Next Article in Journal
Porous Activated Carbons from Olive Stone-Derived Biochar and Hydrochar: Production, Characterization and Application for Amoxicillin Removal
Previous Article in Journal
Effect of Front and Rear Walls on Granular Flow Characteristics During Silo Discharge
Previous Article in Special Issue
Modeling the Influence of Ionic Strength on Mineral Solubility in Concentrated Brine Solutions
 
 
Due to scheduled maintenance work on our servers, there may be short service disruptions on this website between 11:00 and 12:00 CEST on March 28th.
Font Type:
Arial Georgia Verdana
Font Size:
Aa Aa Aa
Line Spacing:
Column Width:
Background:
Article

Integrated Modeling of the Kinetic Evolution of True Flotation and Entrainment Species: A Low-Cost Strategy for Grinding–Flotation Optimization

1
Department of Chemical and Mineral Process Engineering, University of Antofagasta, Antofagasta 1240000, Chile
2
Advanced Mining Technology Center (AMTC), University of Antofagasta, Antofagasta 1240000, Chile
3
School of Resources and Environmental Engineering, Shandong University of Technology, Zibo 255049, China
*
Author to whom correspondence should be addressed.
Processes 2026, 14(7), 1063; https://doi.org/10.3390/pr14071063
Submission received: 25 February 2026 / Revised: 24 March 2026 / Accepted: 24 March 2026 / Published: 26 March 2026
(This article belongs to the Special Issue Modeling in Mineral and Coal Processing)

Abstract

Flotation circuits typically incorporate grinding stages, yet mathematical models for these processes often operate on different principles, leading to misalignment in circuit design. Building on a previously established grinding model for flotation performance, this research introduces significant advances to develop a more comprehensive and industrially relevant framework. The primary innovation is the integration of mechanical entrainment and gangue recovery into the kinetic model, distinguishing between species captured by true flotation and those carried to the surface despite being non-hydrophobic. We developed a robust set of grinding-mill equations based on first-order kinetics to describe the mass-fraction transformation of both true-flotation and entrainment species. To ensure practical applicability, a systematic experimental and modeling methodology for parameter adjustment is introduced, providing a clear sequence for identifying breakage rate constants and flotation kinetic parameters. The proposed strategy was validated using two distinct case studies: an expanded analysis of a copper sulfide ore (ore A) and a new case involving significant gangue entrainment (ore B). The results demonstrate that the model accurately predicts species kinetics, providing a high-fidelity, cost-effective tool to optimize mineral recovery and prevent economic losses from overgrinding in industrial processing plants.

Graphical Abstract

1. Introduction

Flotation and grinding operations are inherently complex to study owing to their multiphase, multicomponent nature. Modeling these systems is essential for understanding their behavior and identifying necessary modifications to improve the process. For example, these models can be used to optimize and design unit operations or concentration plants [1]. Reliable models are crucial for designing new reagents and equipment and for optimizing operational conditions and achieving a sustainable separation process [2,3], thereby reducing reliance on expert judgment and lowering the high costs associated with scaling from laboratory to full-scale production.
There is a wealth of information on the modeling of grinding and flotation operations, each treated separately using empirical and theoretical models that capture their behavior across different mineral types. The modeling of grinding and flotation has evolved through distinct mathematical paradigms, typically treated as independent operations. In comminution, foundational research established rate-process models to describe breakage kinetics in semi-autogenous grinding mills [4]. Recent advances have transitioned toward dynamic non-linear frameworks suitable for real-time process control [5]. Furthermore, population balance models (PBM) have been refined to simulate specialized applications, such as the ultrafine grinding of alumina in planetary ball mills [6]. To address industrial scale-up, pseudo-dynamic simulations now combine PBM with Monte Carlo methods to predict performance in large-scale ball mill circuits [7]. Parallelly, flotation modeling has advanced from simple first-order approximations to sophisticated phenomenological descriptions. Modern approaches for rougher circuits incorporate residence time distributions and kinetic constants to simulate industrial-scale performance [8]. Flotation kinetic models aim to estimate the flotation rate constant, whose determination is challenging due to the simultaneous influence of hydrodynamic conditions and the particle size distribution [9]. Specialized models for units like flash flotation cells now explicitly account for both true flotation and entrainment mechanisms to improve metallurgical accuracy [10]. Most recently, the field has moved toward hybrid systems, utilizing physics-informed machine learning to enhance grade prediction in froth flotation by combining empirical data with fundamental physical constraints [11]. Despite these advances, a gap remains for a simplified, integrated framework that synchronizes both stages without the prohibitive costs of detailed mineralogical characterization.
However, these grinding and flotation models do not align, as they operate on different principles. Grinding models are generally based on particle size without distinguishing between hydrophobic and hydrophilic species. On the other hand, flotation models focus on the hydrophobic and hydrophilic properties of particles without explicitly considering particle size. Only a few models, such as those by Sosa-Blanco et al. and Arellano-Piña et al., integrate these two processes [12,13]. These combined models account for particle size and mineral liberation, thereby increasing complexity and cost due to the need for detailed characterization and extended experimental work [14].
While advanced models incorporating mineral liberation or complex population balances provide valuable theoretical insight, their industrial implementation is often constrained by the high costs and time associated with specialized mineralogical characterization. As a result, recent efforts have explored simplified representations of flotation behavior, such as the use of fast- and slow-floating fractions [15], to bridge the gap between theoretical rigor and operational applicability. However, these approaches did not incorporate a formalized mathematical description of grinding nor account for the presence of non-floating gangue material within the comminution stage. The present study addresses these limitations by proposing a comprehensive kinetic framework that functionally integrates grinding and flotation through flotation kinetic fractions as the fundamental species of the system. By categorizing particles within the mill according to the same fractions governing flotation behavior, the model captures the kinetic evolution of both recoverable and entrained material, enabling a deeper understanding of how particle populations evolve under different grinding conditions while maintaining a cost-effective structure suitable for practical plant optimization.
The objective of this research is to introduce an integrated, high-fidelity, and low-cost modeling strategy for the grinding–flotation interface. The key innovations presented here include modeling of gangue based on mechanical entrainment mechanisms; the development of a formalized set of first-order kinetic grinding equations that track the mass fraction transformation for both true flotation and entrainment species; the introduction of a systematic methodology for experimental and modeling parameter adjustment; a clear operational sequence for industrial application; and an enhanced validation through two distinct case studies, including the analysis of an ore with significant mechanical drag (ore B). Ultimately, this strategy promotes the development of integrated approaches to improve overall recovery rates while avoiding the overgrinding of valuable minerals.
The remainder of this paper is organized as follows: Section 2 describes the experimental and mathematical methodology, including the development of the grinding and flotation models, the data-fitting strategy, and the two mineral case studies. Section 3 presents the results obtained from the application of the model. Section 4 provides a discussion of the findings and potential industrial applications. Finally, Section 5 summarizes the main conclusions of the work.

2. Materials and Methods

This section describes a comprehensive strategy for modeling grinding kinetics within a flotation system by treating mill particles as functional flotation by treating particles in the mill as fast- and slow-flotation fractions, similar to the approach used in modeling flotation stages. Figure 1 illustrates the strategy employed in this research. Flotation tests are conducted both before and after the grinding process to identify the fast- and slow-flotation fractions. By varying the grinding time, these fractions can be differentiated by the extent of grinding, enabling adjustments to the grinding model. From a grinding perspective, particles are classified as those that undergo true flotation and those that are entrained. The particles that exhibit true flotation are further categorized into three types: fine-slow ( F S t ), medium-fast ( M F t ), and coarse-slow ( C S t ) flotation. These classifications refer to the distinct rates at which different particles separate and rise to the surface during the process. It is well known that the different rates are primarily due to variations in particle size and mineral release. The M F t fraction consists of liberated particles of the floating mineral, meaning the mineral is free from other materials. These particles, due to their size and surface properties, readily attach to air bubbles and rise to the surface quickly. The C S t fraction consists of locked particles (also known as middlings), which are particles containing both the floating mineral and other non-floating materials. Their flotation is slower because they must overcome the resistance of the attached gangue (waste material). This fraction represents a portion of the floating mineral that may require further processing or grinding to liberate the mineral and improve recovery. The F S t fraction includes very fine particles that are difficult to attach to bubbles. Their flotation is slower due to the low probability of collisions with bubbles. It is worth noting that the distinction between F S t , M F t , and C S t depends on reagent dosages, pH, hydrodynamics, and other operational parameters.
Particles with entrainment flotation are categorized into fine-fast ( F F e ), medium–medium ( M M e ), and coarse-slow ( C S e ) flotation or entrainment types. Entrainment is a mechanical transfer where particles, regardless of their hydrophobicity, are carried along with the water as it moves into the froth. However, here, entraining refers only to hydrophilic gangue that is not attached to air bubbles but is carried into the froth phase and ultimately to the concentrate, alongside the floating mineral particles. It is well known that this happens because these fine particles are suspended in the water between the bubbles and are carried upwards as the bubbles rise through the pulp and into the froth. Here, particle size is considered the main variable influencing entrainment. More fine particles are more prone to entrainment. In the modeling, water recovery is also considered, as higher recovery leads to a wetter froth, increasing particle entrainment. However, other variables can also influence entrainment, such as froth depth, froth stability, gas flow rate, impeller speed, and reagent dosages.
Figure 2 is a representation of the particle transformations occurring within the grinding system. Various particle species coexist, exhibiting distinct size-reduction kinetics depending on whether they are classified under true flotation or entrainment mechanisms. In this system, various particles coexist, as shown in the diagram at the top of the figure, but they exhibit different size-reduction kinetics depending on whether they are classified as true flotation or entrainment flotation. For particles involved in true flotation, the size-reduction process transitions from C S t to M F t and F S t , and from M F t to F S t . In contrast, particles associated with entrainment flotation move from C S e to M M e and F F e , and from M M e to F F e . It is essential to note that particles undergoing true flotation, if multiple types are present, can exhibit different flotation kinetics. However, they will share the same grinding kinetics.
The methodology is presented in five subsections, including grinding and flotation models, the model-fitting strategy, and relevant case studies for exemplification and validation. First, we develop the mathematical model for grinding. This model relies on the fast and slow flotation fractions derived from the flotation kinetic model, which necessitates performing flotation kinetics at various grinding times. Next, we introduce the flotation model, which accounts for the true flotation of floatable particles and the entrainment of hydrophilic particles (gangue). The third subsection describes the data fitting strategy. This includes fitting a particle size distribution model alongside the flotation and grinding kinetic models. Finally, the last two subsections present two case studies. The first case involves true flotation of two mineralogical species, while the second case examines a scenario that includes both true flotation and entrainment.

2.1. Development of the Mathematical Grinding Model

The grinding model uses the conversion or breakup (fracture rate) of the species used in the flotation model. This means that the model considers the mass fractions, φ j , of species j , with j = C S t ,   M F t ,   F S t ,   C S e ,   M M e ,   F S e . To develop the equations, the conversions described in Figure 2 are considered, which represent the grinding process based on the generation of species according to their fractionation or breakup rate.
According to Figure 2, it is assumed that two types of species behavior can occur in the system: true flotation species ( C S t , M F t , F S t ) and entrained species in the flotation product ( C S e , M M e , F F e ). Furthermore, the conversion of species mass fractions (fracture velocity) is assumed to follow a first-order model [16].
d   φ j d   t G   = k   φ j
where φ j is the mass fraction of species j , t G is the milling time, and k is the specific breakage rate constant.
The selection of the first-order kinetic model proposed by Austin (1971) [16] is justified by its proven effectiveness and robustness in characterizing breakage kinetics within industrial grinding systems. While more recent modeling approaches, such as complex population balance models or discrete element methods, offer detailed theoretical insights, they often require extensive parameterization and sophisticated characterization data that can be difficult to obtain in routine industrial settings. In contrast, Austin’s foundational rate-process approach provides a high-fidelity mathematical description of size reduction that aligns perfectly with the species-based integration proposed in this work. This choice supports the development of a practical, low-cost tool for processing plant laboratories, maintaining acceptable computational efficiency while accurately capturing the metallurgical performance transformations observed in the experimental data.
For species with true flotation, following Figure 2, we have the following:
d   φ C S t d   t G = k t , 1 G + k t , 3 G   φ C S t
d   φ M F t d   t G = k t , 1 G φ C S k t , 2 G φ M F t
d   φ F S t d   t G = k t , 2 G φ M F t + k t , 3 G φ C S t
where k t , 1 G ,   k t , 2 G , and k t , 3 G are the breakage rate constants of the grinding process with which the mass fractions of the species change from C S t to M F t , from M F t to F S t , and from C S t to F S t , respectively.
Solving Equations (2)–(4), the following expressions represent the φ j as a function of grinding time ( t G ) (Equations (5)–(7)).
φ C S t = φ C S t , 0   e k t , 1 G + k t , 3 G t G
φ M F t = φ M F t , 0   A t + 1   e k t , 2 G t G A t   e k t , 1 G + k t , 3 G t G
φ F S t = φ F S t , 0   B t C t   e k 2 G   t G + D t   e k t , 1 G + k t , 3 G t G
where φ C S t , 0 ,   φ M F t , 0 ,   φ F S t , 0 are the initial mass fractions of species j with j = C S t ,   M F t ,   F S t . The values of A t , B t , C t , and D t are constants that are calculated with Equations (8)–(11).
A t = φ C S t , 0   φ M F t , 0   k t , 1 G k t , 1 G k t , 2 G + k t , 3 G
B t = 1 + φ C S t , 0   φ F S t , 0   + φ M F t , 0   φ F S t , 0  
C t = φ C S t , 0   φ F S t , 0   k t , 1 G k t , 1 G k t , 2 G + k t , 3 G + φ M F t , 0   φ F S t , 0  
D t = φ C S t , 0   φ F S t , 0   k t , 1 G k t , 1 G k t , 2 G + k t , 3 G 1
The grinding modeling equations for the entrainment mass fractions as a function of t G follow the same procedure described for the species comprising true flotation. Starting from the first-order kinetic model (Equation (1)), differential equations like those described in Equations (2)–(4) are obtained, and solving these equations, the following expressions represent the φ j as a function of grinding time ( t G ) :
φ C S e = φ C S e , 0   e k e , 1 G + k e , 3 G t G
φ M M e = φ M M e , 0   A e + 1   e k e , 2 G   t G A e   e k e , 1 G + k e , 3 G t G
φ F F e = φ F F e , 0   B e C e   e k e , 2 G   t G + D e   e k e , 1 G + k e , 3 G t G
where φ C S e , 0 ,   φ M M e , 0 ,   φ F F e , 0 are the initial mass fractions of species j with j = C S e ,   M M e ,   F F e ; and k 1 G ,   k 2 G and k 3 G are the breakage rate constants with which the species fractions change from C S e to M M e , from M M e to F F e and from C S e to F F e , respectively. The values of A e ,   B e ,   C e ,   D e are equivalent to those presented in Equations (8)–(11), but considering the initial mass fractions φ C S e , 0 ,   φ M M e , 0 ,   φ F F e , 0 and the grinding rate constants k e , 1 G ,   k e , 2 G , and k e , 3 G specific parameters for the species that make up the entrainment.
To determine the breakage kinetic constants, the model is fitted using the mass fractions of species j , φ j . These fractions are determined from flotation tests and the flotation kinetic model, as detailed in the next section.

2.2. Development of the Flotation Model

The recovery of a mineral (or metal) by true flotation is the sum of the recoveries of the species that float slowly due to a very fine size or a size that is too coarse ( F S t , C S t ), and the species that float quickly because they have the appropriate size for flotation ( M F t ), i.e.,
R i , t G , t F   = R i φ F S t , t G 1 e k F S t , i t F + φ M F t , t G 1 e k M F t , i t F + φ C S t , t G 1 e k C S t , i t F
φ F S t , t G + φ M F t , t G + φ C S t , t G = 1
where R i is the flotation recovery of mineral or metal i (e.g., i = CuS, CuFeS2, FeS2, Cu, Fe) as a function of flotation time ( t F ) and grinding time ( t G ), R i is the infinite recovery of mineral or metal i . The values φ F S t , φ M F t ,   φ C S t are the mass fractions of the species F S t , M F t , and C S t as a function of t G . On the other hand, k j ;   j F F t ,   M M t ,   C S t are the flotation kinetic constants that depend on the type of mineral or metal i . These equations follow the model developed by Mathe et al. [15].
Similarly, the entrainment model in the flotation of a mineral or gangue is the sum of entrainment recoveries, which increase in speed as they become finer ( F F e > M M e > C S e ), see Equation (17).
R e , t G , t F = R e φ F F e , t G 1 e C F F F e   k w   t F + φ M M e , t G 1 e C F M M e   k w   t F + φ C S e , t G 1 e C F C S e   k w   t F
φ F F e , t G + φ M M e , t G + φ C S e , t G = 1
where R e is the entrainment of a mineral or gangue as a function of the flotation time ( t F ) and grinding time ( t G ), R e the infinite entrainment value. The values φ F F e , φ M M e , are the φ C S e mass fractions in terms of t G . The values of C F F F e ,   C F M M e ,   C F C S e   ( C F j ) are the entrainment factors for each species. The product of C F j and k w indirectly represents the entrainment term ( E N T j ), where k w is the water flotation constant obtained from the water recovery model [17] (Equation (19)).
R w , t F = R w 1 e k w   t F
where R w is the water recovery as a function of flotation time and R w is the infinite water recovery.
Based on Equations (15)–(19) and with flotation tests at different grinding times, the fractions φ F S t , t G , φ M F t , t G , φ C S t , t G , φ F F e , t G , φ M M e , t G , and φ C S e , t G ( φ j ) are determined, which are necessary to adjust the grinding model. The size at which the species are considered fine or coarse is determined in the model adjustment.
It is worth noting that although the objective is to obtain a model of the grinding system, a flotation kinetic model is also obtained.

2.3. Data Fitting Strategy

This section describes the sequence for obtaining the grinding model, performing tests, and adjusting the experiments using the models described in Section 2.1 and Section 2.2. Figure 3 describes the experimental and modeling methodology for this study. Initially, grinding tests are performed at different grinding times to obtain a size distribution function. This is followed by flotation tests at different grinding times. From this model adjustment, the size at which the species are considered fine or coarse particles is obtained. From this adjustment of the flotation model, the mass fractions of the species, φ j , are also obtained, and finally, the grinding model is adjusted. The grinding model and the flotation models are obtained as a result.
The experimental and modeling methodology is detailed below, as shown in Figure 3. First, the granulometric characterization of the ore samples obtained at different grinding times, which are used in the flotation tests, is performed. These data were fitted and modeled using the Rosin–Rammler–Bennett (RRB) distribution method (see Equation (20)). However, other models can be used. In this work, the RRB model was selected because it represents our data well, has fewer parameters than other models, and has shown better results than other models [18].
P ϕ = 100 1 exp ϕ K t G n t G
where P ϕ is the accumulated weight of particles (in percentage) with a size smaller than ϕ , ϕ is the diameter or particle size for each grinding time, K t G is the characteristic or reference particle size in relation to the energy consumption or grinding time ( K t G = α t G β ), and n t G is the distribution parameter, where for a better fit it is considered as a linear function of the grinding time ( n t G = a + b t G ). The values of P ϕ are obtained experimentally based on and ϕ t G different t G . Replacing the terms n t G and K t G in Equation (20) we have the following:
P ϕ = 100 1 exp ϕ α t G β ( a + b t G )      
where a, b, α ,   β   are adjustable parameters in relation to the particle distribution model for each size fraction and as a function of the grinding time.
These parameters of the size distribution model (Equation (21)) are determined by solving the following optimization problem (Equation (22)) using an NLP solver; in this case, the CONOPT 4 solver was used with the GAMS platform (version 32). Of course, these parameters can be adjusted using more accessible tools, such as Excel’s solver:
m i n α ,     β ,     a   ,     b         t G P t G e x p P t G c a l 2
Subject to the size distribution function calculated with Equation (21), the parameters n t G and   k t G take positive values. P t G e x p and P t G c a l are the experimental and calculated particle distribution functions.
Then, for each sample obtained in the grinding tests, flotation tests are performed. Kinetic tests are performed at different flotation times. These data are adjusted to the equations presented in Section 2.2.
The parameters of the true floating model (Equation (15)) are determined by solving the optimization problem described in Equation (23), using an algorithm that solves an NLP problem; in this case, the CONOPT 4 solver was used with the GAMS platform (version 32).
m i n k F S ,   k M F ,   k C S ,   R ,   ϕ F ,   ϕ C ,   φ F S t ,   t G ,   φ M F t , t G ,   φ C S t , t G       t G t F R t G ,     t F e x p R t G ,     t F c a l 2
The optimization is subject to the total flotation recovery calculated with Equation (15) and the balance of the mass fractions of the species (Equation (16)). In addition, to delimit the coarse, medium, and fine size ranges, Equations (24) and (25) are used.
φ F S t , t G = P ϕ ϕ = ϕ F    
φ C S t , t G = 1 P ϕ ϕ = ϕ C
where R t G ,   t F e x p and R t G ,   t F c a l are the experimental and calculated recoveries. The value of ϕ F represents the particle size below which is considered a fine-size species, and ϕ C represents the particle size above which it is considered a coarse size species. The three mass fractions of species j ( φ F S t , t G ,   φ M F t , t G ,   φ C S t , t G ) are used in the milling process model. To determine the parameters of the flotation entrainment model, a similar procedure to that described in Equation (23) is followed.
Finally, the grinding circuit is modeled, as shown in Figure 3. The parameters described in the grinding model of the species that make up the true flotation, in Equations (5)–(7), are obtained by solving the optimization problem described in Equation (26), using an algorithm that solves an NLP problem; in this case, the CONOPT 4 solver was used with the GAMS platform (version 32).
m i n k t , 1 G ,   k t , 2 G ,   k t , 3 G ,   φ C S t , o ,   φ M F t , o ,   φ F S t , o       j t G φ j , t G e x p φ j , t G c a l 2             j C S t ,   M F t ,   F S t  
The optimization is subject to the mass fractions of species j , with j = C S ,   M F ,   F S , which are calculated with Equations (5)–(7) and with the constants A e , B e , C e , D e determined with Equations (8)–(11). In addition, with the restrictions that j φ j ,   = 1 at each t G and j φ j o   = 1 .
Where φ j , t G e x p φ j , t G c a l are the mass fractions of species j , and j C S t ,   M F t ,   F S t , obtained from the experimental flotation data and calculated, respectively. After data fitting, the breakup rate constants k t , 1 G ,   k t , 2 G , and k t , 3 G are determined. The same calculation method as in Equations (23)–(26) is used for the species fractions that make up the flotation entrainment, and finally, the parameters k e , 1 G ,   k e , 2 G , and   k e , 3 G are determined.
To ensure the statistical significance of the estimated parameters, the fitting procedure included the calculation of the Root Mean Square Error (RMSE) and Absolute Average Error (AAE). Additionally, a sensitivity analysis was performed to assess the robustness of the fracture-rate constants across different grinding times.

2.4. Case Studies A: True Flotation

This section describes case study A, a copper sulfide ore (ore A), from the Radomiro Tomic mine, Codelco Company, Antofagasta region, Chile. The ore was studied to apply the true flotation grinding model with two species, following the sequence of steps described in Section 2.3. The mineralogical composition of ore A is presented in Table 1.
The operating conditions used are described in more detail in the work developed by Mathe et al. [15]. A laboratory ball mill was used to obtain the samples, and a Ro-tap and a series of sieves (600, 425, 300, 212, 150, 106, 90, 75, 53, 45, and 38 μm) were used for the particle size analysis. Flotation tests were carried out in a Denver laboratory flotation cell (Denver Equipment Company, Denver, CO, USA) at an initial solid percentage of 35%. Lime (commercial reagents) was used to raise the pH to 10.5 and depress the pyrite; an MX7020 collector (Solvay, Chile) and a Math-Froth 202 frother (Mathiesen, Chile) were used.

2.5. Case Studies B: True Flotation with Entrainment

This section describes case study B, a copper sulfide ore (ore B) from the Centinela mine—Antofagasta Minerals—Antofagasta region—Chile, which was studied for the application of the mineral grinding model with true flotation and entrainment. The mineralogical composition of ore B is presented in Table 2.
Ore B has an initial grain size of (100%) 10 # Ty (2 mm) with an average density of 2.76 g/mL. The ore has an average grade of 0.73% Cu, where 68.5% of the Cu contribution comes from chalcopyrite.
Laboratory materials and supplies were used for experimental tests. A laboratory ball mill was used to obtain samples, and a Ro-tap and a series of sieves (850, 600, 300, 212, 150, 90, 75, 53, 45, and 38 μm) were used for particle size analysis. Flotation tests were performed in a Denver laboratory flotation cell (Denver Equipment Company, Denver, CO, USA) at an initial solids content of 35%. Lime (commercial reagents) was used to raise the pH to 10.5 and depress the pyrite; a Matcol TC-123 collector (Mathiesen, Chile) was used; and a Math-Froth 355 frother (Mathiesen, Chile) was used.
The selection of ore B, characterized by its significantly softer anhydrite-rich matrix compared to the hard silicate-dominated ore A, provides a contrasting validation scenario. This allows the framework to be tested under conditions of rapid fines generation and pronounced mechanical entrainment, ensuring the model’s robustness across diverse mineralogical profiles.

3. Results

This results section presents the grinding model for each case study. For ore A, adjustments were made to the Fe and Cu sulfide ore data. For ore B, the grinding model was determined for the chalcopyrite and gangue ore fractions.

3.1. Ore Case Study A

This section presents the results obtained for ore A, a case study with true flotation, starting with the kinetic modeling of flotation and ending with the grinding modeling.

3.1.1. Flotation Model and Grinding Fractions, Ore A

The result of the size distribution model for ore A is presented in Equation (27). Figure A1 shows a good correlation of the data with this model. The description and graphics are presented in Appendix A (Appendix A.1).
P ϕ = 1 exp ϕ 453.017   t G 0.613 0.8 + 0.014   t G      
Based on the results of this adjusted model (Equation (27)) and the modeling equations (Section 2.3) for the flotation data, the adjustment was made. The results of the adjustment of the experimental data for each test at different grinding times are presented in Figure 4.
Figure 4 shows a good correlation between the model and the copper flotation data, except for the 1 min grinding time. The systematic deviation observed at the 1 min grinding time (Figure 4a) can be attributed to the transient nature of the initial breakage process. At very short grinding intervals, the material has not yet reached a steady-state first-order breakage regime, and the presence of heterogeneous particle sizes may lead to localized departures from the ideal kinetic model. However, for industrial optimization purposes, the model captures the overall trend effectively as grinding progresses toward more stable operational states. It is also observed that the flotation model for iron does not have a good fit at time 12 min (Figure 4b), reflected in a higher RMSE (4.0%) compared to copper. This deviation is attributed to the mineralogical composition of the sample (Table 1), where more than 50% of the Fe contribution comes from the oxidized mineral that belongs to the gangue and this must be considered as entrainment, since in the mass balance the iron analysis exceeds the amount that would be found in pyrite, so the iron model would not be adjusted. Nevertheless, this does not compromise the grinding model’s integrity, as the identified species mass fractions remain consistent with the breakage kinetics validated by the sensitivity analysis.
From this experimental adjustment, the mass fractions obtained as a function of grinding time were determined and are presented in Table 3. The model parameters for copper ore and iron ore, determined using Equation (15), are presented in Table 4.
The statistical significance of the estimated parameters was evaluated using the Root Mean Square Error (RMSE) and Absolute Average Error (AAE). As shown in Table 4, the RMSE values for both copper (2.5%) and iron (4.0%) are within an acceptable range for mineral processing applications. These metrics indicate that, despite the simplified kinetic approach, the model provides a robust fit that accounts for most of the experimental variance, making it a reliable tool for predictive circuit tuning.
The values of ϕ F , ϕ C found are 25 μm and 290.74 μm. For simplicity, they were considered for both flotation models of iron and copper ores, which requires an analysis to improve the iron model.
As shown in Table 3, the mass fraction of the C S t species decreases with increasing milling time, while that of the F S t species increases. It is also observed that the M F t mass fraction increases up to 8 min and remains constant thereafter, because a portion is converted into fines. RMSE and AAE are the Root Mean Square Error and the Absolute Average Error, respectively.

3.1.2. Grinding Model, Ore A

The data obtained in the previous section on flotation modeling, in terms of the mass fractions of the fast and slow particles (Table 3), were used to model the grinding kinetics using the methodology described in Section 2.3.
The grinding model considering the species fractions C S t , M F t and F S t as a function of grinding time is shown below (Equations (28)–(30)):
φ C S t = 0.599   e ( 0.170 + 0.045 )   t G
φ M F t = 0.334 2.473   e 0.008   t G 1.473   e 0.215   t G
φ F S t = 0.067 1 0.067 12.327   e 0.008   t G 1.598   e 0.215   t G
The proposed grinding model (Equations (28)–(30)) accurately describes the evolution of the species mass fractions. As expected for a first-order breakage process, the coarse-slow species decreases exponentially with increasing grinding time. Concurrently, the medium-fast species increases to an operational maximum value of 0.714 at 13.4 min, after which it begins to decrease as it is further reduced into the fine-slow fraction (Figure 5). The F S t species shows a monotonic increase over time, theoretically approaching a mass fraction of φ F S t = 1 at infinite grinding time, representing the total conversion of all species into fines. It can be observed that the first-order model describes the grinding process of the species that subsequently pass to the flotation process very well, with a minimum RMSE and AAE (Table 5).

3.2. Ore Case Study B

This section presents the results obtained for ore B, a case study with true flotation and entrainment, starting with the kinetic modeling of flotation and ending with the grinding modeling.

3.2.1. Flotation Model and Grinding Fractions, Ore B

The result of the size distribution model for ore B is presented in Equation (31). Figure A2 shows a good correlation of the data with this model. The description and graphics are presented in Appendix A (Appendix A.1).
P ϕ = 1 exp ϕ 454.025   t G 0.746 0.849 + 0.072   t G    
With this adjusted model (Equation (31)), the adjustment of the experimental data of the flotation kinetics was performed as indicated in Section 2.3. This adjustment of the flotation models for the copper ore and for the entrainment is presented in Figure 6.
The values of the mass fractions of the fast/slow species for the copper ore (true flotation) and entrainment at each grinding time are presented in Table 6, and the kinetic parameters of both models are presented in Table 7.
The values of ϕ F , ϕ C for copper ore flotation are 30.15 μm and 319.44 μm, respectively, and for entrainment ϕ F is 38.48 and ϕ C is 200.00 μm. The value of ϕ F = 38.48 suggests a broader range of fines in the entrainment; However, this value is in agreement with the theory that states that, for sizes below 38 μm, approximately 99% of the particles of a copper ore remain in suspension in the mechanical flotation cells [19,20]. This alignment between the model-fitted parameters and empirical mineralogical theory reinforces the scientific validity of the species-based categorization used in this framework.
Similarly, the determination of the coarse cut-off size ( ϕ C ) provides a deep insight into the flotation limits of the ores. For ore A, the value of ϕ C = 290.74 μ m is consistent with the typical size threshold above which sulfide mineral recovery drops significantly due to poor liberation and the physical inability of bubbles to sustain the weight of large, locked particles. In the case of ore B, the model identifies a higher ϕ C for copper (319.44 μ m ) compared to entrainment (200.00   μ m ). This differentiation is theoretically robust; while hydrophobic attachment allows slightly larger middling particles to be recovered via true flotation, the mechanical transfer of gangue into the froth (entrainment) is much more sensitive to particle mass. Therefore, a lower ϕ C for entrainment reflects the higher energy barrier required to mechanically lift coarse, hydrophilic particles into the concentrate. These results validate the model’s ability to distinguish between distinct physical mechanisms across different mineralogical species.
Figure 6a shows a strong correlation between the true flotation model and the copper flotation data. In Figure 6b, the correlation of the proposed entrainment model with the data is very good, with RMSE and AAE adjustment errors much lower than those for copper across the F F e , M M e , and C S e species. Since they are entrained, the species with the most significant influence in this model would be the F F e species (Table 7). The model residuals in Figure 6b indicate high accuracy for the entrainment species, with an RMSE of 0.25%. The slight deviations observed at longer grinding times (12–15 min) are likely related to the high concentration of ultrafine particles (slimes). Given that ore B contains 47% anhydrite—a mineral significantly softer than chalcopyrite—extended grinding leads to a rapid accumulation of fine hydrophilic gangue. This phenomenon increases the pulp viscosity and alters the mechanical transfer of water, which the first-order entrainment model captures as a slight systematic bias in the F F e (fine-fast) species recovery.

3.2.2. Grinding Model, Ore B

The data obtained in the previous section on flotation modeling, in terms of the mass fractions of the fast and slow species (Table 6), were used to model the grinding kinetics of the true flotation and entrainment species, thereby developing the methodology described in Section 2.3.
The grinding model for the true flotation species, considering the mass fractions of the species C S t , M F t and F S t as a function of the grinding time, is shown below (Equations (32)–(34)).
φ C S t = 0.599   e ( 0.439 + 0.046 )   t G
φ M F t = 0.160 5.554   e 0.009   t G 4.554   e 0.485   t G  
φ F S t = 0.050 1 0.050 17.772   e 0.009   t G 1.228   e 0.485   t G
Figure 7a shows the grinding model of the true flotation species that fits the data (Table 6). This figure shows the fit of the species’ mass fractions to the true flotation data using the proposed grinding model (Equations (32)–(34)). The C S t species decrease with increasing grinding time, while the M F t species increase to a maximum of 0.812 at 8.0 min, then decrease as they go from M F t to F S t . The F S t species always increases as a function of time.
The grinding model for the entrainment species, considering the mass fractions of the species C S e , M F e and F F e as a function of the milling time, is shown below (Equations (35)–(37)):
φ C S e = 0.856   e ( 0.260 + 0.039 )   t G
φ M M e = 0.074 11.627   e 0.016   t G 10.627   e 0.299   t G  
φ F F e = 0.07 1 0.07 12.292   e 0.016   t G 0.994   e 0.299   t G
Figure 7b shows the milling model of the entrainment species that fits the data (Table 6). This Figure shows the fit of the mass fraction data for the species representing entrainment using the proposed milling model (Equations (35)–(37)). The species C S e   decrease with increasing milling time, the M M e species increase up to a maximum value of 0.806 at 10 min, and decrease by the same logic as Figure 7a, and the F F e species always increase as a function of time.
The grinding model, assuming first-order kinetics, fits the data for the species that constitute true flotation and entrainment in the subsequent concentration process, as indicated by the error values presented in Table 8.
The increase in fines is more pronounced for the species that make up the entrainment because the ore B gangue is composed of 47% anhydrite, which is less hard than chalcopyrite. Therefore, the results of the proposed grinding model are logical.

4. Discussion

A strategy that integrates milling and flotation processes was presented in this work, considering fast- and slow-flotation components for species that contribute to true flotation and those that contribute via entrainment. The integration of comminution and flotation kinetics enables a holistic assessment of how variations in milling operational parameters affect the efficiency of downstream processes, such as flotation. The model developed is simple and easy to test in processing plant laboratories, avoiding studies that require more sophisticated experimentation and mineralogical analyses.
The first-order grinding kinetic model correlates well with data from flotation tests for the species that comprise the true flotation process, as verified by the two case studies, and for the species that comprise the entrainment in the flotation process, as shown in the second case study. The grinding model equations presented for both case studies show small fit errors. The hierarchy of the determined breakage rate constants ( k t , 1 > k t , 3 > k t , 2 ) aligns with established comminution theory. Specifically, these results are consistent with the work of Petrakis et al. [21], who demonstrated through population balance modeling that breakage rate constants for coarse particles are consistently higher than those for medium or fine fractions in ball mill environments. This validates that our species-based kinetic approach, despite its lower complexity and cost, successfully captures the fundamental physical breakage mechanisms occurring within the mill.
A critical aspect of the proposed framework is its ability to map mineral liberation onto measurable kinetic parameters without the need for explicit mineralogical data. Phenomenologically, the flotation kinetics of the categorized species ( F S t , M F t , C S t for true flotation, and F F e , M M e , C S e for entrainment) act as proxies for the degree of mineral release. For instance, the transition from coarse-slow ( C S t ) to medium-fast ( M F t ) species during grinding reflects the physical liberation of valuable minerals from the gangue matrix. This implicit representation is supported by the high predictive fidelity of the model across different ore types (ores A and B), where the fracture-rate constants ( k j ) align with expected liberation trends. The Global Sensitivity Analysis (GSA) further reinforces this physical interpretation by showing that mass fraction evolution is predominantly controlled by the primary breakage constants ( k t , 1 and k e , 1 ), which govern the rate at which locked particles are transformed into liberated, fast-floating species. By integrating these functional species, the model provides a robust operational tool that bridges the gap between comminution theory and metallurgical performance at a significantly lower computational and experimental cost than traditional liberation-based models.
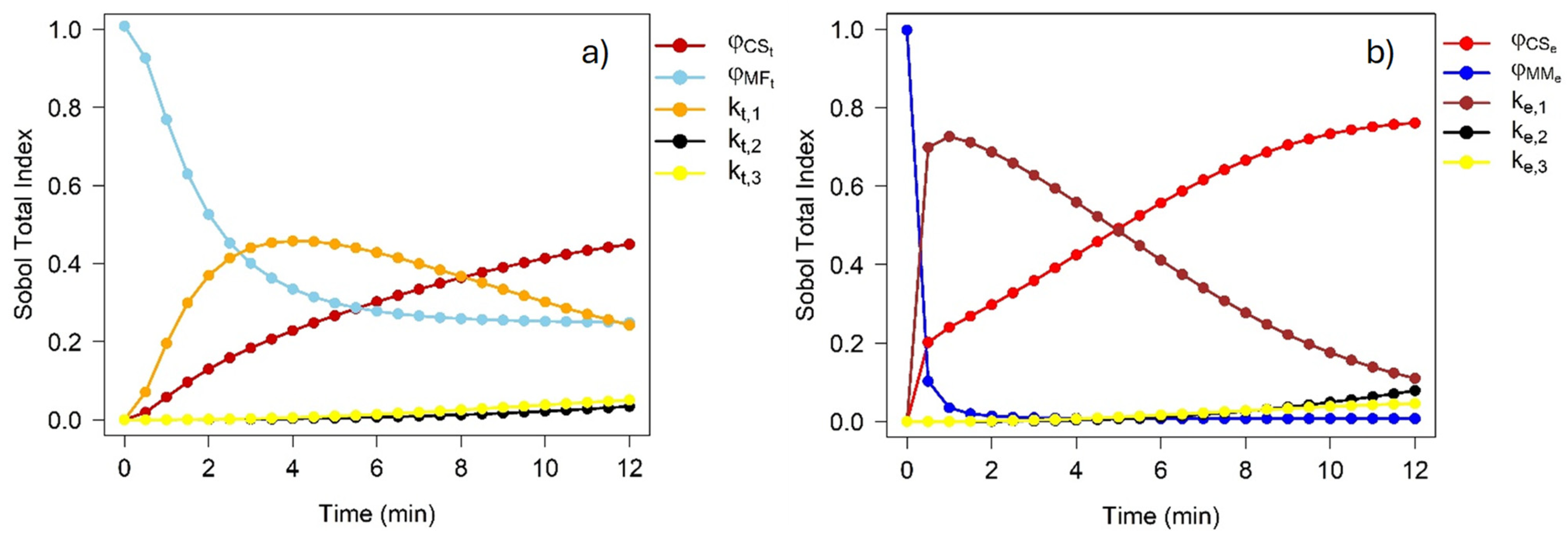
To rigorously assess the structural robustness and parameter identifiability of the proposed framework, a GSA based on Sobol–Jansen indices was performed. The results reveal a clear hierarchy of control (Figure 8): in the early stages of grinding ( t G < 3 min), the variance of the mass fractions is predominantly governed by the initial feeding conditions ( ϕ j , o ), whereas for t G > 4 min, the primary breakage ( k t , 1 or k e , 1 ) accounts for over 90% of the total sensitivity. This transition evidences a temporal decoupling of parametric control, whereby each parameter dominates a distinct stage of the grinding trajectory, strengthening parameter identifiability and preventing redundant parameterization during the simultaneous fitting procedure. Notably, the negligible sensitivity associated with the direct coarse-to-fine breakage constant ( k t , 3 ) provides mathematical justification for the sequential breakage mechanism ( C S   M F   F S ) adopted in this study, confirming that the model captures the phenomenological essence of comminution without redundant parameterization. Furthermore, the GSA for ore case study B highlights that entrainment species exhibit a more accelerated sensitivity to breakage rates than true flotation species. This suggests that for ores with significant gangue content, such as anhydrite, the precise estimation of k e , 1 is the most critical factor for predicting and mitigating mechanical entrainment, thereby reinforcing the framework’s utility as a strategic decision-support tool for concentrate selectivity. The complete set of GSA results, including the Sobol–Jansen indices for all species and case studies, is provided in the Appendix A, Figure A3, Figure A4, Figure A5, Figure A6, Figure A7, Figure A8, Figure A9, Figure A10, Figure A11 and Figure A12 (Appendix A.2).
To visualize the operational interplay between comminution and separation, response surfaces were generated simulating the integrated recovery as a function of both grinding time ( t G ) and flotation time ( t F ) for ore case study B (Figure 9). The contrast between the two surfaces highlights the critical trade-off in circuit tuning. While copper recovery (Figure 9a) reaches a plateau where additional grinding yields diminishing returns due to the depletion of coarse composites, the entrainment recovery (Figure 9b) exhibits a continuous increase driven by the generation of ultrafine gangue particles ( F F e ). This graphical analysis demonstrates that extending grinding time beyond the optimal range (e.g., t G > 9 min) imposes a dual penalty: it creates an unnecessary energy expenditure and significantly degrades concentrate quality through non-selective mechanical transport. Therefore, the proposed kinetic model identifies the operational ‘sweet spot’ at which true flotation is maximized before entrainment mechanisms become dominant.
The applicability of the response surface analysis (Figure 9) extends to complex ores containing hard-to-float minerals. In these scenarios, the model parameters serve as diagnostic indicators for process optimization. Specifically, a low R typically points toward physical constraints such as poor mineral liberation or unfavorable cell hydrodynamics, suggesting that adjustments in t G or mechanical settings are required. On the other hand, low kinetic constants (like k M F ) suggest a deficiency in the physicochemical attachment process, indicating a need for optimized reagent dosages or longer flotation times t F . When dealing with hard-to-float ores, choosing the optimal grinding and flotation times involves a delicate trade-off. Increasing t G may enhance R through improved liberation, but simultaneously risks the generation of F S t and a significant increase in gangue recovery via mechanical entrainment ( F F e ). The proposed integrated model allows operators to visualize these competing mechanisms and identify the ‘sweet spot’ where the recovery of difficult species is maximized before the detrimental effects of overgrinding and non-selective transport dominate the concentrate quality.
Interpretation of the results from kinetic grinding modeling of flotation kinetics enables adjustments to grinding process conditions to achieve an optimal product size distribution that favors the desired flotation of the ore, thereby optimizing the separation process. In other words, operating the circuits to obtain medium-fast species and avoid the characteristic overgrinding in the ball mill [22,23], generating the loss of valuable fine-slow ( F S t ) species or unwanted fine-fast ( F F e ) species in the concentrate by entrainment. By identifying the operational window that maximizes medium-fast ( M F t ) species while suppressing the generation of F S t species, this model serves as a decision-support tool for sustainable mineral processing. Avoiding overgrinding is not only a matter of metallurgical recovery but also a critical factor in reducing the carbon footprint of concentration plants, as comminution accounts for the largest share of energy consumption in mining operations. The ability to tune the grinding circuit to minimize unwanted fine-fast ( F F t ) entrainment species directly improves concentrate grade and reduces the chemical reagent load required for downstream processing, aligning with modern ‘Green Mining’ objectives.
The main purpose of grinding models is to obtain a mathematical relationship between feed size and product size [24], with an efficient energy consumption [25]. However, a model integrated with the flotation process also allows the milling operation to be linked to good metallurgical results. Therefore, further study is needed to understand how to adjust operating parameters to maximize overall process efficiency, integrating grinding (mill speed, ball addition) [26] and flotation (reagent dosing, system hydrodynamics) [27,28].
A possible application of these simple models that integrate grinding and flotation is in the identification and evaluation of flotation circuit structures for systems where regrinding is considered [29,30]. Currently, these studies are complex since there are no simple milling and flotation models that consider the same type of species in their modeling. Also, the development of flotation circuit simulation software, such as the JKSimFloat (version 6) simulation program [31], can benefit from the use of simple yet efficient models that minimize the number of parameters while maintaining acceptable computational cost.
In relation to the two case studies, the integrated kinetic models of milling kinetics fit very well to the species fractions of each true flotation and entrainment system obtained from the kinetic flotation models. However, improvements can be made when considering ore mineralogy for species that are present in minerals with different buoyancy. For example, in ore A, iron is present in species that exhibit true flotation (pyrite) and entrainment (oxides). To model these cases, it is advisable to distinguish between these two types of minerals, in order to take actions both to depress the pyrite and to avoid the mechanical dragging of hydrophilic gangue particles [32]. Of course, this requires mineralogical analysis, not only chemical analysis, as applied in case study 1. Clearly, the same is possible for distinguishing between two or more gangue species that exhibit very different hardness and therefore undergo different transformations in the mill. For example, Figure 5 and Figure 7 illustrate the characteristics and differences in both copper sulfide minerals and their accompanying minerals. The lower k t , 1 values found for ore A compared to ore B are quantitatively consistent with the mineralogical characterization presented in Table 1 and Table 2. Ore A exhibits a higher proportion of hard silicates (quartz and feldspar totaling > 80%), which imposes a greater resistance to fracture than the anhydrite-rich matrix of ore B (47%). This correlation demonstrates that the species-based kinetic constants are not merely fitting parameters but are sensitive indicators of the ore’s inherent grindability. Another possibility for improvement, but which will increase the number of parameters and variables, is to consider that the values ϕ F , ϕ C (Equation (23)) are different for each ore. For example, in case study A, these values were considered to be the same for copper and iron. Incorporating this differentiation can be important in the study of polymetallic ores.

5. Conclusions

This research successfully developed and validated an integrated kinetic framework for modeling grinding processes based on the functional evolution of flotation species. Unlike traditional models that treat comminution and separation as independent units, this approach synchronizes the two processes by tracking how breakage rates directly influence the availability of fast- and slow-floating components. The key scientific contributions and findings of this study are as follows. Integration of Mechanical Entrainment: For the first time within this species-based framework, the model incorporates mechanical entrainment mechanisms, allowing for the simultaneous prediction of valuable mineral recovery and hydrophilic gangue contamination. Formalized Kinetic Equations: We developed a robust set of first-order kinetic grinding equations to describe the mass fraction transformation of both true flotation and entrainment species. This mathematical rigor provides a high-fidelity representation of particle evolution within the mill. Systematic Methodology: The introduction of a clear, three-stage parameter adjustment sequence (Figure 3) transforms the theoretical model into a practical tool for industrial tuning, facilitating operational decision-making without the need for expensive mineralogical characterization. Validation of Theoretical Trends: Case studies demonstrated that the model accurately captures the metallurgical “sweet spot”—the optimal grinding time that maximizes medium-fast ( M F t ) species while suppressing the generation of fine-slow ( F S t ) particles and gangue entrainment. Industrial and Environmental Impact: The proposed model offers a low-cost strategy for processing plant laboratories to optimize recovery and energy efficiency. By preventing overgrinding, this framework supports the reduction in the energy footprint in mining operations, aligning with the objectives of modern sustainable mineral processing.
Furthermore, the GSA conducted using Sobol–Jansen indices provides a definitive mathematical validation of the model’s architecture. The results confirm that the kinetic evolution of mass fractions is primarily driven by the primary breakage rate constants ( k t , 1 and k e , 1 ), while the negligible influence of the direct coarse-to-fine pathway ( k t , 3 ) justifies the parsimonious and sequential nature of the proposed framework. Notably, the higher sensitivity of entrainment parameters relative to true flotation highlights the strategic importance of grinding control in managing concentrate selectivity, particularly for complex ores. These findings solidify the framework as a robust, scientifically grounded tool for identifying the operational ‘sweet spot’ in sustainable mineral processing operations.
Future research will explore immediate and straightforward extensions of the proposed framework, such as the differentiation of upper and lower cutoff sizes ( ϕ C and ϕ F ) for each specific mineralogical species. This relatively simple modification would significantly enhance the model’s predictive accuracy in polymetallic systems where breakage and flotation properties vary across components. Additionally, further studies are needed to understand how operational variables—including pH, reagent dosage, and system hydrodynamics—directly influence the kinetic constants of grinding and flotation. Furthermore, this integrated framework provides a foundation for assessing the environmental and energy impacts of concentration plants. Future work will utilize this model to quantify the energy savings achieved by avoiding overgrinding, thereby supporting ‘Green Mining’ objectives. The model will also be applied to identify optimal circuit structures for systems involving regrinding stages, ensuring that the recovery of middling species is maximized while minimizing the mechanical entrainment of hydrophilic gangue with varying hardness profiles.

Author Contributions

Conceptualization, L.A.C. (Luis A. Cisternas); methodology, Y.F.-H., L.A.C. (Luis A. Cisternas), A.F., and L.A.C. (Lorena A. Cortés); software, Y.F.-H. and L.A.C. (Luis A. Cisternas); validation, Y.F.-H. and D.T.; investigation, Y.F.-H., A.F., L.A.C. (Lorena A. Cortés), and L.A.C. (Luis A. Cisternas); writing—original draft preparation, Y.F.-H., A.F., and L.A.C. (Lorena A. Cortés); writing—review and editing, L.A.C. (Luis A. Cisternas); supervision, L.A.C. (Luis A. Cisternas) and D.T.; project administration, L.A.C. (Luis A. Cisternas); funding acquisition, L.A.C. (Luis A. Cisternas). All authors have read and agreed to the published version of the manuscript.

Funding

This research received no external funding.

Data Availability Statement

Data is contained within the article.

Acknowledgments

This publication was supported by the Agencia Nacional de Investigación y Desarrollo of Chile (ANID), through projects Fondecyt 1251344 and CIA250010 ANID. Y. Flores-Humerez acknowledges the infrastructure and support provided by the Mineral Process Engineering PhD program at the University of Antofagasta.

Conflicts of Interest

The authors declare no conflicts of interest.

Abbreviations

The following abbreviations are used in this manuscript:
CCoarse components
MMedium components
FFine components
C S t Slow-floating, coarse-sized species involved in true flotation
M F t Fast-floating, medium-sized species involved in true flotation
F S t Slow-floating, fine-sized species involved in true flotation
C S e Slow-entrainment, coarse-sized species involved in entrainment
M M e Medium-entrainment, medium-sized species involved in entrainment
F F e Fast-entrainment, fine-sized species involved in entrainment
t G Grinding time
t F Flotation time
GSAGlobal sensitivity analysis

Nomenclature

The following nomenclatures are used in this manuscript:
φ j Mass fraction of species j
φ j , o Initial mass fraction of species j
k t , j G Specific breakage rate constant for conversion to true flotation species j , m i n 1
k e , j G Specific breakage rate constant for conversion to entrainment species j , m i n 1
k j , i Flotation kinetic constant for mineral i of species j , m i n 1
R i , t G , t F Flotation recovery for mineral i to true flotation in function t G   a n d   t F
R e , t G , t F Flotation recovery for entrainment in function t G   a n d   t F
R w ,     t F Recovery of water in function t F .
R i Infinite flotation recovery for mineral i
t G Grinding time, m i n
t F Flotation time, m i n
C F j Entrainment factor for species j
k w Water recovery rate constant, m i n 1
P ( ϕ ) Cumulative weight of particles smaller than size ϕ
ϕ F Particle size below which a species is considered to behave as F S t or F F e
ϕ C Particle size below which a species is considered to behave as C S t or C S e

Appendix A

Appendix A.1. Size Distribution Model

The relevant tests were conducted to ascertain the particle distribution function for the various grinding times used. From these findings, a model based on grinding time was developed to be utilized in flotation and grinding simulations.
In a laboratory ball mill, mineral samples were prepared at different grinding intervals, and granulometric analysis for each sample was performed using a Ro-tap and Tyler sieve series to determine the size distribution function from the experimental data.
These results were then adjusted and modeled utilizing the Rosin–Rammler–Bennett (RRB) distribution method [18,33] (Equation (A1)).
P ϕ = 100 1 exp ϕ k t G n t G    

Appendix A.1.1. Ore Case Study A

This section presents the results derived from the experimental tests, along with the corresponding adjustment of the size distribution function for the ore utilized in true flotation, as illustrated in case study A.
Table A1. Experimental data and RRB model for ore A, for each grinding time.
Table A1. Experimental data and RRB model for ore A, for each grinding time.
Particle   Size   ϕ , [µm]Time = 5 minTime = 10 minTime = 15 minTime = 22 min
Accumulated Weight, % P ϕ ,
%
Accumulated Weight, % P ϕ ,
%
Accumulated Weight, % P ϕ ,
%
Accumulated Weight, % P ϕ ,
%
2000100.0100.0100.0100.0100.0100.0100.0100.0
85098.298.399.999.9100.0100.0100.0100.0
60094.995.199.699.3100.099.9100.0100.0
42587.789.398.097.199.899.3100.0100.0
30078.180.893.192.398.397.1100.099.4
25072.975.588.788.496.594.799.598.5
21268.170.483.684.293.391.798.097.0
15058.959.471.173.682.482.692.390.9
10651.848.760.961.870.870.981.380.5
9047.543.955.056.263.864.873.874.4
7544.338.950.650.158.358.166.767.1
Table A1 presents the experimental data alongside the cumulative undersize percentages calculated using the RRB model for each grinding duration. Furthermore, Figure A1 shows the correlation between this experimental data and the distribution function model as a function of grinding time.
Figure A1. Experimental particle size distribution function and the Rosin–Rammler–Bennett (RRB) model for ore A.
Figure A1. Experimental particle size distribution function and the Rosin–Rammler–Bennett (RRB) model for ore A.
Processes 14 01063 g0a1

Appendix A.1.2. Ore Case Study B

This section presents the results obtained from the experimental tests and the corresponding adjustment of the size distribution function for the ore employed in the true flotation with entrainment in case study B.
Table A2 shows the experimental data and RRB model calculated for the cumulative undersize percentage for each grinding time. Figure A2 shows the adjustment of this experimental data using the obtained distribution function as a function of grinding time.
Table A2. Experimental data and RRB model for ore B, for each grinding time.
Table A2. Experimental data and RRB model for ore B, for each grinding time.
Particle   Size   ϕ [µm]Time = 1 minTime = 3 minTime = 5 minTime = 8 min
Accumulated Weight, % P ϕ ,
%
Accumulated Weight, % P ϕ ,
%
Accumulated Weight, % P ϕ ,
%
Accumulated Weight, % P ϕ ,
%
2000100.098.0100.0100.0100.0100.0100.0100.0
85076.483.297.299.199.0100.099.8100.0
60066.072.595.996.098.799.799.8100.0
30046.949.586.678.695.992.599.499.4
21238.039.174.565.588.881.797.195.4
15029.830.359.452.175.067.388.984.8
9020.520.240.134.852.145.366.059.7
7517.417.333.729.743.538.456.550.4
6313.715.027.125.334.732.445.042.1
5311.012.922.221.628.227.336.334.8
458.911.218.318.523.123.029.028.7
386.59.715.115.718.719.223.623.4
Particle size ϕ [µm]Tiempo = 10 minTiempo = 12 minTiempo = 15 min
Accumulated weight, % P ϕ ,
%
Accumulated weight, % P ϕ ,
%
Accumulated weight, % P ϕ ,
%
2000100.0100.0100.0100.0100.0100.0
85099.9100.0100.0100.0100.0100.0
60099.9100.0100.0100.0100.0100.0
30099.7100.0100.0100.0100.0100.0
21298.798.999.499.899.7100.0
15093.592.696.097.297.999.7
9073.068.979.077.685.788.6
7563.958.469.666.676.878.3
6350.948.756.155.664.266.4
5341.139.945.745.352.654.2
4532.232.636.036.741.943.5
3826.926.129.628.934.933.7
Figure A2. Experimental particle size distribution function and the Rosin–Rammler–Bennett (RRB) model for ore B.
Figure A2. Experimental particle size distribution function and the Rosin–Rammler–Bennett (RRB) model for ore B.
Processes 14 01063 g0a2
Figure A2 shows a strong correlation between experimental data and the RRB model over time. These determined parameters allow us to adjust the flotation and grinding models for the set of species that make up the true flotation and the entrainment.

Appendix A.2. Global Sensitivity Analysis (GSA)

To rigorously assess the structural robustness and parameter identifiability of the proposed framework, a global sensitivity analysis (GSA) based on Sobol–Jansen indices was performed. This section of the appendix shows the results of this GSA of the grinding model for both case studies, ore A and ore B.

Appendix A.2.1. Ore Case Study A: True Flotation

Figure A3. GA for coarse-slow mass fraction of species (copper and iron, ore A).
Figure A3. GA for coarse-slow mass fraction of species (copper and iron, ore A).
Processes 14 01063 g0a3
Figure A4. GSA for medium-fast mass fraction of species (copper and iron, ore A).
Figure A4. GSA for medium-fast mass fraction of species (copper and iron, ore A).
Processes 14 01063 g0a4
Figure A5. GSA for fine-slow mass fraction of species (copper and iron, ore A).
Figure A5. GSA for fine-slow mass fraction of species (copper and iron, ore A).
Processes 14 01063 g0a5

Appendix A.2.2. Ore Case Study B: True Flotation

Figure A6. GSA for coarse-slow mass fraction of species (copper, ore B).
Figure A6. GSA for coarse-slow mass fraction of species (copper, ore B).
Processes 14 01063 g0a6
Figure A7. GSA for medium-fast mass fraction of species (copper, ore B).
Figure A7. GSA for medium-fast mass fraction of species (copper, ore B).
Processes 14 01063 g0a7
Figure A8. GSA for fine-slow mass fraction of species (copper, ore B).
Figure A8. GSA for fine-slow mass fraction of species (copper, ore B).
Processes 14 01063 g0a8

Appendix A.2.3. Ore Case Study B: True Flotation

Figure A9. GSA for coarse-slow mass fraction of species (entrainment, ore B).
Figure A9. GSA for coarse-slow mass fraction of species (entrainment, ore B).
Processes 14 01063 g0a9
Figure A10. GSA for medium–medium mass fraction of species (entrainment, ore B).
Figure A10. GSA for medium–medium mass fraction of species (entrainment, ore B).
Processes 14 01063 g0a10
Figure A11. GSA for medium–medium (zoom) mass fraction of species (entrainment, ore B).
Figure A11. GSA for medium–medium (zoom) mass fraction of species (entrainment, ore B).
Processes 14 01063 g0a11
For the analysis of the medium–medium fraction, the breakage kinetic constants k e , 2 G ( M M e > F F e ,) shows significance as the grinding time is greater, this is because the generation of fines becomes larger, Figure A11.
Figure A12. GSA for fine-fast mass fraction of species (entrainment, ore B).
Figure A12. GSA for fine-fast mass fraction of species (entrainment, ore B).
Processes 14 01063 g0a12

References

  1. Cisternas, L.; Lucay, F.; Botero, Y. Trends in Modeling, Design, and Optimization of Multiphase Systems in Minerals Processing. Minerals 2020, 10, 22. [Google Scholar] [CrossRef]
  2. Kyzas, G.Z.; Matis, K.A. The Flotation Process Can Go Green. Processes 2019, 7, 138. [Google Scholar] [CrossRef]
  3. Zhou, W.; Wang, S.; Cai, C.; Liu, L.; Zhu, J. Experimental Research and Practice of Mineral Separation from Flotation Tailings Based on Self-Spinning Hydrocyclones. Processes 2022, 10, 1478. [Google Scholar] [CrossRef]
  4. Austin, L.G.; Barahona, C.A.; Menacho, J.M. Investigations of Autogenous and Semi-Autogenous Grinding in Tumbling Mills. Powder Technol. 1987, 51, 283–294. [Google Scholar] [CrossRef]
  5. le Roux, J.D.; Steyn, C.W. Validation of a Dynamic Non-Linear Grinding Circuit Model for Process Control. Miner. Eng. 2022, 187, 107780. [Google Scholar] [CrossRef]
  6. Buddhiraju, V.S.; Maheshwari, S.; Rai, B.; Moys, M.; Runkana, V. Modeling and Simulation of Ultrafine Grinding of Alumina in a Planetary Ball Mill. Trans. Indian Inst. Met. 2024, 77, 4221–4230. [Google Scholar] [CrossRef]
  7. Valadares, J.G.A.; Mazzinghy, D.; Galéry, R. Pseudo-Dynamic Simulations Applied to Ball Mill Grinding Circuit Using Population Balance Model and Monte Carlo Method. REM Int. Eng. J. 2024, 77, e230038. [Google Scholar] [CrossRef]
  8. Yianatos, J.; Carrasco, C.; Bergh, L.; Vinnett, L.; Torres, C. Modelling and Simulation of Rougher Flotation Circuits. Int. J. Miner. Process. 2012, 112–113, 63–70. [Google Scholar] [CrossRef]
  9. Vazirizadeh, A.; Bouchard, J.; Del Villar, R.; Ghasemzadeh Barvarz, M.; Duchesne, C. On the Relationship between Hydrodynamic Characteristics and the Kinetics of Flotation. Part II: Model Validation. Miner. Eng. 2015, 74, 198–206. [Google Scholar] [CrossRef]
  10. Newcombe, B. A Phenomenological Model for an Industrial Flash Flotation Cell. Miner. Eng. 2014, 64, 51–62. [Google Scholar] [CrossRef]
  11. Nasiri, M.; Iqbal, S.; Särkkä, S. Physics-Informed Machine Learning for Grade Prediction in Froth Flotation. Miner. Eng. 2025, 227, 109297. [Google Scholar] [CrossRef]
  12. Sosa-Blanco, C.; Hodouin, D.; Bazin, C.; Lara-Valenzuela, C.; Salazar, J. Economic Optimization of a Flotation Plant through Grinding Circuit Tuning. Miner. Eng. 2000, 13, 999–1018. [Google Scholar] [CrossRef]
  13. Arellano-Piña, R.; Sanchez-Ramirez, E.A.; Emmanuel Vázquez-Sánchez, E.; Pérez-Garibay, R.; Rojas-Montes, J.C. Gold Recovery Improvements in Grinding and Flash Flotation Circuit. Miner. Eng. 2023, 199, 108130. [Google Scholar] [CrossRef]
  14. Pérez-García, E.M.; Bouchard, J.; Poulin, É. Integration of a Liberation Model in a Simulation Framework for Comminution Circuits. Miner. Eng. 2018, 126, 167–176. [Google Scholar] [CrossRef]
  15. Mathe, E.; Cruz, C.; Lucay, F.A.; Gálvez, E.D.; Cisternas, L.A. Development of a Grinding Model Based on Flotation Performance. Miner. Eng. 2021, 166, 106890. [Google Scholar] [CrossRef]
  16. Austin, L.G. Introduction to the Mathematical Description of Grinding as a Rate Process. Powder Technol. 1971, 5, 1–17. [Google Scholar] [CrossRef]
  17. Harris, M.C.; Runge, K.C.; Whiten, W.J.; Morrison, R.D. JKSimFloat as a Practical Tool for Flotation Process Design and Optimization. In Mineral Processing Plant Design, Practice, and Control. Proceedings; Mular, A.L., Halbe, D.N., Barrat, D.J., Eds.; Society for Mining, Metallurgy, and Exploration, Inc. (SME): New York, NY, USA, 2002; pp. 461–478. [Google Scholar]
  18. Guo, W.; Han, Y.; Gao, P.; Tang, Z. Effect of Operating Conditions on the Particle Size Distribution and Specific Energy Input of Fine Grinding in a Stirred Mill: Modeling Cumulative Undersize Distribution. Miner. Eng. 2022, 176, 107347. [Google Scholar] [CrossRef]
  19. Wang, L.; Peng, Y.; Runge, K.; Bradshaw, D. A Review of Entrainment: Mechanisms, Contributing Factors and Modelling in Flotation. Miner. Eng. 2015, 70, 77–91. [Google Scholar] [CrossRef]
  20. Zheng, X.; Johnson, N.W.; Franzidis, J.P. Modelling of Entrainment in Industrial Flotation Cells: Water Recovery and Degree of Entrainment. Miner. Eng. 2006, 19, 1191–1203. [Google Scholar] [CrossRef]
  21. Petrakis, E.; Stamboliadis, E.; Komnitsas, K. Identification of Optimal Mill Operating Parameters during Grinding of Quartz with the Use of Population Balance Modeling. KONA Powder Part. J. 2017, 2017, 213–223. [Google Scholar] [CrossRef]
  22. Little, L.; Mainza, A.N.; Becker, M.; Wiese, J. Fine Grinding: How Mill Type Affects Particle Shape Characteristics and Mineral Liberation. Miner. Eng. 2017, 111, 148–157. [Google Scholar] [CrossRef]
  23. Dai, C.; Chen, P.; Yang, Y.; Sun, W. Effect of Grinding Media on Surface Property and Flotation Performance of Ilmenite. Powder Technol. 2024, 447, 120232. [Google Scholar] [CrossRef]
  24. Monov, V.; Sokolov, B.; Stoenchev, S. Grinding in Ball Mills: Modeling and Process Control. Cybern. Inf. Technol. 2012, 12, 51–68. [Google Scholar] [CrossRef]
  25. Austin, L.G.; Concha, F. Diseño y Simulación de Circuitos de Molienda y Clacificación. In Programa Iberoamericano de Ciencia y Tecnología Para El Desarrollo. CYTED; Pennsylvania State University: State College, PA, USA, 1994; p. 250. [Google Scholar]
  26. Gupta, V.K.; Sharma, S. Analysis of Ball Mill Grinding Operation Using Mill Power Specific Kinetic Parameters. Adv. Powder Technol. 2014, 25, 625–634. [Google Scholar] [CrossRef]
  27. Albijanic, B.; Subasinghe, N.; Park, C.H. Flotation Kinetic Models for Fixed and Variable Pulp Chemical Conditions. Miner. Eng. 2015, 78, 66–68. [Google Scholar] [CrossRef]
  28. Han, H.; Liu, A.; Wang, C.; Yang, R.; Li, S.; Wang, H. Flotation Kinetics Performance of Different Coal Size Fractions with Nanobubbles. Int. J. Miner. Metall. Mater. 2022, 29, 1502–1510. [Google Scholar] [CrossRef]
  29. Méndez, D.A.; Gálvez, E.D.; Cisternas, L.A. Modeling of Grinding and Classification Circuits as Applied to the Design of Flotation Processes. Comput. Chem. Eng. 2009, 33, 97–111. [Google Scholar] [CrossRef]
  30. Cisternas, L.A.; Acosta-Flores, R.; Gálvez, E.D. Some Limitations and Disadvantages of Linear Circuit Analysis. Miner. Eng. 2020, 149, 106231. [Google Scholar] [CrossRef]
  31. Schwarz, S.; Alexander, D.; Whiten, W.J.; Franzidis, J.P.; Harris, M.C. JKSimFloat V6: Improving Flotation Circuit Performance and Understanding. In Proceedings of the 23rd International Mineral Processing Congress—IMPC 2006, Istanbul, Turkey, 3–8 September 2006; pp. 1717–1722. [Google Scholar]
  32. Wang, C.; Sun, C.; Liu, Q. Entrainment of Gangue Minerals in Froth Flotation: Mechanisms, Models, Controlling Factors, and Abatement Techniques—A Review. Min. Metall. Explor. 2021, 38, 673–692. [Google Scholar] [CrossRef]
  33. Wills, B.A.; Finch, J.A. Wills’ Mineral Processing Technology: An Introduction to the Practical Aspects of Ore Treatment and Mineral Recovery, 8th ed.; Elsevier: Oxford, UK, 2016. [Google Scholar]
Figure 1. Representation of grinding modeling using fast and slow floating species.
Figure 1. Representation of grinding modeling using fast and slow floating species.
Processes 14 01063 g001
Figure 2. Representation of species during the grinding process regarding the breakage rate constants. An XY species denotes size X and floating/entrainment characteristic Y.
Figure 2. Representation of species during the grinding process regarding the breakage rate constants. An XY species denotes size X and floating/entrainment characteristic Y.
Processes 14 01063 g002
Figure 3. Experimental and modeling methodology to obtain the grinding and flotation models.
Figure 3. Experimental and modeling methodology to obtain the grinding and flotation models.
Processes 14 01063 g003
Figure 4. Experimental and calculated recoveries: (a) Copper flotation, (b) iron flotation, at different grinding times. The continuous line represents the mathematical model.
Figure 4. Experimental and calculated recoveries: (a) Copper flotation, (b) iron flotation, at different grinding times. The continuous line represents the mathematical model.
Processes 14 01063 g004
Figure 5. Experiment data and calculated species fractions of copper and iron at different grinding times. The continuous line represents the mathematical model.
Figure 5. Experiment data and calculated species fractions of copper and iron at different grinding times. The continuous line represents the mathematical model.
Processes 14 01063 g005
Figure 6. Experimental and calculated recoveries: (a) copper flotation, (b) entrainment, at different grinding times. The continuous line represents the mathematical model.
Figure 6. Experimental and calculated recoveries: (a) copper flotation, (b) entrainment, at different grinding times. The continuous line represents the mathematical model.
Processes 14 01063 g006
Figure 7. Experiment data and calculated species fractions of (a) copper and (b) entrainment at different grinding times. The continuous line represents the mathematical model.
Figure 7. Experiment data and calculated species fractions of (a) copper and (b) entrainment at different grinding times. The continuous line represents the mathematical model.
Processes 14 01063 g007
Figure 8. GSA using Sobol–Jansen total indices for the mass fraction evolution of functional species. (a) Dynamics of true flotation species (ore A), demonstrating the temporal shift in parametric control from initial feed mass fraction to the primary breakage rate constant. (b) Dynamics of entrainment species (ore B), illustrating the pronounced sensitivity of fine-fast gangue generation to grinding kinetics ( k e , 1 ). Note the negligible influence of the direct coarse-to-fine parameter ( k t , 3 ), confirming the sequential nature of the breakage mechanism.
Figure 8. GSA using Sobol–Jansen total indices for the mass fraction evolution of functional species. (a) Dynamics of true flotation species (ore A), demonstrating the temporal shift in parametric control from initial feed mass fraction to the primary breakage rate constant. (b) Dynamics of entrainment species (ore B), illustrating the pronounced sensitivity of fine-fast gangue generation to grinding kinetics ( k e , 1 ). Note the negligible influence of the direct coarse-to-fine parameter ( k t , 3 ), confirming the sequential nature of the breakage mechanism.
Processes 14 01063 g008
Figure 9. Response surface analysis for ore case study B, illustrating the effect of grinding time and flotation time on metallurgical performance. (a) Copper recovery via true flotation, showing a saturation zone corresponding to optimal liberation. (b) Gangue recovery via entrainment, showing a rapid increase at higher grinding times due to the accumulation of fine-fast hydrophilic species.
Figure 9. Response surface analysis for ore case study B, illustrating the effect of grinding time and flotation time on metallurgical performance. (a) Copper recovery via true flotation, showing a saturation zone corresponding to optimal liberation. (b) Gangue recovery via entrainment, showing a rapid increase at higher grinding times due to the accumulation of fine-fast hydrophilic species.
Processes 14 01063 g009
Table 1. Chemical composition (QEMSCAM) of ore A.
Table 1. Chemical composition (QEMSCAM) of ore A.
MineralChemical Compositionwt, %
Chalcocite/CovelliteCu2S/CuS0.42
Chalcopyrite/BorniteCuFeS20.08
Other Cu Minerals-0.38
PyriteFeS20.68
MagnetiteFe3O40.11
Goethiteα-FeO(OH)0.01
Other Fe Oxides-0.26
QuartzSiO224.44
Feldspar(K, Na, Ca, Ba, NH4)(Si, Al)4O858.66
Kaolinite GroupAl2O3·2SiO2·2H2O1.88
PhyllosilicatesX(Si2O5)n13.08
Total, % 100.00
Table 2. Chemical composition (QEMSCAM) of ore B.
Table 2. Chemical composition (QEMSCAM) of ore B.
MineralChemical Compositionwt, %
QuartzSiO233.7
AnhydriteCaSO447.0
GypsumCa(SO4) (H2O)24.2
AlbiteNaAlSi3O89.3
ChalcopyriteCuFeS20.9
Clinochlore(Mg, Fe, Al)6 (Si, Al)4 O10(OH)83.1
MuscoviteK0.77 Al1.93 (Al0.5Si3.5)O10(OH)21.7
Total, % 100.0
Table 3. Mass fractions of fast and slow species of copper and iron ore, ore A.
Table 3. Mass fractions of fast and slow species of copper and iron ore, ore A.
t G φ C S t φ M F t φ F S t
10.5440.4210.035
20.3730.5700.057
40.2030.7080.090
80.0750.7830.141
120.0320.7840.183
Table 4. Parameter Kinetic to fast and slow species of copper and iron ore, ore A.
Table 4. Parameter Kinetic to fast and slow species of copper and iron ore, ore A.
ParameterCopperIron
R ,   % 92.6360.91
k F S t ,   m i n 1 1.0040.423
k M F t ,   m i n 1 3.0112.268
k C S t ,   m i n 1 0.0740.009
RMSE, %2.54.0
AAE, %1.73.2
Table 5. Parameter of the Kinetic grinding model, or A.
Table 5. Parameter of the Kinetic grinding model, or A.
ParameterSpecies
C S t M F t F S t
Fraction     φ o 0.790.160.05
RMSE, %0.0130.0090.005
AAE, %0.0130.0090.004
Table 6. Mass fractions of fast, medium, and slow species to copper ore and entrainment, ore B.
Table 6. Mass fractions of fast, medium, and slow species to copper ore and entrainment, ore B.
t G Copper OreEntrainment
φ C S t φ M F t φ F S t φ C S e φ M M e φ F F e
10.4850.4360.0790.6250.2770.098
30.1930.6820.1250.3680.4730.159
50.0610.7900.1490.2050.6010.194
80.0040.8220.1740.0590.7040.237
100.0000.8100.1900.0170.7180.265
120.0000.7950.2050.0030.7020.295
150.0000.7680.2320.0000.6560.344
Table 7. Parameter Kinetic to fast and slow species of copper ore and entrainment, ore B.
Table 7. Parameter Kinetic to fast and slow species of copper ore and entrainment, ore B.
ParameterCopperEntrainment
R ,   % 100.008.19
k F S t ,   m i n 1 0.030-
k M F t ,   m i n 1 2.023-
k C S t ,   m i n 1 0.019-
k w ,   m i n 1 -0.177
C F F F e -7.612
C F M M e -0.200
C F C S e -0.011
RMSE, %2.30.25
AAE, %1.50.19
Table 8. Parameter of the Kinetic grinding model, ore B.
Table 8. Parameter of the Kinetic grinding model, ore B.
ParameterSpecies for True FlotationSpecies for Entrainment
C S t M F t F S t C S e M M e F F e
Fraction   φ o 0.790.160.050.8560.0740.07
RMSE, %0.0070.0070.0030.0180.0190.008
AAE, %0.0060.0060.0020.0170.0180.005
Disclaimer/Publisher’s Note: The statements, opinions and data contained in all publications are solely those of the individual author(s) and contributor(s) and not of MDPI and/or the editor(s). MDPI and/or the editor(s) disclaim responsibility for any injury to people or property resulting from any ideas, methods, instructions or products referred to in the content.

Share and Cite

MDPI and ACS Style

Flores-Humerez, Y.; Cisternas, L.A.; Fong, A.; Cortés, L.A.; Tao, D. Integrated Modeling of the Kinetic Evolution of True Flotation and Entrainment Species: A Low-Cost Strategy for Grinding–Flotation Optimization. Processes 2026, 14, 1063. https://doi.org/10.3390/pr14071063

AMA Style

Flores-Humerez Y, Cisternas LA, Fong A, Cortés LA, Tao D. Integrated Modeling of the Kinetic Evolution of True Flotation and Entrainment Species: A Low-Cost Strategy for Grinding–Flotation Optimization. Processes. 2026; 14(7):1063. https://doi.org/10.3390/pr14071063

Chicago/Turabian Style

Flores-Humerez, Yordana, Luis A. Cisternas, Adolfo Fong, Lorena A. Cortés, and Dongping Tao. 2026. "Integrated Modeling of the Kinetic Evolution of True Flotation and Entrainment Species: A Low-Cost Strategy for Grinding–Flotation Optimization" Processes 14, no. 7: 1063. https://doi.org/10.3390/pr14071063

APA Style

Flores-Humerez, Y., Cisternas, L. A., Fong, A., Cortés, L. A., & Tao, D. (2026). Integrated Modeling of the Kinetic Evolution of True Flotation and Entrainment Species: A Low-Cost Strategy for Grinding–Flotation Optimization. Processes, 14(7), 1063. https://doi.org/10.3390/pr14071063

Note that from the first issue of 2016, this journal uses article numbers instead of page numbers. See further details here.

Article Metrics

Article metric data becomes available approximately 24 hours after publication online.
Back to TopTop