Investigation of Honeycomb Core-Filled Five-Stage Tubes as Anti-Climbing Energy Absorbers for Rail Vehicle Safety Under Axial and Oblique Loading
Abstract
1. Introduction
2. Methodology
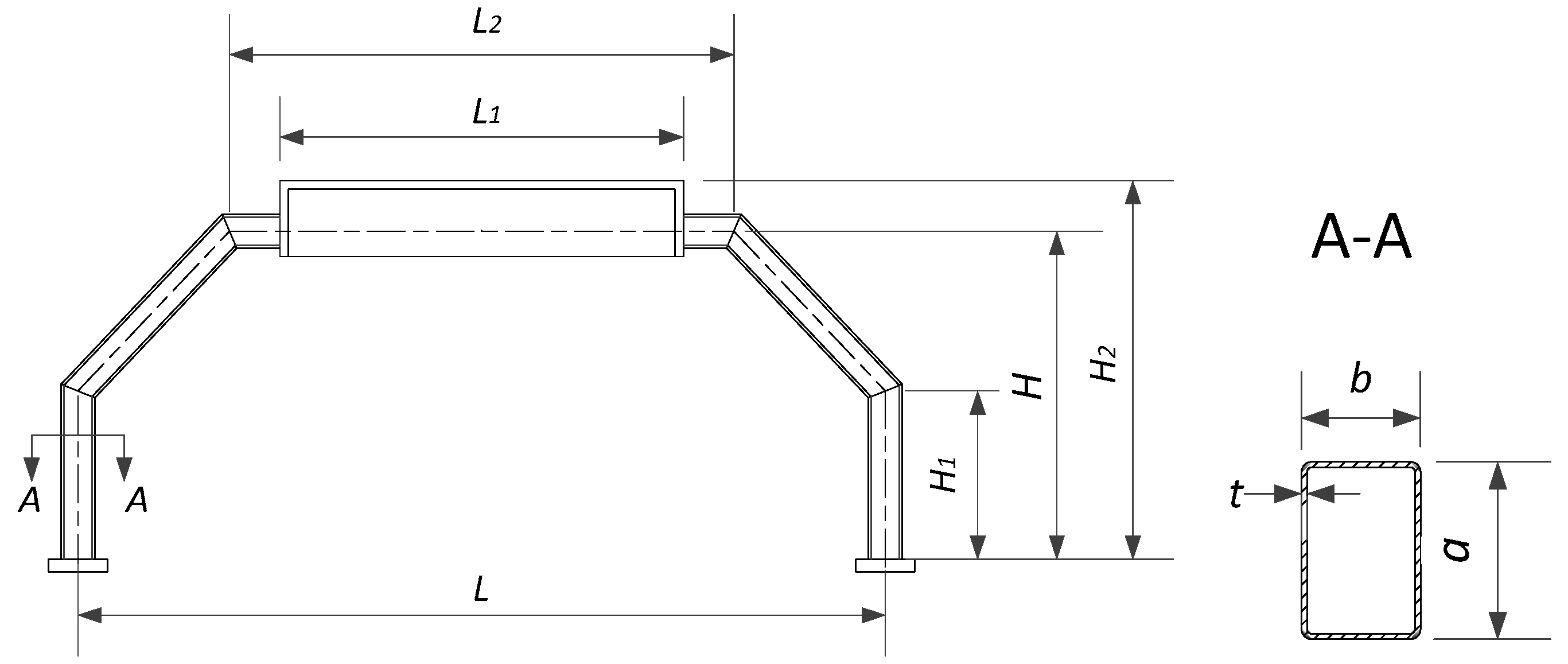
2.1. Five-Section Frame Structure Filled with a PU Foam Core
2.2. Five-Section Frame Structure Filled with a Honeycomb Aluminum Core
2.3. Drop Weight Test
2.4. Finite Element Simulation
2.5. Definition of Structural Crashworthiness
3. Results and Analysis
3.1. Results of the FSF-F Under Vertical Loading
3.2. Results of the FSF-H Under Vertical Loading
3.3. Results of the FSF-H Under Offset Loading
4. Conclusions
- (1)
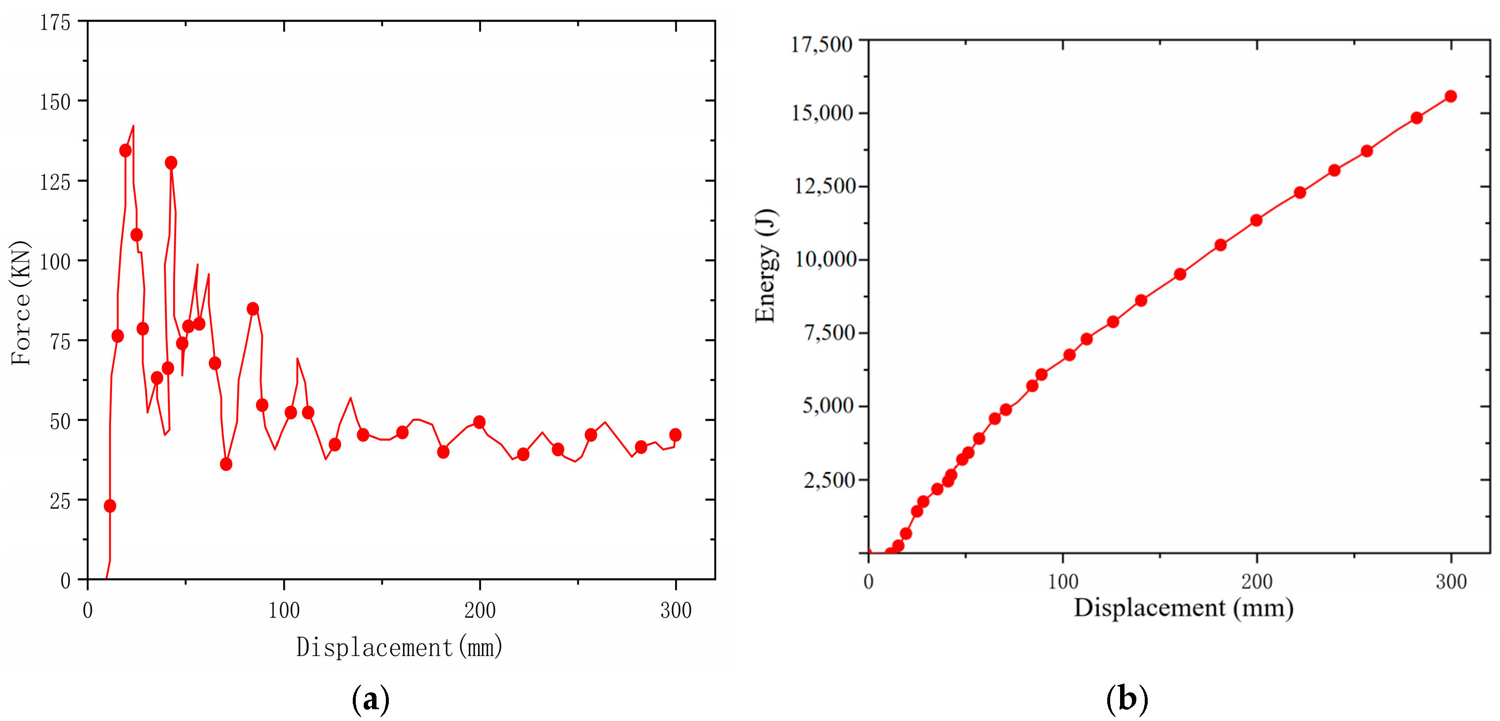
- The PU foam-filled five-section frame composite (FSF-F) exhibited favorable mechanical and energy absorption performance. Under external loading, the outer five-section frame and internal PU foam underwent coordinated bending and deformation to dissipate the energy. At a compression displacement of 300 mm, the FSF-F achieved an energy absorption of 15 kJ, with a stable stress fluctuation stage around 47.4 kN after the initial peak (142.4 kN).
- (2)
- The aluminum honeycomb-filled five-section frame composite (FSF-H) comprehensively outperformed the FSF-F. Under the same 300 mm axial compression, the FSF-H absorbed 20 kJ of energy—33.3% higher than FSF-F—and maintained a stable bearing force of approximately 62 kN in the later stage. Its deformation process was more controlled, with the aluminum honeycomb core and frame forming a synergistic energy absorption system, avoiding the unstable expansion of the PU foam observed in the FSF-F.
- (3)
- Under 10 mm offset loading, the FSF-H demonstrated excellent stability and energy absorption capacity. It exhibited a characteristic “X-shaped” deformation mode without structural instability, and its energy absorption effect was superior to that under axial loading. This confirms FSF-H’s feasibility as a train anti-climbing energy absorber, capable of meeting the requirements of offset collision working conditions. However, its mechanical performance under increased offset displacement (exceeding 12 mm) needs further investigation, as the energy absorption capacity tends to decrease to below 110 kN.
Author Contributions
Funding
Data Availability Statement
Conflicts of Interest
References
- Javed, A.R.; Shahzad, F.; ur Rehman, S.U.; Zikria, Y.B.; Razzak, I.; Jalil, Z.; Xu, G. Future smart cities requirements, emerging technologies, applications, challenges, and future aspects. Cities 2022, 129, 103794. [Google Scholar] [CrossRef]
- Mohri, S.S.; Thompson, R. Designing sustainable intermodal freight transportation networks using a controlled rail tariff discounting policy-The Iranian case. Transp. Res. Part A Policy Pract. 2022, 157, 59–77. [Google Scholar] [CrossRef]
- Zhu, T.; Zhang, J.; Wu, Q.; Lyu, R.-J.; Wang, X.-R.; Xiao, S.-N.; Deng, Y.-Q. Review on influence of coupler and draft gear on safety of railway train collision. J. Traffic Transp. Eng. 2021, 21, 233–249. [Google Scholar]
- Xie, S.; Tian, H.; Yao, S. Crash test and numerical simulation of vehicle energy-absorbing components. J. Transp. Eng. 2008, 8, 1–5. [Google Scholar]
- Qin, R.; Gao, F.; Wang, T.; Chen, B.-Z. Numerical simulation of bearing capacity of carbody for high-speed train subjected to longitudinal impact. J. Traffic Transp. Eng. 2021, 21, 209–224. [Google Scholar]
- Rajendran, S.; Popfinger, M. Evaluating the substitutability of short-haul air transport by high-speed rail using a simulation-based approach. Transp. Res. Interdiscip. Perspect. 2022, 15, 100632. [Google Scholar] [CrossRef]
- Xie, S.; Tian, H.; Zhou, H. Impact resistant metro vehicle design and vehicle crash research. J. Railw. Sci. Eng. 2008, 5, 65–70. [Google Scholar]
- Gao, G.; Shu, K.; Guan, W.; Yu, Y. Research on crashworthiness of energy absorption anti-creep device of train shrink tube. J. Railw. Sci. Eng. 2022, 19, 520–527. [Google Scholar]
- He, J.; Qin, R.; Chen, B. Research and optimization of crashworthiness of guided anti-climbing energy-absorbing structure. J. Railw. Sci. Eng. 2020, 17, 2901–2908. [Google Scholar]
- Yi, Z.; Yu, Y.; Gao, G.; Liu, D. Buckling mode and initial peak force control of thin-walled square tubes under axial impact. J. Railw. Sci. Eng. 2020, 17, 1841–1848. [Google Scholar]
- Gao, G.; Tian, H.; Yao, S. Impact resistant and energy-absorbing body. J. Transp. Eng. 2003, 3, 50–53. [Google Scholar]
- Melnik, R.; Koziak, S.; Seńko, J.; Dižo, J.; Caban, J. Evaluation of Dynamics of a Freight Wagon Model with Viscous Damping. Appl. Sci. 2024, 14, 10624. [Google Scholar] [CrossRef]
- Zhu, T.; Xiao, S.; Yang, C.; Yang, G.; Yang, B.; Wang, M. Summary of research on passive safety of rolling stock. J. Railw. 2017, 39, 22–32. [Google Scholar]
- Liao, W.; Wang, Q.; Xu, F.; Zhang, M.; Yang, J.; Fan, Y. Investigation on the Aeroelastic Characteristics of Ultra-Long Flexible Blades for an Offshore Wind Turbine in Extreme Environments. J. Mar. Sci. Eng. 2025, 13, 2076. [Google Scholar] [CrossRef]
- Liao, W.; Zhang, M.; Yang, J.; Fan, Y.; Du, T.; Deng, Y. A bidirectional tuned mass damper for flutter suppression in ultra-large offshore wind turbine flexible blades. J. Mar. Sci. Eng. 2025, 13, 1776. [Google Scholar] [CrossRef]
- Costescu, D.M.; Hadăr, A.; Pastramă, Ş.-D. A new solution for impact energy dissipation during collision of railway vehicles. Mater. Today Proc. 2020, 32, 72–77. [Google Scholar] [CrossRef]
- Jiang, S.; Yan, K.; Lu, S.; Zhang, F.Y.; Xu, P. Research on force design of energy absorption platform for high-speed train collision buffer. J. Railw. Sci. Eng. 2019, 16, 1384–1390. [Google Scholar]
- Lei, C.; Xiao, S.; Luo, S.; Zhang, Z. Research progress in crashworthiness of rail vehicles. J. Railw. 2013, 35, 31–40. [Google Scholar]
- Zhang, L.; Zhang, X.; Cui, J.; Feng, S. Simulation analysis of crashworthiness of metro head car body. J. Railw. 2012, 34, 22–27. [Google Scholar]
- Dai, P.; Li, H.; Wang, F.; Tian, X.; Wang, H.; Xu, X. Key technologies of China high-speed comprehensive inspection train: CIT450. Railw. Eng. Sci. 2025, 33, 414–440. [Google Scholar] [CrossRef]
- EN 15227:2020+A1:2024; Railway Applications—Crashworthiness Requirements for Rail Vehicles. European Committee for Standardization (CEN): Brussels, Belgium, 2024.
- Li, J.; Gao, G.; Dong, H. Crushing analysis and multi-objective optimization of a railway vehicle driver’s cab. Thin Walled Struct. 2016, 107, 554–563. [Google Scholar] [CrossRef]
- Wu, X.; Li, Y.; Cai, W.; Guo, K.; Zhu, L. Responses and energy absorption of sandwich panel with aluminium honeycomb core under ice wedge impact. Int. J. Impact Eng. 2022, 162, 104137. [Google Scholar] [CrossRef]
- Liu, J.-Y.; Liu, H.-T. Energy absorption characteristics and stability of novel bionic negative Poisson’s ratio honeycomb under oblique compression. Eng. Struct. 2022, 267, 114682. [Google Scholar] [CrossRef]
- Xie, S.; Wang, H.; Yang, C.; Zhou, H.; Feng, Z. Mechanical properties of combined structures of stacked multilayer Nomex® honeycombs. Thin Walled Struct. 2021, 151, 106729. [Google Scholar] [CrossRef]
- Jin, B.B.; Tian, L.M.; Hao, J.P.; Wang, H.Y.; Wang, Y. Axial compressive behavior of twining-bamboo-confined thin-walled steel tubular columns. J. Constr. Steel Res. 2022, 192, 107246. [Google Scholar] [CrossRef]
- Wysmulski, P.; Debski, H.; Falkowicz, K.; Rozylo, P. The influence of load eccentricity on the behavior of thin-walled compressed composite structures. Compos. Struct. 2019, 213, 98–107. [Google Scholar] [CrossRef]
- Xing, Y.; Yang, S.; Lu, S.; An, Y.; Zhao, E.; Zhai, J. Energy absorption and optimization of Bi-directional corrugated honeycomb aluminum. Compos. Part B Eng. 2021, 219, 108914. [Google Scholar] [CrossRef]

















| ρ (kg/m3) | E (MPa) | μ | σy (MPa) | Etan (MPa) | |
|---|---|---|---|---|---|
| Five-section frame structure | 7930 | 194,000 | 0.3 | 205 | 80 |
| PU foam | 50 | 30 | 0.3 | 10 | |
| Honeycomb aluminum | 2700 | 70,000 | 0.3 | 170 | 27 |
| Performance Indicators | FSF-F (PU Foam Core) | FSF-H (Aluminum Honeycomb Core) | FSF-H (10 mm Offset Load) |
|---|---|---|---|
| Energy Absorption Capacity (EA)/kJ | 15.0 | 20.0 | 21.8 |
| Total Structural Mass (m)/kg | 150.6 | 179.1 | 179.1 |
| Specific Energy Absorption (SEA)/(kJ/kg) | 0.10 | 0.11 | 0.12 |
| Average Crushing Force (Fm)/kN | 50.0 | 66.7 | 72.7 |
| Peak Force (Fp)/kN | 142.4 | 190.0 | 190.0 |
| Ratio of Peak Force to Average Force (Fp/Fm) | 2.85 | 2.85 | 2.61 |
| Energy Absorption Efficiency (η)/% | 35.1 | 35.1 | 38.3 |
Disclaimer/Publisher’s Note: The statements, opinions and data contained in all publications are solely those of the individual author(s) and contributor(s) and not of MDPI and/or the editor(s). MDPI and/or the editor(s) disclaim responsibility for any injury to people or property resulting from any ideas, methods, instructions or products referred to in the content. |
© 2026 by the authors. Licensee MDPI, Basel, Switzerland. This article is an open access article distributed under the terms and conditions of the Creative Commons Attribution (CC BY) license.
Share and Cite
Luo, C.; Zhang, F.; Liu, Z.; Sun, P.; Yu, W.; Zhang, M.; Liao, W. Investigation of Honeycomb Core-Filled Five-Stage Tubes as Anti-Climbing Energy Absorbers for Rail Vehicle Safety Under Axial and Oblique Loading. Processes 2026, 14, 521. https://doi.org/10.3390/pr14030521
Luo C, Zhang F, Liu Z, Sun P, Yu W, Zhang M, Liao W. Investigation of Honeycomb Core-Filled Five-Stage Tubes as Anti-Climbing Energy Absorbers for Rail Vehicle Safety Under Axial and Oblique Loading. Processes. 2026; 14(3):521. https://doi.org/10.3390/pr14030521
Chicago/Turabian StyleLuo, Changjie, Fengqiang Zhang, Zhaojing Liu, Peng Sun, Wenze Yu, Mingming Zhang, and Weiliang Liao. 2026. "Investigation of Honeycomb Core-Filled Five-Stage Tubes as Anti-Climbing Energy Absorbers for Rail Vehicle Safety Under Axial and Oblique Loading" Processes 14, no. 3: 521. https://doi.org/10.3390/pr14030521
APA StyleLuo, C., Zhang, F., Liu, Z., Sun, P., Yu, W., Zhang, M., & Liao, W. (2026). Investigation of Honeycomb Core-Filled Five-Stage Tubes as Anti-Climbing Energy Absorbers for Rail Vehicle Safety Under Axial and Oblique Loading. Processes, 14(3), 521. https://doi.org/10.3390/pr14030521

