Mechanisms and Mitigation of Viscous Fingering in Immiscible Displacement: Insights from Flow Channeling and Capillary Effects in Porous Media
Abstract
1. Introduction
2. Materials and Methods
2.1. Pore Network Modeling
2.2. Single-Phase Flow
2.3. Unsteady State Immiscible Two-Phase Displacement
2.4. Model Validation
3. Results and Discussion
3.1. The Relationship Between Flow Channeling and Viscous Fingering
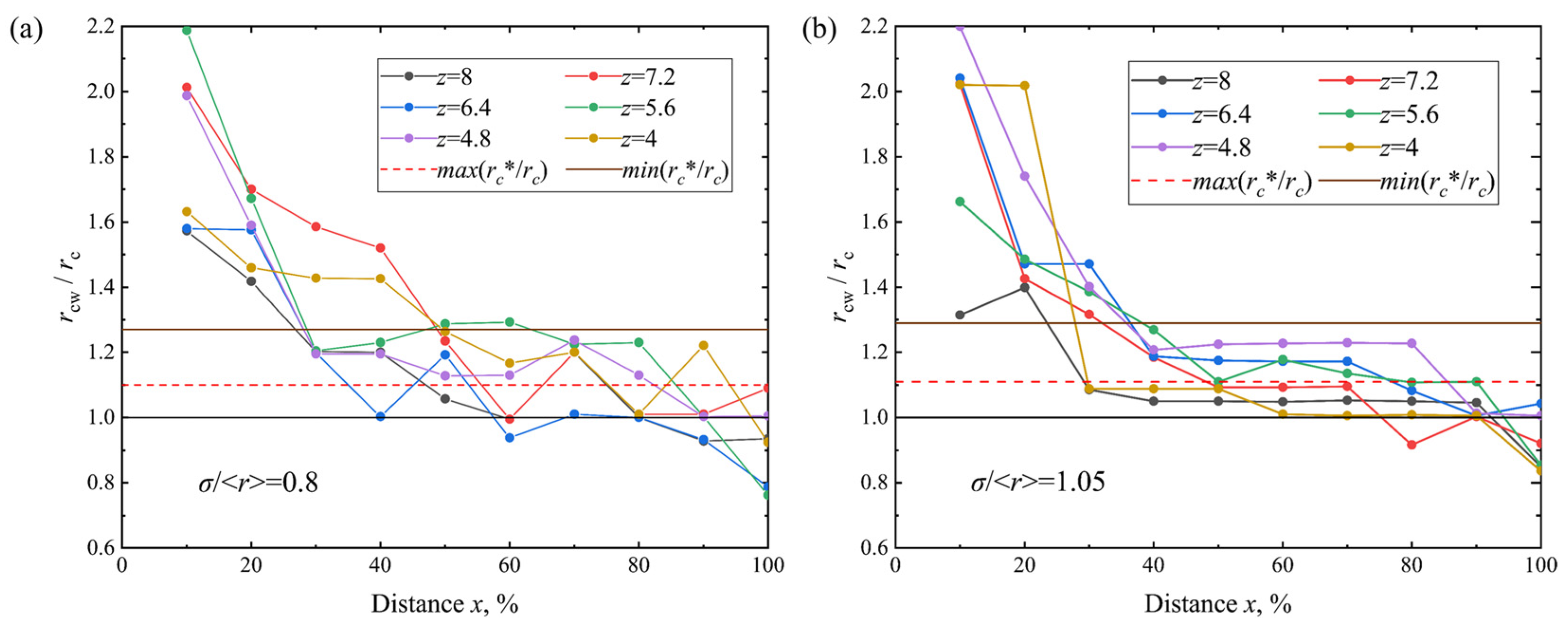
3.2. Theoretical Model for Suppression of Viscous Fingering
4. Conclusions
Author Contributions
Funding
Data Availability Statement
Acknowledgments
Conflicts of Interest
References
- Yang, X.; Li, X.; Kang, B.; Xu, B.; Wang, H.; Zhao, X.; Tang, Y. Quantifying the crossover from capillary fingering to viscous fingering in heterogeneous porous media. Energy Geosci. 2025, 6, 100362. [Google Scholar] [CrossRef]
- Blunt, M.; King, P. Scaling structure of viscous fingering. Phys. Rev. A 1988, 37, 3935. [Google Scholar] [CrossRef]
- Regaieg, M.; Moncorgé, A. Adaptive dynamic/quasi-static pore network model for efficient multiphase flow simulation. Comput. Geosci. 2017, 21, 795–806. [Google Scholar] [CrossRef]
- Huang, X.; Bandilla, K.W.; Celia, M.A. Multi-physics pore-network modeling of two-phase shale matrix flows. Transp. Porous Media 2016, 111, 123–141. [Google Scholar] [CrossRef]
- Holtzman, R.; Segre, E. Wettability stabilizes fluid invasion into porous media via nonlocal, cooperative pore filling. Phys. Rev. Lett. 2015, 115, 164501. [Google Scholar] [CrossRef]
- Thepsaskul, W.; Wongsapai, W.; Jaitiang, T.; Jaekhajad, P. Prospects of attaining Thailand’s carbon neutrality target through carbon capture and storage by public power utility. Sustainability 2025, 17, 276. [Google Scholar] [CrossRef]
- Zhao, L.; Zhao, Y.; Song, X.; Wang, Y.; Chen, Y.; Zhu, Z.; Geng, J. An experimental study of the elastic properties of the sandstone flooded with supercritical CO2: The influences of saturation, pressure and temperature. Geophys. J. Int. 2025, 241, 702–714. [Google Scholar] [CrossRef]
- Dias, E.O.; Alvarez-Lacalle, E.; Carvalho, M.S.; Miranda, J.A. Minimization of viscous fluid fingering: A variational scheme for optimal flow rates. Phys. Rev. Lett. 2012, 109, 144502. [Google Scholar] [CrossRef] [PubMed]
- Lenormand, R.; Touboul, E.; Zarcone, C. Numerical models and experiments on immiscible displacements in porous media. J. Fluid Mech. 1988, 189, 165–187. [Google Scholar] [CrossRef]
- Lan, T.; Hu, R.; Yang, Z.; Wu, D.S.; Chen, Y.F. Transitions of fluid invasion patterns in porous media. Geophys. Res. Lett. 2020, 47, e2020GL089682. [Google Scholar] [CrossRef]
- Xu, W.; Ok, J.T.; Xiao, F.; Neeves, K.B.; Yin, X. Effect of pore geometry and interfacial tension on water-oil displacement efficiency in oil-wet microfluidic porous media analogs. Phys. Fluids 2014, 26, 093102. [Google Scholar] [CrossRef]
- Yang, X.; Li, X.; Tang, Y.; Li, M.; Bernabé, Y.; Li, C.; Du, X. Study on non-Newtonian fluid displacement patterns based on the pore network model. Chin. J. Geophys. 2023, 66, 5157–5172. [Google Scholar] [CrossRef]
- Yang, J.; Bondino, I.; Regaieg, M.; Moncorgé, A. Pore to pore validation of pore network modelling against micromodel experiment results. Comput. Geosci. 2017, 21, 849–862. [Google Scholar] [CrossRef]
- Bernabé, Y.; Li, M.; Maineult, A. Permeability and pore connectivity: A new model based on network simulations. J. Geophys. Res. Solid Earth 2010, 115, B10203. [Google Scholar] [CrossRef]
- Talon, L.; Hennig, A.A.; Hansen, A.; Rosso, A. Influence of the imposed flow rate boundary condition on the flow of Bingham fluid in porous media. Phys. Rev. Fluids 2024, 9, 063302. [Google Scholar] [CrossRef]
- Tang, Y.B.; Li, M.; Bernabé, Y.; Zhao, J.Z. Viscous fingering and preferential flow paths in heterogeneous porous media. J. Geophys. Res. Solid Earth 2020, 125, e2019JB019306. [Google Scholar] [CrossRef]
- Razmavar, I.; Alami, F.M.; Rasaei, M.R.; Nadafpour, M. Microscopic fractal-dimension study of rate and viscosity changes on displacement pattern by use of 2D glass micromodel. SPE Reserv. Eval. Eng. 2017, 20, 8–18. [Google Scholar] [CrossRef]
- Al-Housseiny, T.T.; Tsai, P.A.; Stone, H.A. Control of interfacial instabilities using flow geometry. Nat. Phys. 2012, 8, 747–750. [Google Scholar] [CrossRef]
- Liu, H.; Zhang, Y.; Valocchi, A.J. Lattice Boltzmann simulation of immiscible fluid displacement in porous media: Homogeneous versus heterogeneous pore network. Phys. Fluids 2015, 27, 052103. [Google Scholar] [CrossRef]
- Beteta, A.; Sorbie, K.S.; McIver, K. Experimental observations and modeling of the effect of wettability on immiscible viscous fingers at the Darcy scale. Phys. Fluids 2024, 36, 044111. [Google Scholar] [CrossRef]
- Sahimi, M. Flow and Transport in Porous Media and Fractured Rock: From Classical Methods to Modern Approaches; John Wiley & Sons: Hoboken, NJ, USA, 2011. [Google Scholar] [CrossRef]
- Li, M.; Tang, Y.; Bernabé, Y.; Zhao, J.Z.; Li, X.F.; Bai, X.Y.; Zhang, L.H. Pore connectivity, electrical conductivity, and partial water saturation: Network simulations. J. Geophys. Res. Solid Earth 2015, 120, 4055–4068. [Google Scholar] [CrossRef]
- Chen, M.; Dai, J.; Liu, X.; Kuang, Y.; Wang, Z.; Gou, S.; Li, M. Effect of displacement rates on fluid distributions and dynamics during water flooding in tight oil sandstone cores from nuclear magnetic resonance (NMR). J. Pet. Sci. Eng. 2020, 184, 106588. [Google Scholar] [CrossRef]
- Sogbedji, J.M.; van Es, H.M.; Melkonian, J.J.; Schindelbeck, R.R. Evaluation of the PNM model for simulating drain flow nitrate-N concentration under manure-fertilized maize. Plant Soil 2006, 282, 343–360. [Google Scholar] [CrossRef][Green Version]
- Adabag, E.; Atal, M.; Gerard, W.; Plancher, B. Mpcgpu: Real-time nonlinear model predictive control through preconditioned conjugate gradient on the gpu. In Proceedings of the 2024 IEEE International Conference on Robotics and Automation (ICRA), Yokohama, Japan, 13–17 May 2024; pp. 9787–9794. [Google Scholar] [CrossRef]
- Zhao, B.; MacMinn, C.W.; Juanes, R. Wettability control on multiphase flow in patterned microfluidics. Proc. Natl. Acad. Sci. USA 2016, 113, 10251–10256. [Google Scholar] [CrossRef]
- Sheng, Q.; Thompson, K. A unified pore-network algorithm for dynamic two-phase flow. Adv. Water Resour. 2016, 95, 92–108. [Google Scholar] [CrossRef]
- Aker, E.; Måløy, K.J.; Hansen, A. Simulating temporal evolution of pressure in two-phase flow in porous media. Phys. Rev. E 1998, 58, 2217. [Google Scholar] [CrossRef][Green Version]
- Fujii, A.; Tanaka, T.; Nakajima, K. Light Weight Coarse Grid Aggregation for Smoothed Aggregation Algebraic Multigrid Solver. IEEE Access 2024, 12, 57345–57355. [Google Scholar] [CrossRef]
- Zheng, Z.; Kim, H.; Stone, H.A. Controlling viscous fingering using time-dependent strategies. Phys. Rev. Lett. 2015, 115, 174501. [Google Scholar] [CrossRef]
- Bernabé, Y.; Bruderer, C. Effect of the variance of pore size distribution on the transport properties of heterogeneous networks. J. Geophys. Res. Solid Earth 1998, 103, 513–525. [Google Scholar] [CrossRef]
- Le Goc, R.; De Dreuzy, J.R.; Davy, P. Statistical characteristics of flow as indicators of channeling in heterogeneous porous and fractured media. Adv. Water Resour. 2010, 33, 257–269. [Google Scholar] [CrossRef]
- Martins, E.Q.; Pascoal, M.M. A new implementation of Yen’s ranking loopless paths algorithm. Q. J. Belg. Fr. Ital. Oper. Res. Soc. 2003, 1, 121–133. [Google Scholar] [CrossRef]
- Amirsardari, M.; Afsari, K. Pore-to-field scale modeling of residual gas trapping in tight carbonate underground gas reservoirs. Energy 2024, 298, 131305. [Google Scholar] [CrossRef]
- Yang, Z.; Méheust, Y.; Neuweiler, I.; Hu, R.; Niemi, A.; Chen, Y.F. Modeling immiscible two-phase flow in rough fractures from capillary to viscous fingering. Water Resour. Res. 2019, 55, 2033–2056. [Google Scholar] [CrossRef]
- Basirat, F.; Yang, Z.; Niemi, A. Pore-scale modeling of wettability effects on CO2–brine displacement during geological storage. Adv. Water Resour. 2017, 109, 181–195. [Google Scholar] [CrossRef]
- Tartakovsky, A.M.; Meakin, P. Simulation of unsaturated flow in complex fractures using smoothed particle hydrodynamics. Vadose Zone J. 2005, 4, 848–855. [Google Scholar] [CrossRef]
- Dou, Z.; Zhou, Z.; Sleep, B.E. Influence of wettability on interfacial area during immiscible liquid invasion into a 3D self-affine rough fracture: Lattice Boltzmann simulations. Adv. Water Resour. 2013, 61, 1–11. [Google Scholar] [CrossRef]
- Sinha, S.; Gjennestad, M.A.; Vassvik, M.; Hansen, A. Fluid meniscus algorithms for dynamic pore-network modeling of immiscible two-phase flow in porous media. Front. Phys. 2021, 8, 548497. [Google Scholar] [CrossRef]
- Garg, A.; Fontana, J.V. Capillary flow dynamics of power-law fluids in root-like networks: Effects of gravity, rheology, and structural complexity. ChemRxiv 2025. [Google Scholar] [CrossRef]
- Garg, A.; Akkinepally, B.; Sarkar, J.; Pattanayek, S.K. Emerging perspectives in non-Newtonian fluid dynamics: Research gaps, evolving methods, and conceptual limitations. Phys. Fluids 2025, 37, 071401. [Google Scholar] [CrossRef]





| σ/<r> | z | k/k0 | rc/rH | rc*/rH |
|---|---|---|---|---|
| 0.8 | 8 | 0.4328 | 0.9374 | 1.08 |
| 0.8 | 7.2 | 0.32 | 0.7485 | 1.01 |
| 0.8 | 6.4 | 0.2216 | 0.8846 | 0.9688 |
| 0.8 | 5.6 | 0.1274 | 0.6958 | 0.8525 |
| 0.8 | 4.8 | 0.067 | 0.5959 | 0.7512 |
| 0.8 | 4 | 0.0295 | 0.5249 | 0.6637 |
| 1.05 | 8 | 0.1742 | 0.921 | 0.9958 |
| 1.05 | 7.2 | 0.1099 | 0.7176 | 0.825 |
| 1.05 | 6.4 | 0.0672 | 0.6565 | 0.7562 |
| 1.05 | 5.6 | 0.0353 | 0.5572 | 0.6475 |
| 1.05 | 4.8 | 0.0167 | 0.4361 | 0.56 |
| 1.05 | 4 | 0.0051 | 0.4366 | 0.4812 |
| M | σ/<r> | z | Simulated Cac | Swmax | rc/rH | C0-1 |
|---|---|---|---|---|---|---|
| 100 | 0.8 | 8 | 2.88 × 10−4 | 0.185 | 0.937409 | 1.884456 |
| 100 | 0.8 | 7.2 | 2.16 × 10−4 | 0.194 | 0.748536 | 1.715023 |
| 100 | 0.8 | 6.4 | 1.59 × 10−4 | 0.193 | 0.884586 | 1.915587 |
| 100 | 0.8 | 5.6 | 1.11 × 10−4 | 0.195 | 0.69584 | 1.826729 |
| 100 | 0.8 | 4.8 | 7.23 × 10−5 | 0.239 | 0.595928 | 1.862874 |
| 100 | 0.8 | 4 | 4.24 × 10−5 | 0.245 | 0.524854 | 1.916 |
| 100 | 1.05 | 8 | 1.01 × 10−4 | 0.197 | 0.921006 | 1.79465 |
| 100 | 1.05 | 7.2 | 9.57 × 10−5 | 0.201 | 0.717649 | 1.875638 |
| 100 | 1.05 | 6.4 | 7.21 × 10−5 | 0.253 | 0.656538 | 1.951672 |
| 100 | 1.05 | 5.6 | 3.60 × 10−5 | 0.274 | 0.557231 | 1.877533 |
| 100 | 1.05 | 4.8 | 2.16 × 10−5 | 0.279 | 0.436147 | 1.755594 |
| 100 | 1.05 | 4 | 9.56 × 10−6 | 0.341 | 0.436584 | 1.98653 |
| 50 | 0.8 | 8 | 5.05 × 10−4 | 0.161 | 0.937409 | 1.917423 |
| 50 | 0.8 | 7.2 | 3.60 × 10−4 | 0.176 | 0.748536 | 1.804259 |
| 50 | 0.8 | 6.4 | 2.55 × 10−4 | 0.195 | 0.884586 | 1.906172 |
| 50 | 0.8 | 5.6 | 1.55 × 10−4 | 0.202 | 0.69584 | 1.721324 |
| 50 | 0.8 | 4.8 | 1.05 × 10−4 | 0.226 | 0.595928 | 1.764404 |
| 50 | 0.8 | 4 | 7.44 × 10−5 | 0.267 | 0.524854 | 1.990605 |
| 50 | 1.05 | 8 | 2.02 × 10−4 | 0.229 | 0.921006 | 1.968591 |
| 50 | 1.05 | 7.2 | 1.36 × 10−4 | 0.275 | 0.717649 | 1.752565 |
| 50 | 1.05 | 6.4 | 1.15 × 10−4 | 0.234 | 0.656538 | 1.924008 |
| 50 | 1.05 | 5.6 | 1.07 × 10−4 | 0.229 | 0.557231 | 2.25443 |
| 50 | 1.05 | 4.8 | 4.25 × 10−5 | 0.285 | 0.436147 | 1.848304 |
| 50 | 1.05 | 4 | 1.19 × 10−5 | 0.375 | 0.436584 | 1.70544 |
Disclaimer/Publisher’s Note: The statements, opinions and data contained in all publications are solely those of the individual author(s) and contributor(s) and not of MDPI and/or the editor(s). MDPI and/or the editor(s) disclaim responsibility for any injury to people or property resulting from any ideas, methods, instructions or products referred to in the content. |
© 2026 by the authors. Licensee MDPI, Basel, Switzerland. This article is an open access article distributed under the terms and conditions of the Creative Commons Attribution (CC BY) license.
Share and Cite
Yang, X.; Kang, B.; Deng, Q.; Mi, Z.; Duan, C.; Wang, W.; Tang, Y. Mechanisms and Mitigation of Viscous Fingering in Immiscible Displacement: Insights from Flow Channeling and Capillary Effects in Porous Media. Processes 2026, 14, 348. https://doi.org/10.3390/pr14020348
Yang X, Kang B, Deng Q, Mi Z, Duan C, Wang W, Tang Y. Mechanisms and Mitigation of Viscous Fingering in Immiscible Displacement: Insights from Flow Channeling and Capillary Effects in Porous Media. Processes. 2026; 14(2):348. https://doi.org/10.3390/pr14020348
Chicago/Turabian StyleYang, Xin, Bo Kang, Qi Deng, Zhongrong Mi, Ce Duan, Weiguang Wang, and Yanbing Tang. 2026. "Mechanisms and Mitigation of Viscous Fingering in Immiscible Displacement: Insights from Flow Channeling and Capillary Effects in Porous Media" Processes 14, no. 2: 348. https://doi.org/10.3390/pr14020348
APA StyleYang, X., Kang, B., Deng, Q., Mi, Z., Duan, C., Wang, W., & Tang, Y. (2026). Mechanisms and Mitigation of Viscous Fingering in Immiscible Displacement: Insights from Flow Channeling and Capillary Effects in Porous Media. Processes, 14(2), 348. https://doi.org/10.3390/pr14020348

