Quantitative Estimates of Nonlinear Flow Characteristics of Deformable Rough-Walled Rock Fractures with Various Lithologies
Abstract
1. Introduction
2. Theory and Background
3. Experimental Procedure
3.1. Sample Preparation
3.2. Quantification of Fracture Surface Roughness
3.3. Testing Procedure
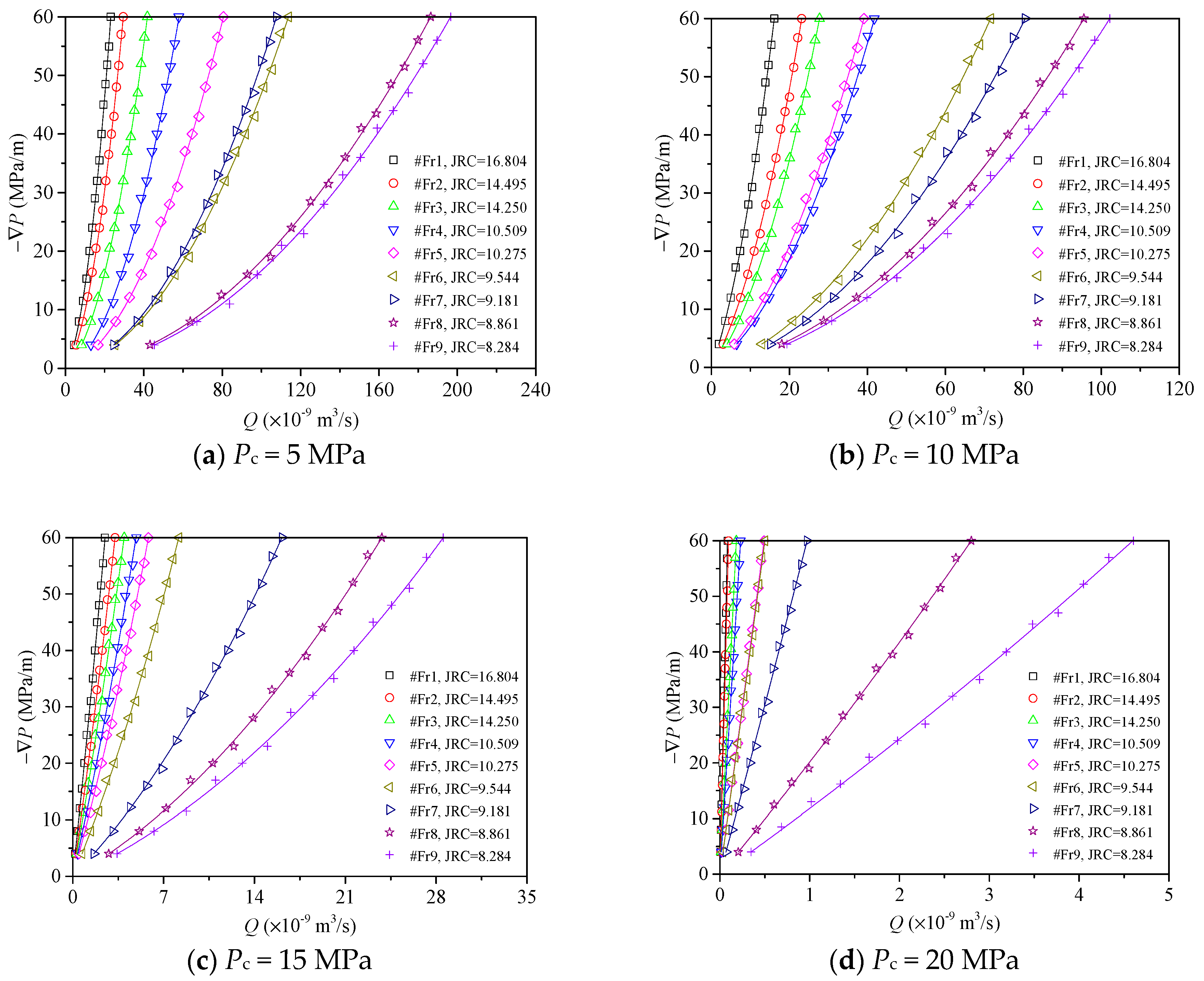
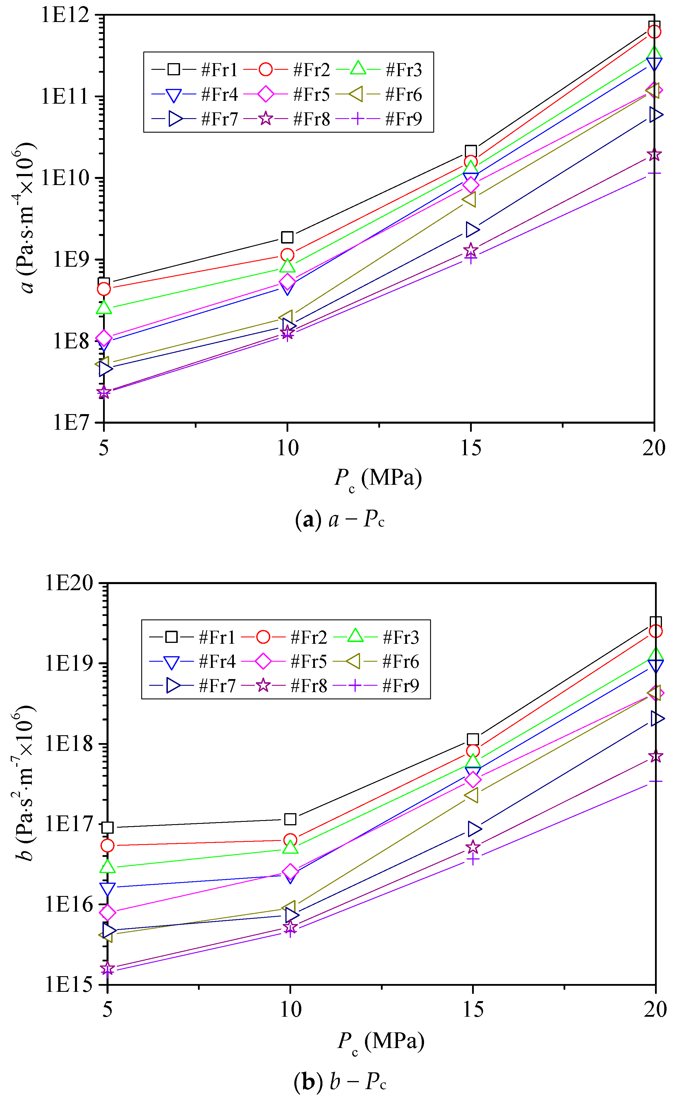
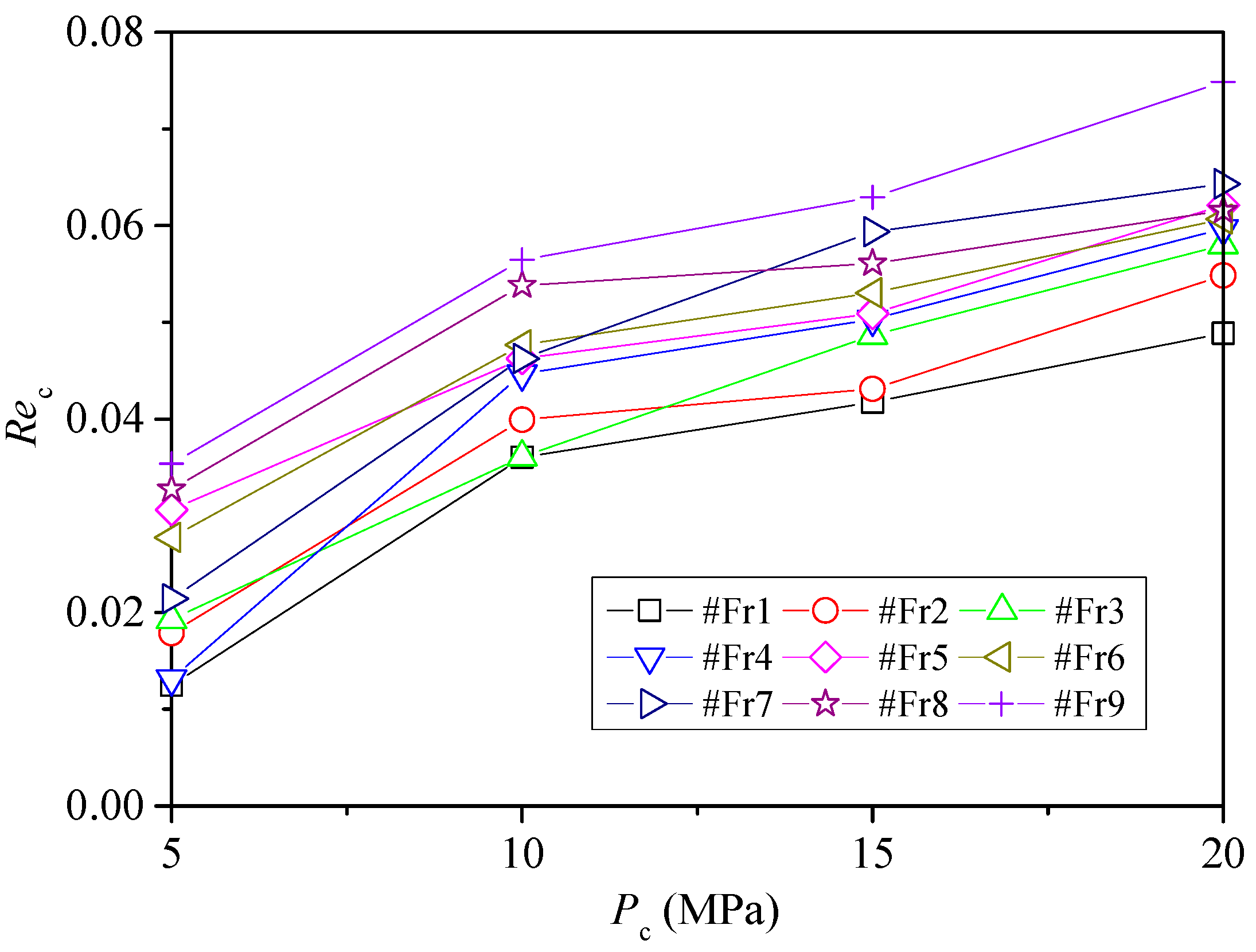
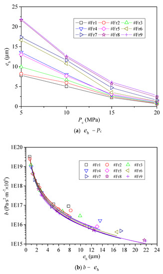
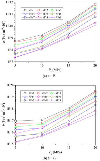
4. Results and Discussion
5. Conclusions
Author Contributions
Funding
Conflicts of Interest
References
- Berkowitz, B.; Miller, C.T.; Parlange, M.B.; Hassanizadeh, S.M. Characterizing flow and transport in fractured geological media: A review. Adv. Water Resour. 2002, 25, 861–884. [Google Scholar] [CrossRef]
- Crandall, D.; Ahmadi, G.; Smith, D.H. Computational modeling of fluid flow through a fracture in permeable rock. Transp. Porous Media 2010, 84, 493–510. [Google Scholar] [CrossRef]
- Ranjith, P.G.; Darlington, W. Nonlinear single-phase flow in real rock joints. Water Resour. Res. 2007, 43, 146–156. [Google Scholar] [CrossRef]
- Yin, Q.; Jing, H.; Su, H.; Wang, H. CO2 permeability analysis of caprock containing a single fracture subject to coupled thermal-hydro-mechanical effects. Math. Probl. Eng. 2017, 46, 1–13. [Google Scholar]
- Zhou, J.Q.; Hu, S.H.; Fang, S.; Chen, Y.F.; Zhou, C.B. Nonlinear flow behavior at low Reynolds numbers through rough-walled fractures subjected to normal compressive loading. Int. J. Rock Mech. Min. Sci. 2015, 80, 202–218. [Google Scholar] [CrossRef]
- Li, B.; Jiang, Y.; Koyama, T.; Jing, L.; Tanabashi, Y. Experimental study of the hydro-mechanical behavior of rock joints using a parallel-plate model containing contact areas and artificial fractures. Int. J. Rock Mech. Min. Sci. 2008, 45, 362–375. [Google Scholar] [CrossRef]
- Min, K.B.; Rutqvist, J.; Tsang, C.F.; Jing, L. Stress-dependent permeability of fractured rock masses: A numerical study. Int. J. Rock Mech. Min. Sci. 2004, 41, 1191–1210. [Google Scholar] [CrossRef]
- Yin, Q.; Ma, G.W.; Jing, H.W.; Wang, H.D.; Su, H.J.; Liu, R.C. Hydraulic properties of 3D rough-walled fractures during shearing: An experimental study. J. Hydrol. 2017, 555, 169–184. [Google Scholar] [CrossRef]
- Babadagli, T.; Ren, X.; Develi, K. Effects of fractal surface roughness and lithology on single and multiphase flow in a single fracture: An experimental investigation. Int. J. Multiph. Flow 2015, 68, 40–58. [Google Scholar] [CrossRef]
- Wang, Z.; Xu, C.; Dowd, P. A modified cubic law for single-phase saturated laminar flow in rough rock fractures. Int. J. Rock Mech. Min. Sci. 2018, 103, 107–115. [Google Scholar] [CrossRef]
- Watanabe, N.; Hirano, N.; Tsuchiya, N. Diversity of channeling flow in heterogeneous aperture distribution inferred from integrated experimental-numerical analysis on flow through shear fracture in granite. J. Geophys. Res. Solid Earth 2009, 114, BO4208. [Google Scholar] [CrossRef]
- Firdaouss, M.; Guermond, J.L.; Quéré, P.L. Nonlinear corrections to Darcy’s law at low reynolds numbers. J. Fluid Mech. 2000, 343, 331–350. [Google Scholar] [CrossRef]
- Konzuk, J.S.; Kueper, B.H. Evaluation of cubic law based models describing single-phase flow through a rough-walled fracture. Water Resour. Res. 2004, 40, 389–391. [Google Scholar] [CrossRef]
- Xiong, X.; Li, B.; Jiang, Y.; Koyama, T.; Zhang, C. Experimental and numerical study of the geometrical and hydraulic characteristics of a single rock fracture during shear. Int. J. Rock Mech. Min. Sci. 2011, 48, 1292–1302. [Google Scholar] [CrossRef]
- Chen, Y.F.; Zhou, J.Q.; Hu, S.H.; Hu, R.; Zhou, C.B. Evaluation of Forchheimer equation coefficients for non-Darcy flow in deformable rough-walled fractures. J. Hydrol. 2015, 529, 993–1006. [Google Scholar] [CrossRef]
- Durham, W.B.; Bonner, B.P. Self-propping and fluid flow in slightly offset joints at high effective pressures. J. Geophys. Res. Solid Earth 1994, 99, 9391–9399. [Google Scholar] [CrossRef]
- Javadi, M.; Sharifzadeh, M.; Shahriar, K.; Mitani, Y. Critical Reynolds number for nonlinear flow through rough-walled fractures: The role of shear processes. Water Resour. Res. 2014, 50, 1789–1804. [Google Scholar] [CrossRef]
- Zhang, Z.Y.; Nemcik, J. Fluid flow regimes and nonlinear flow characteristics in deformable rock fractures. J. Hydrol. 2013, 447, 139–151. [Google Scholar] [CrossRef]
- Zimmerman, R.W.; Bodvarsson, G.S. Hydraulic conductivity of rock fractures. Transp. Porous Media 1996, 23, 1–30. [Google Scholar] [CrossRef]
- Leung, C.T.O.; Zimmerman, R.W. Estimating the hydraulic conductivity of two-dimensional fracture networks using network geometric properties. Transp. Porous Media 2012, 93, 777–797. [Google Scholar] [CrossRef]
- Liu, R.C.; Li, B.; Jiang, Y.J.; Yu, L.Y. A numerical approach for assessing effects of shear on equivalent permeability and nonlinear flow characteristics of 2-D fracture networks. Adv. Water Resour. 2018, 111, 289–300. [Google Scholar] [CrossRef]
- Yin, Q.; Jing, H.; Liu, R.; Ma, G.; Yu, L.; Su, H. Experimental study on stress-dependent nonlinear flow behavior and normalized transmissivity of real rock fracture networks. Geofluids 2018. [Google Scholar] [CrossRef]
- Raven, K.G.; Gale, J.E. Water flow in a natural rock fracture as a function of stress and sample size. J. Steroid Biochem. 1985, 22, 251–261. [Google Scholar] [CrossRef]
- Esaki, T.; Du, S.; Mitani, Y.; Ikusada, K.; Jing, L. Development of a shear-flow test apparatus and determination of coupled properties for a single rock joint. Int. J. Rock Mech. Min. Sci. 1999, 36, 641–650. [Google Scholar] [CrossRef]
- Rong, G.; Yang, J.; Cheng, L.; Zhou, C.B. Laboratory investigation of nonlinear flow characteristics in rough fractures during shear process. J. Hydrol. 2016, 541, 1385–1394. [Google Scholar] [CrossRef]
- Bandis, S.C.; Lumsden, A.C.; Barton, N.R. Fundamentals of rock joint deformation. Int. J. Rock Mech. Min. Sci. 1983, 20, 249–268. [Google Scholar] [CrossRef]
- Olsson, R.; Barton, N. An improved model for hydromechanical coupling during shearing of rock joints. Int.J. Rock Mech. Min. Sci. 2001, 38, 317–329. [Google Scholar] [CrossRef]
- Liu, R.C.; Yu, L.Y.; Jiang, Y.J. Quantitative estimates of normalized transmissivity and the onset of nonlinear fluid flow through rough rock fractures. Rock Mech. Rock Eng. 2017, 50, 1063–1071. [Google Scholar] [CrossRef]
- Witherspoon, P.A.; Wang, J.S.Y.; Iwai, K.; Gale, J.E. Validity of Cubic Law for fluid flow in a deformable rock fracture. Water Resour. Res. 1980, 16, 1016–1024. [Google Scholar] [CrossRef]
- Yeo, I.W.; Ge, S. Solute dispersion in rock fractures by non-Darcian flow. Geophys. Res. Lett. 2001, 28, 3983–3986. [Google Scholar] [CrossRef]
- Yin, Q.; Jing, H.; Ma, G.; Su, H.; Liu, R. Investigating the roles of included angle and loading condition on the critical hydraulic gradient of real rock fracture networks. Rock Mech. Rock Eng. 2018. [Google Scholar] [CrossRef]
- Cherubini, C.; Giasi, C.I.; Pastore, N. Bench scale laboratory tests to analyze non-linear flow in fractured media. Hydrol. Earth Syst. Sci. Discuss. 2012, 9, 2511–2522. [Google Scholar] [CrossRef]
- Liu, R.C.; Li, B.; Jiang, Y.J. Critical hydraulic gradient for nonlinear flow through rock fracture networks: The roles of aperture, surface roughness, and number of interactions. Adv. Water Resour. 2016, 88, 53–65. [Google Scholar] [CrossRef]
- Zimmerman, R.W.; AL-Yaarubi, A.; Pain, C.C.; Grattoni, C.A. Non-linear regimes of fluid flow in rock fractures. Int. J. Rock Mech. Min. Sci. 2004, 41, 163–169. [Google Scholar] [CrossRef]
- Zeng, Z.; Grigg, R. A criterion for non-Darcy flow in porous media. Transp. Porous Media 2006, 63, 57–69. [Google Scholar] [CrossRef]
- Xia, C.C.; Qian, X.; Lin, P.; Xiao, W.M.; Gui, Y. Experimental investigation of nonlinear flow characteristics of real rock joints under different contact conditions. J. Hydraul. Eng. 2017, 143, 04016090. [Google Scholar] [CrossRef]
- Barton, N.; Choubey, V. The shear strength of rock joints in theory and practice. Rock Mech. Felsmechanik Mec. Roches 1977, 10, 1–54. [Google Scholar] [CrossRef]
- Tse, R.; Cruden, D.M. Estimating joint roughness coefficients. Int. J. Rock Mech. Min. Sci. Geomech. Abstr. 1979, 16, 303–307. [Google Scholar] [CrossRef]
- Wang, G.; Zhang, X.; Jiang, Y.; Wu, X.; Wang, S. Rate-dependent mechanical behavior of rough rock joints. Int. J. Rock Mech. Min. Sci. 2016, 83, 231–240. [Google Scholar] [CrossRef]
- He, L.; Yin, Q.; Jing, H. Laboratory investigation of granite permeability after high-temperature exposure. Processes 2018, 6, 36. [Google Scholar] [CrossRef]
- Wang, M.; Chen, Y.F.; Ma, G.W.; Zhou, J.Q.; Zhou, C.B. Influence of surface roughness on nonlinear flow behaviors in 3D self-affine rough fractures: Lattice Boltzmann simulations. Adv. Water Resour. 2016, 96, 373–388. [Google Scholar] [CrossRef]
- Brush, D.J.; Thomson, N.R. Fluid flow in synthetic rough-walled fractures: Navier-Stokes, Stokes, and local cubic law simulations. Water Resour. Res. 2003, 39, 1037–1041. [Google Scholar] [CrossRef]
- Radilla, G.; Nowamooz, A.; Fourar, M. Modeling non-Darcian single- and two-phase flow in transparent replicas of rough-walled rock fractures. Transp. Porous Media 2013, 98, 401–426. [Google Scholar] [CrossRef]










| Model No | Rock Type | Average JRC Values | Af/Ap |
|---|---|---|---|
| #Fr1 | Coarse grained granite | 16.804 | 1.050 |
| #Fr2 | Coarse grained white marble | 14.495 | 1.039 |
| #Fr3 | Coarse grained white marble | 14.250 | 1.038 |
| #Fr4 | Medium grained granite | 10.509 | 1.023 |
| #Fr5 | Medium grained granite | 10.275 | 1.022 |
| #Fr6 | Fine grained limestone | 9.544 | 1.018 |
| #Fr7 | Fine grained limestone | 9.181 | 1.019 |
| #Fr8 | Fine grained red sandstone | 8.861 | 1.018 |
| #Fr9 | Fine grained red sandstone | 8.284 | 1.017 |
| Model No | Average JRC Values | Coefficient λ (×1018) | Coefficient m |
|---|---|---|---|
| #Fr1 | 16.804 | 11.459 | 2.863 |
| #Fr2 | 14.495 | 10.341 | 2.803 |
| #Fr3 | 14.250 | 9.341 | 2.834 |
| #Fr4 | 10.509 | 8.961 | 2.842 |
| #Fr5 | 10.275 | 8.149 | 2.779 |
| #Fr6 | 9.544 | 8.509 | 2.868 |
| #Fr7 | 9.181 | 7.993 | 2.923 |
| #Fr8 | 8.861 | 7.942 | 2.897 |
| #Fr9 | 8.284 | 5.713 | 2.783 |
© 2018 by the authors. Licensee MDPI, Basel, Switzerland. This article is an open access article distributed under the terms and conditions of the Creative Commons Attribution (CC BY) license (http://creativecommons.org/licenses/by/4.0/).
Share and Cite
Yin, Q.; He, L.; Jing, H.; Zhu, D. Quantitative Estimates of Nonlinear Flow Characteristics of Deformable Rough-Walled Rock Fractures with Various Lithologies. Processes 2018, 6, 149. https://doi.org/10.3390/pr6090149
Yin Q, He L, Jing H, Zhu D. Quantitative Estimates of Nonlinear Flow Characteristics of Deformable Rough-Walled Rock Fractures with Various Lithologies. Processes. 2018; 6(9):149. https://doi.org/10.3390/pr6090149
Chicago/Turabian StyleYin, Qian, Lixin He, Hongwen Jing, and Dong Zhu. 2018. "Quantitative Estimates of Nonlinear Flow Characteristics of Deformable Rough-Walled Rock Fractures with Various Lithologies" Processes 6, no. 9: 149. https://doi.org/10.3390/pr6090149
APA StyleYin, Q., He, L., Jing, H., & Zhu, D. (2018). Quantitative Estimates of Nonlinear Flow Characteristics of Deformable Rough-Walled Rock Fractures with Various Lithologies. Processes, 6(9), 149. https://doi.org/10.3390/pr6090149

