Next Article in Journal
Recent Advances in Hybrid Non-Conventional Assisted Ultra-High-Precision Single-Point Diamond Turning
Previous Article in Journal
Drying Technologies and Pretreatment Techniques for Medicinal and Edible Fruits and Vegetables: Mechanisms, Advantages, Limitations, and Impact on Pharmacological Compounds
Previous Article in Special Issue
Hybrid AC/DC Transmission Grid Planning Based on Improved Multi-Step Backtracking Reinforcement Learning
 
 
Font Type:
Arial Georgia Verdana
Font Size:
Aa Aa Aa
Line Spacing:
Column Width:
Background:
Article

Edge-Side Electricity-Carbon Coordinated Hybrid Trading Mechanism for Microgrid Cluster Flexibility

by
Hualei Zou
1,
Qiang Xing
1,*,
Bitao Xiao
2,
Xilong Xing
2,
Andrew Yang Wu
3 and
Jiaqi Liu
1
1
College of Automation, Nanjing University of Posts and Telecommunications, Nanjing 210023, China
2
Guodian Nanjing Automation Co., Nanjing 210032, China
3
School of Professional Education and Executive Development, Hong Kong Polytechnic University, Hong Kong, China
*
Author to whom correspondence should be addressed.
Processes 2026, 14(1), 83; https://doi.org/10.3390/pr14010083
Submission received: 4 December 2025 / Revised: 16 December 2025 / Accepted: 23 December 2025 / Published: 25 December 2025

Abstract

High penetration of renewable energy sources (RES) in power systems introduces substantial source-load uncertainty and flexibility challenges, leading to misalignments between economic optimization and environmental sustainability. An edge-side electricity-carbon coordinated hybrid trading mechanism was proposed to enhance flexibility in microgrid clusters. A three-layer time-varying carbon emission factor (CEF) model is developed to quantify negative emissions as tradable Chinese Certified Emission Reductions (CCERs). An endogenous economic equilibrium point enables dynamic switching between Incentive-Based Demand Response during high-carbon periods and Price-Based Demand Response during low-carbon periods, based on marginal profit comparisons. A Wasserstein distance-based distributionally robust CVaR (WDR-CVaR) strategy constructs a data-driven ambiguity set to optimize decisions under worst-case distributional shifts in edge-side data. Simulations on a modified IEEE 33-bus system show that the mechanism increases the Multi-Energy Aggregator’s (MEA) expected profit by 12.3%, reduces carbon emissions by 17.6%, with WDR-CVaR demonstrating superior out-of-sample performance compared to sample average approximation methods. The approach internalizes environmental values through carbon-electricity coupling and edge intelligence, providing a resilient framework for low-carbon distribution network operations.

1. Introduction

The global transition toward carbon neutrality is significantly reshaping power systems, characterized by the exponential growth of renewable energy sources (RES) such as wind and solar power [1]. While this transition is essential for meeting strategic climate goals, the inherent volatility and intermittency of RES pose severe challenges to the real-time power balance [2]. In this context, Multi-Energy Aggregators (MEAs) have emerged as critical hubs in modern distribution networks. By leveraging the complementary characteristics of electricity, heat, and gas, MEAs can aggregate distributed flexibility resources to mitigate source-load fluctuations [3,4]. However, these complex systems bring significant computational burdens and privacy risks [5], the industry is increasingly adopting an edge-cloud collaborative architecture [6]. In this framework, the MEA acts as an intelligent edge node. It autonomously processes massive source-load data to optimize local dispatch while responding to macro signals from the cloud-level grid and carbon markets [7].
Despite the structural advantages of edge-cloud MEAs, existing operational mechanisms face critical limitations in addressing two key challenges: (1) The misalignment of economic and environmental incentives. (2) Data limitations hindering the autonomous operation of edge-side MEAs.
The integration of Demand Response (DR) has been extensively established in the literature as a pivotal strategy for balancing supply and demand dynamics [8,9]. Existing scholarship predominantly characterizes DR mechanisms into Price-Based (PBDR) and Incentive-Based (IBDR) categories [10,11]. Both are traditionally designed to provide upward flexibility—specifically, incentivizing load reduction or shifting during peak pricing intervals to ensure system stability [12]. However, a critical gap emerges in the academic discourse regarding the management of downward flexibility amidst the high RES penetration. The current frameworks frequently fail to account for periods of RES overgeneration [13]. In these scenarios, the system effectively enters a negative-carbon state due to the marginal displacement of fossil-fuel generation. Traditional arbitrage models, which prioritize peak shaving, lack the endogenous economic signals necessary to stimulate consumption [14]. Consequently, this leads to a systemic misalignment where low-carbon signals are not converted into actionable economic incentives, resulting in the curtailment of clean energy and a divergence between economic optimization and environmental sustainability goals.
Regarding the operational architecture of Multi-Energy Aggregators (MEAs), the paradigm shift towards edge-cloud collaboration addresses improvements in data privacy and computational latency [6,15]. However, it simultaneously introduces significant challenges in decision-making under uncertainty. Centralized optimization relies on extensive historical datasets to train sophisticated deep learning models [16]. In contrast, edge-side nodes are fundamentally constrained by small sample environments and limited computational resources [7,17]. An analysis of existing methodologies reveals that traditional Stochastic Programming (SP) and Sample Average Approximation (SAA) approaches are often ill-suited for this context [18,19]. These methods typically assume that future real-time probability distributions will mirror historical empirical distributions. In the volatile context of edge-side microgrids—subject to unpredictable climate variations and fluctuating user behaviors—this assumption is frequently violated by distributional shifts [20]. Applying rigid empirical models to non-stationary edge environments exposes MEAs to the optimizer’s curse. This occurs when solutions that appear optimal in-sample degrade significantly out-of-sample. Therefore, there is a need for data-driven, distributionally robust optimization frameworks.
To bridge these gaps, a risk-managed Edge-Side Electricity-Carbon Coordinated Hybrid Trading Mechanism is developed. It achieves two core objectives: (1) constructing dual carbon identities to internalize the value of negative carbon emissions, enabling a transition from passive compliance to active profitability; and (2) utilizing distributionally robust optimization to ensure decision safety under data ambiguity.
The main contributions are as follows:
  • An endogenous equilibrium-based mode switching mechanism is proposed. Unlike traditional fixed-threshold approaches, this mechanism dynamically determines switching points based on real-time marginal profit comparisons. This enables intelligent transitions between IBDR for peak shaving and PBDR for green energy accommodation, effectively resolving the conflict between economic and low-carbon objectives.
  • A three-layer Carbon Emission Factor (CEF) model is constructed considering negative carbon mapping. By quantifying negative emission characteristics as tradable Chinese Certified Emission Reductions (CCERs), this model monetizes environmental value. It creates a closed-loop incentive where environmental dividends are transmitted to users as price signals, promoting the consumption of surplus renewable energy.
  • A Wasserstein Distance-based Distributionally Robust CVaR (WDR-CVaR) solution strategy is introduced. To address edge-side data uncertainty, a data-driven ambiguity set is constructed to cover potential distributional shifts. This strategy optimizes decisions under the worst-case distribution, significantly enhancing the system’s immunity to prediction errors compared to traditional SAA methods.
The remainder of this paper is organized as follows: Section 2 details the proposed trading mechanism and framework; Section 3 constructs the bilevel game model; Section 4 elaborates on the WDR-CVaR solution strategy; Section 5 presents case simulations; and Section 6 concludes the study.

2. Electricity-Carbon Collaborative Hybrid Trading Mechanism

Building on the preceding analysis, the framework and principles of the electricity-carbon collaborative mechanism are detailed below.

2.1. Market Framework and MEA’s Flexibility Hub Positioning

The proposed framework employs a hierarchical edge-cloud architecture to coordinate electricity and carbon trading (Figure 1). The cloud layer, comprising the Carbon Trading Center and Electricity Wholesale Market, manages macro-regulation by issuing regional carbon allowance prices and benchmark Time-of-Use (TOU) tariffs. At the edge layer, the Multi-Energy Aggregator (MEA) operates as the central intelligent node for the community microgrid cluster. By processing source-load data locally via the embedded WDR-CVaR algorithm, the MEA minimizes data uplink latency and preserves user privacy, determining dispatch strategies autonomously while adhering to cloud-level signals.
Within this framework, the MEA executes four critical functions:
Flexibility Aggregation: The MEA aggregates distributed industrial, commercial, and residential resources. It utilizes the Energy Hub’s (EH) multi-carrier conversion capabilities (e.g., gas-electricity complementarity) to convert rigid user demands into flexible resources, thereby providing peak-shaving and valley-filling services.
Dual Carbon Identity Management: The framework assigns dynamic dual identities to the MEA based on the system’s net emission state:
Compliance Obligor: During positive net emission periods, the MEA purchases carbon allowances and passes compliance costs to users to suppress high-carbon consumption.
Credit Supplier: During negative-carbon periods, the MEA certifies negative emissions as CCERs, converting environmental value into economic incentives for users.
Uncertainty Mitigation: The MEA functions as an information buffer against source-load volatility. It transforms stochastic physical fluctuations into robust stable time-varying CEFs, preventing frequent mode-switching oscillations caused by transient prediction errors.
Endogenous Equilibrium Decision: Rather than relying on static thresholds, the MEA dynamically determines operation modes based on an endogenous economic equilibrium point. This mechanism maximizes expected profit by balancing the avoidance of high-carbon penalties against the capture of low-carbon dividends.

2.2. Time-Varying CEF Model Considering Uncertainty and Negative Emissions

In low-carbon integrated energy systems, the time-varying CEF is the core indicator for guiding flexibility. Traditional CEF calculations often ignore user-side distributed RES contributions and prediction biases [21,22]. To accurately reflect the system’s environmental value and risk profile, a three-layer model is constructed to calculate the ADCEF. The ADCEF serves as the final effective carbon intensity signal, integrating physical emission tracking, negative carbon monetization, and uncertainty risks. The model comprises the following three layers:
1. Base Layer: This layer calculates the physical carbon intensity of the microgrid’s energy mix. It incorporates emissions from the external grid and natural gas inputs while deducting the zero-carbon contributions from local RES:
e t = s S e s , t grid   q s , t in   + e s fixed   Q s , t gas   s S η s P RES , s , t s S q s , t total  
where s S = { e , r , g } represents the set of energy types; e s , t grid   is the marginal CEF of the external grid in period t; q s , t in   is the energy input from the external grid; e s fixed   is the fixed emission factor for natural gas; Q s , t gas   is the total natural gas consumption in the system; P RES , s , t is the actual output of local RES; η s is the conversion coefficient for RES carbon reduction; q s , t total   is the total load served by the system.
2. Extension Layer: This layer addresses periods where renewable generation exceeds load. In traditional models, this surplus often leads to curtailment. Here, the CEF is extended into the negative domain to reflect the green value of replacing fossil fuels. When the Base Layer CEF becomes negative, the system maps these negative emissions to CCERs, converting environmental benefits into tradable economic credits:
e t ext = max e t , e max
where e max is the set lower bound for negative emission factors to prevent numerical anomalies. When e t ext < 0 , the system is in a negative-carbon state, and the generated negative emissions are mapped to the CCER. The CCER credit is calculated as C C E R t = e t ext q s , t total κ CCER , where κ CCER [ 0 , 1 ] is the certification conversion efficiency coefficient, reflecting certification losses for voluntary reductions.
3. Uncertainty Layer: This layer ensures the ADCEF is robust against volatility. By introducing a probability space ( Ω , F , P ) , the expected value of the extended CEF is calculated under various fluctuation scenarios. This acts as an information buffer, smoothing out transient prediction errors to prevent frequent, unstable mode switching. The final ADCEF is expressed as:
E e t final = Ω e t ext ( ω ) p ( ω ) d ω
where ω Ω represents a random scenario including RES output and load fluctuations; p ( ω ) is the probability density function of the scenario; e t ext ( ω ) is the extended CEF calculated under scenario. This expected value embeds the system’s stable handling of prediction errors.
Note that true probability distributions are often difficult to accurately obtain in actual operations. Therefore, Section 4 constructs a distributionally robust ambiguity set based on historical data, approximating this theoretical value with the worst-case distribution expectation to enhance decision reliability under uncertainty.
The diagram illustrates the causal link where high penetration RES output pushes the CEF into negative values (Extension Layer) in Figure 2, triggering CCER certification. This negative carbon value is then risk-adjusted (Uncertainty Layer) to form the ADCEF, which is transmitted to users as a price discount signal.

2.3. Hybrid Trading Mode Based on Endogenous Economic Equilibrium Point

To resolve the disconnection between economic and environmental objectives, a dynamic switching mechanism based on the endogenous economic equilibrium point is established. This mechanism switches between two modes based on the relationship between E [ e t final ] and the calculated equilibrium threshold λ CEF balance , activating different dimensions of flexibility.
-
Mode 1: High-Carbon IBDR
When the system is in a high-carbon emission period ( E [ e t ] λ CEF balance ), typically corresponding to insufficient RES output or high marginal costs for coal-fired power, the MEA’s strategy focuses on peak shaving and arbitrage. Using compensation prices as decision variables, the MEA incentivizes users to reduce or shift loads ( Δ q < 0 ). The MEA treats this reduced load as virtual flexibility resources, reducing its own energy purchase and carbon compliance costs on one hand, and performing multi-energy conversion arbitrage through the internal EH on the other, obtaining grid-side peak regulation rewards.
-
Mode 2: Low-Carbon PBDR
When the system is in a low-carbon or even negative-carbon period ( E [ e t ] < λ CEF balance ), this typically corresponds to high distributed PV output or clean energy surplus moments. The MEA’s strategic focus shifts to green accommodation and carbon asset appreciation. The MEA initiates dynamic pricing mechanisms, deeply linking energy retail prices with expected CEF. When the E [ e t ] is low but positive, the MEA provides moderate discounts to guide users to increase energy consumption. Especially in a negative-carbon state, the MEA transforms additional revenue from selling the CCERs into substantial electricity price subsidies via negative terms in the price formula, creating attractive low-price signals to incentivize users to maximize accommodation of local green energy, achieving low-carbon win-win on both source and load sides.
-
Dynamic Pricing and Equilibrium Point Logic
The switching threshold for system operation modes is not artificially set but is the inevitable result of the MEA balancing opportunity benefits from high-carbon reductions with sales and the CCER revenues from low-carbon increases in pursuit of expected profit maximization (see Section 3.3 for derivation).
The effective retail price faced by users transmits this electricity-carbon coupled signal in real time:
λ s , t retail   = I high   ( t ) p s , t base   + I low   ( t ) p s , t base   γ s E e t final  
where p s , t base   is the benchmark TOU price for energy s in period t; γ s is the carbon price sensitivity coefficient (yuan/kgCO2) used to adjust the influence of carbon signals on energy prices. I high   ( t ) and I low   ( t ) are mutually exclusive mode indicator functions, determined by:
I high   ( t ) = 1 ,   if   E e t final   λ CEF   balance   0 ,   otherwise   ,   I low   ( t ) = 1 I high   ( t )
This formula indicates that when the expected carbon intensity exceeds the equilibrium point, the system locks the benchmark price and activates high-carbon compensation (see Section 3.1); otherwise, it activates dynamic discount pricing linked to carbon intensity. The proposed mechanism establishes a closed-loop framework characterized by the interdependence of price formation (Equation (4)) and mode selection (Equation (5)).

3. Mathematical Modeling of the Electricity-Carbon Coupled Hybrid Trading Mechanism

Building on the framework outlined in Section 2, this section formalizes the electricity-carbon coupled hybrid trading mechanism as a bilevel stochastic optimization model based on Stackelberg game theory. The upper level models the MEA as the leader, aiming to maximize expected total profits under source-load uncertainties; the lower level represents multi-energy users (prosumers) as followers, adjusting energy use behaviors based on effective price signals released by the MEA.

3.1. Upper-Level Model: MEA Expected Profit Maximization Considering Uncertainty

The core of MEA decision-making lies in handling the randomness of renewable energy output and user base load. A probability space ( Ω , F , P ) is introduced where each scenario represents an uncertainty realization containing RES output and base load values. The MEA’s objective is to maximize its expected total profit within the scheduling period, as expressed:
max Ψ E [ C MEA ] = t T E [ Π sales ( t ) ] + E [ Π grid ( t ) ] + E [ Π arb ( t ) ] E [ C purchase ( t ) ] C comp ( t ) E [ C carbon ( t ) ]
where the decision vector includes compensation prices λ t comp in high-carbon mode and carbon price sensitivity coefficients γ s in low-carbon mode. The specific modeling of each term is as follows:
(1) Expected Sales Revenue: The MEA sells multiple energy types including electricity, heat, and gas to users. The sales price is a dynamic variable determined by the system mode (high/low carbon), as follows:
E [ Π sales ( t ) ] = s S λ s , t retail E i I ( q i , s , t base + Δ q i , s , t )
Here, the effective retail price embodies the mode switching logic based on the expected equilibrium point (as detailed in Section 2.3):
λ s , t retail   = I high   ( t ) p s , t base   + I low   ( t ) p s , t base   γ s E e t final  
where I high   ( t ) and I low   ( t ) are indicator functions based on the expected equilibrium point.
(2) Expected Energy Purchase Cost: The MEA needs to purchase energy from the wholesale market to meet user demand and EH conversion requirements, as expressed:
E [ C buy ( t ) ] = s S p s , t wh E max 0 , i I ( q i , s , t base + Δ q i , s , t ) Q s , t EH ( ω )
where Q s , t EH ( ω ) is the self-produced/converted energy from the EH in scenario w.
(3) Expected Carbon Trading Cost/Revenue: Based on the carbon emission calculation including the CCER mechanism defined in Section 2.2, the MEA has a dual identity in the carbon market. The expected carbon cost function is a piecewise linear function, with the first term representing compliance costs and the second term representing carbon asset revenue, as shown:
E C carbon   ( t ) = p c buy   E E net   ( t , ω ) + + p c sell   E E net   ( t , ω )
Net carbon emissions are defined as:
E net   ( t , ω ) = e t grid   P net   grid   ( t , ω ) + e gas   Q gas   total   ( t )
In the above, e t grid   is the real-time CEF of the main grid in period t (kgCO2/kWh), which is the carbon price for MEA power exchanges with the external grid; e gas   is the fixed CEF for natural gas, treated as a constant due to its stable composition [23].
(4) Ancillary Services and Arbitrage Revenue: This revenue module is only activated when the system is determined to be in high-carbon mode and users execute reduction response. The expected grid ancillary service revenue and expected flexibility resource arbitrage revenue are expressed in Equations (12) and (13), respectively.
St is the single-period subsidy cost. Total subsidies should be less than or equal to the total carbon emission reduction benefits, that is:
E Π grid   ( t ) = I high   ( t ) λ grid   E i I max 0 , Δ q i ,   elec   , t
E Π arb ( t ) = I high ( t ) s S ρ s , t arb E max 0 , i I Δ q i , s , t
when E [ e t ] λ CEF balance , I high ( t ) = 1 , otherwise it is 0. λ grid is the unit ancillary service price paid by the grid operator (yuan/kWh), it is typically higher than ordinary sales prices. Δ q i ,   elec   , t is the users’ power load response in period t (random variable). ρ s , t arb is the marginal arbitrage value coefficient.
(5) User Compensation Cost: The compensation paid by the MEA to incentivize user load reduction is expressed as:
C comp   ( t ) = I high   ( t ) λ t comp   E i I max 0 , Δ q i ,   elec   , t

3.2. Lower-Level Model: User Utility Maximization Based on Effective Price Signals

Lower-level users are modeled as rational price takers, with the objective of maximizing net utility. Notably, users respond to effective retail prices transmitted through the MEA. The lower-level objective function is expressed as:
max Δ q i , t U i ( t ) = R i comp   ( t ) C i energy   ( t ) C i discomfort   ( t )
comprising three terms: low-carbon response compensation revenue, energy cost with carbon signal, and discomfort cost with cross-elasticity.
R i comp   ( t ) = I high   ( t ) λ t comp   max 0 , Δ q i ,   elec   , t
Here λ t comp   is the compensation price provided by the MEA in high-carbon periods, max 0 , Δ q i ,   elec   , t indicating that users receive compensation benefits only when reducing loads ( Δ q < 0 ).
C i energy   ( t ) = s S λ s , t retail   q i , s , t base   + Δ q i , s , t
When the system is in deep negative-carbon state ( E [ e t ]   0 ), λ s , t retail   decrease. This price dividend not only reduces user costs but also constitutes a strong incentive to increase loads ( Δ q > 0 ), where λ s , t retail   is the effective retail price released by the MEA (see Equation (8)). In lower-level optimization, users treat it as a given constant parameter for response.
The objective function adopts a quadratic discomfort cost model. This formulation is widely established in empirical demand response studies to represent the increasing marginal disutility users experience as they deviate further from their preferred consumption baseline [24]. The cross-elasticity matrix captures the coupling between energy carriers; specifically, the off-diagonal elements quantify the substitution effect between electricity and natural gas:
C i dis   ( t ) = 1 2 Δ q i , t T K Δ q i , t + α T Δ q i , t
where off-diagonal elements of K reflect substitution ( k s m < 0 ) or complementarity ( k s m > 0 ) relationships between energies s and m. Δ q s , i , t < 0 indicates load reduction; Δ q s , i , t > 0 indicates load increase. The coefficients in the discomfort function are calibrated inversely to the user’s price elasticity of demand, ensuring that users with lower sensitivity incur higher discomfort costs for the same adjustment. The maximum flexible load limit Δqmax is strictly constrained by the physical power ratings of the user’s flexible equipment and safety margins, ensuring that the modeled response capability does not exceed the hardware’s actual capacity.
Each user has a maximum flexible load adjustment limit ± Δ L s , i , max . In actual operation, the user’s actual response must not exceed this limit. Therefore, the user’s decision is no longer simply whether to participate, but how much to respond. When compensation prices exceed certain thresholds, user response increases with price until reaching the maximum limit. Therefore, the constraint is:
Δ L s , i , max Δ q s , i , t Δ L s , i , max   s { e , g , h }

3.3. Derivation of Economic Equilibrium Point

This section derives the mode switching threshold that maximizes MEA profit by comparing expected marginal profits under different operating modes. This threshold is defined as the economic equilibrium point. According to microeconomic principles, the MEA’s mode selection follows the opportunity cost minimization principle. The MEA chooses IBDR mode if and only if the net benefit of reducing unit load under high-carbon mode exceeds the net benefit of increasing unit load under low-carbon mode; otherwise, it selects PBDR mode.
The high-carbon mode marginal profit includes avoided electricity purchase costs, avoided carbon allowance costs, and obtained grid-side rewards and arbitrage value, minus compensation paid.
Φ high ( t ) = p t wh + p c buy E e t + λ grid + ρ t arb λ t comp
where Φ high is the expected marginal profits from unit load responses in high-carbon mode.
The low-carbon mode marginal profit includes net electricity sales profit (including carbon dividend discounted price) and the CCER carbon asset appreciation. It is:
Φ low   ( t ) = p t base   γ E e t p t wh   p c sell   κ CCER E e t
where Φ low is the expected marginal profits from unit load responses in low-carbon mode.
When the MEA’s marginal profits in both modes are equal, the system is in a critical switching state. The endogenous economic equilibrium threshold can be obtained as shown in Equation (22).
λ CEF balance   ( t ) = p t base   2 p t wh + λ t comp   λ grid ρ t arb p c buy   + p c sell   κ CCER + γ
Equation (22) clearly reveals the inherent logic of the electricity-carbon coordination mechanism. This threshold is not a fixed constant but dynamically varies with market parameters. Denominator represents carbon value through allowance and CCER prices along with price sensitivity, is described as a weighting factor that influences mode switching. This illustrates that an increase in carbon price reduces the threshold, prompting earlier activation of the high-carbon suppression mode to prioritize emission reductions. The numerator term reflects electricity market price spreads and flexibility value. When grid ancillary service rewards or internal arbitrage value increases, the threshold decreases, meaning the MEA tends to initiate peak shaving even when carbon emissions are not extremely high to capture high peak regulation revenue. It is worth noting that the switching decision is based on the expected CEF smoothed by the Uncertainty Layer (Section 2.2), which prevents chattering around this boundary caused by transient fluctuations.

4. Wasserstein Distance-Based Distributionally Robust CVaR Solution Strategy

To solve the model under source-load uncertainties, this section introduces a Wasserstein distance-based distributionally robust CVaR strategy. Historical data accumulated at the edge side is often limited, and the real-time operating environment may deviate from the distribution of cloud-side training data (distributional shift). Traditional stochastic programming methods struggle to adapt to these small-sample and non-stationary characteristics of edge-side data. Therefore, a data-driven Wasserstein distributionally robust CVaR [25] solution strategy is introduced to mitigate the risk of solution degradation caused by distributional shifts, ensuring the generalization capability of the edge-side optimization algorithm.
The choice of Wasserstein-based CVaR is motivated by its suitability for edge-side environments, where data samples are limited and subject to non-stationary shifts due to local volatility in renewable output and loads. Unlike phi-divergence-based ambiguity sets, which rely on likelihood ratios and may overemphasize outlier probabilities in small datasets, the Wasserstein metric uses transport distances to construct ambiguity sets that are more adaptive to empirical data geometry, leading to less conservative yet robust solutions under distributional uncertainty. Variance-type risk measures, such as mean-variance optimization, focus on second-moment deviations but fail to capture tail risks effectively in asymmetric distributions common to edge-side uncertainties; CVaR, combined with Wasserstein robustness, addresses this by optimizing against worst-case expectations in the tail, providing better protection against extreme scenarios without requiring large sample sizes.

4.1. Construction of Data-Driven Ambiguity Set

We define a Wasserstein ambiguity set centered on the empirical distribution with a specified radius, as follows:
P N ( ϵ ) = M ( Ξ ) : W 1 , ^ N ϵ
Assuming there are N historical samples ξ ^ 1 , , ξ ^ N , the empirical distribution ^ N = 1 N i = 1 N δ ξ ^ i , where δ denotes the Dirac delta function. The radius ε is a conservatism parameter, selected via cross-validation to balance coverage and overfitting, as detailed in Section 5.5.

4.2. Reformulation of the WDR-CVaR Model

The MEA’s objective is to maximize risk-adjusted profit under the worst-case distribution within the ambiguity set P N ( ϵ ) . Defining the loss function as negative profit f ( x , ξ ) = C MEA ( x , ξ ) and introducing a risk preference coefficient β [ 0 , 1 ] , the original upper-level objective function is transformed into a WDR-CVaR minimax problem, formulated as:
min x X sup P N ( ϵ ) ( 1 β ) E [ f ( x , ξ ) ] + β CVaR α [ f ( x , ξ ) ]
Since this equation involves infinite-dimensional probability measure optimization, direct solution is difficult. According to the strong duality theory of Mohajerin Esfahani and Kuhn, the above worst-case expectation problem can be precisely reformulated as a finite-dimensional convex optimization problem.
Proposition 1.
According to the strong duality theory of Mohajerin Esfahani and Kuhn [26], the WDR-CVaR model can be reformulated into a tractable finite-dimensional optimization problem:
min ζ , φ , s i         β ζ + ϵ φ + 1 N i = 1 N s i
with corresponding constraints, for each historical observation scenario i { 1 , , N } , it must satisfy:
s i ( 1 β ) f x , ξ ^ i s i f x , ξ ^ i β ζ ξ f ( x , ξ ) φ s i 0 ,   φ 0
where the first constraint corresponds to cases where the loss function does not exceed VaR; the second to tail risk cases where loss exceeds VaR ( f > ζ ). Since an upper bound on the Lipschitz constant of the loss function is required, this bound must exceed the maximum gradient norm over all sample points. In WDR theory,  φ  acts as a Lipschitz constant bound for the loss function (typically set as a hyperparameter or estimated from data). A larger  φ  imposes heavier regularization, enhancing tolerance to distributional shifts but potentially increasing conservativeness.
The term ϵ φ in Equation (25) is the regularization penalty. In the MEA model, the loss function f ( x , ξ ) is typically linear or piecewise linear in uncertain parameters. Thus, the third term in constraint (26) degenerates into simple linear constraints in actual solving: c φ φ c k φ , k , this ensures the model can be efficiently solved using commercial MILP solvers without complex conic programming.
However, since f ( x , ξ ) itself includes KKT responses from the lower-level problem, it has complex nonlinearity. To adapt to mixed-integer programming (MIP) solvers, the above constraints are further linearized. Introducing auxiliary variables u i , the final upper-level objective is rewritten as:
max Θ   ( β ζ + ϵ φ + 1 N i = 1 N s i )
with extended constraints:
s i ( 1 β ) [ C MEA ( x , ξ ^ i ) ] + β ( u i ζ ) φ ξ ^ i ξ i u i C MEA ( x , ξ ^ i ) i u i ζ i s i , φ 0
Considering that uncertainties in this model mainly appear in loads and RES output powers, | | related dual constraints can be simplified to constant penalties, where φ is the dual multiplier against distributional shifts.

4.3. Bilevel to Single-Level Transformation via KKT Conditions

This subsection combines the WDR reformulation from Section 4.2 with the KKT conditions of the lower-level model from Section 3.2 to transform the original bilevel stochastic model into a global single-level mixed-integer linear programming (MILP) problem.
The total decision variable set includes upper-level decision variables, WDR auxiliary variables, lower-level primal variables, and dual variables. It is defined as Θ = λ comp , γ , ζ , φ , s n , u n , L n n = 1 N i I Δ q i , s , t , n , μ i , s , t , n min / max , z i , s , t , n min / max . The objective function is:
max Θ   ( β ζ + ϵ φ + 1 N n = 1 N s n )
WDR Core Constraints are:
s n ( 1 β ) L n + β ( u n ζ ) φ D ξ u n L n u n ζ s n , φ 0  
Total Loss Lower Bound is:
L n C n buy + C n carbon + C n comp ( Π n sales + Π n grid + Π n arb )
Carbon Trading Cost Linearization, corresponding to Equation (10) is:
C n carbon p c buy E n net C n carbon p c sell E n net
Energy Purchase Cost Linearization, corresponding to Equation (9) is:
C n buy s p s , t wh ( Q s , t , n load Q s , t , n EH ) C n buy 0   ,
Ancillary Services and Arbitrage Revenues, activated only in high-carbon mode, it is:
Π n grid = I high λ grid i ( Δ q i , elec , t , n ) Π n arb = I high s ρ s , t arb i ( Δ q i , s , t , n )
Finally, the lower-level KKT conditions and Big-M constraints are formulated as follows:
Δ q L = m S K i s m Δ q i , m , t , n + α i s + π s , t eff λ s , t comp + μ i , s , t , n max μ i , s , t , n min = 0 Δ L i , s max Δ q i , s , t , n Δ L i , s max μ i , s , t , n min 0 ,   μ i , s , t , n max 0 μ i , s , t , n min M z i , s , t , n min Δ q i , s , t , n + Δ L i , s max M 1 z i , s , t , n min μ i , s , t , n max M z i , s , t , n max Δ L i , s max Δ q i , s , t , n M 1 z i , s , t , n max z i , s , t , n min , z i , s , t , n max { 0 , 1 }
where μmin and μmax are Lagrange multipliers corresponding to lower and upper bound constraints, respectively. The original complementary conditions are, i.e., Binary variables zmin and zmax are introduced to handle the complementarity conditions. When z = 0, it forces the corresponding multiplier μ to 0; when z = 1, it forces the corresponding physical constraint to be tight (reaching the Δq boundary). M is a sufficiently large positive constant, set as 106.

4.4. Iterative Algorithm for Mode Switching

To handle the logical discontinuity from mode switching, an iterative algorithm is proposed. The algorithm flowchart is shown in Figure 3.
The specific steps are as follows:
Step 1: Initialization. Set the iteration counter k = 0 and the convergence tolerance δ = 10−5. Initialize the distributionally robust parameters: Wasserstein radius ε and risk preference β. Set an initial guess for the user’s aggregate response load Δq(0) = 0 based on historical baselines.
Step 2: State Prediction and Parameter Update. At the k -th iteration, based on the user response Δq(k−1) from the previous step, calculate the expected time-varying CEF E [ e t ] ( k ) using Equation (3). Subsequently, update the dynamic economic equilibrium threshold λ CEF balance , ( k ) via Equation (22). This step transforms the endogenous threshold into a deterministic parameter for the current iteration.
Step 3: Mode Identification and Constraint Activation. Compare the updated expected CEF with the threshold to determine the operational mode for each time slot t : If E [ e t ] ( k ) λ CEF balance , ( k ) , the system is identified as the IBDR (High-Carbon) Mode. The constraints associated with compensation pricing λ c o m p are activated, while the dynamic discount mechanism is disabled. If E [ e t ] ( k ) < λ CEF balance , ( k ) , the system is identified as the PBDR (Low-Carbon) Mode. The carbon-linked pricing mechanism is activated, forcing the compensation variable λ c o m p = 0.
Step 4: WDR-MILP Solution. With the operational modes fixed, the original complex problem collapses into a standard MILP instance. Solve the global single-level model defined by Equations (29)–(35) using a commercial solver. This yields the optimal pricing strategy ( λ comp , γ ) , risk auxiliary variables ( ζ , φ ) , and the updated user response Δ q i under the worst-case distribution.
Step 5: Convergence Criterion. Calculate the Euclidean distance of the user response vector between consecutive iterations: Δ e r r = Δ q ( k ) Δ q ( k 1 ) 2 . If Δ e r r δ , the algorithm terminates, and the current solution is output as the global optimum. Otherwise, update k k + 1 and return to Step 2.
Through this iterative process, the proposed algorithm effectively handles the logical discontinuity caused by mode switching, ensuring that the WDR-CVaR model can be efficiently solved while maintaining operational stability amidst source-load uncertainties.

5. Simulation and Validation

5.1. Case Study Setup

Applying the model and algorithm from Section 3 and Section 4, the mechanism is evaluated through simulations on a modified IEEE 33-bus system, as shown in Figure 4, with the MEA deployed at the edge-side gateway (PCC) as the core edge computing node responsible for local source-load data collection and processing, while the upper-level grid and carbon trading center serve as the cloud, issuing macro time-of-use electricity prices and dynamic CEFs. The optimization problem is solved in MATLAB 2020a by calling the Gurobi solver.
The electrical network is configured as a modified IEEE 33-bus system, with distributedPV-and wind generation connected at Nodes 18 and 22, respectively. Natural gas and thermal networks are integrated via a 20-node gas system [27]. The EH located at Node 6, serves as the coupling interface, connected to the gas source at Node G1 to supply combined heat and power (CHP) units and gas boilers. The EH incorporates CHP units, gas boilers, and electric boilers. The system load represents a mixed industrial, commercial, and residential park.
To ensure the practical validity of the uncertainty modeling, the simulation utilizes real-world measurement data. The datasets for PV, WT, and loads were collected from an industrial park in Northern China, covering the full year of 2023 at a 1 h resolution. Conversely, to reflect standard regulatory conditions, the macro-market signals—including the TOU electricity tariffs and the dynamic CEF of the external grid—were sourced from the regional power exchange and carbon trading center’s 2023 publications.
The critical parameters governing the DRO algorithm, carbon trading, and market settings are summarized in Table 1.
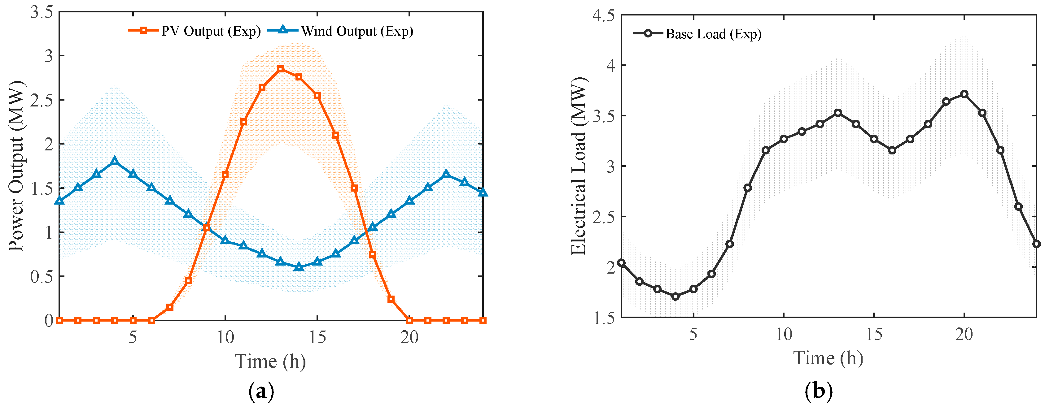
To construct the Wasserstein ambiguity set, 100 scenarios were randomly sampled from this dataset to form the empirical distribution support. The ambiguity radius was set to ε = 0.05, balancing 95% confidence coverage with avoidance of undue conservatism; this configuration ensures that the worst-case distribution encompasses extreme fluctuations at the boundaries of the uncertainty envelopes, as shown in Figure 5.
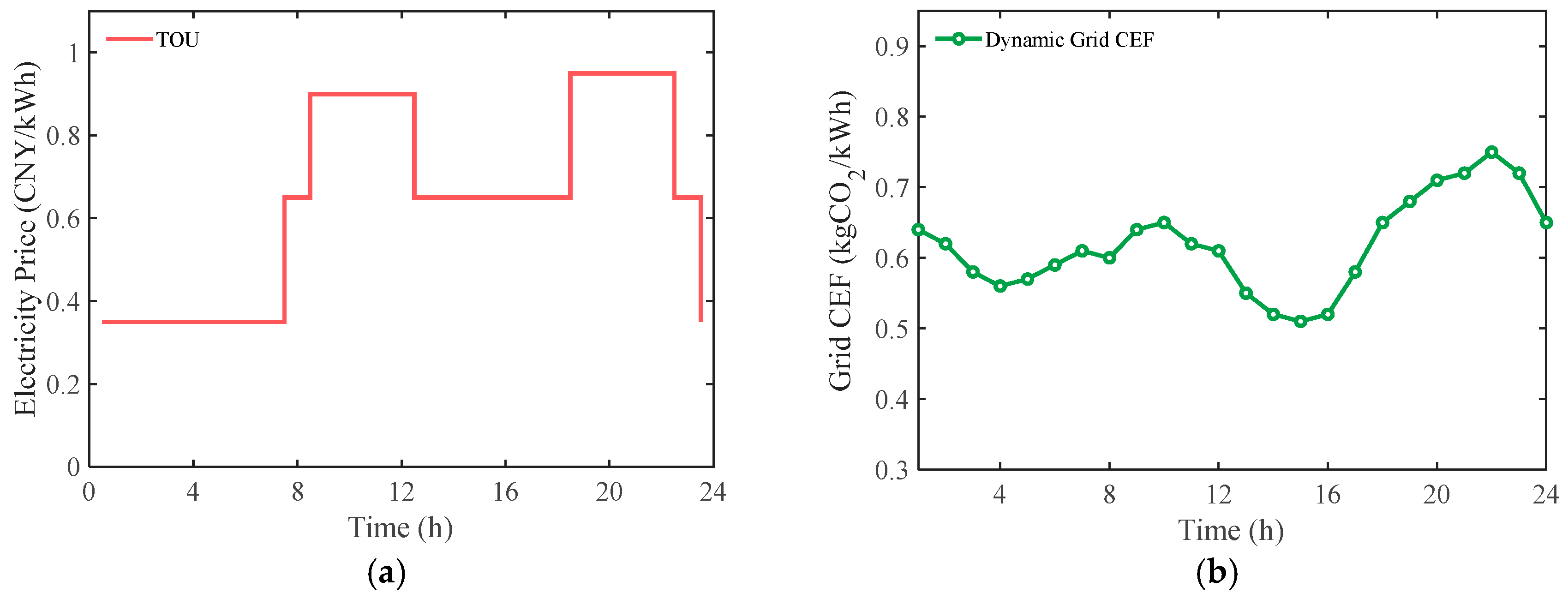
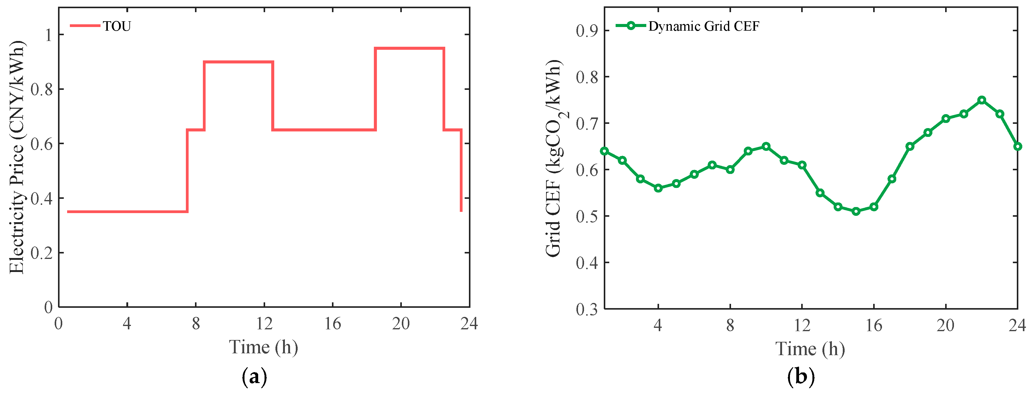
TOU price data are presented in Figure 6a. The real-time CEF for the external grid follows dynamic regional grid data, as depicted in Figure 6b, with values ranging from 0.4 to 0.9 kgCO2/kWh. The fixed CEF for natural gas was set to 0.22 kgCO2/kWh [28].
Four comparison scenarios are established:
Case 1 (Benchmark): Fixed-price mode without demand response (DR). Users exhibit rigid energy consumption patterns, and the MEA performs only basic economic dispatch.
Case 2 (Traditional): Fixed-threshold TOU pricing. Mode switching relies solely on predefined CEF thresholds, with deterministic optimization and no distributional robustness.
Case 3 (Proposed-SAA): The proposed mechanism solved via sample average approximation (SAA), a risk-neutral stochastic programming approach.
Case 4 (Proposed-WDR): The proposed mechanism solved via WDR-CVaR, incorporating distributional robustness as detailed in this study.

5.2. Mechanism Effectiveness and Economic-Environmental Benefit Analysis

Table 2 quantifies the operational performance across the four disparate scenarios. The proposed mechanism (Case 4) showed superior economic efficiency, increasing the Multi-Energy Aggregator’s (MEA) expected profit by 12.3% relative to the no-guidance benchmark (Case 1), rising from 8275 Yuan to 9293 Yuan. This enhancement is attributable to the endogenous equilibrium mechanism, which captures arbitrage opportunities during high-volatility periods.
Furthermore, the mechanism transformed the MEA from a net carbon debtor (incurring a 2275 Yuan compliance cost in Case 1) to a net creditor (generating 387 Yuan in revenue in Case 4). This financial inversion stems from the bidirectional trading strategy, where the MEA monetized CCERs generated during negative-carbon intervals to offset compliance obligations incurred during peak periods.
From an environmental perspective, Case 4 achieved a 17.6% reduction in net carbon emissions compared to the benchmark. Unlike traditional fixed-threshold approaches (Case 2), which often resulted in curtailment due to rigid decision boundaries, the proposed mechanism leveraged the multi-energy cross-elasticity of users to enhance downward flexibility, thereby minimizing wind and PV curtailment.
To further characterize the mechanism’s impact on system flexibility and grid interaction, Table 2 reports key operational metrics. The results indicate that the proposed mechanism (Case 4) significantly mitigates grid stress. Specifically, the Peak-to-Average Ratio is reduced from 1.68 in the Benchmark (Case 1) to 1.42 in Case 4, corroborating the load smoothing effect observed in the net load curves. Additionally, the Maximum Net Load Ramp decreases by approximately 22%, indicating reduced volatility in power exchange at the PCC. The RES Curtailment Rate drops to near zero (0.8%) in Case 4, compared to 12.5% in the Traditional Case 2, confirming that the PBDR mode effectively absorbs surplus generation during low-carbon periods.
Comparing Case 3 with Case 4, the latter exhibits a modestly lower expected profit (reduced by approximately 1.3%) and higher carbon emissions. This trade-off reflects the inherent characteristic in distributionally robust optimization, where the system prioritizes operational stability and coverage of worst-case scenarios over the aggressive theoretical optimality pursued by the risk-neutral SAA method. Case 4, by considering worst-case distributions within the Wasserstein ambiguity set (Equation (23)), adopts more conservative strategies—such as reserving additional backup capacity and tempering aggressive load responses—to mitigate extreme scenarios. Although this entails a small sacrifice in expected profit, it enhances operational reliability under uncertainty, which is particularly valuable for distribution network stability. These findings are simulation-specific, dependent on parameters such as the Wasserstein radius (ε = 0.05) and sample size (100 scenarios), and merit further sensitivity analysis, as detailed in Section 5.5.
The optimized scheduling results for Case 4 are illustrated in Figure 7, Figure 8 and Figure 9. Figure 7 depicts the electrical power balance on a representative high-PV-output day. During the low-carbon period (10:00–15:00), elevated PV output (orange bars) reduces the expected CEF below the endogenous equilibrium point, triggering PBDR mode. Here, the MEA fully utilizes available PV resources while incentivizing electric boiler operation (for power-to-heat conversion) and user load increases via negative-carbon price dividends, effectively accommodating surplus renewables. During the high-carbon period (18:00–21:00), with negligible PV output and high-carbon grid purchases (gray bars), the system shifts to IBDR mode, prioritizing low-emission CHP units (red bars) as substitutes and user load reductions, demonstrating the mechanism’s efficacy in achieving peak shaving and carbon emission mitigation.
Figure 8 illustrates the thermal energy supply-demand balance within the EH, highlighting the role of multi-energy coupling in bolstering system flexibility. Heat supply sources adapt dynamically to electricity-carbon signals: electric boilers (green bars) predominate during midday low-carbon periods, enabling cross-energy arbitrage via low-cost green electricity for heating. In evening high-carbon periods, CHP units (red bars) assume primacy, underscoring how the MEA leverages electricity-heat cross-elasticity to transform thermal network inertia into grid-supportive flexibility, transcending the limitations of single-energy systems.
Figure 9 presents the natural gas consumption profile, positioning gas as a transitional low-carbon fuel. Consumption peaks align with the grid’s high-carbon intervals (18:00–22:00), indicating that the MEA, acting as a compliance obligor, deploys natural gas substitution only when the external grid’s marginal CEF exceeds that of gas-fired generation. This marginal emission-based dispatch ensures efficient fossil fuel utilization while advancing carbon reduction objectives.

5.3. Mode Switching and Endogenous Equilibrium Analysis

Figure 10 illustrates the temporal relationship between the expected CEF and the endogenous economic equilibrium threshold. The simulation results indicate two notable characteristics of the mechanism in responding to coupled electricity-carbon signals.
Response to High-Value Intervals: During the evening peak period (19:00–21:00), the system operates in IBDR (high-carbon reduction) mode. The equilibrium threshold varies dynamically, showing a downward trend rather than remaining constant. This variation aligns with the derivation in Equation (22), where increased price spreads in the electricity wholesale market and elevated grid ancillary service rewards contribute to a higher economic arbitrage value in the numerator. Consequently, the MEA adjusts the switching threshold downward, enabling entry into IBDR mode prior to carbon emissions reaching peak levels, which may facilitate the capture of peak regulation revenue. These outcomes are consistent with the mechanism’s design to respond to electricity market signals, potentially reducing profit losses associated with fixed-threshold approaches.
Mode Engagement during Negative-Carbon Periods: In the midday period (11:00–14:00), high distributed PV output leads to the expected CEF dropping below zero, with a minimum value of −0.4 kgCO2/kWh. Under these conditions, the CEF remains well below the equilibrium threshold, resulting in the system engaging PBDR (low-carbon accommodation) mode. This behavior is in line with the extension layer of the CEF model (Section 2.2), which supports adaptability to high renewable energy penetration by facilitating a shift toward energy accommodation during surplus conditions.
Figure 11 shows how the MEA conveys upper-level electricity-carbon coupled signals to users via the effective retail price, incorporating the value of negative carbon emissions. During the 12:00–14:00 interval, while the baseline TOU electricity price holds at the mid-peak level (gray dashed line, approximately 0.65 Yuan/kWh), the MEA’s effective retail price (green solid line) decreases sharply, dipping below the nighttime valley price (0.35 Yuan/kWh). This reduction corresponds to the coupling term in Equation (4); when the E [ e t ] < 0 , the MEA allocates revenue from CCER sales as price discounts to users. Such a lowered price signal may incentivize load increases ( Δ q > 0 ), consistent with the observed user behavior in Figure 6, where adjustments facilitate accommodation of otherwise curtailed PV power, as interpreted through an economic lens.
During IBDR mode periods, the effective retail price reverts to the baseline TOU level. Here, the MEA employs separate compensation prices to encourage peak shaving, rather than increasing retail prices, which may help balance user energy access with system-level low-carbon goals.
Additionally, Figure 10 highlights the dynamic thresholds computed autonomously by the MEA using edge-based real-time source-load predictions. This autonomous approach at the edge appears to enable microgrid clusters to transition into PBDR mode in response to local PV fluctuations, independent of cloud-level instructions (as indicated by the green areas in Figure 10). Such a design may address latency and privacy concerns inherent in centralized scheduling, thereby supporting timely allocation of flexible resources.

5.4. Verification of Flexibility Enhancement

This subsection examines the MEA’s role in reshaping system load profiles and supporting bidirectional regulation by comparing net load characteristics between the benchmark scenario (Case 1) and the proposed mechanism (Case 4). As illustrated in Figure 12, the net load curve under the proposed method exhibits reduced peaks and elevated valleys relative to the benchmark. At midday, the curve shows an upward shift, which aligns with the MEA’s aggregation of user-side flexible resources and the application of negative carbon price dividends to encourage downward flexibility, facilitating the conversion of surplus renewable energy into thermal loads. In the evening, the curve displays a downward shift, consistent with IBDR-guided reductions in high-carbon loads. Relative to the benchmark, the proposed mechanism is associated with a 35.8% reduction in the system net load peak-valley difference (Figure 12), which may contribute to lessened regulation pressure on the distribution network.
The edge-side electricity-carbon coordinated dispatch appears to enhance the microgrid cluster’s overall flexibility. As depicted in Figure 11, the optimized net load curve is smoother than the benchmark, suggesting that the edge-cloud collaborative architecture may position the microgrid cluster as a more controllable entity, potentially mitigating its role as a source of grid fluctuations.
Figure 13 illustrates the MEA’s adjustment of user flexible loads in response to real-time electricity-carbon signals. During the high PV output period (11:00–15:00), the MEA is associated with up to 1.2 MW of positive load response. This adjustment corresponds to the multi-energy cross-elasticity modeled in Equation (18), where low electricity prices under negative-carbon conditions may prompt users to increase consumption via electricity-heat substitution. Such patterns are consistent with the PBDR mechanism’s potential to support renewable energy accommodation by redirecting surplus generation toward alternative uses, such as low-carbon heating.
During the high-carbon/high-price period (19:00–22:00), the MEA engages approximately 0.8 MW of negative load reduction. This occurs alongside a decrease in the endogenous equilibrium threshold, where the MEA’s preference for user megawatts over high-carbon grid purchases aligns with opportunity cost considerations. These dispatch outcomes are in line with reductions in both carbon emissions and energy costs, as observed in the simulation results.

5.5. Distributional Robustness & Risk Analysis

This subsection evaluates the generalization potential of the WDR-CVaR strategy under distributional shifts in environmental data through out-of-sample testing and sensitivity analysis.
To evaluate robustness against distributional shifts, Figure 14 illustrates the profit distribution derived from 1000 perturbed test scenarios. The SAA method (Case 3) exhibited significant vulnerability to data perturbations, evidenced by the elongated lower tail and severe negative outliers in the box plot. This performance degradation corroborates the optimizer’s curse, where the solution overfits the training empirical distribution and fails when facing variance in the test set.
Conversely, the WDR-CVaR strategy (Case 4) maintained a highly concentrated profit distribution with superior worst-case outcomes. While the expected profit in Case 4 was marginally lower than Case 3 (a reduction of ~1.3%), the Conditional Value-at-Risk (CVaR) improved. This trade-off validates that the construction of the Wasserstein ambiguity set (Equation (23)) effectively immunized the system against tail risks, prioritizing operational reliability over aggressive profit maximization in volatile edge environments.
Figure 15 depicts the sensitivity of system metrics to the Wasserstein radius (ε). The results reveal a Pareto-like frontier: as ε increases from 0.01 to 0.20, the CVaR initially rises rapidly before stabilizing, while expected profit exhibits a linear decline. Table 3 provides detailed numerical values, confirming the Pareto-like trade-offs. For instance, at ε = 0.20, the solution exhibits excessive conservatism, with profit declining by over 5% relative to the base ε = 0.05 case, while emissions rise by approximately 2.6% due to reduced aggressive low-carbon accommodations, aligning with the need for calibrated parameters in edge-side contexts with small N (e.g., 100). This indicates that a small sacrifice in theoretical optimality can yield substantial gains in risk mitigation, providing a theoretical basis for parameter selection in resource-constrained edge computing nodes.
Additional sensitivity analysis examines the impact of sample size N (ranging from 50 to 200) and the transport norm. Larger N reduces the effective ambiguity, allowing smaller ε for equivalent robustness and yielding less conservative outcomes; however, in edge-side contexts with typically small N (e.g., 100), WDR-CVaR preserves reliability where SAA degrades. The model adopts the 1-Wasserstein distance for tractability, as it balances sensitivity to deviations compared to the 2-norm, which amplifies larger shifts and may lead to excessive conservatism in bounded energy uncertainty sets.
In extreme parameter regimes, such as ε > 0.15 or N < 50, the WDR solution becomes overly conservative: profit declines exceed 5% with diminishing CVaR improvements, and emissions rise by up to 3% due to cautious dispatch that limits aggressive low-carbon accommodations. This underscores the need for calibrated parameters to avoid undue conservatism while maintaining robustness.

6. Conclusions

This study addresses insufficient flexibility exploitation and source-load uncertainty under high-proportion renewable energy integration by developing an edge-side electricity-carbon coordinated hybrid trading mechanism for microgrid clusters. It integrates economic, low-carbon, and robustness objectives via an endogenous equilibrium model and Wasserstein distributionally robust optimization. While the simulation results demonstrate significant theoretical gains, practical deployment faces three critical dependencies: (1) The mechanism assumes that the MEA can certify aggregated negative emissions from distributed resources as tradable CCERs. Currently, administrative costs and verification thresholds often favor large-scale projects. Successful implementation therefore requires policy reforms that simplify bundling certification processes for distributed energy resources. (2) The Credit Supplier identity relies on a liquid carbon market. If the CCER market lacks liquidity, the MEA may face stranded asset risks where generated negative emission credits cannot be monetized. In such scenarios, the mechanism would revert to a pure electricity arbitrage model, reducing the expected profit margin. (3) The reported 12.3% profit increase is sensitive to carbon price signals. Sensitivity analysis indicates that if CCER prices fall below 30 Yuan/ton, the marginal benefit of the Extension Layer diminishes, rendering the negative-carbon incentive less effective. Consequently, the mechanism is best suited for mature carbon markets with stable price floors. In summary, the mechanism provides a robust electricity-carbon framework for microgrids, enhancing flexibility and risk management. Future work could add power flow constraints and multi-MEA interactions to advance edge-cloud management.

Author Contributions

Conceptualization, H.Z. and Q.X.; methodology, H.Z. and Q.X.; software, Q.X., A.Y.W. and J.L.; validation, Q.X., B.X. and X.X.; formal analysis, Q.X. and A.Y.W.; investigation, Q.X. and J.L.; resources, H.Z., B.X. and X.X.; data curation, B.X. and X.X.; writing—original draft preparation, Q.X.; writing—review and editing, H.Z.; visualization, Q.X. and J.L.; supervision, H.Z. and A.Y.W.; project administration, H.Z.; funding acquisition, H.Z. All authors have read and agreed to the published version of the manuscript.

Funding

This research was funded by the Natural Science Foundation of Jiangsu Province under Grant BK20230353 and BK20240652. The work described in this paper was also supported by a grant from the Research Grants Council of the Hong Kong Special Administrative Region (RGC Project Ref No. UGC/IIDS24/E01/24), and a PolyU CPCE internal research fund (SEHS-2023-304(J)).

Data Availability Statement

The original contributions presented in this study are included in the article. Further inquiries can be directed to the corresponding author.

Conflicts of Interest

Authors Bitao Xiao and Xilong Xing were employed by Guodian Nanjing Automation Co. The remaining authors declare that the research was conducted in the absence of any commercial or financial relationships that could be construed as a potential conflict of interest.

References

  1. Satymov, R.; Bogdanov, D.; Galimova, T.; Breyer, C. Energy and industry transition to carbon-neutrality in Nordic conditions via local renewable sources, electrification, sector coupling and Power-to-X. Energy 2025, 319, 134888. [Google Scholar] [CrossRef]
  2. Dou, J.; Li, K.; Qin, M.; Albu, L.L. Towards energy security: Could renewable energy endure uncertainties in the energy market? Econ. Anal. Policy 2025, 86, 461–474. [Google Scholar] [CrossRef]
  3. Coelho, A.; Iria, J.; Soares, F. Network-secure bidding optimization of aggregators of multi-energy systems in electricity, gas, and carbon markets. Appl. Energy 2021, 301, 117460. [Google Scholar] [CrossRef]
  4. Coelho, A.; Iria, J.; Soares, F.; Lopes, J.P. Real-time management of distributed multi-energy resources in multi-energy networks. Sustain. Energy Grids Netw. 2023, 34, 101022. [Google Scholar] [CrossRef]
  5. Zhang, R.; Zhang, Y.; Zou, Y.; Jiang, T.; Li, X. Privacy-Preserving Cooperative Optimal Operation for Reconfigurable Multimicrogrid Distribution Systems: A Noniterative Distributed Optimization Approach. IEEE Trans. Ind. Inform. 2025, 21, 5766–5776. [Google Scholar] [CrossRef]
  6. Li, J.; Gu, C.; Xiang, Y.; Li, F. Edge-cloud computing systems for smart grid: State-of-the-art, architecture, and applications. J. Mod. Power Syst. Clean Energy 2022, 10, 805–817. [Google Scholar] [CrossRef]
  7. Arul, U.; Gnanajeyaraman, R.; Selvakumar, A.; Ramesh, S.; Manikandan, T.; Michael, G. Integration of IoT and edge cloud computing for smart microgrid energy management in VANET using machine learning. Comput. Electr. Eng. 2023, 110, 108905. [Google Scholar] [CrossRef]
  8. Chatuanramtharnghaka, B.; Deb, S.; Singh, K.R.; Ustun, T.S.; Kalam, A. Reviewing Demand Response for Energy Management with Consideration of Renewable Energy Sources and Electric Vehicles. World Electr. Veh. J. 2024, 15, 412. [Google Scholar] [CrossRef]
  9. Nojavan, S.; Tarafdar Hagh, M.; Taghizad-Tavana, K.; Ghanbari-Ghalehjoughi, M. Optimal demand response aggregation in wholesale electricity markets: Comparative analysis of polyhedral, ellipsoidal and box methods for modeling uncertainties. Heliyon 2024, 10, e31523. [Google Scholar] [CrossRef]
  10. Malehmirchegini, L.; Farzaneh, H. Incentive-based demand response modeling in a day-ahead wholesale electricity market in Japan, considering the impact of customer satisfaction on social welfare and profitability. Sustain. Energy Grids Netw. 2023, 34, 101044. [Google Scholar] [CrossRef]
  11. Kazmi, H.; Mehmood, F.; Shah, M. Quantifying residential energy flexibility potential for demand response programs using observational data from grid outages: Evidence from Pakistan. Energy Policy 2024, 188, 114094. [Google Scholar] [CrossRef]
  12. Freire-Barceló, T.; Martín-Martínez, F.; Sánchez-Miralles, Á. A literature review of Explicit Demand Flexibility providing energy services. Electr. Power Syst. Res. 2022, 209, 107953. [Google Scholar] [CrossRef]
  13. Di Bella, A.; Tavoni, M. Demand-side policies for power generation in response to the energy crisis: A model analysis for Italy. Energy Strategy Rev. 2024, 52, 101329. [Google Scholar] [CrossRef]
  14. Park, B.; Dong, J.; Liu, B.; Kuruganti, T. Decarbonizing the grid: Utilizing demand-side flexibility for carbon emission reduction through locational marginal emissions in distribution networks. Appl. Energy 2023, 330, 120303. [Google Scholar] [CrossRef]
  15. Hua, H.; Li, Y.; Wang, T.; Dong, N.; Li, W.; Cao, J. Edge computing with artificial intelligence: A machine learning perspective. ACM Comput. Surv. 2023, 55, 1–35. [Google Scholar] [CrossRef]
  16. Tuli, S.; Mirhakimi, F.; Pallewatta, S.; Zawad, S.; Casale, G.; Javadi, B.; Yan, F.; Buyya, R.; Jennings, N.R. AI augmented Edge and Fog computing: Trends and challenges. J. Netw. Comput. Appl. 2023, 216, 103648. [Google Scholar] [CrossRef]
  17. Tu, J.; Yang, L.; Cao, J. Distributed Machine Learning in Edge Computing: Challenges, Solutions and Future Directions. ACM Comput. Surv. 2025, 57, 1–37. [Google Scholar] [CrossRef]
  18. Kannan, R.; Bayraksan, G.; Luedtke, J.R. Data-driven sample average approximation with covariate information. Oper. Res. 2025, 73, 3245–3259. [Google Scholar] [CrossRef]
  19. Kuhn, D.; Shafiee, S.; Wiesemann, W. Distributionally robust optimization. Acta Numer. 2025, 34, 579–804. [Google Scholar] [CrossRef]
  20. Tan, B.; Lin, Z.; Zheng, X.; Xiao, F.; Wu, Q.; Yan, J. Distributionally robust energy management for multi-microgrids with grid-interactive EVs considering the multi-period coupling effect of user behaviors. Appl. Energy 2023, 350, 121770. [Google Scholar] [CrossRef]
  21. Cheng, Y.; Zhang, N.; Kang, C. Carbon emission flow: From electricity network to multiple energy systems. Glob. Energy Interconnect. 2018, 1, 433–442. [Google Scholar]
  22. Fan, S.; Xu, G.; Chen, Z.; Xing, H.; Gao, Y.; Ai, Q. Carbon-embedded energy coordination strategy in park-level integrated energy system considering time-varying carbon emission measurement. J. Clean. Prod. 2024, 434, 139967. [Google Scholar] [CrossRef]
  23. Cheng, Y.; Zhang, N.; Wang, Y.; Yang, J.; Kang, C.; Xia, Q. Modeling carbon emission flow in multiple energy systems. IEEE Trans. Smart Grid 2018, 10, 3562–3574. [Google Scholar] [CrossRef]
  24. Wei, X.; Liu, J.; Xu, Y.; Sun, H. Virtual Power Plants Peer-to-Peer Energy Trading in Unbalanced Distribution Networks: A Distributed Robust Approach Against Communication Failures. IEEE Trans. Smart Grid 2024, 15, 2017–2029. [Google Scholar] [CrossRef]
  25. Poolla, B.K.; Hota, A.R.; Bolognani, S.; Callaway, D.S.; Cherukuri, A. Wasserstein distributionally robust look-ahead economic dispatch. IEEE Trans. Power Syst. 2020, 36, 2010–2022. [Google Scholar] [CrossRef]
  26. Mohajerin Esfahani, P.; Kuhn, D. Data-driven distributionally robust optimization using the Wasserstein metric: Performance guarantees and tractable reformulations. Math. Program. 2018, 171, 115–166. [Google Scholar] [CrossRef]
  27. Wang, K.; Zhao, P.; Wang, C.; Zhang, Z.; Zhang, Y.; Lu, J.; Yang, Z. Resilience-oriented load restoration method and repair strategies for regional integrated electricity-natural gas system. Energ. Eng. 2024, 121, 1091–1108. [Google Scholar] [CrossRef]
  28. Bai, M.; Li, C. Research on the allocation scheme of carbon emission allowances for China’s provincial power grids. Energy 2024, 299, 131551. [Google Scholar] [CrossRef]
Figure 1. Physical architecture of MEA electricity-carbon trading based on edge-cloud collaboration.
Figure 1. Physical architecture of MEA electricity-carbon trading based on edge-cloud collaboration.
Processes 14 00083 g001
Figure 2. Schematic of the Three-Layer CEF Mechanism.
Figure 2. Schematic of the Three-Layer CEF Mechanism.
Processes 14 00083 g002
Figure 3. Algorithm Flowchart.
Figure 3. Algorithm Flowchart.
Processes 14 00083 g003
Figure 4. System Topology of the Community-Level Multi-Energy Microgrid Cluster.
Figure 4. System Topology of the Community-Level Multi-Energy Microgrid Cluster.
Processes 14 00083 g004
Figure 5. Uncertainty envelopes of source-load powers based on historical scenarios: (a) Renewable energy output power; (b) Electrical load power.
Figure 5. Uncertainty envelopes of source-load powers based on historical scenarios: (a) Renewable energy output power; (b) Electrical load power.
Processes 14 00083 g005
Figure 6. Market information: (a) Base time-of-use electricity prices; (b) Grid dynamic CEFs.
Figure 6. Market information: (a) Base time-of-use electricity prices; (b) Grid dynamic CEFs.
Processes 14 00083 g006
Figure 7. Electrical power balance under the proposed mechanism.
Figure 7. Electrical power balance under the proposed mechanism.
Processes 14 00083 g007
Figure 8. Thermal power balance illustrating multi-energy coupling.
Figure 8. Thermal power balance illustrating multi-energy coupling.
Processes 14 00083 g008
Figure 9. Natural gas consumption profile.
Figure 9. Natural gas consumption profile.
Processes 14 00083 g009
Figure 10. Expected CEF and economic equilibrium point.
Figure 10. Expected CEF and economic equilibrium point.
Processes 14 00083 g010
Figure 11. Price signals.
Figure 11. Price signals.
Processes 14 00083 g011
Figure 12. Load adjustment comparison curves.
Figure 12. Load adjustment comparison curves.
Processes 14 00083 g012
Figure 13. Flexible load regulation results.
Figure 13. Flexible load regulation results.
Processes 14 00083 g013
Figure 14. Profit distribution boxplots.
Figure 14. Profit distribution boxplots.
Processes 14 00083 g014
Figure 15. Expected profits, CVaR value under different Wasserstein radii.
Figure 15. Expected profits, CVaR value under different Wasserstein radii.
Processes 14 00083 g015
Table 1. Key Simulation and Market Parameters.
Table 1. Key Simulation and Market Parameters.
MetricsParameterSymbolValueUnit
WDR AlgorithmAmbiguity Radiusε0.05-
Risk Preference (CVaR)β0.95-
Sample SizeN100-
Carbon MarketCCER Conversion Efficiencyη0.95-
Natural Gas CEF e s fixed   0.22kgCO2/kWh
Negative Emission Floor e _ −0.5kgCO2/kWh
Energy MarketAncillary Service Price λ A S 0.85Yuan/kWh
Grid Interaction Limit P g r i d max 2.5MW
Gas Calorific Value H g a s 9.7kWh/m3
Table 2. Comparison of Economic-Environmental Performance.
Table 2. Comparison of Economic-Environmental Performance.
MetricsCase 1
Benchmark
Case 2
Traditional
Case 3
SAA
Case 4
WDR-CVaR
Total Operating Cost (Yuan)28,51326,87423,52124,183
Carbon Emission (kg)32,55429,22723,86126,815
Carbon Trading Cost (Yuan)22751854−457−387
MEA Total Expected Profit (Yuan)8275862194119293
User dissatisfaction (Yuan)0554852827
Ancillary service revenue (Yuan)0121435443217
Max Net Load Ramp (MW/h)0.850.780.690.66
Peak-to-Average Ratio1.681.621.391.42
RES Curtailment Rate (%)15.2%12.5%0.5%0.8%
Negative Carbon Duration (h)0254
Table 3. Performance Metrics under Different Wasserstein Radii (N = 100, p = 1).
Table 3. Performance Metrics under Different Wasserstein Radii (N = 100, p = 1).
Wasserstein
Radius (ε)
Expected Profit
(Yuan)
CVaR (Yuan)Carbon Emissions (tCO2)
0.0112,784.646626.81−5.22
0.0512,723.208374.35−4.84
0.1012,646.479495.91−4.15
0.1512,569.6210,025.74−3.43
0.2012,492.8110,275.96−2.77
Disclaimer/Publisher’s Note: The statements, opinions and data contained in all publications are solely those of the individual author(s) and contributor(s) and not of MDPI and/or the editor(s). MDPI and/or the editor(s) disclaim responsibility for any injury to people or property resulting from any ideas, methods, instructions or products referred to in the content.

Share and Cite

MDPI and ACS Style

Zou, H.; Xing, Q.; Xiao, B.; Xing, X.; Wu, A.Y.; Liu, J. Edge-Side Electricity-Carbon Coordinated Hybrid Trading Mechanism for Microgrid Cluster Flexibility. Processes 2026, 14, 83. https://doi.org/10.3390/pr14010083

AMA Style

Zou H, Xing Q, Xiao B, Xing X, Wu AY, Liu J. Edge-Side Electricity-Carbon Coordinated Hybrid Trading Mechanism for Microgrid Cluster Flexibility. Processes. 2026; 14(1):83. https://doi.org/10.3390/pr14010083

Chicago/Turabian Style

Zou, Hualei, Qiang Xing, Bitao Xiao, Xilong Xing, Andrew Yang Wu, and Jiaqi Liu. 2026. "Edge-Side Electricity-Carbon Coordinated Hybrid Trading Mechanism for Microgrid Cluster Flexibility" Processes 14, no. 1: 83. https://doi.org/10.3390/pr14010083

APA Style

Zou, H., Xing, Q., Xiao, B., Xing, X., Wu, A. Y., & Liu, J. (2026). Edge-Side Electricity-Carbon Coordinated Hybrid Trading Mechanism for Microgrid Cluster Flexibility. Processes, 14(1), 83. https://doi.org/10.3390/pr14010083

Note that from the first issue of 2016, this journal uses article numbers instead of page numbers. See further details here.

Article Metrics

Back to TopTop