Abstract
In a biological treatment process, hydraulic retention time (HRT) has a certain effect on the operation of the reactor. This study investigated the effect of HRT on carbon sequestration in a two-stage anaerobic ammonium oxidation (anammox) process using a partial nitrification reactor and anammox reactor to determine the optimal carbon sequestration operating conditions. Molecular biotechnology was used to analyze the sludge in the reactor in order to explore the denitrification performance and to determine the carbon sequestration pathway of the microorganisms. The results show that the partial nitrification stage had the highest carbon sequestration rate (0.319 mg/mg·N) when the nitrogen loading rate (NLR) was 0.44 kg·N/m3/d. The NLR of the anammox stage was 0.13 kg·N/m3/d. When the HRT was 33.4 h, the carbon sequestration of the anammox reaction was at its highest, reaching 0.183 mg/mg·N. The results of microbial analysis show that the carbon-fixing gene cbbLR1 was present in the sludge samples during the anammox and partial nitrification stages, and that there was a Calvin cycle carbon sequestration pathway during the growth process. However, the existence of a gene for reducing and immobilizing CO2 by the acetyl-CoA pathway was not detected; further research is thus needed.
1. Introduction
Anaerobic ammonia oxidation (anammox), a relatively new autotrophic denitrification method, is an efficient, economical, and environmentally friendly alternative to traditional denitrification processes [1]. In the biological treatment process of wastewater, the traditional biological nitrogen removal process consumes a large amount of energy, requires the addition of organic carbon sources, and produces the greenhouse gas CO2; furthermore, it is difficult to treat wastewater with a low carbon–nitrogen ratio [2,3]. Anammox bacteria can convert NO2−-N and NH4+-N into N2 using NO2−-N as the electron acceptor and NH4+-N as the electron donor under anaerobic conditions [4,5]. Therefore, the application of the partial nitrification process as a nitrification reactor and the combination of anammox for nitrogen removal is increasing [6]. Based on the carbon-based core culture of highly active anaerobic ammonium oxide granular sludge [7], the one-stage anammox process (PNH) and two-stage anammox process (PNBS-ANX) have been successfully developed [8,9]. It has been confirmed that the anammox process has a certain carbon sequestration ability, which can be improved by adjusting the operating conditions.
PNBS-ANX includes two stages of partial nitrification and anammox. Partial nitrification can oxidize a portion of NH4+-N (~56%) in wastewater to NO2−-N under aerobic conditions using ammonia oxidizing bacteria (AOB) [10]. The anammox reaction depends on the concentration ratio of NH4+-N to NO2−-N in the influent water; therefore, partial nitrification can be used as a pretreatment method for anammox and a key condition for anammox [11]. The key microorganisms in the PNBS-ANX process are AOB and anaerobic ammonium oxidizing bacteria, which are chemical autotrophic microorganisms [12]. The ability to utilize inorganic carbon (IC) as a carbon source for self-cell synthesis has a certain carbon sequestration capacity, and the PNBS-ANX process does not require an external organic carbon source [13]. In the biological treatment process, the HRT affects the reaction time of the substrate and anammox sludge. HRT is an important factor affecting the substrate uptake efficiency, microbial population, and metabolic pathways in biological reactors. Research shows that the ammonia nitrogen in the reactor is not fully oxidized and degraded when the HRT is too short, and that the ammonia nitrogen concentration in the effluent is high [14]. When the HRT is too long, the sludge in the reactor disintegrates to some extent. The protein breakdown of the cells produces ammonia nitrogen, and the organic carbon source produced is beneficial to the heterotrophic denitrification reaction and reduces the concentration of nitrite in the effluent [15].
According to the research team of Japan Hitachi Plant Technologies Ltd., the carbon sequestration capacity of the anammox process is not only affected by bacterial metabolism but is also related to the biochemical reaction process [16]. For anammox reactors, inorganic carbon (IC) is not only an important carbon source for bacterial assimilation, but also plays an important role in the regulation of biochemical reactions (i.e., microbial activity). The anammox process, with its own characteristics, is expected to transform the sewage treatment plant from end of energy consumption and decontamination into a “chemical plant” of energy consumption or energy output [17,18]. In addition, the carbon sequestration characteristics of the anammox process contribute to the “carbon neutralization” of wastewater treatment plants, responding to the call for energy conservation and emissions reduction [19,20]. If the carbon sequestration capacity of the anammox process can be fully utilized, sewage treatment plants are also expected to become “carbon sequestration plants.”
The HRT can reflect the load of the reactor, which, in turn, affects the treatment effect of the reactor. Therefore, this experiment investigates the short-term operation effect, denitrification performance, and corresponding carbon sequestration path of partial nitrification and the anammox coupling process by changing the HRT of the reactor. There is also a carbon sequestration cbblR1 gene that follows the Calvin cycle. Therefore, a theoretical basis is also provided for the practical application of the two-stage anammox process.
2. Materials and Methods
2.1. Setup of Experimental Reaction
The two-stage anammox unit used in this experiment is illustrated in Figure 1. In order to ensure the conditions required for the normal growth of microorganisms, pH online monitoring is maintained at 7.55–7.65, and a temperature controller is used to maintain the reactor temperature at 30 ± 1 °C. Among them, pH and dissolved oxygen (DO) online monitoring are 1 and 2 in the figure, respectively. The reactor is processed from plexiglass, and the R1 reactor is a pre-process partial nitrification reactor. Wastewater is pumped into R1 through the peristaltic pump, and the effluent enters the R2 sedimentation tank. After the sludge is sedimented by gravity, it enters R1 through the reflux pump, and the supernatant liquid flows into the R3 transfer tank as a pre-reaction step. A sodium sulfite solution is added to R3 to lower the DO and is then pumped by a peristaltic pump to the R4 anammox reactor. R4 consists of a main reactor and an adjustment tank. The front effluent enters the adjustment tank; the pH in the tank is adjusted by dilute H2SO4 and NaHCO3 solutions, and then the effluent enters the main reactor. To prevent the influent flow rate from being too fast, causing the sludge to float, a mud-water separator is installed in the main reactor to function as a sludge. The R1, R2, and R4 reactors are all sealed for gas collection.
Figure 1.
Schematic of experimental setup. Influent pump, influent water pump; recirculation pump, reflux water pump; R1, partial nitrification reactor; R2, sedimentation/adjustment tank; R3, transfer tank; R4, anammox reactor; 1, pH online monitoring; 2, DO online monitoring.
2.2. Inoculated Sludge and Experimental Wastewater
The sludge inoculated in the R1 and R4 reactors was taken from the partial nitrification sludge and anammox sludge. In addition, the anammox granular sludge was cultivated by the laboratory, and was dark red [7,21,22,23]; the inoculation amounts were 1 × 10−3 and 1.5 × 10−3 m3, respectively. This experiment used simulated wastewater from artificial synthesis, and the main components included NH4HCO3 (180 mg/L), KH2PO4 (50 mg/L), NaHCO3 (prepared on demand), CaCl2·2H2O (100 mg/L), MgSO4·7H2O (100 mg/L), and microbial promoter (0.5 mL/L). The NH4+-N in the wastewater was supplied by NH4HCO3, and the influent NH4+-N concentration was 180 mg/L. In addition, the experimental wastewater was first deoxidized by a nitrogen generator to facilitate the subsequent adjustment and control of DO in the reaction. The pH index of the reactor was adjusted using dilute H2SO4 (0.1 mol/L) and NaHCO3 (0.7 mol/L) solutions in the range of 7.45–7.55.
2.3. HRT Experimental Procedure
In the HRT experiment, the HRT in the partial nitrification stage varied between 14, 10, and 6 h, whereas the HRT in the anammox stage varied between 33.4, 24, and 14.5 h. As the process was a continuous water inflow, the sample was measured after waiting for the water quality to stabilize, and each experimental stage was stable for at least 5 days. The pH online control system was used to control the pH of the partial nitrification stage, and the pH value was controlled from 7.55 to 7.60 to produce free ammonia, which can inhibit the formation of nitric acid bacteria, thereby enriching the nitrosated bacteria. However, for the two-stage anammox process in actual application, there remains many issues that require further study, including the complexity of the actual wastewater component, the inhibition effect of the organic carbon source on anammox bacteria, the uncertain process operation effect, the influence of changes in environmental temperature, and other factors on the bacterial activity, and the process efficiency during field application.
2.4. Analytical Method
2.4.1. General Indicator Analysis
Water samples were collected after ensuring stable effluent quality. The collected water sample was placed in a sampling bottle through a 0.22 µm filter and immediately measured or stored at 4 °C. The NH4+-N and NO2−-N were measured according to the standard methods protocol [23]. Total nitrogen (TN) was determined using the persulfate method [24]. CO2 gas was determined by gas chromatography (GC-112A; Jingke, Shanghai, China). The IC was measured using a total organic carbon analyzer (multi N/C UV3100; Jena, Germany). The NO3−-N was calculated as the difference between TN and the sum of NH4+-N and NO2−-N. The pH was measured using a pH meter (9010M; Jenco Instruments, San Diego, CA, USA), and the DO was measured using a DO meter (6010M; Jenco Instruments).
In Equation (1), NO2−-N and NO3−-N are the concentrations of effluent NO2−-N and NO3−-N, respectively, in units of mg/L. Among them, the amount of carbon sequestration is (influent IC–effluent IC–CO2 * density generated per unit time)/the amount of nitrogen entering the reactor per unit time. IC refers to inorganic carbon in various forms in water. The CO2 density was uniformly measured at 30 °C and 101 kPa and was found to be ~1.7738 g/L.
2.4.2. DNA Extraction
In this experiment, MOBIO’s DNA Rapid Extraction Kit (PowerSoil DNA Isolation Kit) was used to extract the total DNA of microorganisms in the sludge. The extracted sample was the initial sludge and the sludge after the end of each stage reaction. The extracted DNA concentration and purity were then measured using a micro-ultraviolet spectrophotometer (model Q5000).
2.4.3. PCR Technology
The specificity of the PCR reaction depends on the oligonucleotide primer complementary to both ends of the target sequence, which is similar to the natural replication process of DNA. The primer sequence structure of this experiment is shown in Table 1. PCR consists of three basic reaction steps: denaturation–annealing and (refolding)–extension, where denaturation is important for PCR reactions. False negatives are most likely to occur if the denaturation temperature is low and the time is short. If the annealing temperature is too high, it affects the binding of the primer to the template, resulting in a decrease in PCR amplification efficiency. Excessive annealing temperatures result in nonspecific amplification that reduces the efficiency of specific amplification. Therefore, the temperature setting is critical, and the denaturation, annealing, and extension temperatures required for different DNA fragments during amplification are different.
Table 1.
Sequence of primers.
2.4.4. Microbial Analysis
Sludge samples were taken from the three stages of the HRT experiment and uniformly stored in a refrigerator at −20 °C after centrifugation. In this experiment, two coding groups, cbbLR1 and coxL, were used as indicator genes. PCR was used to analyze the DNA of anammox and partial nitrification sludge, and the denitrification performance of the two-stage anammox process was investigated to determine the carbon sequestration pathway in the two-stage anammox process.
3. Results and Discussion
3.1. Partial Nitrification Experiment
In the partial nitrification experiment, stages I, II, and III correspond to HRT of 14, 10, and 6 h, respectively. After the effluent water quality is stable, the nitrogen index is sampled and measured, and each sample is taken in three parallels. The nitrogen relationship between influent and effluent during the partial nitrification stage is shown in Figure 2. Under different HRT conditions, the effluent water quality is basically stable, the effluent NH4+-N concentration is 75–83 mg/L, and the effluent NO2−-N concentration is 90–104 mg/L. The second-stage effluent NH4+-N and NO2−-N have significant fluctuations compared with the other two stages because the HRT suddenly decreases, and so the amount of nitrogen passing through unit time is reduced and the system must re-establish equilibrium. In addition, the NO2−-N accumulation rate in the partial nitrification reaction is higher than 90%, and the NO3−-N concentration in each stage is less than 5 mg/L, indicating that the nitration reaction successfully stayed in the partial nitrification stage and the reactor was stable.
Figure 2.
Nitrogen relationship between influent and effluent during the partial nitrification stage; Stages I, II, and III indicate that HRT is 14, 10, and 6 h, respectively.
The relationship between IC consumption and NO2−-N production in the partial nitrification stage is shown in Figure 3. The amount of NO2−-N production changes, the IC consumption shows the same trend. The IC consumption rates for the three phases are 1.06, 1.11, and 1.00 mg/(mg·N). Among the stages, the second stage (HRT = 10 h) partial nitrification process has the largest IC consumption.
NH4+-N + 1.5O2 = NO2− + H2O + 2H+ △G = −275 kJ/mol.
Figure 3.
Relationship between inorganic carbon (IC) consumption and NO2−-N production in partial nitrification; Stages I, II, and III indicate that HRT is 14, 10, and 6 h, respectively.
The partial nitrification reaction formula is as shown in Equation (2). The Gibbs free energy in the partial nitrification reaction is less than zero, which can be spontaneously carried out at normal temperature, and the Gibbs free energy generated by the reaction can maintain the normal growth and metabolism of microorganisms. From the reaction formula, partial nitrification will produce H+, which will react with HCO3− in water to form CO2, while sodium bicarbonate will decompose when heated and produces CO2. Therefore, the actual carbon sequestration of microorganisms is also required to remove IC in the form of CO2. The relationship between the partial nitrification matrix and the amount of CO2 released is shown in Figure 4.
Figure 4.
Relationship between CO2 emissions and NO2−-N conversion during the partial nitrification stage; Stages I, II, and III indicate that HRT is 14, 10, and 6 h, respectively.
From Figure 4, the amount of CO2 released and the amount of NO2–-N conversion show the same trends. As the HRT increases, the amount of CO2 released per unit time in the partial nitrification reactor increases. Microorganisms involved in nitrification are able to assimilate CO2, which requires oxidation of large amounts of inorganic nitrogen compounds. The larger the HRT, the more thorough the nitrification, but it is not conducive to the accumulation of NO2−-N, and so conversion amount of NO2−-N is lower. Similarly, the lower the HRT, the more favorable the accumulation of NO2−-N in partial nitrification. There is no need to oxidize a large volume of inorganic nitrogen compounds, and thus less CO2 is assimilated and the amount of CO2 released increases. In the partial nitrification reaction, controlling the temperature, DO, and pH under appropriate conditions and prolonging the HRT can reduce the amount of CO2 released.
Based on the above data, the carbon sequestration values of partial nitrification at different stages in the HRT experiment were 0.319, 0.285, and 0.205 mg/mg·N. Among them, the partial nitrification reactor had the strongest carbon sequestration capacity when the HRT was 14 h.
3.2. Anaerobic Ammonium Oxidation Experiment
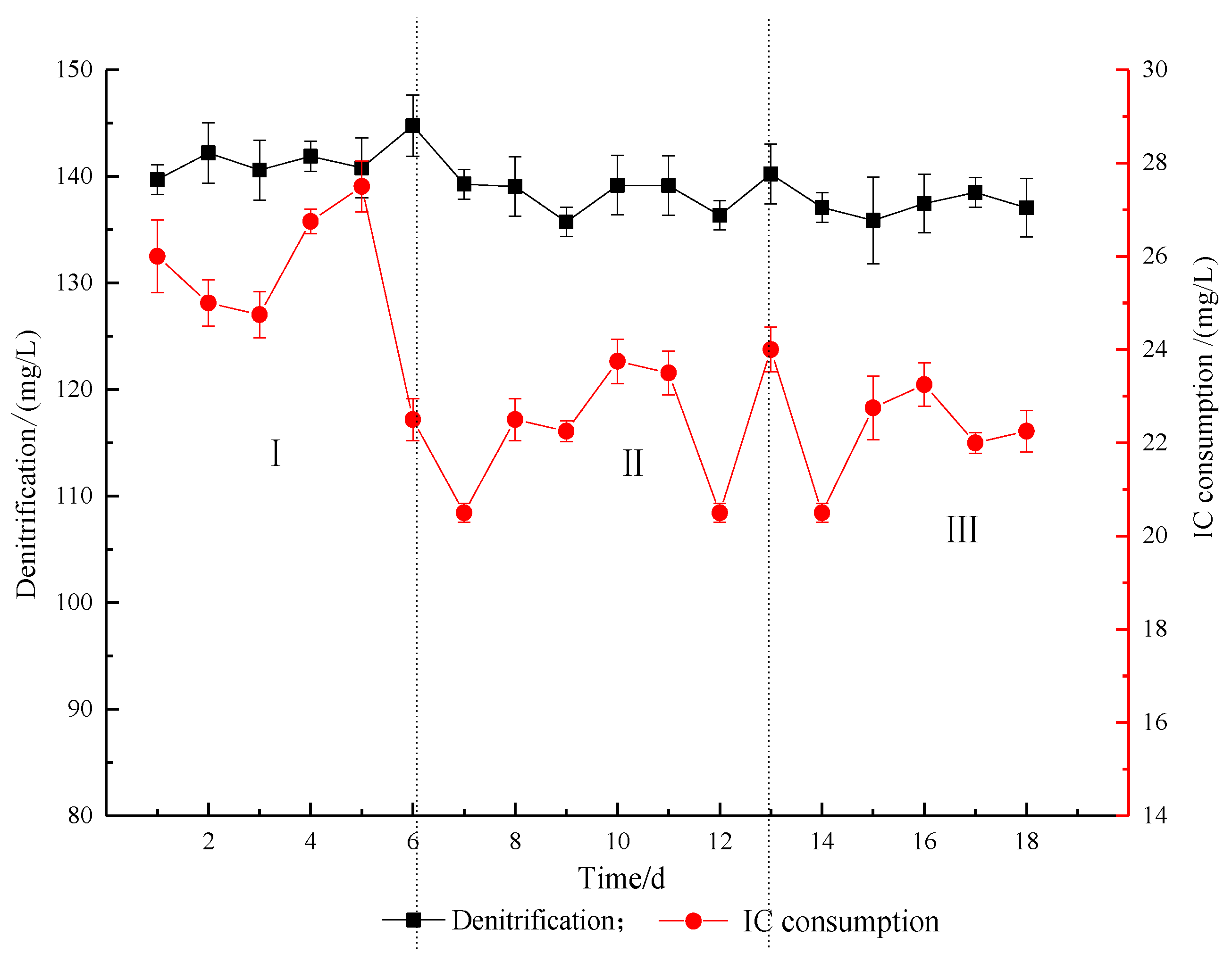
In the anammox experiment, stages I, II, and III correspond to HRT of 33.4, 24, and 14.5 h, respectively. After the effluent water quality is stable, the nitrogen index is sampled and measured, and each sample is taken in three parallels. The nitrogen concentration in the HRT experiment of the anammox stage is shown in Figure 5. Under longer HRT (HRT = 33.4 h), there is no increase in the concentration of effluent NH4+-N. It is shown that the bacteria involved in the reaction did not disintegrate, which may also reflect the shorter experimental cycle time.
Figure 5.
Nitrogen relationship between influent and effluent in anammox; Stages I, II, and III indicate that HRT is 33.4, 24, and 14.5 h, respectively.
Under short HRT conditions (HRT = 14.5 h), there was no change in effluent quality because of the insufficient oxidation of NH4+-N. However, compared with the other two stages, the reactor effluent was accompanied by the loss of a small amount of granular sludge, and the surface of the lost granular sludge was attached with bubbles, which may be the cause of the loss of reactor sludge. Depena-Mora [25] analyzed the phenomenon that sludge generated in the sludge accumulates owing to the floating of the granular sludge. The particle size of the granular sludge in the reactor increases, the gas cannot diffuse; thus, the sludge floats.
To date, five IC sequestration pathways have been discovered; namely, the Calvin cycle, anaerobic acetyl-CoA pathway, reductive tricarboxylic acid pathway, 3-hydroxypropionate pathway, and succinyl-CoA pathway [26]. Among them, the anaerobic acetyl-CoA pathway is an IC sequestration pathway of autotrophic microorganisms newly discovered in strict anaerobic bacteria in recent years [27].
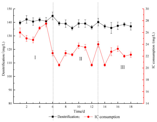
Anammox bacteria acts as autotrophic bacteria and uses IC as a carbon source for metabolism, according to the reaction formula proposed by Mulder et al. [28] (Equation (3)). It can be seen from the reaction formula that approximately 0.06 mol of IC per 1 mol of oxidized NH4+-N is newly metabolized into new cells by anammox bacteria. Studies at laboratory scale or under engineering scale have shown that the carbon sequestration capacity of anammox bacteria is related to microbial metabolism and to the process of biochemical reactions. Figure 6 shows the relationship between IC consumption and denitrification in the anammox stage of the HRT experiment. The IC consumption at different stages of the HRT experiment can be calculated to be 0.184, 0.161, and 0.161 mg/(mg·N). Therefore, the longer the HRT, the larger the consumption of the anammox reactor IC.
1NH4+ + 1.32NO2− + 0.066HCO3– + 0.13H+ șșș→1.02N2 + 0.26NO3− + 0.066CH2O0.5N0.15 + 2.03H2O.
Figure 6.
Relationship between inorganic carbon (IC) consumption and the amount of denitrification in anammox in hydraulic retention time (HRT) experiments; Stages I, II, and III indicate that HRT is 33.4, 24, and 14.5 h, respectively.
The relationship between the amount of CO2 released and the amount of denitrification in the anammox stage in the HRT experiment is shown in Figure 7. From Figure 7, HRT changes have a large effect on the amount of CO2 released. With increasing HRT, the amount of nitrogen removal in the experimental stage of anammox decreased, while the release of CO2 also decreased. This is because the HRT is too long, and the activated sludge is prone to disintegration, thereby reducing its own nitrogen removal performance [15]. Bacteria oxidizes inorganic nitrogen compounds in wastewater by fixing IC while releasing a small amount of CO2, and so when the amount of nitrogen removal by bacteria is reduced the amount of fixed IC is also reduced, thereby reducing CO2 release. Based on the above, the carbon sequestration of the anammox at different stages in the HRT experiment was 0.183, 0.160, and 0.160 mg/mg·N. Therefore, in combination with the relationship between the amount of CO2 released and the amount of denitrification in the experimental stage of anammox oxidation, considering the emission of CO2 as a greenhouse gas, it is possible to decrease the amount of CO2 released in the reactor by increasing the HRT.
Figure 7.
Relationship between CO2 consumption and amount of denitrification in anammox; Stages I, II, and III indicate that HRT is 33.4, 24, and 14.5 h, respectively.
3.3. DNA Extraction Test Results
Table 2 presents the DNA test results of selected samples. Sample Y0 is the initial sludge sample in the anammox stage, and Y1, Y2, and Y3 are samples of anaerobic ammonium oxide sludge at 33.4, 24, and 14.5 h, respectively. Sample H0 is the initial sludge sample in the partial nitrification stage. H1, H2, and H3 are samples of short-range nitrifying sludge at 14, 10, and 6 h, respectively. A260 and A280 represent the absorbances of the highest absorption peaks of nucleic acids, proteins, and phenolic substances, respectively. The values of 260/280 and 260/230 were used to assess the purity of the nucleic acid samples. The 260/280 ratio of pure nucleic acid is ~1.8. Generally, subsequent experiments require at least ~1.7. DNA with too low purity will cause failure in subsequent PCR experiments. The bands required for the PCR product cannot be detected using ordinary agarose gel electrophoresis, in which case the DNA of the sample must be re-extracted. As shown in Table 1, all the 260/280 ratios are ~1.7, indicating that the extracted sample DNA is of good purity and can meet the requirements of the subsequent experiments.
Table 2.
DNA test results of selected samples.
3.4. PCR Technology
According to the results of the previous experiments, the anammox sludge and partial nitrification sludge samples under the HRT experimental conditions corresponding to the best carbon fixation effect were taken. Tests were performed at eight annealing temperatures to determine the optimum annealing temperature. The eight temperatures of the cbbLR1 gene were 65 °C, 64.3 °C, 63 °C, 61.1 °C, 58.8 °C, 56.9 °C, 55.7 °C, and 55 °C. The eight temperatures of the coxL gene were 61 °C, 60.5 °C, 59.6 °C, 58.3 °C, 56.7 °C, 55.3 °C, 54.5 °C, and 54 °C. In addition, each group adds a negative control and, because there is some loss in the preparation process of the system, a certain amount is required, and the system is prepared according to the amount of 20 samples. The agarose test results for the two genes are presented in Figure 8 and Figure 9, where MK is the standard reference band position and CK is the negative control.
Figure 8.
Agarose gel electrophoresis map of the cbbLR1 gene PCR product.
Figure 9.
Agarose gel electrophoresis map of the coxL gene PCR product.
From Figure 8, there is no banding and towing phenomenon in the negative control CK lane. A bright band appears between 750 and 1000 bp in the Y4–Y8 and H4–H8 lanes. It is speculated that the bright band is a target band of 820 bp in length. The carbon-fixing function gene cbbLR1 exists in both anaerobic ammonium oxidized sludge samples and short-range nitrifying sludge samples because the two enzymes contained in this gene, 1,5-diphosphate ribulose carboxylase (RubisCO) and 5-phosphate ribulose kinase, are key enzymes of the Calvin cycle pathway in the microbial carbon sequestration pathway. This indicates that there are Calvin cyclic carbon sequestration pathways in the growth process of anammox bacteria and nitrosated bacteria. There are no bands in the Y1–Y3 and H1–H3 lanes; this may be because the annealing temperatures corresponding to the six lanes were too high, leading to PCR amplification failure. In the Y7–Y8 and H7–H8 lanes, the towing phenomenon is more serious, and the bands in the Y4–Y5 and H4–H5 lanes are slightly lighter. Therefore, in comparison, the bands in the Y6 and H6 lanes are bright and the towing phenomenon is weak, indicating that the annealing temperature corresponding to the lane is suitable; that is, the optimum annealing temperature is 56.9 °C.
From Figure 9, there is no banding and towing phenomenon in the negative control CK lane. There are no bands in the Y1–Y4 and H1–H2 lanes, but there are no bands in the Y5–Y8 and H3–H8 lanes between 1260 and 1290 bp, and multiple nonspecific bands appear, indicating that PCR amplification failed. According to related studies, Schouten et al. used stable isotope fractionation to demonstrate that anammox bacteria use the acetyl-CoA pathway to immobilize CO2 to synthesize cellular material [29]. However, in this experiment, despite several attempts, the PCR effect is still not satisfactory; thus, the functional gene for reducing and immobilizing CO2 by the acetyl-CoA pathway has not been detected. There are many possible reasons for the unsuccessful PCR amplification, including incorrect operating conditions. The concentration of Taq DNA polymerase or Mg2+ may also be too high or low. The concentration of Mg2+ has a significant effect on the specificity and yield of PCR amplification. If the concentration is too high, the specificity of the reaction will decrease and nonspecific amplification will occur. If the concentration is too low, the activity of Taq DNA polymerase will decrease to reduce the reaction product. There may also be no coxL functional gene in this experimental sample; therefore, this pathway requires further study.
4. Conclusions and Outlook
HRT experiments showed carbon sequestration in the partial nitrification stage of 0.319, 0.285, and 0.205 mg/mg·N. When the HRT was 14 h, the carbon sequestration capacity of partial nitrification reactor was the strongest. The carbon sequestration in the anammox stage was 0.183, 0.160, and 0.160 mg/(mg·N). That is, the larger the HRT, the stronger the carbon sequestration ability of the anammox reaction. By means of molecular biology, PCR agarose gel electrophoresis of the cbbLR1 gene showed that the carbon-fixing gene cbbLR1 was present in the sludge samples in the anammox stage and the partial nitrification stage. A Calvin cycle carbon sequestration pathway also existed in the growth process. The agarose gel electrophoresis map of the coxL gene PCR product showed that the presence of the CO2 functional gene by the acetyl-CoA pathway was not detected, and the PCR effect was still not satisfactory after many attempts, indicating that the carbon sequestration pathway requires further study.
Anammox bacteria, which are strictly anaerobes and autotrophs, have the ability to build all cell tissue solely from IC [30]. Increasing the carbon fixation capacity of autotrophs in the anammox process can contribute to carbon sequestration and reduction in CO2 emissions. Common anammox processes, such as Sharon-Anammox and CANON processes, have gradually moved to pilot and practical applications with laboratory research. This study confirms the carbon sequestration ability of the partial nitrification-anammox coupling process [31]. Wang et al. [32] studied the effects of NH4+-N and NO2−-N on carbon sequestration in anammox reactors. The results show that enhancement of influent nitrogen concentrations promotes carbon sequestration, thereby inhibiting carbon dioxide emissions. In this paper, by studying the effect of HRT on the carbon sequestration of the process, the operating parameters of the high carbon sequestration process have been obtained.
Author Contributions
Conceptualization, W.Z.; methodology, W.Z.; software, X.M.; validation, B.X. and X.L.; formal analysis, X.M.; investigation, B.X.; resources, X.L.; data curation, X.L.; writing—original draft preparation, X.M.; writing—review and editing, X.L.; visualization, W.Z.; supervision, W.Z.; project administration, W.Z.; funding acquisition, W.Z.
Funding
This research was funded by the Open Project Program of State Key Laboratory of Petroleum Pollution Control (Grant No. PPC2018010), CNPC Research Institute of Safety and Environmental Technology.
Acknowledgments
This research was supported by the National Natural Science Foundation of China (Grant No. 51668013, 51638006); Guangxi Science and Technology Planning Project [grant number GuiKe-AD18126018]; and Special Funding for a Guangxi “BaGui Scholar” Construction Project.
Conflicts of Interest
The authors declare no conflict of interest.
References
- Okabe, S.; Oshiki, M.; Takahashi, Y.; Satoh, H. Development of long-term stable partial nitrification and subsequent anammox process. Bioresour. Technol. 2011, 102, 6801–6807. [Google Scholar] [CrossRef] [PubMed]
- Chamchoi, N.; Nitisoravut, S.; Schmidt, J.E. Inactivation of anammox communities under concurrent operation of anaerobic ammonium oxidation (anammox) and denitrification. Bioresour. Technol. 2008, 99, 3331–3336. [Google Scholar] [CrossRef] [PubMed]
- Park, J.; Yamashita, N.; Wu, G.; Tanaka, H. Removal of pharmaceuticals and personal care products by ammonia oxidizing bacteria acclimated in a membrane bioreactor: Contributions of cometabolism and endogenous respiration. Sci. Total Environ. 2017, 605–606, 18–25. [Google Scholar] [CrossRef] [PubMed]
- Donald, S.; Beverley, C. A cross-site comparison of factors influencing soil nitrification rates in northeastern USA forested watersheds. Ecosystems 2009, 12, 158–178. [Google Scholar]
- Magalhaes, C.; Kiene, R.; Buchan, A. A novel inhibitory interaction between dimethylsulfoniopropionate (DMSP) and the denitrification pathway. Biogeochemie 2012, 17, 393–408. [Google Scholar] [CrossRef]
- Stein, L.Y.; Yung, Y.L. Production, isotopic composition, and atmospheric fate of biologically produced nitrous oxide. Annu. Rev. Earth Planet. Sci. 2003, 31, 329–356. [Google Scholar] [CrossRef]
- Wenjie, Z.; Huaqin, W.; Joseph, D.R.; Yue, J. Granular activated carbon as nucleus for formation of Anammox granules in an expanded granular-sludge-bed reactor. Glob. NEST J. 2015, 17, 508–514. [Google Scholar]
- Yue, J.; Dunqiu, W.; Wenjie, Z. Treatment of high-strength ammonia containing wastewater using partial nitritation system with biological selector. Glob. NEST J. 2015, 17, 738–743. [Google Scholar]
- Li, H.S.; Zhou, S.Q.; Qin, Y.J.; Long, J.Y. Fast startup of one-stage nitritation-ANAMMOX reactor for high-rate nitrogen removal from mature landfill leachate. Desalin. Water Treat. 2019, 149, 1–10. [Google Scholar] [CrossRef]
- Wei, D.; Ngo, H.H.; Guo, W.; Xu, W.; Du, B.; Wei, Q. Partial nitrification granular sludge reactor as a pretreatment for anaerobic ammonium oxidation (Anammox): Achievement, performance and microbial community. Bioresour. Technol. 2018, 269, 25–31. [Google Scholar] [CrossRef]
- Kartal, B.; Kuenen, J.G.; van Loosdrecht, M.C. Sewage Treatment with Anammox. Science 2010, 328, 702–703. [Google Scholar] [CrossRef] [PubMed]
- Strous, M.; Fuerst, J.A.; Kramer, E.H.; Logemann, S.; Muyzer, G.; van de Pas-Schoonen, K.T.; Webb, R.; Kuenen, J.G.; Jetten, M.S.M. Missing lithotroph identified as new planctomycete. Nature 1999, 400, 446–449. [Google Scholar] [CrossRef] [PubMed]
- Wang, Y.N.; Tsang, Y.F.; Wang, L.; Fu, X.; Hu, J.; Li, H.; Le, Y. Inhibitory effect of self-generated extracellular dissolved organic carbon on carbon dioxide fixation in sulfur-oxidizing bacteria during a chemoautotrophic cultivation process and its elimination. Bioresour. Technol. 2018, 252, 44–51. [Google Scholar] [CrossRef] [PubMed]
- Wang, B.; Li, Y.; Wang, D.; Liu, R.; Wei, Z.; Ren, N. Simultaneous coproduction of hydrogen and methane from sugary wastewater by an “ACSTRH–UASBMet” system. Int. J. Hydrogen Energy 2013, 38, 7774–7779. [Google Scholar] [CrossRef]
- Miao, Y.; Liang, Z.; Yang, Y. Start-up of single-stage partial nitrification-anammox process treating low-strength swage and its restoration from nitrate accumulation. Bioresour. Technol. 2016, 218, 771–779. [Google Scholar] [CrossRef]
- Imura, Y.; Isaka, K.; Kazama, F. Effects of inorganic carbon limitation on anaerobic ammonium oxidation (anammox) activity. Bioresour. Technol. 2011, 102, 4390–4394. [Google Scholar]
- Carty, P.L.; Bae, J.; Kim, J. Domestic wastewater treatment as a net energy producer-can this be achieved. East. Stand. Time 2011, 45, 7100–7106. [Google Scholar]
- Dai, W.; Xu, X.; Liu, B.; Yang, F. Toward energy-neutral wastewater treatment: A membrane combined process of anaerobic digestion and nitritation–anammox for biogas recovery and nitrogen removal. Chem. Eng. J. 2015, 279, 725–734. [Google Scholar] [CrossRef]
- Hao, X.; Liu, R.; Huang, X. Evaluation of the potential for operating carbon neutral WWTPs in China. Water Res. 2015, 87, 424–431. [Google Scholar] [CrossRef] [PubMed]
- Reardon, D.J.; Falk, M.W. Getting to Zero: Sustainability Best practices to Significantly Reduce Greenhouse Gas and Energy at Your Wastewater Facility. Proc. Water Environ. Fed. 2010, 13, 3347–3358. [Google Scholar] [CrossRef]
- Zhang, W.; Zhang, Y.; Li, L. Fast start-up of expanded granular sludge bed (EGSB) reactor using stored Anammox sludge. Water Sci. Technol. 2014, 69, 1469–1474. [Google Scholar]
- Zhang, W.; Wang, D.; Jin, Y. Effects of inorganic carbon on the nitrous oxide emissions and microbial diversity of an anaerobic ammonia oxidation reactor. Bioresour. Technol. 2018, 250, 124–130. [Google Scholar] [CrossRef] [PubMed]
- Zhang, Z.; Liu, S.; Miyoshi, T. Mitigated membrane fouling of anammox membrane bioreactor by microbiological immobilization. Bioresour. Technol. 2016, 201, 312–318. [Google Scholar] [CrossRef] [PubMed]
- APHA. Standard Methods for the Examination of Water and Wastewater, 19th ed.; American Public Health Association: Washington, DC, USA, 1995; p. 1467. [Google Scholar]
- Dapena-Mora, A.; Campos, J.L.; Mosquera-Corral, A.; Jetten, M.S.M.; Mendez, R. Stability of the ANAMMOX process in a gas-lift reactor and a SBR. J. Biotechnol. 2004, 110, 159–170. [Google Scholar] [CrossRef]
- Wang, X.T.; Jiang, Z.X.; Li, Y. Inorganic carbon sequestration and its mechanism of coastal saline-alkali wetlands in Jiaozhou Bay, China. Geoderma 2019, 351, 221–234. [Google Scholar] [CrossRef]
- Stephen, W.R.; Harland, G.W. Enzymology of the Acetyl-CoA pathway of CO2 fixation. Crit. Rev. Biochem. Mol. Biol. 1991, 26, 261–300. [Google Scholar]
- Mulder, A.; Van De Graaf, A.A.; Robertson, L. Anaerobic ammonium oxidation discovered in a denitrifying fluidized-bed reactor. FEMS Microbiol. Ecol. 1995, 16, 177–183. [Google Scholar] [CrossRef]
- Schouten, S.; Strous, M.; Kuypers, M.M.M. Stable car-bon isotopic fractionations associated with inorganic car-bon fixation by anaerobic ammonium-oxidizing bacteria. Appl. Environ. Microb. 2004, 70, 3785–3788. [Google Scholar] [CrossRef]
- Hugler, M.; Sievert, S.M. Beyond the calvin cycle: Autotrophic carbon fixation in the ocean. Ann. Rev. Mar. Sci. 2011, 3, 261–289. [Google Scholar] [CrossRef]
- Hao, X.; Joseph, J.; Mark, C.M. Model-based evaluation of temperature and inflow variations on a partial nitrification ANAMMOX biofilm process. Water Res. 2002, 36, 4839–4849. [Google Scholar] [CrossRef]
- Wang, H.; Han, J.; Zhang, W. Effects of NH4+-N and NO2−-N on carbon fixation in an anaerobic ammonium oxidation reactor. J. Environ. Manag. 2019, 241, 450–457. [Google Scholar] [CrossRef] [PubMed]
© 2019 by the authors. Licensee MDPI, Basel, Switzerland. This article is an open access article distributed under the terms and conditions of the Creative Commons Attribution (CC BY) license (http://creativecommons.org/licenses/by/4.0/).








