Mine Exogenous Fire Detection Algorithm Based on Improved YOLOv9
Abstract
1. Introduction
2. Methods
2.1. YOLOv9
2.2. PP-LCNet Lightweight Module
2.3. FCAttention
2.4. CARAFE
2.4.1. Kernel Prediction Module
2.4.2. Feature Reassembly Module
2.5. MPDIoU
2.6. PPL-YOLO-F-C
3. Experimental Design
3.1. Experimental Environment and Parameter Settings
3.2. Dataset Preparation
3.3. Data Augmentation Methods
3.4. Evaluation Metrics
4. Results and Analysis
4.1. Selection of Pre-Trained Models
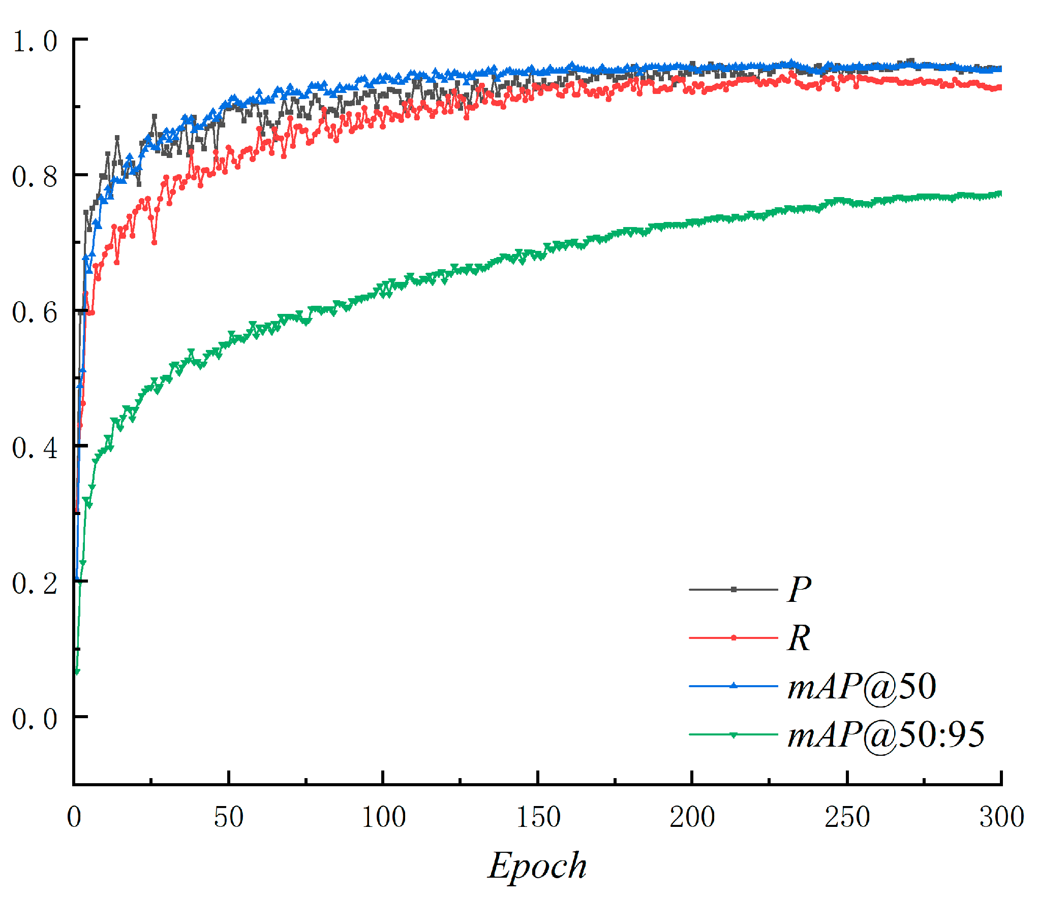
4.2. Experimental Results of the Improved Model
4.3. Ablation Experiments
4.4. Comparative Experiments
4.5. Visual Comparison of Detection Performance
5. Conclusions
- (1)
- By introducing the lightweight PPL-CNet backbone into YOLOv9, the number of model parameters is reduced from 32.55 MB to 19.53 MB, and the GFLOPs are reduced from 247.76 to 126.78. In the mine flame detection experiments, the detection speed reaches 59.49 frames·s−1, indicating that under low-light and color-biased conditions, the model can enhance shallow texture and edge responses and capture rapid flame-boundary flickering at a higher frame rate, thereby mitigating motion blur and missed detections and satisfying the real-time early warning requirements of mine fire safety monitoring.
- (2)
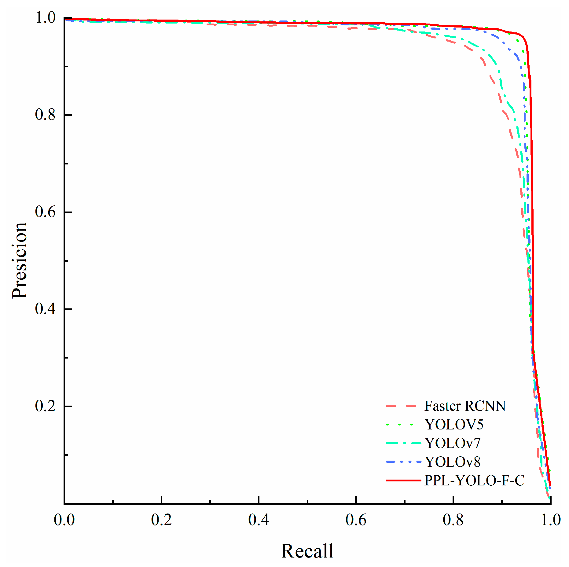
- After integrating the FCAttention frequency-domain channel attention module into PPL-YOLOv9, the precision increases to 91.2%, and mAP improves by 5%, while the number of parameters increases by only 7.59 MB, thus achieving a favorable balance between multi-band channel calibration in the frequency domain and model compactness. On this basis, the introduction of the CARAFE module further boosts precision and mAP to 94.32% and 95.46%, respectively, with a negligible increase in model parameters and GFLOPs. This demonstrates that, under complex exogenous fire operating conditions in mines, frequency-domain attention and cross-layer feature reassembly help distinguish pseudo fire sources such as welding sparks, strong miner-lamp reflections, and metallic highlights from true flames, thereby reducing false alarms and missed alarms and improving detection accuracy. Finally, replacing the loss function of the regression head with MPDIoU increases the precision and mAP in flame detection to 97.36% and 96.49%, respectively, representing a marked improvement over the original model. Compared with Faster R-CNN, YOLOv5m, YOLOv7, and YOLOv8m, the mAP is improved by 12.73%, 1.58%, 5.07%, and 2.00%, respectively. In summary, the proposed mine fire detection algorithm ensures strong robustness and real-time performance, enhances the real-time detection accuracy of mine fires, and provides a practical technical solution for edge deployment in mine safety early warning systems.
- (3)
- Owing to the limited number of training samples in the mine-fire dataset, the overall detection accuracy is still constrained, and the dataset needs to be further enriched. In particular, the self-constructed dataset of 3000 samples may suffer from limitations such as insufficient diversity in real-world mine environments (e.g., variations in coal types, ventilation patterns, dust concentrations, and geographic mine settings across different regions), potential over-reliance on simulated or controlled fire scenarios rather than authentic underground incidents, and underrepresentation of edge cases like extreme low-visibility conditions or multi-source interferences. These factors could hinder the model’s generalization to unseen mines or dynamic operational changes, potentially leading to higher false positives or negatives in deployment. In future work, the proposed model can be combined with smoke-detection modules (e.g., a YOLOv9m-based smoke detection branch) to achieve more comprehensive early warning at the early stage of mine fires. More narrow research directions could include the following: (i) validating the model through targeted field trials in specific high-risk mine subsections (e.g., conveyor belt areas prone to friction-induced fires) to assess real-time performance under varying dust and humidity levels; (ii) optimizing the lightweight architecture for integration with low-power IoT edge devices commonly used in mines, focusing on hardware-specific constraints like ARM-based processors; and (iii) exploring fine-tuned adaptations for detecting exogenous fires from particular causes, such as electrical faults in cabling, by augmenting the dataset with cause-specific annotations to improve causal inference in early warnings.
Author Contributions
Funding
Data Availability Statement
Conflicts of Interest
References
- Kodur, V.; Kumar, P.; Rafi, M.M. Fire hazard in buildings: Review, assessment and strategies for improving fire safety. PSU Res. Rev. 2020, 4, 1–23. [Google Scholar] [CrossRef]
- Wang, D.M.; Cheng, Y.P.; Zhou, F.B.; Ji, J. Experimental Research on Combustion Property of Mine Fire Source. J. China Univ. Min. Technol. 2002, 31, 33–36. [Google Scholar]
- Zhu, H.; Hu, C.; Zhang, Y.; Hu, L.; Yuan, X.; Wang, X. Research Status on Prevention and Control Technology of Coal Spontaneous Fire in China. Saf. Coal Mines 2020, 51, 88–92. [Google Scholar]
- Li, H.; Xiong, S.; Sun, P. S-FCN fire image detection method based on feature engineering. China Saf. Sci. J. 2024, 34, 191–201. [Google Scholar]
- Tang, W.; Zhang, W.; Yuan, H.; Xie, C.; Ren, J. Improvement of Infrared Smoldering Fire Detection Algorithm Based on YOLOv7. J. Combust. Sci. Technol. 2024, 30, 532–538. [Google Scholar]
- Di Nardo, M.; Gallo, M.; Murino, T.; Santillo, L.C. System dynamics simulation for fire and explosion risk analysis in home environment. Int. Rev. Model. Simul. 2017, 10, 43–54. [Google Scholar] [CrossRef]
- Girshick, R. Fast r-cnn. In Proceedings of the IEEE International Conference on Computer Vision, Santiago, Chile, 7–13 December 2015. [Google Scholar]
- Dai, J.; Li, Y.; He, K.; Sun, J. R-FCN: Object Detection via Region-based Fully Convolutional Networks. In Advances in Neural Information Processing Systems; Curran Associates Inc.: New York, NY, USA, 2016. [Google Scholar] [CrossRef]
- He, K.; Gkioxari, G.; Dollár, P.; Girshick, R. Mask r-cnn. In Proceedings of the IEEE International Conference, Venice, Italy, 22–29 October 2017. [Google Scholar]
- Redmon, J.; Divvala, S.; Girshick, R.; Farhadi, A. You Only Look Once: Unified, Real-Time Object Detection. In Proceedings of the 2016 IEEE Conference on Computer Vision and Pattern Recognition (CVPR), Las Vegas, NV, USA, 27–30 June 2016. [Google Scholar] [CrossRef]
- Zhang, F.; Zhang, J.; Cheng, H. Research review on intelligent object detection technology for coal mines based on deep learning. Coal Sci. Technol. 2025, 53, 284–296. [Google Scholar]
- Liu, Y.; Wen, H.; Chen, C.; Guo, J.; Jin, Y.; Zheng, X.; Cheng, X.; Li, D. Research status and development trend of coal spontaneous combustion fire and prevention technology in China: A review. ACS Omega 2024, 9, 21727–21750. [Google Scholar] [CrossRef]
- Qin, B.; Zhong, X.; Wang, D.; Xin, H.; Shi, Q. Research progress of coal spontaneous combustion process characteristics and prevention technology. Coal Sci. Technol. 2021, 49, 66–99. [Google Scholar]
- Hu, J.; Li, Y.; Li, J.; Zhang, W. Study on localization method of mine exogenous fire source based on CNN. J. Saf. Technol. 2024, 20, 134–140. [Google Scholar]
- Wang, W.; Zhang, B.; Wang, Z.; Zhang, F.; Ren, H.; Wang, J. Intelligent identification method of mine fire video images based on YOLOv5. Ind. Mine Autom. 2021, 47, 53–57. [Google Scholar]
- Zhang, W.; Wei, J. Improved YOLOv3 Fire Detection Algorithm Embedded in DenseNet Structure and Dilated Convolution Module. J. Tianjin Univ. (Sci. Technol.) 2020, 53, 976–983. [Google Scholar]
- Zhang, M.; Duan, J.; Liang, Z.; Guo, J.; Chai, D. Firework detection method based on improved YOLO-V5 algorithm. China Saf. Sci. J. 2024, 34, 155–161. [Google Scholar]
- Li, X.; Fan, Y.; Liu, Y.; Li, X.; Liu, Z. Industrial and Mining Fire Detection Algorithm Based on Improved YOLO. Fire Technol. 2025, 61, 709–728. [Google Scholar] [CrossRef]
- Gao, J.; Zhang, W.; Li, Z. YOLO-BFEPS: Efficient Attention-Enhanced Cross-Scale YOLOv10 Fire Detection Mode. Comput. Sci. 2025, 52, 424–432. [Google Scholar]
- Zhao, X.; Yu, M.; Xu, J.; Wu, P.; Yuan, H. An Enhanced YOLOv8n-Based Method for Fire Detection in Complex Scenarios. Sensors 2025, 25, 5528. [Google Scholar] [CrossRef]
- Li, X.; Liu, Y. A Fusion of Entropy-Enhanced Image Processing and Improved YOLOv8 for Smoke Recognition in Mine Fires. Entropy 2025, 27, 791. [Google Scholar] [CrossRef]
- Zhang, K.; Mao, B.; Liu, H.; Zhang, Y. UFS-YOLO: A real-time small fire target detection method incorporated hybrid attention in underground facilities. Measurement 2025, 117948. [Google Scholar] [CrossRef]
- Wang, H.; Fu, X.; Yu, Z.; Zeng, Z. DSS-YOLO: An improved lightweight real-time fire detection model based on YOLOv8. Sci. Rep. 2025, 15, 8963. [Google Scholar] [CrossRef]
- Diwan, T.; Anirudh, G.; Tembhurne, J.V. Object detection using YOLO: Challenges, architectural successors, datasets and applications. Multimed. Tools Appl. 2023, 82, 9243–9275. [Google Scholar] [CrossRef]
- Wang, C.Y.; Yeh, I.H.; Liao, H.Y.M. Yolov9: Learning what you want to learn using programmable gradient information. In Proceedings of the European Conference on Computer Vision, Milan, Italy, 29 September–4 October 2024; Springer Nature: Cham, Switzerland, 2024; pp. 1–21. [Google Scholar]
- Cui, C.; Gao, T.; Wei, S.; Du, Y.; Guo, R.; Dong, S.; Lu, B.; Zhou, Y.; Lv, X.; Liu, Q.; et al. PP-LCNet: A lightweight CPU convolutional neural network. arXiv 2021, arXiv:2109.15099. [Google Scholar] [CrossRef]
- Sun, H.; Wen, Y.; Feng, H.; Zheng, Y.; Mei, Q.; Ren, D.; Yu, M. Unsupervised Bidirectional Contrastive Reconstruction and Adaptive Fine-Grained Channel Attention Networks for Image Dehazing. Neural Netw. Off. J. Int. Neural Netw. Soc. 2024, 176, 106314. [Google Scholar] [CrossRef]
- Wang, J.; Chen, K.; Xu, R.; Liu, Z.; Loy, C.C.; Lin, D. CARAFE: Content-Aware ReAssembly of FEatures. In Proceedings of the IEEE International Conference on Computer Vision 2019, Seoul, Republic of Korea, 27–28 October 2019; pp. 3007–3016. [Google Scholar]
- Gao, J.; Chen, Y.; Wei, Y.; Li, J. Detection of specific building in remote sensing images using a novel YOLO-S-CIOU model. Case: Gas station identification. Sensors 2021, 21, 1375. [Google Scholar] [CrossRef]
- Ma, S.; Xu, Y. MPDIoU: A loss for efficient and accurate bounding box regression. arXiv 2023, arXiv:2307.07662. [Google Scholar] [CrossRef]
- Qi, Y.; Xue, K.; Wang, W.; Cui, X.; Wang, H.; Qi, Q. Assessment model of emergency response capability for coal and gas outburst accidents in mines. China Saf. Sci. J. 2024, 34, 225–230. [Google Scholar]
- Jiang, S.; Zou, X.; Yang, J.; Li, H.; Huang, X.; Li, R.; Zhang, T.; Liu, X.; Wang, D. Concrete bridge crack detection method based on improved YOLOv8s in complex backgrounds. J. Traffic Transp. Eng. 2024, 24, 135–147. [Google Scholar]
- Drzymała, A.J.; Korzeniewska, E. Application of the YOLO algorithm in fire and smoke detection systems for early detection of forest fires in real time. Przegląd Elektrotechniczny 2025, 101, 44–47. [Google Scholar] [CrossRef]















| Parameters | Values |
|---|---|
| Image Size | 640 × 640 × 3 |
| Learning rate | 0.001 |
| Momentun | 0.937 |
| Batch size | 8 |
| Epoch | 300 |
| Weight decay | 0.005 |
| Model | mAP [%] | mAP@50 [%] | mAP@75 [%] | Params [MB] | GFLOPs |
|---|---|---|---|---|---|
| YOLOv9-T | 38.3 | 53.1 | 41.3% | 2.0 | 7.7 |
| YOLOv9-S | 46.8 | 63.4 | 50.7% | 7.1 | 26.4 |
| YOLOv9-M | 51.4 | 68.1 | 56.1% | 20.0 | 76.3 |
| YOLOv9-C | 53.0 | 70.2 | 57.8% | 25.3 | 102.1 |
| YOLOv9-E | 55.6 | 72.8 | 60.6% | 57.3 | 189.0 |
| PP-LCNet | FCAttention | CARAFE | MPDIoU | P | R | mAP@50 | Params | GFLOPs | FPS |
|---|---|---|---|---|---|---|---|---|---|
| [%] | [%] | [%] | [MB] | [Frames·s−1] | |||||
| − | − | − | − | 92.59 | 87.36 | 93.49 | 32.55 | 130.72 | 29.50 |
| √ | − | − | − | 83.79 | 76.04 | 84.72 | 19.53 | 83.901 | 59.49 |
| √ | √ | − | − | 91.20 | 79.61 | 89.00 | 27.12 | 104.90 | 27.79 |
| √ | √ | √ | − | 94.32 | 80.43 | 95.46 | 28.12 | 112.97 | 35.35 |
| √ | √ | √ | √ | 97.36 | 84.91 | 96.49 | 28.12 | 112.97 | 36.33 |
| Model | P [%] | R [%] | mAP@50 [%] | Params [MB] | GFLOPs | FPS [Frames·s−1] |
|---|---|---|---|---|---|---|
| Faster RCNN | 81.62 | 80.86 | 83.76 | 128.55 | 247.76 | 15.60 |
| YOLOv5 | 94.07 | 82.77 | 94.91 | 34.63 | 126.78 | 32.52 |
| YOLOv7 | 92.48 | 81.34 | 91.42 | 35.79 | 136.67 | 31.62 |
| YOLOv8 | 92.59 | 87.36 | 94.49 | 32.45 | 140.72 | 33.14 |
| PPL-YOLO-F-C | 97.36 | 84.91 | 96.49 | 28.12 | 112.97 | 36.33 |
Disclaimer/Publisher’s Note: The statements, opinions and data contained in all publications are solely those of the individual author(s) and contributor(s) and not of MDPI and/or the editor(s). MDPI and/or the editor(s) disclaim responsibility for any injury to people or property resulting from any ideas, methods, instructions or products referred to in the content. |
© 2026 by the authors. Licensee MDPI, Basel, Switzerland. This article is an open access article distributed under the terms and conditions of the Creative Commons Attribution (CC BY) license.
Share and Cite
Zhan, X.; Yao, R.; Qi, Y.; Bai, C.; Li, Q.; Qi, Q. Mine Exogenous Fire Detection Algorithm Based on Improved YOLOv9. Processes 2026, 14, 169. https://doi.org/10.3390/pr14010169
Zhan X, Yao R, Qi Y, Bai C, Li Q, Qi Q. Mine Exogenous Fire Detection Algorithm Based on Improved YOLOv9. Processes. 2026; 14(1):169. https://doi.org/10.3390/pr14010169
Chicago/Turabian StyleZhan, Xinhui, Rui Yao, Yun Qi, Chenhao Bai, Qiuyang Li, and Qingjie Qi. 2026. "Mine Exogenous Fire Detection Algorithm Based on Improved YOLOv9" Processes 14, no. 1: 169. https://doi.org/10.3390/pr14010169
APA StyleZhan, X., Yao, R., Qi, Y., Bai, C., Li, Q., & Qi, Q. (2026). Mine Exogenous Fire Detection Algorithm Based on Improved YOLOv9. Processes, 14(1), 169. https://doi.org/10.3390/pr14010169

