Next Article in Journal
Expanding the TM01-Mode MPCVD Reactor Based on Electromagnetic Mode Amplification for Potential 4-Inch Diamond Deposition
Previous Article in Journal
Research Progress on Counter Current Electrophoresis Separation Technology
 
 
Font Type:
Arial Georgia Verdana
Font Size:
Aa Aa Aa
Line Spacing:
Column Width:
Background:
Article

Effect of Oscillation Mode on the Dispersion of Silica Nanoparticles Synthesized by the Stöber Method

1
Institute of Materials Science and Devices, Suzhou University of Science and Technology, Suzhou 215011, China
2
College of Pharmacy, Oregon State University, 2730 S Moody Avenue, Portland, OR 97201, USA
*
Authors to whom correspondence should be addressed.
Processes 2026, 14(4), 644; https://doi.org/10.3390/pr14040644
Submission received: 12 January 2026 / Revised: 6 February 2026 / Accepted: 11 February 2026 / Published: 13 February 2026
(This article belongs to the Section Particle Processes)

Abstract

Particle size and size distribution are critical parameters that strongly influence the performance, reproducibility, and applicability of nanoparticles. In this work, we systematically investigated the effect of oscillation mode on the particle size and dispersion of SiO2 nanoparticles synthesized via the Stöber method. Multiple commonly used laboratory mixing and oscillation modes—including stirring, horizontal shaking, vertical shaking, rotating, vertical shaking combined with rotating, water bath sonication, probe sonication, and static conditions—were comparatively evaluated. Particle size and size distribution were characterized by transmission electron microscopy and dynamic light scattering, and the polydispersity index (PDI) was quantitatively analyzed. The results demonstrate that stirring, horizontal shaking, vertical shaking, and rotating produce silica nanoparticles with comparable average sizes and consistently low PDI values within the investigated parameter range, indicating similar performance among these moderate and continuous oscillation modes under the studied conditions. In contrast, vertical shaking combined with rotating, water bath sonication, and probe sonication lead to larger particle sizes and broader size distributions, accompanied by elevated PDI values. Although static conditions yield smaller average particle sizes, the resulting particles exhibit the highest PDI, reflecting poor size uniformity. These findings provide practical process-level guidance for selecting appropriate oscillation modes to achieve reproducible and uniform silica nanoparticle synthesis in general laboratory settings.

Graphical Abstract

1. Introduction

Particle size is one of the most important physicochemical properties of nanoparticles and plays a decisive role in determining their functionality and application. For example, catalyst particles used in electrolytic hydrogen production can reach micrometer-scale dimensions [1], whereas nanomedicines designed for tumor therapy typically require particle sizes below 100 nm to ensure favorable biodistribution and cellular uptake [2]. Consequently, precise control over nanoparticle size and size distribution is essential.
The polydispersity index (PDI) is widely used to evaluate the breadth of particle size distributions. A PDI value ≤ 0.1 generally indicates a very narrow distribution, while values below 0.3 are considered acceptable for drug delivery systems and suggest a relatively homogeneous particle population [3]. In both polymeric and inorganic particulate systems, improved size homogeneity is often associated with enhanced stability and reproducibility. Regulatory guidelines, such as the U.S. Food and Drug Administration’s Guidance for Industry, emphasize particle size and size distribution as critical quality attributes for particulate drug products [4]. Therefore, developing synthesis strategies that yield nanoparticles with narrow size distributions and low PDI values remains an important goal.
In practice, however, nanoparticle synthesis protocols vary widely across laboratories and production environments due to differences in experience, equipment, and operational preferences. For silica nanoparticles synthesized by the Stöber method, agitation is commonly applied to promote homogeneous hydrolysis and condensation processes [5], and mixing can be achieved using magnetic stirring or other laboratory devices such as shakers and rotators [6,7,8]. In addition, some studies have introduced ultrasonic irradiation, including water-bath and probe sonication [9,10], to assist the Stöber reaction, whereas static conditions are also occasionally adopted for simplicity [11]. Despite the widespread use of these different approaches, their effects on particle size distribution and reproducibility have not been systematically compared. As a result, it remains unclear whether different oscillation modes are functionally equivalent or whether certain methods inherently compromise size control. Addressing this gap is essential for improving the reproducibility and transferability of nanoparticle synthesis protocols across laboratories.
In this study, silica nanoparticles were selected as a model system due to their low cost, facile synthesis, spherical morphology, and widespread use in both academic and industrial settings [12]. Their well-defined shape enables reliable particle size analysis by transmission electronic microscope (TEM) and hydrodynamic size measurement by dynamic light scattering (DLS). Five commonly available laboratory devices—magnetic stirrer, shaker, rotator, ultrasonic bath, and probe sonicator—were employed to generate seven distinct oscillation modes: stirring, horizontal shaking, vertical shaking, rotating, vertical shaking combined with rotating, water bath sonication, and probe sonication. A static condition without external agitation was included as a control. By quantitatively comparing particle size and PDI across these modes, this work aims to identify equivalent and non-recommended oscillation strategies for reproducible silica nanoparticle synthesis.

2. Materials and Methods

2.1. Materials and Apparatus

Ethanol, tetraethyl orthosilicate (TEOS), and aqueous ammonia solution (30 wt%) were purchased from Sigma-Aldrich (St. Louis, MO, USA). Deionized water was obtained from a laboratory water purification system. A magnetic stirrer and hot plate (Isotemp™ Hot Plate Stirrer, ambient to 400 °C, ceramic surface) were purchased from Fisher Scientific (Waltham, MA, USA). An orbital shaker (AC/DC input, 115 V AC) was obtained from Sigma-Aldrich. A rotator (ROTO-THERM™ Plus incubated rotator with variable speed and tube holders) was purchased from Benchmark Scientific (Sayreville, NJ, USA). An ultrasonic bath (Branson, 5.5 gal tank capacity) was obtained from Marshall Scientific (Hampton, NH, USA). A probe-type ultrasonic processor (130 W) was purchased from Sigma-Aldrich. Transmission electron microscopy (TEM) images were acquired using a Hitachi H-600 transmission electron microscope (Hitachi High-Technologies, Tokyo, Japan) operated at an accelerating voltage of 75 keV. Particle size distributions were analyzed from TEM images using ImageJ software (version 1.53t). Dynamic light scattering (DLS) measurements were performed using a Malvern Zetasizer (ZEN3690, Malvern Instruments, Malvern, UK) at a silica nanoparticle concentration of 10 μg/mL.

2.2. Synthesis of SiO2 Nanoparticles

Silica nanoparticles were synthesized via a modified Stöber method [13]. Briefly, 8 mL of ethanol was mixed with 1 mL of ammonia to form solution A, while 0.1 mL of TEOS was dissolved in 0.9 mL of ethanol to form solution B. Solution B was added to solution A in one portion, followed by mixing under the specified oscillation mode.
For stirring, a magnetic stirrer was operated at 400 rpm. Horizontal shaking was performed using an orbital shaker at 100 rpm. Vertical shaking and rotating were conducted using a rotator in rocking and rotating modes, respectively, at a rotational speed of 20 rpm. Vertical shaking combined with rotating was achieved using a mixed oscillation mode. For water bath sonication, the reaction vessel was placed in an ultrasonic bath at 40 kHz and ~200 W, and the temperature was maintained near room temperature by adding ice as needed. For probe sonication, the reaction vessel was immersed in an ice-water bath, and sonication was applied in a pulsed mode (3 s on, 3 s off) at 20 kHz and 130 W while monitoring temperature. A static condition without external agitation was used as a control.
All reactions were carried out at room temperature for 30 min. The resulting nanoparticles were collected by centrifugation at 10,000 rpm for 10 min and washed twice with ethanol and once with deionized water. After each washing step, the particles were redispersed by vortex mixing. Each synthesis was performed in triplicate under identical conditions.

2.3. TEM Images Analysis

Particle size distributions were obtained from TEM images using ImageJ according to a previously reported protocol [14]. Particles in contact with the image boundary or overlapping aggregates were excluded to ensure accurate statistical analysis.

3. Results

Representative TEM images of SiO2 nanoparticles synthesized under different oscillation modes are shown in Figure 1. In all cases, spherical silica nanoparticles were obtained, indicating that the modified Stöber reaction is robust with respect to the applied oscillation mode. However, quantitative analysis reveals that particle size uniformity and dispersion are strongly dependent on the specific mixing condition.
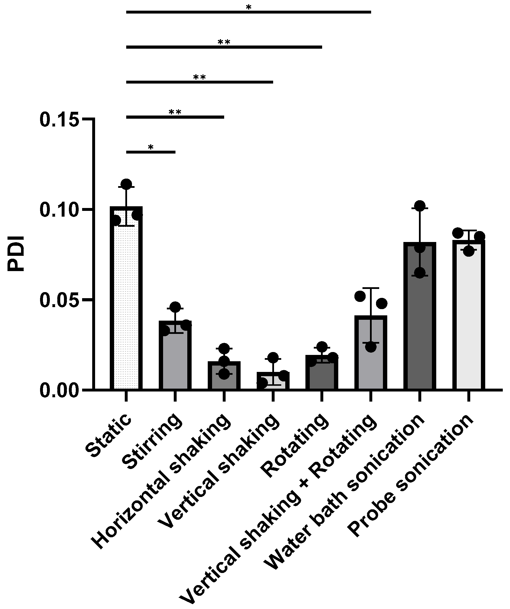
The particle size distributions derived from TEM images are summarized in Figure 2, and the corresponding average particle sizes are listed in Table 1. For stirring, horizontal shaking, vertical shaking, and rotating modes, the silica nanoparticles exhibited comparable average TEM diameters, ranging from approximately 87 to 92 nm, with relatively narrow size distributions. The corresponding PDI values obtained from DLS measurements were all below 0.03 (Table 1 and Figure 3), indicating highly uniform particle populations. Within experimental uncertainty, no statistically significant differences in average particle size or PDI were observed among these four oscillation modes, suggesting that they provide functionally equivalent mixing environments under the present synthesis conditions.
In contrast, samples synthesized under static conditions displayed a smaller average TEM particle size of approximately 78 nm, but with a markedly broader size distribution. This is reflected in a substantially higher PDI value of ~0.105 (Table 1). These results indicate that insufficient mixing leads to heterogeneous growth conditions, likely due to locally non-uniform supersaturation, temporally distributed nucleation events, and diffusion-limited mass transport [15,16,17], resulting in poor size uniformity despite the smaller mean particle size.
More pronounced deviations were observed for the vertical shaking combined with rotating mode as well as for water bath sonication and probe sonication. As summarized in Table 1, these samples exhibited significantly larger average TEM particle sizes, typically exceeding 110 nm, accompanied by elevated PDI values. In particular, probe sonication at 20 kHz and 130 W produced the largest particles, with an average TEM diameter of approximately 144 nm and a PDI of ~0.083. Similarly, water bath sonication operated at ~40 kHz and ~200 W resulted in broadened size distributions. The corresponding size distributions (Figure 2) were not strictly bimodal but instead showed broadened profiles with extended tails toward larger particle sizes, indicating less controlled nucleation and growth processes. In contrast, moderate agitation modes, including magnetic stirring (400 rpm), horizontal shaking (100 rpm), vertical shaking (20 rpm), and rotating (20 rpm), provided more homogeneous mixing environments and narrower size distributions. These observations suggest that excessive or complex energy input, particularly under high-frequency and high-power ultrasonic conditions, can disrupt the balance between nucleation and growth during the Stöber reaction, leading to reduced size control.
Dynamic light scattering measurements further support these observations. As shown in Figure 4 and summarized in Table 1, the hydrodynamic diameters measured by DLS were consistently larger than the particle sizes determined by TEM, with values typically in the range of 110–170 nm, depending on the oscillation mode. This difference is mainly attributed to the hydrodynamic nature of DLS measurements, which includes the solvation layer surrounding the particles, bias toward larger particles (I ∝ d6) [18,19,20]. In addition, occasional weakly associated clusters observed in TEM images may further contribute to this discrepancy, even when relatively low PDI values are obtained. Importantly, although the absolute sizes differed between TEM and DLS measurements, the relative trends across different oscillation modes were consistent. Oscillation modes that produced uniform particles in TEM analysis also exhibited low PDI values and narrower hydrodynamic size distributions in DLS measurements, confirming the robustness of the observed trends.
Taken together, the TEM-based size analysis, DLS measurements, and PDI evaluation (Table 1) demonstrate that the oscillation mode plays a critical role in determining particle size uniformity during silica nanoparticle synthesis. Moderate and continuous oscillation modes provide reproducible and uniform particle growth, whereas insufficient or overly intense mixing leads to broader size distributions and reduced reproducibility.

4. Conclusions

In this study, the effect of oscillation mode on the synthesis of SiO2 nanoparticles via a modified Stöber method was systematically evaluated using TEM and DLS characterization. While spherical silica nanoparticles were successfully obtained under all tested conditions, quantitative analysis revealed clear differences in particle size and dispersion behavior depending on the applied oscillation mode.
Stirring, horizontal shaking, vertical shaking, and rotating produced silica nanoparticles with comparable average TEM sizes of approximately 87–92 nm and consistently low PDI values below 0.03, indicating that these oscillation modes provide equivalent and reliable mixing conditions for reproducible particle synthesis. In contrast, static conditions resulted in poorer size uniformity, as evidenced by a higher PDI of ~0.105, despite yielding smaller average particle sizes. More complex or intense oscillation modes—including vertical shaking combined with rotating, water bath sonication, and probe sonication—led to significantly larger particles (typically >110 nm) and broader size distributions, with probe sonication producing the largest particles and one of the highest PDI values.
In the present study, spherical silica nanoparticles with an average diameter of approximately 100 nm were selected as a representative and well-established model system. The observed influence of oscillation modes is primarily governed by mixing efficiency, local concentration homogeneity, and hydrodynamic shear during nucleation and growth, which are fundamental factors in many colloidal synthesis processes. Therefore, similar qualitative trends may also be expected for silica nanoparticles with different size ranges and for other nanoparticle systems synthesized via solution-based routes. Nevertheless, quantitative outcomes may vary depending on particle composition, surface chemistry, growth kinetics, and target size regime. For example, larger particles may be more sensitive to sedimentation and secondary aggregation, whereas smaller particles may be more strongly affected by early-stage nucleation dynamics. Further systematic investigations on different particle sizes, morphologies, and material systems will be required to fully establish the general applicability of the present findings.
These results demonstrate that increasing mixing intensity does not necessarily improve size control in silica nanoparticle synthesis. Instead, moderate and continuous oscillation modes are sufficient to achieve uniform particle growth, whereas insufficient or excessive energy input can disrupt controlled nucleation and growth processes. The quantitative comparisons summarized in Table 1 provide practical process-level guidance for selecting appropriate oscillation modes in laboratory-scale silica nanoparticle synthesis when particle size uniformity and reproducibility are critical considerations.

Author Contributions

Conceptualization, S.Z. and C.W.; methodology, S.Z. and C.W.; software, C.W.; validation, C.W.; formal analysis, C.W.; investigation, S.Z.; resources, S.Z.; data curation, S.Z.; writing—original draft preparation, C.W.; writing—review and editing, S.Z.; visualization, C.W.; supervision, C.W.; project administration, S.Z.; funding acquisition, S.Z. All authors have read and agreed to the published version of the manuscript.

Funding

This research was funded by the National Natural Science Foundation of China (Grant No. 22302140).

Data Availability Statement

All data supporting the findings of this study are available within the article and are available from the corresponding authors upon reasonable request.

Acknowledgments

During the preparation of this manuscript, the authors used ChatGPT (version 5.2) for language polishing. The authors have reviewed and edited the content and take full responsibility for the accuracy and integrity of this publication.

Conflicts of Interest

The authors declare no conflicts of interest.

Abbreviations

The following abbreviations are used in this manuscript:
PDIpolydispersity index
TEMtransmission electronic microscope
DLSdynamic light scattering
TEOStetraethyl orthosilicate

References

  1. Tao, X.; Wang, X.; Yang, C.; Zhao, M.; Wang, C.; Zhang, C.; Lu, J.; Zhang, S.; Ma, R.; Guo, C. Regulating electronic microenvironment of porous Ni(OH)2 by Ce and N codoping and its bifunctional catalyst for efficient urea-assisted water splitting. Chem. Eng. J. 2025, 524, 169448. [Google Scholar] [CrossRef]
  2. Wang, C.; Zhang, S. Advantages of Nanomedicine in Cancer Therapy: A Review. ACS Appl. Nano Mater. 2023, 6, 22594–22610. [Google Scholar] [CrossRef]
  3. Zhang, S.; Wang, C. Effect of stirring speed on particle dispersion in silica synthesis. Nano-Struct. Nano-Objects 2023, 35, 100994. [Google Scholar] [CrossRef]
  4. Danaei, M.; Dehghankhold, M.; Ataei, S.; Hasanzadeh Davarani, F.; Javanmard, R.; Dokhani, A.; Khorasani, S.; Mozafari, M.R. Impact of Particle Size and Polydispersity Index on the Clinical Applications of Lipidic Nanocarrier Systems. Pharmaceutics 2018, 10, 57. [Google Scholar] [CrossRef] [PubMed]
  5. Liberman, A.; Mendez, N.; Trogler, W.C.; Kummel, A.C. Synthesis and surface functionalization of silica nanoparticles for nanomedicine. Surf. Sci. Rep. 2014, 69, 132–158. [Google Scholar] [CrossRef] [PubMed]
  6. Shalit, M.; Knop, Y.; Radune, M.; Mastai, Y. Innovative Application of Standard Sand as a Functional Carrier for Nano-Silica in Cement. Materials 2025, 18, 4277. [Google Scholar] [CrossRef] [PubMed]
  7. Souza, C.G.S.d.; Souza, J.B., Jr.; Beck, W., Jr.; Varanda, L.C. Luminomagnetic Silica-Coated Heterodimers of Core/Shell FePt/Fe3O4 and CdSe Quantum Dots as Potential Biomedical Sensor. J. Nanomater. 2017, 2017, 2160278. [Google Scholar] [CrossRef]
  8. Sokolik, C.G.; Lellouche, J.-P. Hybrid-silica nanoparticles as a delivery system of the natural biocide carvacrol. RSC Adv. 2018, 8, 36712–36721. [Google Scholar] [CrossRef] [PubMed]
  9. Liu, X.; Wu, Z.; Manzoli, M.; Jicsinszky, L.; Cavalli, R.; Battaglia, L.; Cravotto, G. Medium-high frequency sonication dominates spherical-SiO2 nanoparticle size. Ultrason. Sonochem. 2022, 90, 106181. [Google Scholar] [CrossRef] [PubMed]
  10. Enomoto, N.; Koyano, T.; Nakagawa, Z.-e. Effect of ultrasound on synthesis of spherical silica. Ultrason. Sonochem. 1996, 3, S105–S109. [Google Scholar] [CrossRef]
  11. Baik, C.; Lee, S.W.; Pak, C. Control of the pore size distribution inside the RuO2 catalyst by using silica nanosphere particle for highly efficient water electrolysis. Microporous Mesoporous Mater. 2020, 309, 110567. [Google Scholar] [CrossRef]
  12. Jeelani, P.G.; Mulay, P.; Venkat, R.; Ramalingam, C. Multifaceted Application of Silica Nanoparticles. A Review. Silicon 2020, 12, 1337–1354. [Google Scholar] [CrossRef]
  13. Stöber, W.; Fink, A.; Bohn, E. Controlled growth of monodisperse silica spheres in the micron size range. J. Colloid Interface Sci. 1968, 26, 62–69. [Google Scholar] [CrossRef]
  14. Zhang, S.; Wang, C. Precise Analysis of Nanoparticle Size Distribution in TEM Image. Methods Protoc. 2023, 6, 63. [Google Scholar] [CrossRef] [PubMed]
  15. LaMer, V.K.; Dinegar, R.H. Theory, Production and Mechanism of Formation of Monodispersed Hydrosols. J. Am. Chem. Soc. 1950, 72, 4847–4854. [Google Scholar] [CrossRef]
  16. Bogush, G.H.; Zukoski, C.F. Studies of the kinetics of the precipitation of uniform silica particles through the hydrolysis and condensation of silicon alkoxides. J. Colloid Interface Sci. 1991, 142, 1–18. [Google Scholar] [CrossRef]
  17. Rahman, I.A.; Padavettan, V. Synthesis of Silica Nanoparticles by Sol-Gel: Size-Dependent Properties, Surface Modification, and Applications in Silica-Polymer Nanocomposites—A Review. J. Nanomater. 2012, 2012, 132424. [Google Scholar] [CrossRef]
  18. Filipe, V.; Hawe, A.; Jiskoot, W. Critical Evaluation of Nanoparticle Tracking Analysis (NTA) by NanoSight for the Measurement of Nanoparticles and Protein Aggregates. Pharm. Res. 2010, 27, 796–810. [Google Scholar] [CrossRef] [PubMed]
  19. Bihar (India). Directorate of Economics and Statistics. Evaluation. In Bihar Through Figures; Secretariat Press: Tamar, Hong Kong, 1966. [Google Scholar]
  20. Murdock, R.C.; Braydich-Stolle, L.; Schrand, A.M.; Schlager, J.J.; Hussain, S.M. Characterization of Nanomaterial Dispersion in Solution Prior to In Vitro Exposure Using Dynamic Light Scattering Technique. Toxicol. Sci. 2008, 101, 239–253. [Google Scholar] [CrossRef] [PubMed]
Figure 1. Representative TEM images of SiO2 nanoparticles synthesized under different oscillation modes. All samples were prepared using the same modified Stöber reaction conditions, with the oscillation mode as the only variable. Scale bars: 500 nm.
Figure 1. Representative TEM images of SiO2 nanoparticles synthesized under different oscillation modes. All samples were prepared using the same modified Stöber reaction conditions, with the oscillation mode as the only variable. Scale bars: 500 nm.
Processes 14 00644 g001
Figure 2. Particle size distributions of SiO2 nanoparticles determined from TEM images for different oscillation modes. The distributions were obtained by measuring the diameters of individual particles from representative TEM micrographs.
Figure 2. Particle size distributions of SiO2 nanoparticles determined from TEM images for different oscillation modes. The distributions were obtained by measuring the diameters of individual particles from representative TEM micrographs.
Processes 14 00644 g002
Figure 3. PDI values of SiO2 nanoparticles synthesized under different oscillation modes, obtained from DLS measurements. Data are presented as mean ± standard deviation of three independent experiments (n = 3). Statistical analysis was performed using Welch’s one-way ANOVA followed by Dunnett’s multiple-comparison test versus the static control. * p < 0.05, ** p < 0.01.
Figure 3. PDI values of SiO2 nanoparticles synthesized under different oscillation modes, obtained from DLS measurements. Data are presented as mean ± standard deviation of three independent experiments (n = 3). Statistical analysis was performed using Welch’s one-way ANOVA followed by Dunnett’s multiple-comparison test versus the static control. * p < 0.05, ** p < 0.01.
Processes 14 00644 g003
Figure 4. Hydrodynamic size distributions of SiO2 nanoparticles synthesized under different oscillation modes, measured by DLS. Each sample was measured in triplicate to ensure reproducibility. Data are presented as mean ± standard deviation of three independent experiments (n = 3).
Figure 4. Hydrodynamic size distributions of SiO2 nanoparticles synthesized under different oscillation modes, measured by DLS. Each sample was measured in triplicate to ensure reproducibility. Data are presented as mean ± standard deviation of three independent experiments (n = 3).
Processes 14 00644 g004
Table 1. Summary of average particle sizes and PDI of SiO2 nanoparticles synthesized under different oscillation modes. Particle sizes were determined by TEM and DLS measurements and all data are presented as mean ± standard deviation.
Table 1. Summary of average particle sizes and PDI of SiO2 nanoparticles synthesized under different oscillation modes. Particle sizes were determined by TEM and DLS measurements and all data are presented as mean ± standard deviation.
StaticStirringHorizontal ShakingVertical ShakingRotatingVertical Shaking + RotatingWater Bath SonicationProbe Sonication
Average Size (TEM)91.0 ± 12.390.1 ± 6.390.9 ± 11.987.4 ± 13.691.9 ± 10.0126.9 ± 18.3143.9 ± 20.3132.8 ± 23.4
Average Size (DLS)106.4 ± 11.6116.5 ± 3.895.2 ± 7.6139.1 ± 6.692.4 ± 7.3134.3 ± 7.9136.2 ± 15.7131.7 ± 24.0
PDI0.105 ± 0.0110.027 ± 0.0070.016 ± 0.0070.010 ± 0.0070.019 ± 0.0040.041 ± 0.0150.082 ± 0.0190.083 ± 0.005
Disclaimer/Publisher’s Note: The statements, opinions and data contained in all publications are solely those of the individual author(s) and contributor(s) and not of MDPI and/or the editor(s). MDPI and/or the editor(s) disclaim responsibility for any injury to people or property resulting from any ideas, methods, instructions or products referred to in the content.

Share and Cite

MDPI and ACS Style

Zhang, S.; Wang, C. Effect of Oscillation Mode on the Dispersion of Silica Nanoparticles Synthesized by the Stöber Method. Processes 2026, 14, 644. https://doi.org/10.3390/pr14040644

AMA Style

Zhang S, Wang C. Effect of Oscillation Mode on the Dispersion of Silica Nanoparticles Synthesized by the Stöber Method. Processes. 2026; 14(4):644. https://doi.org/10.3390/pr14040644

Chicago/Turabian Style

Zhang, Shan, and Chao Wang. 2026. "Effect of Oscillation Mode on the Dispersion of Silica Nanoparticles Synthesized by the Stöber Method" Processes 14, no. 4: 644. https://doi.org/10.3390/pr14040644

APA Style

Zhang, S., & Wang, C. (2026). Effect of Oscillation Mode on the Dispersion of Silica Nanoparticles Synthesized by the Stöber Method. Processes, 14(4), 644. https://doi.org/10.3390/pr14040644

Note that from the first issue of 2016, this journal uses article numbers instead of page numbers. See further details here.

Article Metrics

Back to TopTop