Next Article in Journal
Parameter Optimization and Modeling for Improving Gear Grinding Surface Quality Within the Scope of Dual Carbon Goals and Institution Promotion
Previous Article in Journal
Mechanistic Modeling of Carrot Slice Drying: Lattice Boltzmann Simulation Coupled with Weibull-Based Quality Kinetics
Previous Article in Special Issue
Dynamic In Situ Stress Evolution and Cross-Layer Fracture Propagation Mechanisms in Superimposed Shale Oil Reservoirs Under Long-Term Injection-Production Perturbations
 
 
Font Type:
Arial Georgia Verdana
Font Size:
Aa Aa Aa
Line Spacing:
Column Width:
Background:
Article

Experimental Investigation of Proppant Transport in Multi-Level Complex Fracture Networks of Deep Shale Formations

1
School of Petroleum Engineering, Yangtze University, Wuhan 430100, China
2
State Key Laboratory of Low Carbon Catalysis and Carbon Dioxide Utilization, Wuhan 430100, China
3
Key Laboratory of Drilling and Production Engineering for Oil and Gas, Wuhan 430100, China
4
Zhanjiang Branch, CNOOC China Limited, Zhanjiang 524057, China
5
CNPC Chuanqing Drilling Engineering Company, Chengdu 660051, China
*
Authors to whom correspondence should be addressed.
Processes 2026, 14(7), 1170; https://doi.org/10.3390/pr14071170
Submission received: 2 March 2026 / Revised: 30 March 2026 / Accepted: 2 April 2026 / Published: 4 April 2026

Abstract

Proppant transport in complex fracture networks strongly influences the effectiveness of volumetric hydraulic fracturing in deep shale reservoirs; however, experimental investigations remain limited by the scale and structural complexity of existing laboratory models. In this study, large-scale physical experiments were conducted using a self-designed fracture system consisting of a main fracture and multi-level tertiary branch fractures to investigate proppant transport and placement behavior under different operational conditions. Twelve experimental cases were performed by varying injection rate, fracturing fluid viscosity, proppant concentration, proppant type, and particle-size pumping sequence. The results show that increasing the injection rate and fluid viscosity improves the proppant transport capacity and promotes proppant migration into tertiary branch fractures, increasing the proppant distribution ratio by 6.58%, while the placement proportion in the main fracture decreases by 15.92%. Increasing the proppant concentration enhances proppant placement in all fracture levels, with the placement ratio of quartz sand increasing by 10–15%, but excessive concentration causes accumulation and bridging near the fracture entrance. Under identical conditions, ceramic proppant exhibits better overall placement performance than quartz sand, with a 22.81% higher placement ratio in the main fracture. In addition, the pumping sequence significantly affects proppant distribution; the large–small–large particle-size sequence achieves the highest placement ratio of 74.52%. These results provide quantitative experimental evidence for optimizing proppant injection strategies and fracturing parameters in deep shale reservoirs.

1. Introduction

Taking deep shale gas reservoirs in the Sichuan Basin as an example, deep formations are characterized by high temperature and high pressure, elevated treatment pressure, significant horizontal stress contrast, and pronounced rock plasticity [1]. In this context, the classification and optimization of deep shale reservoir facies are essential for identifying target production zones [2]. Effective reservoir stimulation is critical for the efficient development of deep and ultra-deep shale gas resources, and volumetric fracturing has become the primary technique for achieving large-scale production [3]. However, under conditions of high vertical stress and large horizontal stress differences, natural fractures and bedding planes in deep shale [4,5] are easily activated during hydraulic fracturing, forming a complex fracture network composed of main fractures, branch fractures, and opened natural fractures. The coupling of these multi-level fracture networks not only fundamentally determines the overall permeability of the reservoir [6], but also controls the complex transport processes of multi-component fluids within nanopores and fractures [7]. Therefore, systematic characterization of such multi-level fracture systems [8] and effective proppant placement are crucial for establishing continuous and stable high-conductivity flow channels. In current deep shale fracturing operations, increasing proppant loading is commonly adopted to enhance fracture support. Nevertheless, due to the geometric heterogeneity of complex fracture networks, proppant transport and spatial distribution exhibit significant variability between primary and secondary fractures. The limited understanding of these transport behaviors has hindered identification of the dominant factors controlling proppant placement efficiency in deep shale formations.
For decades, particle transport and settling behavior in fluid systems have been central research topics in multiphase flow studies. Classical theories, including Stokes’ law [9], the particle transport model proposed by Van Rijn (1984) [10], and the Richardson–Zaki model applied by Baldock (2004) [11,12], have established the theoretical foundation for understanding particle settling and transport behavior. On this basis, Liu and Sharma (2005) [13] pointed out that proppant transport in fractures is influenced by multiple factors, including injection rate, fracture geometry, fracturing fluid rheology, particle–fluid density difference, and particle size. Consequently, numerous physical experiments have been conducted to investigate proppant transport and placement behavior under different fracture configurations.
In recent years, with the widespread application of slickwater fracturing technology, physical experimental studies have further improved the understanding of proppant transport mechanisms [14]. Early experimental studies primarily employed simple parallel-plate fracture models to investigate the formation and evolution of proppant dunes [15,16,17,18,19,20]. However, considering the complexity of subsurface fracture systems, experimental setups have been progressively developed and improved. Some studies incorporated realistic fracture morphologies into experimental models, investigating proppant transport behavior in vertical fractures with controllable roughness [21] and in complex fractures with heterogeneous rough surfaces [22]. Meanwhile, the physical properties of proppant and fracturing fluids have also been optimized. For example, the filling mechanisms of proppants with different shapes [23] and the transport efficiency of self-suspending proppants in complex fractures [24] have been investigated. Furthermore, advanced monitoring techniques such as particle image velocimetry (PIV) have been applied to capture the dynamic transport processes of proppants [25]. Regarding proppant transport in complex fracture systems, researchers have also developed experimental setups with branched structures to observe fluid deflection behavior [26,27,28,29], demonstrating that flow distribution within branch fractures plays a dominant role in proppant placement efficiency [30,31].
Although these studies have significantly improved the understanding of proppant transport mechanisms, a critical research gap still exists in the quantitative characterization of proppant migration within the multi-level cascade fracture networks typical of deep shale reservoirs. As summarized in Table 1, existing experimental systems remain unable to fully reproduce the complex flow deflection and energy dissipation processes occurring during field hydraulic fracturing in terms of fracture hierarchy and scale. More importantly, most existing setups fail to incorporate the multi-scale secondary and tertiary branching structures commonly developed in deep shale reservoirs, where severe proppant bridging and filtration often occur. Consequently, the physical mechanisms governing how proppants overcome flow deflection inertia and effectively enter deep tertiary branch fractures remain poorly understood.
In summary, previous studies have systematically investigated proppant settling and transport behavior in hydraulic fractures and have developed various experimental models, providing a solid experimental foundation. However, most existing laboratory setups are limited in scale, with simplified fracture geometries, a small number of branched fractures, restricted fracture hierarchy, and fixed fracture widths. These limitations hinder the realistic representation of multi-level complex fracture networks encountered in deep shale reservoirs. To address these gaps, this study conducts large-scale experimental investigations on proppant transport and placement in complex fracture systems representative of deep shale formations. By systematically evaluating different proppant injection conditions, the work aims to elucidate the governing mechanisms and dominant controlling factors influencing proppant migration and spatial distribution within multi-level fracture networks. The findings are expected to provide a theoretical basis for optimizing fracturing operational parameters in deep shale gas reservoirs and to support cost-effective and efficient reservoir stimulation practices.

2. Equipment and Principles

During large-scale hydraulic fracturing of deep shale reservoirs, the generated complex fracture networks exert a pronounced influence on proppant transport pathways and effective placement behavior. To systematically elucidate proppant transport and deposition mechanisms within complex fracture networks, a large-scale visualized multi-fracture physical system was developed, and a series of proppant transport and placement experiments were conducted. Through continuous and in situ capturing of the evolution of proppant dune morphology in fractures at different hierarchical levels under various treatment parameters, the transport trends and placement mechanisms of proppants were analyzed, thereby clarifying the governing characteristics of proppant transport and placement in complex fracture networks of deep shale reservoirs.

2.1. Experimental Apparatus

Proppant transport experiments in the primary fracture and multi-level branched fractures were conducted using a large-scale multi-scale complex fracture system (Figure 1). The apparatus adopts a modular design that allows flexible assembly according to experimental requirements. Three-way male–female connectors were installed at branch intersections to ensure overall sealing integrity of the system. The specific components are shown in Figure 2. The experimental setup consists of a screw pump (maximum injection rate of 8 m3/h, capable of conveying viscous fluids and particle-laden slurries with a maximum proppant concentration of 60%), a mixing tank (maximum volume of 600 L equipped with a mechanical agitator), a visualized combined fracture module, connecting pipelines, a flowmeter, a high-resolution imaging system, an operation control panel, and a sand–fluid separation tank (Figure 2). The geometric parameters of the fracture model listed in Table 2 were determined by combining laboratory experimental constraints with typical fracture characteristics observed in shale reservoirs. Deep shale reservoirs generally exhibit relatively high Young’s modulus and comparatively narrow fracture widths after hydraulic fracturing, while the designed fracture length and height ensure sufficient observation space for proppant transport within the laboratory apparatus. The fracture angles were set to simulate the intersections between main fractures and branch fractures commonly observed in complex fracture networks. A schematic of the overall fracture geometry is presented in Figure 2. To simulate the cascading structure of complex fracture networks, the inlet positions of the first-, second-, and third-level branched fractures were arranged at distances of 3.0 m, 0.6 m, and 0.3 m from the inlet of the preceding fracture, respectively. This configuration reflects the geometric characteristics observed in deep shale fracturing operations, where fracture branches progressively weaken and decrease in scale with increasing hierarchy.

2.2. Similarity Criteria and Parameter Conversion

Due to the significant discrepancies in geometric scale and operational conditions between laboratory experiments and field hydraulic fracturing treatments, similarity criteria must be applied to convert fracture parameters between laboratory and field scales to ensure the comparability and scientific validity of the experimental results. During proppant transport, the viscous force of the fracturing fluid plays a dominant role in driving particle migration within fractures. Therefore, the Reynolds number of the fluid in the experimental fracture should be kept consistent with that under field fracture conditions. This ensures that the flow regime and viscous-dominated transport characteristics exhibit dynamic similarity between laboratory and field scenarios [35].
v n ω n ρ n μ n = v m ω m ρ m μ m
where ωn and ωm denote the widths of the field-scale fracture and the laboratory fracture, respectively (m); ρn and ρm are the densities of the field and laboratory fracturing fluids, respectively (kg/m3); and μn and μm represent the viscosities of the field and laboratory fluids, respectively (Pa·s). In the experiments, the fracture width was kept consistent with the field construction conditions, and the density and viscosity of the fracturing fluid, as well as the density and particle size of the proppant, were configured with the same parameters as in the field, thus meeting the similarity requirements at the geometric and physical property levels. According to the above similarity criteria, under the premise of consistent fracture geometry and fluid-particle properties, proppant migration and placement behavior are mainly controlled by the characteristic flow velocity of the proppant-carrying fluid within the fracture. Therefore, in the experimental-to-field scale conversion process, it is only necessary to ensure that the flow velocity of the proppant-carrying fluid within the fracture remains consistent to achieve a reasonable equivalent characterization of the in-field proppant migration process.
Based on the above assumptions, a similarity conversion between experimental displacement and on-site construction displacement is further carried out. Considering that the on-site fracturing crack is a two-wing structure while the experimental crack is a single-wing crack, the conversion relationship between experimental displacement and on-site construction displacement is determined by Equation (2).
Q n 2 A n = Q m A m
where Qn and Qm are the injection rates under field hydraulic fracturing conditions and in the laboratory experiments, respectively (m3/min), and An and Am are the cross-sectional areas of the field-scale fracture and the experimental fracture, respectively (m2).
In addition to single-phase fluid flow, coupled flow between the fracturing fluid and proppant particles occurs during proppant transport within fractures. Therefore, an additional similarity criterion is required to characterize this fluid–particle interaction. In this study, the similarity principle proposed by Fernández [36], which ensures equivalence between laboratory-scale and field-scale proppant particle Reynolds numbers, is adopted:
R e p r o p = ρ p v p d p μ
where ρp represents the proppant density (kg/m3), vp is the velocity of the proppant relative to the fracturing fluid (m/s), dp denotes the proppant diameter, and μ is the fracturing fluid viscosity (Pa·s). In the experiments, the proppant type, density, diameter, fracturing fluid velocity, and viscosity are consistent with field conditions. Therefore, the proppant Reynolds number in the laboratory matches that of the actual fracturing operation, ensuring that the coupled flow behavior of proppant and fracturing fluid in the experiment is dynamically similar to that in the field.
However, proppant transport in hydraulic fracturing is a complex multiphase process, influenced not only by inertial and viscous forces but also by gravity-driven particle settling. Therefore, other dimensionless parameters, such as the Froude number (Fr), Stokes number (St), and particle settling velocity ratio, also play a crucial role in controlling proppant transport behavior. Although it is difficult to simultaneously satisfy all similarity criteria in laboratory experiments, this study focuses on maintaining the main hydrodynamic similarities, represented by the Reynolds number, while ensuring that other parameters remain within a reasonable range comparable to those encountered in field hydraulic fracturing operations. These parameters were chosen to reproduce the main physical processes controlling proppant transport, including fluid resistance, particle settling, and fluid deflection at fracture junctions. It should be noted that this experimental system represents a simplified physical model of complex fracture networks in shale reservoirs. Certain factors present under field conditions, such as variations in in situ stress, fracture roughness, and large-scale fracture propagation, cannot be fully replicated in laboratory experiments. Nevertheless, this experimental design still enables a systematic study of the key mechanisms controlling the migration and distribution of proppant in multilayer fracture networks, thus providing valuable insights into the behavior of proppant in field hydraulic fracturing operations.

2.3. Experimental Design

Deep shale gas well fracturing aims to create a complex fracture network with high SRV (Self-Recovery Volume) and achieve high EUR (Earnings Per Flow) and high gas production through volumetric fracturing. It typically utilizes horizontal well segmented multi-cluster fracturing technology, employing large volumes and high displacement of slickwater. Measures such as increasing fluid usage, fracturing displacement, proppant strength, and using high-strength, small-particle-size proppant are taken to improve proppant placement and filling within the fractures, thereby enhancing fracture effectiveness. To better reflect actual engineering conditions, the experimental parameters in this paper will be designed with reference to the basic construction parameters of deep shale gas fracturing sites. As shown in Table 3, the experimental injection rate was obtained based on similarity conversion.
Before conducting the formal experiments, a series of preliminary tests were carried out to determine the fluid volume required for the proppant dunes to reach a stable equilibrium state. During this stage, multiple repeated experiments were conducted under strictly identical operating conditions to verify the reproducibility of the experimental results. Based on the scaling conversion derived from similarity criteria, a series of proppant transport and placement experiments were conducted in the large-scale visualized fracture system. In this study, a one-factor-at-a-time experimental approach was adopted. For each group of experiments, only one parameter was varied while the other parameters were kept constant to isolate the influence of individual factors on proppant transport and placement behavior. Influencing factors of the investigation include injection rate, fluid viscosity, proppant injection sequence, proppant type, and proppant concentration. The detailed experimental scheme is summarized in Table 4.

3. Results and Analysis

After the experiments reached equilibrium, high-resolution images of the proppant dunes were captured through the observation window. The images were imported into MATLAB R2023b for image processing and quantitative analysis. First, the images were converted to grayscale to reduce color information. Then, threshold segmentation was applied to separate the proppant-filled regions from the fluid regions, generating binary images. Based on the processed images, the spatial distribution of proppant within the main fracture and branch fractures was identified, which was further used to analyze the proppant placement morphology and calculate parameters such as dune height and fracture filling ratio. To investigate the transport and settling mechanisms of proppant within complex fracture networks, high-resolution images of the proppant deposits were acquired after the experiments reached equilibrium. Two key metrics—fracture filling ratio ( λ e ) and proppant dune height ( H e )—were used for quantitative analysis. The fracture filling ratio ( λ e ) is defined as the ratio of the proppant deposit area to the total fracture cross-sectional area, reflecting the effective proppant coverage within the fracture.
λ e = A s A t × 100 %
where As denotes the proppant placement area within the observation window (m2), and At denotes the fracture cross-sectional area within the observation window (m2). Higher λ e values indicate a greater proportion of the fracture being effectively filled. Considering that the primary branch is located 3 m from the injection point of the main fracture, which induces flow diversion, the filling ratio of the main fracture was divided into three representative regions for comparison: the entire main fracture, the front-middle section (1–3 m from the injection point), and the deep section (3–4 m from the injection point), providing a more accurate representation of proppant placement along the fracture length.
The proppant dune height ( H e ) is defined as the vertical distance between the top of the proppant accumulation and the bottom of the fracture at the observation location, which was determined using MATLAB-based image recognition. Larger H e values correspond to higher local flow conductivity. For each fracture level, the dune height at the fracture mouth was compared; in the main fracture, two monitoring points were set: at the fracture inlet and at the primary–secondary branch junction (3 m from the inlet) to evaluate the variation in flow conductivity across different fracture levels. The measurement uncertainty mainly arises from the image resolution and the threshold segmentation applied during image processing. Based on repeated measurements, the uncertainties of dune height and fracture filling ratio were estimated to be within ±5%. These uncertainties do not influence the overall trends of the experimental results.

3.1. Injection Rate

To investigate the effect of injection rate on proppant transport and placement within complex fracture networks, two comparative experiments were conducted under identical conditions, using 70/140-mesh quartz sand and 40/70-mesh ceramic proppant. The experiments were performed at two different injection rates (0.02 m3/min and 0.03 m3/min) to evaluate the influence of flow rate on proppant migration and deposition behavior.

3.1.1. 70/140 Mesh Quartz Sand Under Different Injection Rates

To investigate the transport and placement characteristics of 70/140-mesh quartz sand under different injection rates, the results of Experiment 2 and Experiment 3 were compared. Based on the proppant deposition patterns observed in Experiment 2, the raw data were further processed to generate the proppant height distribution maps shown in Figure 3a and Figure 4a, providing a clearer visualization of height variations at different positions along the fractures. The same data processing and visualization approach were applied to all subsequent experiments. The final proppant deposition patterns in the main fracture and its hierarchical branch fractures in Experiment 3 are presented in Figure 3b and Figure 4b, and the fracture proppant heights and filling ratios are visualized in Figure 5.
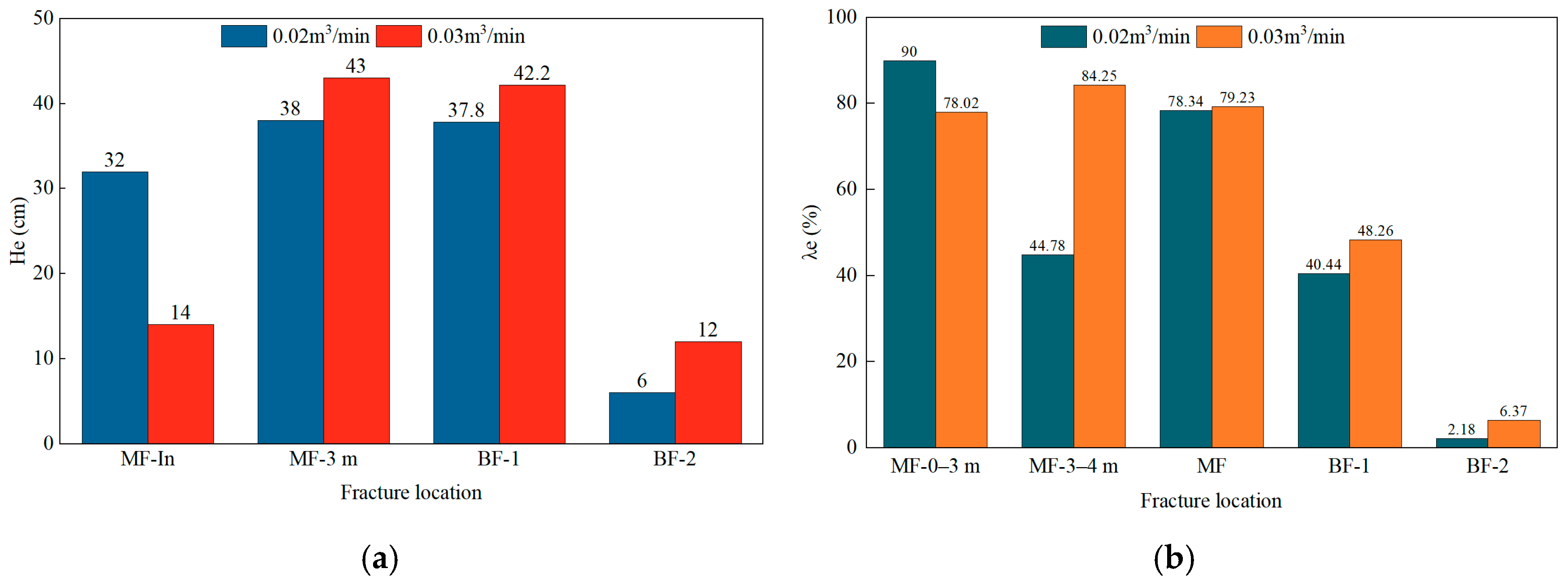
As shown in Figure 3a, under an injection rate of 0.02 m3/min, the proppant height of 70/140-mesh quartz sand in the main fracture exhibits an overall “increase first, then decrease” trend along the fracture length. This behavior mainly results from the relatively low fluid velocity under low injection-rate conditions, which leads to limited drag force exerted by the proppant-laden fluid on the particles. Consequently, the particles are more prone to gravitational settling during transport and tend to accumulate in the front and middle sections of the fracture. The proppant height at the fracture inlet is approximately 8 cm, and the filling ratio in the 0–3 m segment reaches 72.78% (Figure 5b), demonstrating that a relatively sufficient proppant support structure forms in the front-middle region. When the proppant reaches about 3 m from the inlet, the presence of a first-order branch fracture induces local flow diversion, which reduces the effective flow velocity in the main fracture and weakens the sand-carrying capacity. As a result, proppant transport toward the deeper region of the fracture becomes restricted. Consequently, the filling ratio in the deep section (3–4 m) decreases to 60.26%, indicating that under low injection rates, the proppant-laden fluid struggles to deliver particles effectively to the fracture end, and the distal support is notably weaker than the front section. As shown in Figure 3b, when the injection rate is increased to 0.03 m3/min, the fluid velocity in the fracture increases significantly, thereby enhancing the drag force exerted on the particles and improving the suspension capacity of the proppant while delaying particle settling. Under stronger hydrodynamic forces, the proppant can pass through the front region of the main fracture more effectively and continue migrating toward the deeper sections. Accordingly, the proppant height along the fracture generally increases with distance, but the overall accumulation is lower. Specifically, the proppant height at the fracture inlet decreases from 8 cm to 2 cm, and the overall filling ratio of the main fracture drops from 68.96% to 53.04%. These results indicate that particle settling is significantly suppressed under higher injection rates, promoting deeper proppant transport rather than accumulation near the fracture inlet.
The proppant placement in the branch fractures also exhibits a clear dependence on injection rate. As shown in Figure 4a, in the branch fractures, the proppant height at the fracture inlet decreases progressively with increasing branch order, while the overall proppant morphology remains relatively consistent. This observation indicates that under low injection rate conditions, proppant placement in branch fractures is mainly controlled by local flow diversion and particle settling, resulting in limited suspension and transport capacity and consequently a relatively low filling degree. Figure 4b shows that at higher injection rates, the branch fractures exhibit significantly enhanced long-distance transport capacity. Although the proppant height and filling ratio in the primary and secondary branch fractures decrease, the proppant distribution along the fracture length becomes more uniform, and more pronounced accumulation occurs in the tertiary branches, with proppant height increasing from 5.2 cm to 9.2 cm and filling ratio rising from 11.39% to 17.94%. This suggests that under higher kinetic energy, a portion of the proppant can overcome the inertial loss at diversion points and the opposing effects of the flow field, entering more complex and finer fracture structures, thereby achieving deeper and broader propped regions. In summary, proppant transport in complex fracture networks is governed by the combined effects of fluid drag, particle settling, and flow redistribution at fracture junctions. While increasing the injection rate reduces proppant heights in the main and primary–secondary branch fractures, the higher flow velocity enhances the carrying capacity of the proppant-laden fluid, improving filling in deeper fractures and more distal branch fractures. This leads to better support in distal and complex fracture regions. Therefore, in field hydraulic fracturing, regulating the injection rate can be an effective strategy to optimize proppant placement in deep and secondary branch fractures.

3.1.2. 40/70 Mesh Ceramic Proppant Under Different Injection Rates

Comparative experiments 5 and 6 were conducted to investigate the transport and placement behavior of 40/70 mesh ceramic proppant under different injection rates in a complex fracture network. The resulting proppant morphologies within the fractures under the two injection rate conditions are shown in Figure 6 and Figure 7, respectively, while the quantitative analyses of proppant height and fracture filling ratio are presented in Figure 8.
As shown in Figure 6a and Figure 7a, under the injection rate of 0.02 m3/min, the 40/70 mesh ceramic proppant formed relatively high sand packs within the first 3 m of the main fracture, with an average accumulation height exceeding 40 cm. Only at the fracture inlet, due to continuous injection disturbances, did the sand pack height slightly decrease to approximately 32 cm, still more than half of the fracture height. This phenomenon indicates that under low injection-rate conditions, the fluid velocity within the fracture is relatively low, resulting in limited drag force exerted by the proppant-laden fluid on the particles. Meanwhile, the 40/70-mesh ceramic proppant, characterized by a larger particle size and higher density, exhibits a higher settling velocity. Consequently, the particles are more prone to gravitational settling and accumulation in the near-inlet region of the fracture. When the proppant migrates to approximately 3 m from the inlet, the flow velocity in the main fracture further decreases due to the significant diversion effect of the first-order branch fracture, leading to a reduction in the local proppant pack height to approximately 38 cm. This observation demonstrates that under low injection-rate conditions, the transport capacity of the proppant toward the deeper parts of the fracture is significantly limited. When the injection rate was increased to 0.03 m3/min, the fluid velocity and kinetic energy within the fracture increase significantly, enhancing the drag force exerted by the fluid on the particles. As a result, the suspension capacity of the proppant is improved and the settling process is delayed. The proppant distribution along the main fracture became more uniform, although the overall sand pack height decreased. Specifically, the sand pack height at the fracture inlet dropped to 14 cm, while at 3 m from the inlet it increased to 43 cm, reflecting a significantly enhanced proppant transport toward the fracture interior. Correspondingly, the filling ratio in the 0–3 m section decreased to 78.02%, whereas the 3–4 m section increased to 84.25%, resulting in a slight increase in the overall main fracture filling ratio from 78.34% to 79.23%. These results indicate that increasing the injection rate can effectively suppress particle settling near the fracture inlet while promoting proppant transport toward deeper fracture regions, thereby optimizing the overall proppant distribution within the main fracture.
In the branch fractures, sand pack height and filling ratio also increased with higher injection rates, demonstrating improved transport and placement. However, due to the relatively large particle size and high density of the ceramic proppant, the settling velocity remains relatively high. Therefore, even under higher injection-rate conditions, no proppant accumulation is observed in the tertiary branch fractures. Consistent with quartz sand observations, increasing the injection rate significantly enhances the sand-carrying capacity of the fluid within the fracture. By slowing particle settling and prolonging suspension time, the proppant can more readily migrate into deeper fracture segments and secondary branch fractures, thereby improving the overall support performance in complex fracture networks. Thus, increasing the injection rate decreases accumulation near the fracture front while enhancing deep and branch fracture filling, improving overall support effectiveness in complex fracture networks.

3.2. Proppant Types

The differences in proppant particle size and density determine their response to variations in injection rate, indicating a significant coupling effect between proppant type and operational injection parameters. This necessitates a coordinated optimization considering fracture complexity and target stimulation zones. A comparison between Experiments 1 and 5 was conducted to investigate the transport and placement behaviors of different proppant types (70/140 mesh quartz sand and 40/70 mesh ceramic proppant) within a complex fracture network. The sand pack morphologies in the main fracture and multi-level branch fractures for Experiment 1 are shown in Figure 9, and the corresponding sand pack heights and fracture filling ratios are quantified in Figure 10.
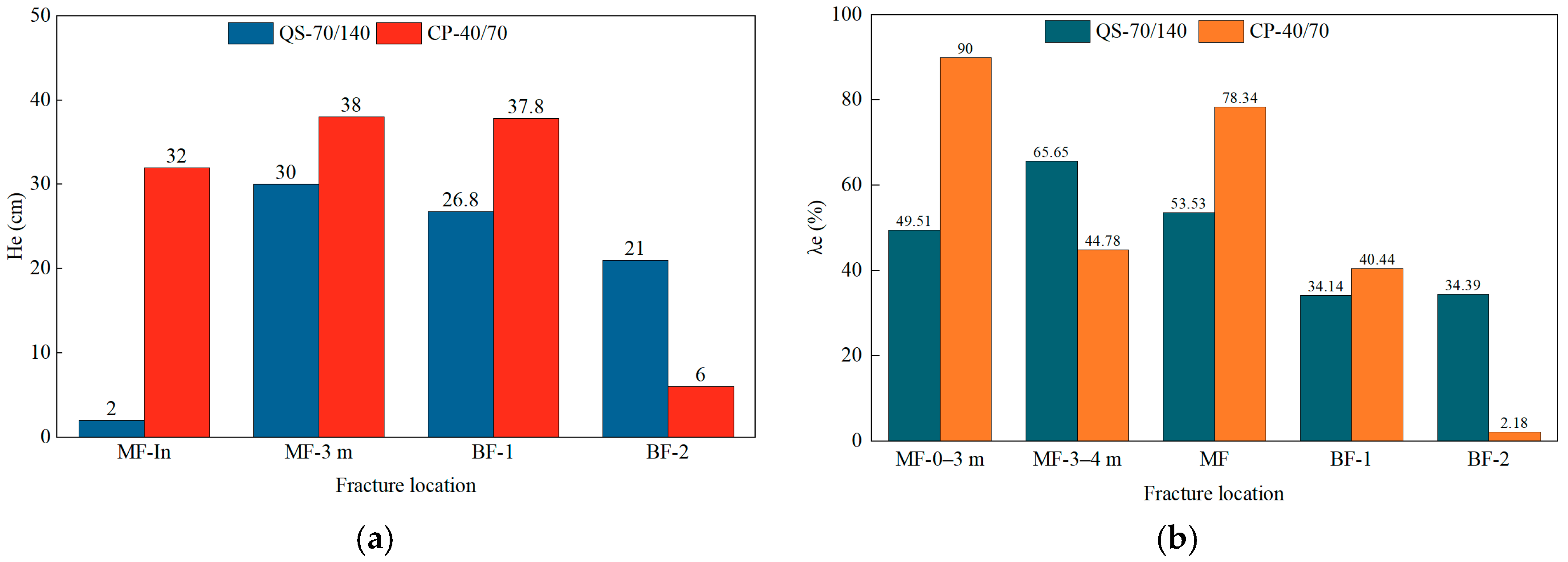
As shown in Figure 6a and Figure 9a, the placement patterns of proppants with different particle sizes exhibit significant differences within the fractures. In the main fracture, the sand pack height of 70/140 mesh quartz sand at the inlet is notably lower than that of 40/70 mesh ceramic proppant, with a filling ratio of only 49.51% in the 0–3 m section, approximately half that of the ceramic proppant. This is mainly because the smaller particle size of quartz sand results in a lower settling velocity in the fluid, allowing the proppant-laden fluid to continuously transport the particles deeper into the fracture, thereby inhibiting concentrated settling near the fracture entrance. In contrast, at 3 m from the inlet, the sand pack height of quartz sand reaches 30 cm and shows an increasing trend along the fracture length, resulting in a 3–4 m section filling ratio of 65.65%, about 1.5 times higher than that of the ceramic proppant. This indicates that smaller-sized proppant particles can remain suspended for a longer time under fluid drag, enabling them to more easily penetrate into deeper regions of the fracture and form effective proppant placement. Figure 7a and Figure 9b show that in the branch fractures, quartz sand exhibits lower sand pack height and filling ratio than ceramic proppant in the primary branches, but significantly higher values in the secondary branches. This suggests that larger ceramic proppant particles tend to settle and accumulate at the entrances of the main fracture and first-order branch fractures. In contrast, the smaller quartz sand particles, due to their lower settling velocity and stronger suspension capacity, are more likely to be transported by the fluid into deeper and narrower branch fractures. Therefore, quartz sand can not only form higher sand packs in the deeper sections of the main fracture, but can also enter secondary and even tertiary branch fractures to form stable deposits, resulting in a more uniform proppant distribution within the fracture network. In summary, proppant particle size plays a decisive role in transport distance and spatial distribution within fractures. For enhancing support in distal regions and multi-level branch fractures, 70/140 mesh quartz sand is preferable, whereas 40/70 mesh ceramic proppant is advantageous for rapid placement and higher support strength near the fracture inlet.

3.3. Proppant Concentration

3.3.1. Different Proppant Concentrations in 70/140 Mesh Quartz Sand

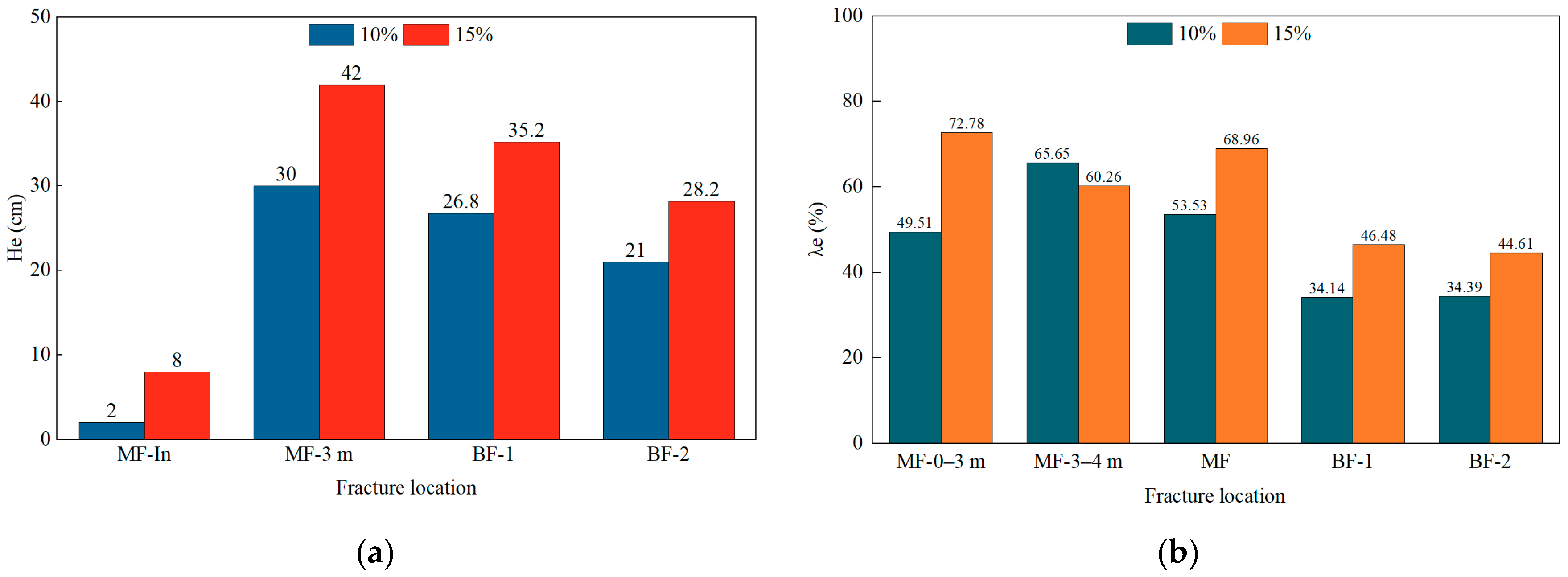
Comparing Experiments 1 and 2, increasing the proppant concentration has a significant effect on the transport and placement of 70/140 mesh quartz sand within the fracture network. As shown in Figure 3a and Figure 9a, when the proppant concentration increases from 10% to 15%, the higher volume fraction of particles in the proppant-laden fluid significantly increases the amount of proppant entering the fracture and settling per unit time. This promotes the rapid formation and growth of sand packs in the middle section of the main fracture, thereby enhancing placement efficiency in the 0–3 m section, increasing sand pack height, and improving overall fracture filling. However, as the sand pack height increases, the effective flow height of the fracture decreases, which correspondingly increases the local flow velocity. This facilitates further transport of the proppant-laden fluid toward the deeper sections of the main fracture and enhances diversion into branch fractures. Under the combined influence of branch flow diversion and elevated equilibrium velocity, the filling ratio in the 3–4 m section of the main fracture slightly decreases, indicating a modest suppression of local deep-fracture filling; however, the overall main fracture filling is still significantly improved. As shown in Figure 4a and Figure 9b, the improvement is even more pronounced in branch fractures: As both the proppant concentration and local flow velocity increase, the probability of proppant entering the branch fractures also increases. Sand pack height and filling ratio in primary and secondary branches increase notably. Notably, tertiary branches, which did not form effective sand packs at low proppant concentrations, exhibit significant accumulation at a 15% proppant concentration, with sand pack height reaching 5.6 cm and filling ratio increasing from 0 to 11.39% ( Figure 11). This indicates that higher proppant concentrations not only enhance proppant placement in the main fracture but also increase the likelihood of proppant reaching deeper sections and multi-level branches. Overall, increasing the proppant concentration, by raising proppant concentration and reducing sedimentation, substantially extends transport distance and improves placement in complex fracture networks, resulting in taller sand packs, larger filling areas, and more effective support in deeper fractures.
Under identical experimental conditions, increasing the proppant concentration significantly enhances proppant sedimentation and placement within fractures but also introduces potential operational risks. Higher proppant concentrations cause proppant to accumulate more rapidly upon entering the fracture, leading to swift sand pack growth over short distances, which may trigger sand bridging and related operational issues in the field. Based on experimental results and field experience, a staged sand injection strategy—“low-to-high proppant concentration”—is recommended for hydraulic fracturing: a lower proppant concentration is initially applied to maintain good proppant transport and prevent premature high sand pack formation near the wellbore; as sand packs progressively develop and effective flow height increases, raising the proppant concentration gradually allows the fracturing fluid to extend proppant placement deeper into the fracture system. This approach balances deep-fracture filling requirements with operational control, achieving more efficient and safer proppant placement.

3.3.2. Different Proppant Concentration in 40/70 Mesh Ceramic Proppant

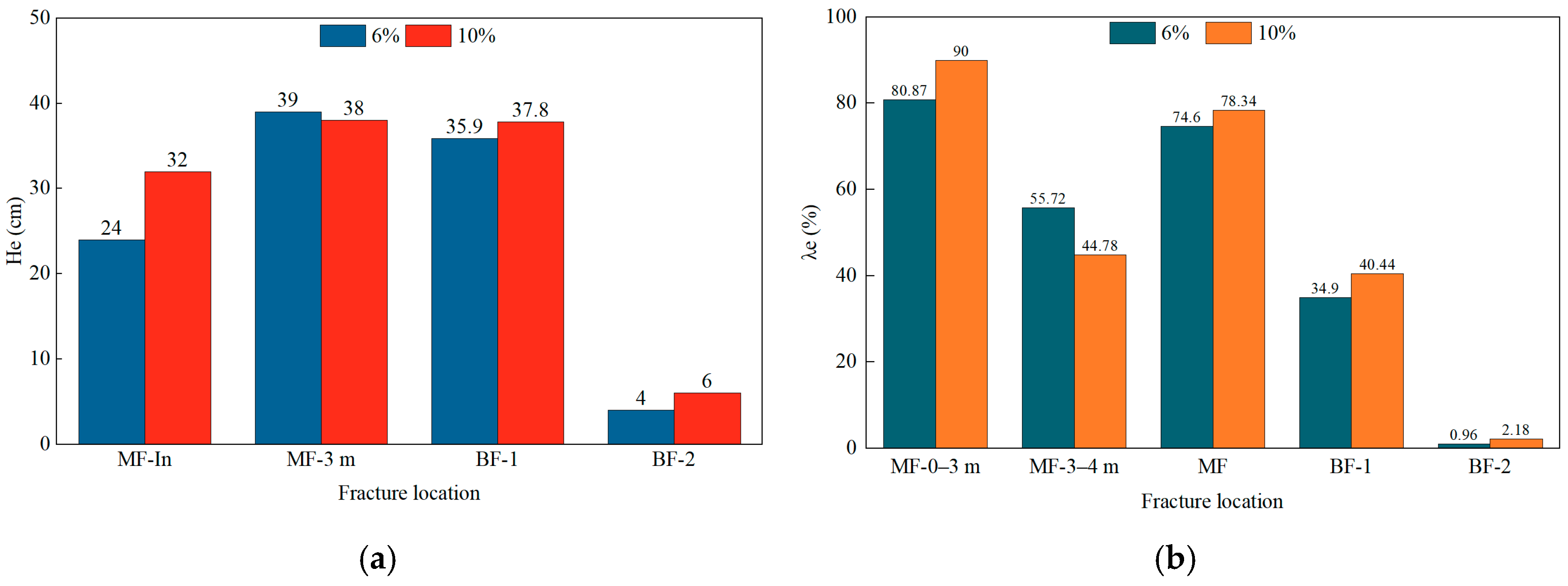
The comparison between Experiments 4 and 5 was conducted to investigate the effect of proppant concentration on the sand pack placement of 40/70 mesh ceramic proppant within the fracture network. Under identical experimental conditions, only the proppant concentration was varied. For the 6% proppant concentration scenario, the sand pack distribution and placement characteristics in the main and branch fractures are shown in Figure 12, while the corresponding quantitative parameters, including sand pack height and fracture filling ratio, are presented in Figure 13.
As shown in Figure 6a and Figure 12a, under a 6% proppant concentration, the 40/70 mesh ceramic proppant exhibited a clear “front-loaded, deep-deficient” placement pattern within the main fracture. High sand packs formed at the fracture inlet and the 0–3 m section; however, at 3 m from the inlet, the sand pack height decreased markedly due to flow diversion into the primary branch fracture, resulting in a deep-section filling ratio of only 55.72%. This phenomenon indicates that under low proppant concentration conditions, the particle concentration in the proppant-laden fluid is low, and the number of particles entering the fracture and settling per unit time is limited. As a result, continuous deposition and stable accumulation in the deep section of the fracture are difficult to form. Within the branch fractures, a 6% proppant concentration only enabled partial placement in the primary branch, while the secondary branch exhibited negligible sand pack height and filling ratio, providing almost no effective support. This is mainly because the 40/70 mesh ceramic proppant has a larger particle size and higher settling velocity, making it more prone to settling near the front of the main fracture under low particle concentration conditions, thereby reducing the number of particles entering the branch fractures. Meanwhile, due to the limited sand pack height in the main fracture, the effective flow height of the fracture remains relatively large, and the resulting flow velocity enhancement is insufficient. Consequently, the proppant-laden fluid lacks sufficient transport capacity to carry proppant into deeper regions and higher-order branch fractures. Therefore, a 6% proppant concentration favors stable placement near the fracture inlet but is inadequate for supporting deeper and secondary branch fractures, highlighting the necessity of increasing the proppant concentration to enhance deep and branch fracture filling.

3.4. Fracturing Fluid Viscosity

Experiments 1, 7, and 8 were compared to investigate the effect of fracturing fluid viscosity on proppant transport and placement within fractures. The proppant distribution under different viscosity conditions for each fracture level is shown in Figure 14 and Figure 15, while quantitative parameters, including sand pack height and fracture filling ratio at each monitoring point, are presented in Figure 16.
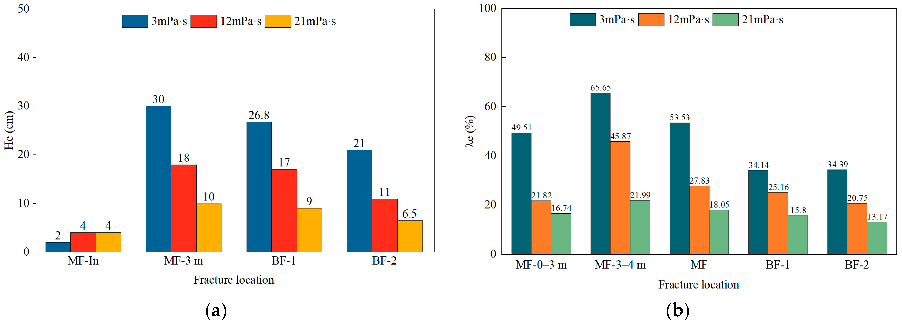
Comparison of sand pack morphology under different fracturing fluid viscosities indicates that increasing viscosity leads to a clear decrease in sand pack heights within both the main and branch fractures. Specifically, with higher viscosity, the sand pack at the main fracture inlet only slightly increases (~4 cm), whereas the height at 3 m from the inlet significantly decreases, resulting in a substantial reduction in filling ratios across all main fracture sections. Reduced accumulation in the main fracture further limits sand pack formation in the branch fractures, with primary branch sand pack height and filling ratio dropping to 9 cm and 15.8%, respectively, and secondary branch height and filling ratio decreasing to 6.5 cm and 13.17%. This phenomenon is primarily related to the influence of fracturing fluid viscosity on particle transport and settling behavior. As viscosity increases, the drag force and suspension capacity of the fluid acting on proppant particles are enhanced, which significantly reduces the particle settling velocity and increases the transport distance of proppant within the fracture. Consequently, concentrated deposition near the fracture inlet is weakened. However, due to the reduced settling rate, the number of particles that settle and form stable sand packs per unit fracture length decreases, leading to lower sand pack heights and reduced fracture filling ratios overall. Meanwhile, higher viscosity markedly improves the longitudinal uniformity of sand distribution; at 21 mPa·s, the height difference between the main fracture inlet and 3 m section decreases from 28 cm (at 3 mPa·s) to 6 cm. This improvement is attributed to enhanced particle suspension and slower settling in the high-viscosity fluid, enabling more uniform transport to deeper fracture regions. Overall, increasing fracturing fluid viscosity benefits sand pack uniformity and deep transport but may reduce overall filling ratio and weaken effective support in both main and branch fractures. Therefore, viscosity should be optimized during design to balance uniform placement and sufficient fracture filling.

3.5. Proppant Injection Sequence

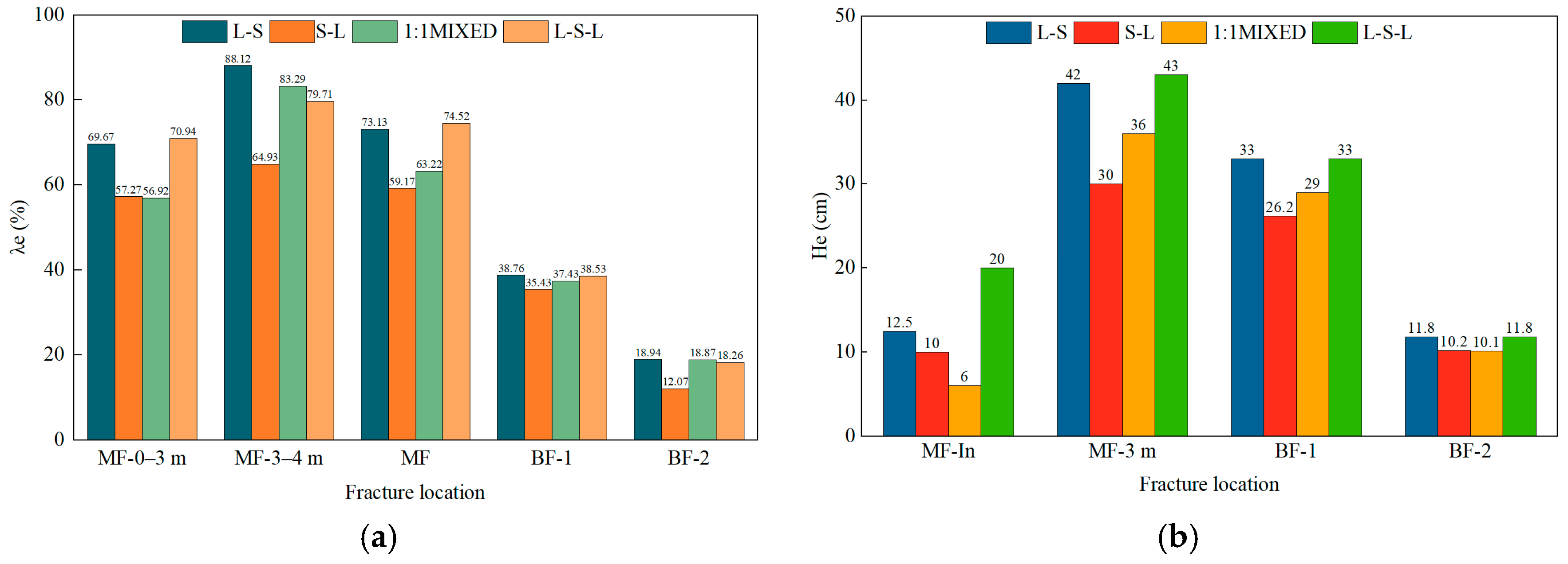
Experiments 9–12 were conducted to investigate the effect of different proppant placement sequences on proppant transport and deposition within the fractures. The resulting proppant distribution in the main and branch fractures under each placement sequence is shown in Figure 17 and Figure 18, while quantitative measurements of sand pack heights and fracture filling ratios at each observation point are presented in Figure 19.
When using a “large–small” proppant injection sequence, the first-injected 40/70 mesh ceramic proppant forms the primary sand pack framework within the main fracture and the primary branch fractures. The subsequently injected 70/140 mesh quartz sand, owing to its smaller particle size and lower settling velocity, can penetrate further into the fracture network and fill regions that are not fully occupied by the ceramic proppant. As a result, the filling of the deeper main fracture and secondary branch fractures is significantly improved, and the overall filling ratio of the main fracture reaches approximately 73%. In contrast, under the “small–large” injection sequence, the first-injected quartz sand can more easily penetrate deeper into the fracture network and form deposits within different levels of branch fractures. However, because the smaller particles are less capable of forming a stable sand pack near the fracture entrance, the subsequently injected ceramic proppant mainly accumulates in the front section of the main fracture, providing limited supplementation to the deeper regions. Consequently, the overall filling ratio of the main fracture is only about 59%. Under mixed proppant injection conditions, no obvious particle-size segregation occurs between the two proppant types. The sand pack height near the fracture entrance is significantly higher than that obtained with quartz sand injection alone, while relatively high filling levels are still maintained in the deeper fracture sections. In this case, the overall filling ratio of the main fracture reaches approximately 63%. Based on these results, a “large–small–large” proppant injection sequence was further investigated. The results show that the initial injection of ceramic proppant forms a stable framework structure within the fracture. Subsequently, the injected quartz sand penetrates into deeper main fracture sections and branch fractures, filling the remaining pore spaces. Finally, the second stage of ceramic proppant injection further supplements the front and middle sections of the fracture and pushes the sand pack to extend deeper. As a result, the overall filling ratio of the main fracture increases to approximately 75%, while stable sand pack structures are also formed within all levels of branch fractures. Overall, prioritizing the injection of small-particle proppant favors long-distance transport, whereas injecting large-particle proppant first is more effective for forming a stable supporting framework within the fracture. The “large–small–large” injection sequence provides a better balance between near-wellbore support and deep fracture filling, resulting in a more uniform proppant distribution along both the main and branch fractures and ultimately achieving improved overall fracture support.

3.6. Optimal Conditions for Proppant Distribution

Based on the experimental results, the key operational parameters controlling proppant transport and placement in complex fracture networks can be systematically evaluated. Injection rate, proppant type, proppant concentration, fluid viscosity, and injection sequence all play important roles in determining the final proppant distribution. Increasing the injection rate enhances the transport capacity of the slurry and promotes proppant migration toward deeper fracture sections and secondary branches. Smaller particles (70/140 mesh quartz sand) exhibit stronger long-distance transport capability, facilitating proppant placement in deeper fractures and higher-order branches, whereas larger particles (40/70 mesh ceramic proppant) tend to form stable sand packs near the fracture inlet. Increasing the proppant concentration improves the overall filling ratio of the fracture but may also increase the risk of premature accumulation near the fracture entrance. Meanwhile, higher fluid viscosity enhances particle suspension and improves the uniformity of proppant distribution; however, excessively high viscosity may reduce overall placement efficiency. Among the tested injection strategies, the large–small–large proppant injection sequence provides the most balanced placement performance. The initial injection of large particles forms a stable proppant framework, the subsequent injection of smaller particles enhances penetration into deeper fractures, and the final stage of large-particle injection reinforces the near-wellbore region. Within the tested experimental range, this strategy produces a more uniform proppant distribution along both the main fracture and branch fractures, thereby providing improved support for complex fracture networks.

4. Discussion

Although the experimental system developed in this study provides valuable insights into proppant transport and placement in complex fracture networks, several limitations should be acknowledged. First, the experiments were conducted under laboratory-scale conditions based on similarity principles, which cannot fully reproduce the complexity of field-scale hydraulic fracturing environments, such as heterogeneous reservoir properties and dynamic fracture propagation. Second, the fracture geometry used in this study was predefined and simplified, whereas natural fractures in shale reservoirs often exhibit more irregular shapes and connectivity. In addition, only a limited range of injection rates, fluid viscosities, and proppant properties were investigated. Future work should focus on extending the experimental conditions to a wider range of operational parameters, incorporating more realistic fracture geometries, and combining laboratory experiments with numerical simulations to better understand proppant transport mechanisms in complex fracture networks. Such studies would further improve the applicability of the experimental findings to field-scale hydraulic fracturing operations.

5. Conclusions

A large-scale sand transport experiment system with a main fracture and three levels of branch fractures was established, and deep shale fracturing parameters were converted to laboratory conditions based on similarity principles. Through comprehensive analysis of the sand embankment morphology and placement characteristics in fractures of various levels, the following main conclusions were obtained within the scope of this study:
(1)
Increasing the injection rate or fluid viscosity significantly alters the spatial distribution of proppant within the fracture network. When the injection rate increased from 0.02 to 0.03 m3/min, the overall filling ratio of quartz sand in the main fracture decreased from 68.96% to 53.04% (a reduction of 15.92%). However, the higher flow rate successfully transported proppant into the deepest tertiary branch fractures, increasing their filling ratio from 11.39% to 17.94%. In contrast, increasing the fracturing fluid viscosity from 3 to 21 mPa·s substantially reduced proppant placement in branch fractures, with the filling ratios decreasing to 15.8% in the primary branches and 13.17% in the secondary branches. Nevertheless, higher viscosity significantly improved the longitudinal uniformity of proppant distribution, reducing the sand pack height difference between the fracture inlet and the 3 m position from 28 cm to 6 cm.
(2)
Under identical conditions, 40/70 mesh ceramic proppant exhibited superior near-wellbore settling performance, with the overall filling ratio in the main fracture being 22.81% higher than that of quartz sand. However, smaller-particle 70/140 mesh quartz sand was essential for penetrating complex secondary and tertiary branch fractures. Notably, increasing the quartz sand concentration from 10% to 15% enabled a critical breakthrough in tertiary branch placement, with the filling ratio increasing from 0 to 11.39%. To balance deep fracture support while mitigating the risk of premature near-wellbore accumulation at high concentrations, a stepwise proppant injection strategy from low to high concentration is strongly recommended for field applications.
(3)
In multi-size proppant injection operations, the injection sequence fundamentally determines the resulting proppant architecture. The large–small–large sequence (40/70 ceramic proppant–70/140 quartz sand–40/70 ceramic proppant) produced the most effective support structure. This sequence achieved a high filling ratio of 75.52% in the main fracture and effectively filled the primary (38.53%) and secondary (18.26%) branch fractures. More importantly, this sequence maintained a robust sand pack height of 20 cm at the fracture inlet, which is twice that of the small–large sequence (10 cm) and several times greater than that of the mixed injection strategy (6 cm). This demonstrates a significant mechanical advantage in maintaining fracture entrance conductivity.

Author Contributions

Z.B.: Writing—review & editing, Writing—original draft, Validation, Software, Methodology, Investigation, Formal analysis. W.X.: Writing—review & editing, Writing—original draft, Validation, Software, Investigation, Data curation. J.L.: Software, Methodology, Conceptualization. F.J.: Software, Methodology, Formal analysis. L.W.: Supervision, Resources, Investigation. C.L.: Supervision, Resources, Project administration. X.Z.: Supervision, Resources, Project administration. J.Z.: Supervision, Resources, Project administration. All authors have read and agreed to the published version of the manuscript.

Funding

Funding was provided by Hubei Provincial Natural Science Foundation (2022CFB690); the Open Foundation (UOG2024-03) of Cooperative Innovation Center of Unconventional Oil and Gas, Yangtze University (Ministry of Education & Hubei Province); and the Open Foundation (YQZC202302) of Hubei Key Laboratory of Oil and Gas Drilling and Production Engineering (Yangtze University).

Data Availability Statement

Data will be made available upon request.

Conflicts of Interest

Author Feng Jiang was employed by the CNOOC China Ltd., Zhanjiang Branch. Author Chunting Liu, Xiaozhi Zhu and Juhui Zhu were employed by the CNPC Chuanqing Drilling Engineering Company. The remaining authors declare that the research was conducted in the absence of any commercial or financial relationships that could be construed as a potential conflict of interest.

References

  1. Pei, Z.P.; Cui, G.L.; Duan, Y.T.; Tan, Y.L.; Elsworth, D.; Cheng, W.X.; Sun, N.L.; Pan, Z.J. Multiscale anisotropic mechanical properties of oil shale: New insights from nanoindentation profiling. Pet. Sci. 2025, 23, 33–51. [Google Scholar] [CrossRef]
  2. Wang, X.; Zhang, K.; Jiang, Z.; Song, Y.; Jiang, L.; He, X.; Li, J.; Chen, L.; Wu, S.; Wang, Y. Classification and optimization of deep marine shale reservoir facies: A case study of Longmaxi formation in Luzhou area, southern Sichuan Basin. Pet. Reserv. Evalu. Dev. 2025, 16, 301–314. [Google Scholar] [CrossRef]
  3. Eburi, S.; Jones, S.; Houston, T.; Bonelli, J. Analysis and Interpretation of Haynesville Shale Subsurface Properties, Completion Variables, and Production Performance Using Ordination, a Multivariate Statistical Analysis Technique. In Proceedings of the SPE Annual Technical Conference and Exhibition, Amsterdam, The Netherlands, 27–29 October 2014; p. SPE-170834. [Google Scholar] [CrossRef]
  4. Zhang, J.; Xie, Z.; Pan, Y.; Tang, J.; Li, Y. Synchronous vertical propagation mechanism of multiple hydraulic fractures in shale oil formations interlayered with thin sandstone. J. Pet. Sci. Eng. 2023, 220, 111229. [Google Scholar] [CrossRef]
  5. Su, X.; Zhu, R.; Zhang, J.; Liu, C.; Gong, L.; Jiang, X.; Fu, X.; Ostadhassan, M. Multi-scale characterization and control factors of bedding-parallel fractures in continental shale reservoirs: Insights from the Qingshankou Formation, Songliao Basin, China. Mar. Pet. Geol. 2025, 182, 107580. [Google Scholar] [CrossRef]
  6. Zhang, C.; Dong, Y.; Wang, Q.; Liu, D.; She, M.; Luo, Q.; Dong, X.; Huang, Y.; Chen, H.; Lu, F. Coupled formation of fracture assemblages in shale and their influence on permeability. Geol. Soc. Am. Bull. 2026, 138, 177–194. [Google Scholar] [CrossRef]
  7. Dou, X.; Ma, B.; He, Y.; Peng, M.; Zhao, X.; Hong, S.; Zhang, Y.; Guo, L.; Wang, A. Study on the Migration Mechanism of the CO2-Multicomponent Gases Within Inorganic Nanopores in Deep Shale Reservoirs. J. Energy Resour. Technol. Part B Subsurf. Energy Carbon Capture 2026, 2, 021008. [Google Scholar] [CrossRef]
  8. Zhang, C.; Hu, Z.Q.; Kong, X.Y.; Gao, B.; Liu, J.Y.; Huang, Y.H.; Chen, H.D. A comprehensive fracture characterization method for shale reservoirs. Pet. Sci. 2025, 22, 2660–2676. [Google Scholar] [CrossRef]
  9. Stokes, G.G. On the Effect of the Internal Friction of Fluids on the Motion of Pendulums; Cambridge University Press: Cambridge, UK, 1851; p. 8. Available online: https://cir.nii.ac.jp/crid/1572824501227145856 (accessed on 1 April 2026).
  10. Van Rijn, L.C. Sediment transport, part I: Bed load transport. J. Hydraul. Eng. 1984, 110, 1431–1456. [Google Scholar] [CrossRef]
  11. Baldock, T.E.; Tomkins, M.R.; Nielsen, P.; Hughes, M.G. Settling velocity of sediments at high concentrations. Coast. Eng. 2004, 51, 91–100. [Google Scholar] [CrossRef]
  12. Richardson, J.F.; Zaki, W.N. Sedimentation and fluidisation: Part I. Chem. Eng. Res. Des. 1997, 75, S82–S100. [Google Scholar] [CrossRef]
  13. Liu, Y.; Sharma, M.M. Effect of fracture width and fluid rheology on proppant settling and retardation: An experimental study. In Proceedings of the SPE Annual Technical Conference and Exhibition, Dallas, TX, USA, 9–12 October 2005; p. SPE-96208. [Google Scholar] [CrossRef]
  14. Budiman, O.; Alajmei, S.; Bahri, A.; Aljawad, M.S.; Miskimins, J. A Review of Proppant Transport and Distribution in Slickwater Fracturing. Arab. J. Sci. Eng. 2025, 50, 5303–5322. [Google Scholar] [CrossRef]
  15. Kern, L.R.; Perkins, T.K.; Wyant, R.E. The mechanics of sand movement in fracturing. J. Pet. Technol. 1959, 11, 55–57. [Google Scholar] [CrossRef]
  16. Babcock, R.E.; Prokop, C.L.; Kehle, R.O. Distribution of propping agents in vertical fractures. Am. Pet. Inst. Publ. 1966, 851. Available online: https://www.osti.gov/biblio/6160672 (accessed on 1 April 2026).
  17. Alderman, E.N.; Wendorff, C.L. Prop-packed fractures-a reality on which productivity increase can be predicted. J. Can. Pet. Technol. 1970, 9, PETSOC-70-01-06. [Google Scholar] [CrossRef]
  18. Schols, R.S.; Visser, W. Proppant bank buildup in a vertical fracture without fluid loss. In Proceedings of the SPE Europec Featured at EAGE Conference and Exhibition, Amsterdam, The Netherlands, 29–30 May 1974; p. SPE-4834. [Google Scholar] [CrossRef]
  19. Patankar, N.A.; Joseph, D.D.; Wang, J.; Barree, R.D.; Conway, M.; Asadi, M. Power law correlations for sediment transport in pressure driven channel flows. Int. J. Multiph. Flow 2002, 28, 1269–1292. [Google Scholar] [CrossRef]
  20. Wang, J.; Joseph, D.D.; Patankar, N.A.; Conway, M.; Barree, R.D. Bi-power law correlations for sediment transport in pressure driven channel flows. Int. J. Multiph. Flow 2003, 29, 475–494. [Google Scholar] [CrossRef]
  21. Li, J.; Pu, Q.; He, S.; Wu, M.; Tang, K. Proppant transportation in vertical fractures with controlled roughness in different positions. Pet. Res. 2025; in press. [CrossRef]
  22. Li, J.; He, S.; Han, X.; Wu, M.; Zhou, Z. Experimental studies of the proppant transportation and deposition in the complex-fracture with rough surfaces. Powder Technol. 2025, 471, 122071. [Google Scholar] [CrossRef]
  23. Li, J.; He, S.; Wu, M.; Tang, K.; Zhou, C. Experimental study on settling, transport, and packing mechanisms of proppants with different shapes in a physical model. Sci. Rep. 2026. [Google Scholar] [CrossRef] [PubMed]
  24. Zhang, Y.; Yang, X.; Zhang, Y.; Han, M.; Sun, J.; Xia, Z. Experimental Study of Sand Transport Assisted by Self-Suspended Proppant in Complex Fractures. Fluid Dyn. Mater. Process. 2026, 22, 8. [Google Scholar] [CrossRef]
  25. Guo, J.; Zuo, H.; Tang, T.; Zhou, H.; Liu, Y.; Li, M. Experiment on proppant transport into fractures of unconventional reservoirs using stereoscopic particle image velocimetry. Pet. Explor. Dev. 2025, 52, 1340–1350. [Google Scholar] [CrossRef]
  26. Dayan, A.; Stracener, S.M.; Clark, P.E. Proppant transport in slick-water fracturing of shale-gas formations. In Proceedings of the SPE Annual Technical Conference and Exhibition, New Orleans, LA, USA, 4–7 October 2009; p. SPE-125068. [Google Scholar] [CrossRef]
  27. Mack, M.; Sun, J.; Khadilkar, C. Quantifying proppant transport in thin fluids-theory and experiments. In Proceedings of the SPE Hydraulic Fracturing Technology Conference and Exhibition, The Woodlands, TX, USA, 4–6 February 2014; p. SPE-168637. [Google Scholar] [CrossRef]
  28. Alotaibi, M.A.; Miskimins, J.L. Slickwater proppant transport in complex fractures: New experimental findings scalable correlation. In Proceedings of the SPE Annual Technical Conference and Exhibition, Houston, TX, USA, 28–30 September 2015; p. D011S006R003. [Google Scholar] [CrossRef]
  29. Li, N.; Li, J.; Zhao, L.; Luo, Z.; Liu, P.; Guo, Y. Laboratory testing and numeric simulation on laws of proppant transport in complex fracture systems. In Proceedings of the SPE Asia Pacific Hydraulic Fracturing Conference, Beijing, China, 24–26 August 2016; p. D032S010R056. [Google Scholar] [CrossRef]
  30. Liu, X.; Zhang, X.; Wen, Q.; Zhang, S.; Liu, Q.; Zhao, J. Experimental research on the proppant transport behavior in nonviscous and viscous fluids. Energy Fuels 2020, 34, 15969–15982. [Google Scholar] [CrossRef]
  31. Guo, T.; Lyu, M.; Chen, M.; Xu, Y.; Weng, D.; Qu, Z.; Dai, C.; Hou, J.; Liu, X. Proppant transport law in multi-branched fractures induced by volume fracturing. Pet. Explor. Dev. 2023, 50, 955–970. [Google Scholar] [CrossRef]
  32. Hou, Z.; Yuan, Y.; Chen, Y.; Feng, J.; Liu, Y.; Zhang, X. Experimental study on proppant migration in fractures following hydraulic fracturing. Water 2024, 16, 1941. [Google Scholar] [CrossRef]
  33. Li, J.; Han, X.; He, S.; Wu, M.; Huang, X.; Li, N. Effect of proppant sizes and injection modes on proppant transportation and distribution in the tortuous fracture model. Particuology 2024, 84, 261–280. [Google Scholar] [CrossRef]
  34. Xie, B.; Zhang, J.; Wang, M.; Qiu, S.; Zhang, J.; Wang, L.; Chen, Y.; Li, X.; Shi, S. Proppant Transport and Deposition Mechanisms in Rough-Wall Fractures of the Mahu Conglomerate Reservoir: Insights from a 20 m Multiscale Physical Simulation. Processes 2026, 14, 612. [Google Scholar] [CrossRef]
  35. Lv, M.; Guo, T.; Qu, Z.; Chen, M.; Dai, C.; Liu, X. Experimental study on proppant transport within complex fractures. SPE J. 2022, 27, 2960–2979. [Google Scholar] [CrossRef]
  36. Fernández, M.E.; Sánchez, M.; Pugnaloni, L.A. Proppant transport in a scaled vertical planar fracture: Vorticity and dune placement. J. Pet. Sci. Eng. 2019, 173, 1382–1389. [Google Scholar] [CrossRef]
Figure 1. Large multi-scale fracture sand transport experimental system. The brown region represents the proppant-filled area and the blue region indicates the proppant-free area.
Figure 1. Large multi-scale fracture sand transport experimental system. The brown region represents the proppant-filled area and the blue region indicates the proppant-free area.
Processes 14 01170 g001
Figure 2. Large multi-scale fracture system proppant transport experimental device.
Figure 2. Large multi-scale fracture system proppant transport experimental device.
Processes 14 01170 g002
Figure 3. Proppant distribution pattern in the main fracture at equilibrium under different injection rates. (a) Experimental image and corresponding processed dune profile at an injection rate of 0.02 m3/min. The upper panel shows the actual proppant placement observed in the visualization experiment, while the lower panel presents the processed schematic profile of the proppant dune used for quantitative analysis. The parameters He and λe denote the dune height and the filling ratio, respectively. (b) Schematic distribution pattern at an injection rate of 0.03 m3/min, where the brown region represents the proppant-filled area and the blue region indicates the proppant-free area.
Figure 3. Proppant distribution pattern in the main fracture at equilibrium under different injection rates. (a) Experimental image and corresponding processed dune profile at an injection rate of 0.02 m3/min. The upper panel shows the actual proppant placement observed in the visualization experiment, while the lower panel presents the processed schematic profile of the proppant dune used for quantitative analysis. The parameters He and λe denote the dune height and the filling ratio, respectively. (b) Schematic distribution pattern at an injection rate of 0.03 m3/min, where the brown region represents the proppant-filled area and the blue region indicates the proppant-free area.
Processes 14 01170 g003
Figure 4. Proppant distribution pattern in branch fractures at equilibrium under different injection rates. (a) Experimental images and corresponding processed dune profiles for branch fractures (Bf-1, Bf-2, and Bf-3) at an injection rate of 0.02 m3/min. The upper panels show the actual proppant placement observed during the visualization experiment, while the lower panels present the processed dune profiles used for quantitative characterization. The parameters He and λe represent the dune height and the filling ratio, respectively. (b) Schematic distribution pattern at an injection rate of 0.03 m3/min, where the brown region indicates the proppant-filled area and the blue region represents the proppant-free area.
Figure 4. Proppant distribution pattern in branch fractures at equilibrium under different injection rates. (a) Experimental images and corresponding processed dune profiles for branch fractures (Bf-1, Bf-2, and Bf-3) at an injection rate of 0.02 m3/min. The upper panels show the actual proppant placement observed during the visualization experiment, while the lower panels present the processed dune profiles used for quantitative characterization. The parameters He and λe represent the dune height and the filling ratio, respectively. (b) Schematic distribution pattern at an injection rate of 0.03 m3/min, where the brown region indicates the proppant-filled area and the blue region represents the proppant-free area.
Processes 14 01170 g004
Figure 5. Proppant dune height and fracture filling ratio of quartz sand in fractures under different injection rates: (a) dune height at monitoring locations; (b) filling ratio at different fracture positions.
Figure 5. Proppant dune height and fracture filling ratio of quartz sand in fractures under different injection rates: (a) dune height at monitoring locations; (b) filling ratio at different fracture positions.
Processes 14 01170 g005
Figure 6. Distribution pattern of ceramic proppant in the main fracture at equilibrium under different injection rates: (a) injection rate of 0.02 m3/min; (b) injection rate of 0.03 m3/min.
Figure 6. Distribution pattern of ceramic proppant in the main fracture at equilibrium under different injection rates: (a) injection rate of 0.02 m3/min; (b) injection rate of 0.03 m3/min.
Processes 14 01170 g006
Figure 7. Distribution pattern of ceramic proppant in branch fractures at equilibrium under different injection rates: (a) injection rate of 0.02 m3/min; (b) injection rate of 0.03 m3/min.
Figure 7. Distribution pattern of ceramic proppant in branch fractures at equilibrium under different injection rates: (a) injection rate of 0.02 m3/min; (b) injection rate of 0.03 m3/min.
Processes 14 01170 g007
Figure 8. Proppant dune height and fracture filling ratio of ceramic proppant in fractures under different injection rates: (a) dune height at monitoring locations; (b) filling ratio at different fracture positions.
Figure 8. Proppant dune height and fracture filling ratio of ceramic proppant in fractures under different injection rates: (a) dune height at monitoring locations; (b) filling ratio at different fracture positions.
Processes 14 01170 g008
Figure 9. Placement pattern of 70/140 mesh quartz sand in different fractures: (a) main fracture; (b) branch fractures.
Figure 9. Placement pattern of 70/140 mesh quartz sand in different fractures: (a) main fracture; (b) branch fractures.
Processes 14 01170 g009
Figure 10. Proppant dune height and fracture filling ratio in fractures for different proppant types: (a) dune height at monitoring locations; (b) filling ratio at different fracture positions.
Figure 10. Proppant dune height and fracture filling ratio in fractures for different proppant types: (a) dune height at monitoring locations; (b) filling ratio at different fracture positions.
Processes 14 01170 g010
Figure 11. Proppant dune height and fracture filling ratio of quartz sand in fractures under different proppant concentrations: (a) dune height at monitoring locations; (b) filling ratio at different fracture positions.
Figure 11. Proppant dune height and fracture filling ratio of quartz sand in fractures under different proppant concentrations: (a) dune height at monitoring locations; (b) filling ratio at different fracture positions.
Processes 14 01170 g011
Figure 12. Placement pattern of ceramic proppant in different fractures at a proppant concentration of 6%: (a) main fracture; (b) branch fractures.
Figure 12. Placement pattern of ceramic proppant in different fractures at a proppant concentration of 6%: (a) main fracture; (b) branch fractures.
Processes 14 01170 g012
Figure 13. Proppant dune height and fracture filling ratio of ceramic proppant in fractures under different proppant concentrations: (a) dune height at monitoring locations; (b) filling ratio at different fracture positions.
Figure 13. Proppant dune height and fracture filling ratio of ceramic proppant in fractures under different proppant concentrations: (a) dune height at monitoring locations; (b) filling ratio at different fracture positions.
Processes 14 01170 g013
Figure 14. Distribution pattern of quartz sand in the main fracture at equilibrium under different fracturing fluid viscosities: (a) viscosity of 12 mPa·s; (b) viscosity of 21 mPa·s.
Figure 14. Distribution pattern of quartz sand in the main fracture at equilibrium under different fracturing fluid viscosities: (a) viscosity of 12 mPa·s; (b) viscosity of 21 mPa·s.
Processes 14 01170 g014
Figure 15. Distribution pattern of quartz sand in branch fractures at equilibrium under different fracturing fluid viscosities: (a) viscosity of 12 mPa·s; (b) viscosity of 21 mPa·s.
Figure 15. Distribution pattern of quartz sand in branch fractures at equilibrium under different fracturing fluid viscosities: (a) viscosity of 12 mPa·s; (b) viscosity of 21 mPa·s.
Processes 14 01170 g015
Figure 16. Proppant dune height and fracture filling ratio of quartz sand in fractures under different viscosities: (a) dune height at monitoring locations; (b) filling ratio at different fracture positions.
Figure 16. Proppant dune height and fracture filling ratio of quartz sand in fractures under different viscosities: (a) dune height at monitoring locations; (b) filling ratio at different fracture positions.
Processes 14 01170 g016
Figure 17. Distribution pattern of proppant in the main fracture at equilibrium under different proppant placement sequences: (a) Large-to-Small; (b) Small-to-Large; (c) Mixed injection; (d) Large–Small–Large.
Figure 17. Distribution pattern of proppant in the main fracture at equilibrium under different proppant placement sequences: (a) Large-to-Small; (b) Small-to-Large; (c) Mixed injection; (d) Large–Small–Large.
Processes 14 01170 g017
Figure 18. Distribution pattern of proppant in branch fractures at equilibrium under different proppant placement sequences: (a) Large-to-Small (40/70–70/140); (b) Small-to-Large (70/140–40/70); (c) Mixed injection (40/70 + 70/140, 1:1 ratio); (d) Large–Small–Large (40/70–70/140–40/70).
Figure 18. Distribution pattern of proppant in branch fractures at equilibrium under different proppant placement sequences: (a) Large-to-Small (40/70–70/140); (b) Small-to-Large (70/140–40/70); (c) Mixed injection (40/70 + 70/140, 1:1 ratio); (d) Large–Small–Large (40/70–70/140–40/70).
Processes 14 01170 g018
Figure 19. Proppant dune height and fracture filling ratio in fractures under different proppant placement sequences: (a) dune height at monitoring locations; (b) filling ratio at different fracture positions. The injection sequences include Large-to-Small (40/70–70/140), Small-to-Large (70/140–40/70), Mixed injection (40/70 + 70/140, 1:1 ratio), and Large–Small–Large (40/70–70/140–40/70).
Figure 19. Proppant dune height and fracture filling ratio in fractures under different proppant placement sequences: (a) dune height at monitoring locations; (b) filling ratio at different fracture positions. The injection sequences include Large-to-Small (40/70–70/140), Small-to-Large (70/140–40/70), Mixed injection (40/70 + 70/140, 1:1 ratio), and Large–Small–Large (40/70–70/140–40/70).
Processes 14 01170 g019
Table 1. Previous study experimental setup parameters.
Table 1. Previous study experimental setup parameters.
ReferencesMain Fracture Dimensions (Length × Height × Width)Fracture Hierarchy/ComplexityKey Features/Limitations
Patankar et al. (2002) [19]2.44 m × 0.305 m × 8 mmSingle planar fractureSingle planar slot model; no flow diversion considered.
Li et al. (2016) [29]2.0 m × 1.0 m × 4 mmMain fracture + primary branchesVisualization of primary flow diversion; limited fracture length.
Hou et al. (2024) [32]3.0 m × 0.6 m × 6 mmMain + Primary branchesLarger fracture length; adjustable branch angles; lacks multi-level cascading branches.
Li et al. (2024) [33]0.25 m × 0.1 m × 9 mmSingle tortuous fractureFocus on 90°/120° tortuous fractures; extremely small experimental scale.
Xie et al. (2026) [34]20.0 m × 0.4 m × (Variable)Single rough-walled fractureUltra-long main fracture model; no branch structures.
Table 2. Fracture model parameters.
Table 2. Fracture model parameters.
Fracture TypeFracture Length (m)Fracture Width (mm)Fracture Height (m)Angle with Parent Fracture (°)
MF450.5/
Bf-1130.560
Bf-20.530.460
Bf-30.330.360
Table 3. Conversion between field parameters and experimental parameters.
Table 3. Conversion between field parameters and experimental parameters.
Parameters:Fracture Width
(mm)
Fracture Height
(m)
Injection Rate
(m3/min)
Field parameters
(single stage with 5 clusters)
53081012141618
Experimental parameters50.50.0130.0160.020.0230.0260.03
Table 4. Experimental scheme.
Table 4. Experimental scheme.
No.ProppantProppant Concentration (%)Viscosity
(mPa·s)
Experimental Injection Rate (m3/min)
170/140 mesh quartz sand1030.02
270/140 mesh quartz sand1530.02
370/140 mesh quartz sand1530.03
440/70 mesh ceramic proppant630.02
540/70 mesh ceramic proppant1030.02
640/70 mesh ceramic proppant1030.03
770/140 mesh quartz sand10120.02
870/140 mesh quartz sand10210.02
940/70 mesh ceramic–70/140 mesh quartz
(Large–Small)
1030.02
1070/140 mesh quartz–40/70 mesh ceramic
(Small–Large)
1030.02
1140/70 mesh ceramic + 70/140 mesh quartz
(1:1 mixed)
1030.02
1240/70 mesh ceramic + 70/140 mesh quartz + 40/70 mesh ceramic (Large–Small–Large)1030.02
Disclaimer/Publisher’s Note: The statements, opinions and data contained in all publications are solely those of the individual author(s) and contributor(s) and not of MDPI and/or the editor(s). MDPI and/or the editor(s) disclaim responsibility for any injury to people or property resulting from any ideas, methods, instructions or products referred to in the content.

Share and Cite

MDPI and ACS Style

Bai, Z.; Xu, W.; Liu, J.; Jiang, F.; Wang, L.; Liu, C.; Zhu, X.; Zhu, J. Experimental Investigation of Proppant Transport in Multi-Level Complex Fracture Networks of Deep Shale Formations. Processes 2026, 14, 1170. https://doi.org/10.3390/pr14071170

AMA Style

Bai Z, Xu W, Liu J, Jiang F, Wang L, Liu C, Zhu X, Zhu J. Experimental Investigation of Proppant Transport in Multi-Level Complex Fracture Networks of Deep Shale Formations. Processes. 2026; 14(7):1170. https://doi.org/10.3390/pr14071170

Chicago/Turabian Style

Bai, Zhenwei, Wenjun Xu, Junjie Liu, Feng Jiang, Lei Wang, Chunting Liu, Xiaozhi Zhu, and Juhui Zhu. 2026. "Experimental Investigation of Proppant Transport in Multi-Level Complex Fracture Networks of Deep Shale Formations" Processes 14, no. 7: 1170. https://doi.org/10.3390/pr14071170

APA Style

Bai, Z., Xu, W., Liu, J., Jiang, F., Wang, L., Liu, C., Zhu, X., & Zhu, J. (2026). Experimental Investigation of Proppant Transport in Multi-Level Complex Fracture Networks of Deep Shale Formations. Processes, 14(7), 1170. https://doi.org/10.3390/pr14071170

Note that from the first issue of 2016, this journal uses article numbers instead of page numbers. See further details here.

Article Metrics

Back to TopTop