [Google Scholar] [CrossRef]
- Bromberger, K.; Ghinaiya, J.; Lickert, T.; Fallisch, A.; Smolinka, T. Hydraulic ex situ through-plane characterization of porous transport layers in PEM water electrolysis cells. Int. J. Hydrog. Energy 2018, 43, 2556–2569. [Google Scholar] [CrossRef]
- Ito, H.; Maeda, T.; Nakano, A.; Hwang, C.M.; Ishida, M.; Kato, A.; Yoshida, T. Experimental study on porous current collectors of PEM electrolyzers. Int. J. Hydrog. Energy 2012, 37, 7418–7428. [Google Scholar] [CrossRef]
- Ito, H.; Maeda, T.; Nakano, A.; Hasegawa, Y.; Yokoi, N.; Hwang, C.M.; Ishida, M.; Kato, A.; Yoshida, T. Effect of flow regime of circulating water on a proton exchange membrane electrolyzer. Int. J. Hydrog. Energy 2010, 35, 9550–9560. [Google Scholar] [CrossRef]
- Geistlinger, H.; Ding, Y.; Apelt, B.; Schlüter, S.; Küchler, M.; Reuter, D.; Vorhauer, N.; Vogel, H.J. Evaporation study based on micromodel-experiments: Comparison of theory and experiment. Water Resour. Res. 2019. [Google Scholar] [CrossRef]
- Kolev, N.I. Multiphase Fluid Dynamics 4: Turbulence, Gas Adsorption and Release, Diesel Fuel Properties, 1st ed.; Springer: Berlin, Germany, 2011. [Google Scholar]
- Pashminehazar, R.; Ahmed, S.J.; Kharaghani, A.; Tsotsas, E. Spatial morphology of maltodextrin agglomerates from X-ray microtomographic data: Real structure evaluation vs. spherical primary particle model. Powder Technol. 2018, 331, 204–217. [Google Scholar] [CrossRef]
















| Parameter | Value |
|---|---|
| Network size | 30 × 30 × 10 |
| Pore number | 9000 |
| Throat number | 22,500 |
| PTL temperature T | 50 °C |
| Cell pressure P | 10 bar |
| Contact angle | 0° |
| Throat length Lt | 27 µm |
| Lattice spacing L | 50 µm |
| Thickness of the PN | 450 µm |
| Porosity | 21% |
© 2019 by the authors. Licensee MDPI, Basel, Switzerland. This article is an open access article distributed under the terms and conditions of the Creative Commons Attribution (CC BY) license (http://creativecommons.org/licenses/by/4.0/).
Share and Cite
Vorhauer, N.; Altaf, H.; Tsotsas, E.; Vidakovic-Koch, T. Pore Network Simulation of Gas-Liquid Distribution in Porous Transport Layers. Processes 2019, 7, 558. https://doi.org/10.3390/pr7090558
Vorhauer N, Altaf H, Tsotsas E, Vidakovic-Koch T. Pore Network Simulation of Gas-Liquid Distribution in Porous Transport Layers. Processes. 2019; 7(9):558. https://doi.org/10.3390/pr7090558
Chicago/Turabian StyleVorhauer, Nicole, Haashir Altaf, Evangelos Tsotsas, and Tanja Vidakovic-Koch. 2019. "Pore Network Simulation of Gas-Liquid Distribution in Porous Transport Layers" Processes 7, no. 9: 558. https://doi.org/10.3390/pr7090558
APA StyleVorhauer, N., Altaf, H., Tsotsas, E., & Vidakovic-Koch, T. (2019). Pore Network Simulation of Gas-Liquid Distribution in Porous Transport Layers. Processes, 7(9), 558. https://doi.org/10.3390/pr7090558

