Study of Gas–Water Two-Phase Flow Characteristics During Water Invasion in Large Bottom-Water Gas Reservoirs Based on Long-Core Dynamic Simulation
Abstract
1. Introduction
2. Experimental Procedure
2.1. Materials and Instruments
2.2. Experimental Methods
- (a)
- Sample Preparation
- (b)
- Experimental Setup
- (c)
- Conventional Water Invasion Dynamic Simulation (Relative Permeability Measurement)
- (d)
- HTHP Long-Core Water Invasion Simulation
3. Experimental Results and Discussion
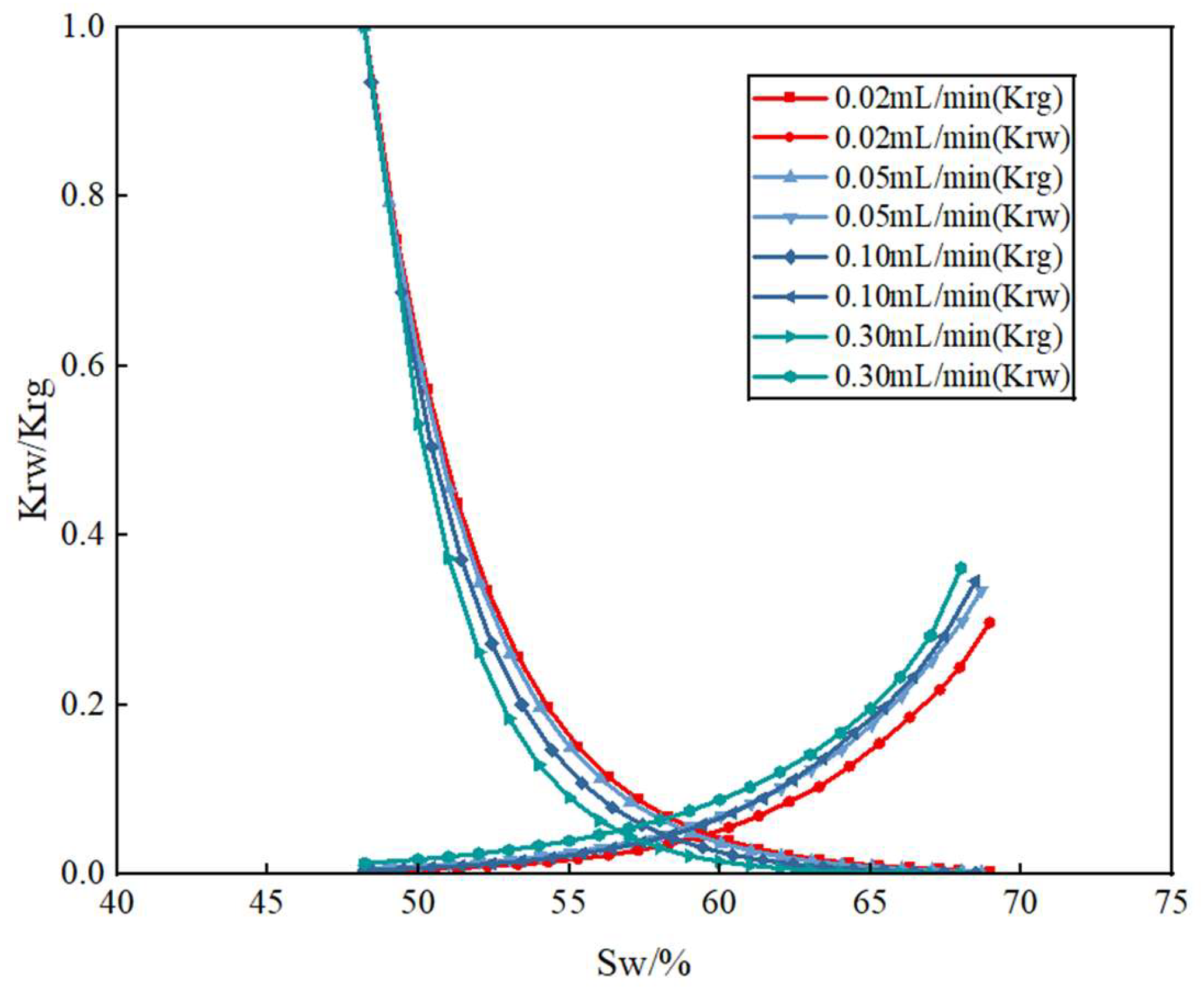
3.1. Relative Permeability Characteristics in Conventional Core Water Invasion Simulation
3.2. Patterns from NMR Scanning Results
3.3. Analysis of Gas–Water Relative Permeability Variations Under Different Water Invasion Rates Using the JBN Method
3.4. Analysis of Gas–Water Relative Permeability Variations Under Different Water Invasion Rates via Normalized Regression Analysis
3.5. Gas–Water Two-Phase Flow Fractional Flow Characteristics
3.6. Relationship Between Injection Volume and Recovery Efficiency
4. Conclusions
- (1)
- The target reservoir in the large bottom-water gas field exhibits strong hydrophilicity. Under varying water invasion rates, lower flow rates—enhanced by capillary forces—penetrate small pores more effectively, resulting in a slower decline in gas-phase relative permeability. Conversely, higher invasion rates rapidly enter large pores, significantly increasing gas–water two-phase flow resistance and accelerating water-phase relative permeability growth. The relative permeability curves demonstrate a leftward shift in the iso-permeability point, progressive reduction in the two-phase co-percolation zone, and increased residual gas saturation.
- (2)
- With increasing water invasion rates, the initial water displacement process exhibits more uniform gas displacement, reflected in gradual water cut (fw) changes relative to water saturation (Sw). At higher invasion rates, viscous fingering occurs, leading to non-uniform displacement and steeper fw–Sw curve slopes. Consequently, post-breakthrough water cut rises rapidly, deteriorating gas displacement efficiency.
- (3)
- Under varying water invasion rates, reservoir recovery efficiency undergoes differential changes. In actual production, reducing water invasion rates can mitigate impacts on reservoir permeability and recovery performance. Simultaneously, economic viability must be considered to optimize invasion rates for maximum profitability.
- (4)
- According to this study, low-permeability layers or impermeable interlayers in geological formations can be understood in practical production, and natural barriers can be used to slow down water infiltration rates. Reducing the production of gas wells reduces the production pressure difference, thereby reducing the power of water to push towards the wellbore. By actively discharging some of the invading water, reducing water pressure, and indirectly weakening the driving force of subsequent water invasion, water invasion can be slowed down.
Author Contributions
Funding
Data Availability Statement
Acknowledgments
Conflicts of Interest
References
- Jia, C.; Zhang, Y.; Zhao, X. Prospects of Challenges to Natural Gas Industry Development in China. Nat. Gas Ind. 2014, 34, 1–13. [Google Scholar]
- Li, X.; Guo, Z.; Hu, Y.; Luo, R.; Su, Y.; Sun, H.; Liu, X.; Wan, Y.; Zhang, Y.; Li, L. Efficient Development Strategies for Large Ultra-Deep Structural Gas Fields in China. Pet. Explor. Dev. 2018, 45, 118–126. [Google Scholar] [CrossRef]
- Mu, L.; Chen, Y.; Xu, A.; Wang, R. Technological progress and development directions of PetroChina overseas oil and gas field production. Petrol. Explor. Develop. 2020, 47, 120–128. [Google Scholar] [CrossRef]
- Lu, J.; Zhao, S. Optimization of Energy Consumption Structure and Natural Gas Industry Development Prospect in China. Nat. Gas Ind. 2013, 33, 9–15. [Google Scholar]
- Zou, C.; Zhao, Q.; Chen, J.; Li, J.; Yang, Z.; Sun, Q.; Lu, J.; Zhang, G. Natural Gas in China: Development Trend and Strategic forcast. Nat. Gas Ind. 2018, 38, 380–390. [Google Scholar] [CrossRef]
- Dai, J.; Qin, S.; Hu, G.; Ni, Y.; Gan, L.; Huang, T.; Hong, F. Major Progress in the Natural Gas Exploration and Development in the past Seven Decades in China. Pet. Explor. Dev. 2019, 46, 1037–1046. [Google Scholar] [CrossRef]
- Li, J.; Zheng, M.; Zhang, G.; Yang, T.; Wang, S.; Dong, D.; Wu, X.; Zhai, H.; Chen, X. Potential and Prospects of Conventional and Unconventional Natural Gas Resource in China. Acta Pet. Sin. 2012, 33, 89–98. [Google Scholar]
- Jia, A.; Yan, H.; Guo, J.; He, D.; Wei, T. Characteristics and experiences of the development of various giant gas fields all over the world. Nat. Gas Ind. 2014, 34, 33–46. [Google Scholar]
- Zhang, J.; Li, X.; Gao, S.; Ye, L.; Liu, H.; Zhu, W.; Fang, F. Water production mechanism of tight sandstone gas reservoir and its influence on percolation capacity. Nat. Gas Geosci. 2019, 30, 1519–1530. [Google Scholar]
- Fang, J.; Guo, P.; Xiao, X.; Du, J.; Dong, C.; Xiong, Y.; Long, F. Gas-water relative permeability measurement of high temperature and high pressure tight gas reservoirs. Pet. Explor. Dev. 2015, 42, 92–96. [Google Scholar] [CrossRef]
- Yan, Y.; Chen, J.; Guo, J.; Cheng, Y.; Zhang, Q. A visualized experiment on gas-water two-phase seepage through oolitic reservoirs in the Longgang Gas Field, Sichuan Basin. Nat. Gas Ind. 2012, 32, 64–66. [Google Scholar]
- Li, T. Characteristics of water influx in the development of the Puguang Gas Field, Sichuan Basin. Nat. Gas Ind. 2014, 34, 65–71. [Google Scholar]
- Zhang, T.; Sun, T.; Chen, W.; Zhu, G.; Wang, X. Pore-scale simulation of gas-water two phase flow in carbonate reservoir with different combinations of pore, network and hole. J. Southwest Pet. Univ. Sci. Technol. Ed. 2023, 45, 88–96. [Google Scholar]
- Wang, H.; Liu, Y.; Wang, F.; Wang, X.; Meng, W.; Zhang, J.; Pang, Y. Water Invasion Law in Deepsea Bottom-water Gas Reservoirs and a Water Invasion Risk Identification Method. Nat. Gas Ind. 2020, 40, 71–79. [Google Scholar]
- Liu, H.; Ren, D.; Gao, S.; Hu, Z.; Ye, L.; Liu, X. Water influx mechanism and development strategy of gas reservoirs with edge and bottom water. Nat. Gas. Ind. 2015, 35, 47–53. [Google Scholar]
- Shen, W.J.; Li, X.Z.; Liu, X.H.; Lu, J.L.; Jiao, C.Y. Physical simulation of water influx mechanism in fractured gas reservoirs. J. Cent. South Univ. (Sci. Technol.) 2014, 45, 3283–3287. [Google Scholar]
- Kabir, C.S. Predicting gas well performance coning water in bottom-water-drive reservoirs. In Proceedings of the SPE Annual Technical Conference and Exhibition, San Francisco, CA, USA, 5–8 October 1983. [Google Scholar]
- Fan, H.; Zhong, B.; Li, X.; Liu, Y.; Yang, H.; Feng, X.; Zhang, Y. Studies on water invasion mechanism of fractured-watered gas reservoir. Nat. Gas Geosci. 2012, 23, 1179–1184. [Google Scholar]
- Yang, D.; Xie, K.; Yin, Q.; Lu, X.; Xiao, J.; Shen, W. Research status and prospect of water intrusion law in edge and bottom water gas reservoirs. Nat. Gas Geosci. 2024, 35, 1304–1322. [Google Scholar]
- Xu, X.; Mei, Q.; Chen, Y.; Han, Y.; Tang, H.; Jiao, C.; Guo, C. Experimental analysis method for water invasion and development performance of gas reservoir. Nat. Gas Geosci. 2020, 31, 1355–1366. [Google Scholar]
- Fang, F.; Li, X.; Gao, S.; Liu, H.; Zhu, W.; An, W.; Li, C.; Gui, T. Study on dynamic physical simulation experiment of water invasion in carbonate gas reservoir. In Proceedings of the 2016 Annual Natural Gas Academic Conference, Yinchuan, China, 28 September 2016. [Google Scholar]
- Guo, Z.; Li, Z.; Yang, Z. Method of determining water invasion model by dynamic production data in Yangta-one gas reservoir. Sci. Technol. Eng. 2015, 15, 206–209. [Google Scholar]
- Fang, F.F.; Li, X.Z.; Gao, S.S.; Xue, H.; Zhu, W.Q.; Liu, H.X.; An, W.G.; Li, C.H. Visual simulation experimental study on water invasion rules of gas reservoir with edge and bottom water. Nat. Gas Geosci. 2016, 27, 2246–2252. [Google Scholar]
- Fang, F.; Shen, W.; Gao, S.; Liu, H.; Wang, Q.; Li, Y. Experimental Study on the Physical Simulation of Water Invasion in Carbonate Gas Reservoirs. Appl. Sci. 2017, 7, 697. [Google Scholar] [CrossRef]
- Huang, X.; Guo, X.; Zhou, X.; Shen, C.; Lu, X.; Qi, Z.; Xiao, Q.; Yan, W. Effects of water invasion law on gas wells in high temperature and high pressure gas reservoir with a large accumulation of water-soluble gas. J. Nat. Gas Sci. Eng. 2019, 62, 62–78. [Google Scholar] [CrossRef]
- Xu, X.; Li, X.; Hu, Y.; Mei, Q.; Shi, Y.; Jiao, C. Physical simulation for water invasion and water control optimization in water drive gas reservoirs. Sci. Rep. 2021, 11, 6301. [Google Scholar] [CrossRef] [PubMed]
- Xu, X.; Wan, Y.; Chen, Y.; Hu, Y.; Mei, Q.; Jiao, C. Physical simulation of water invasion and water control for the fractured water-bearing gas reservoirs. Nat. Gas Geosci. 2019, 30, 1508–1518. [Google Scholar]
- Han, X.; Shan, S.; Xu, G.; Han, Y.; Guo, Y.; Yang, B.; Zhang, J.; Yao, P.; Chu, X.; Zhang, P. Single-and Multifractal Dimension Variation of the Pore-Fracture System in Tight Sandstone by Using High-Pressure Mercury Intrusive Tests and Its Influence on Porosity–Permeability Variation. Energy Fuels 2023, 37, 11969–11981. [Google Scholar] [CrossRef]
- Ren, X.; Li, A.; Wang, G.; He, B.; Fu, S. Pore Structure and Porosity–Permeability Evolution Characteristics of Coal/Rocks under the Action of High-Viscosity Slickwater. Energy Fuels 2025, 39, 5279–5294. [Google Scholar] [CrossRef]
- Chen, M.; Dai, J.; Liu, X.; Qin, M.; Pei, Y.; Wang, Z. Differences in the Fluid Characteristics between Spontaneous Imbibition and Drainage in Tight Sandstone Cores from Nuclear Magnetic Resonance. Energy Fuels 2018, 32, 10333–10343. [Google Scholar] [CrossRef]
- Hu, Y.; Li, X.; Shen, W.; Guo, C.; Jiao, C.; Xu, X.; Jia, Y. Study on the Water Invasion and Its Effect on the Production from Multilayer Unconsolidated Sandstone Gas Reservoirs. Geofluids 2021, 2021, 5135159. [Google Scholar] [CrossRef]
- Feng, X.; Zhong, B.; Yang, X.; Deng, H. Effective water influx control in gas reservoir development: Problems and countermeasures. Nat. Gas Ind. 2015, 35, 35–40. [Google Scholar] [CrossRef]
- Jafari, I.; Jamshidi, S.; Masihi, M. Investigating the mechanism of water inflow in gas wells in fractured gas reservoirs and designing a controlling method. Int. J. Chem. Environ. Biol. Sci. 2012, 3, 482–487. [Google Scholar]
- Cheng, K.H.; Jiang, T.W.; Wang, X.Y.; Mou, W.J.; Pan, Z.C. A study on water invasion mechanism of the bottom-water gas reservoir in the ordovician system of hetian-he gas field. Nat. Gas Ind. 2007, 27, 108–110. [Google Scholar]
- Xiong, Y.; Yang, S.; Le, H.; Tang, J.; Yu, X. A new method of water influx performance analysis on fracture gas reservoirs with bottom water. Nat. Gas Ind. 2010, 30, 61–64. [Google Scholar]
- GB/T 28912-2012; Method for Determining Relative Permeability of Two-Phase Fluids in Rocks. Standardization Administration of China: Beijing, China, 2012.
- Treiber, L.E.; Owens, W.W. A laboratory evaluation of the wettability of fifty oil-producing reservoirs. Soc. Pet. Eng. J. 1972, 12, 531–540. [Google Scholar] [CrossRef]
- Anderson, W.G. Wettability literature survey-part 1: Rock/oil/brine interactions and the effects of core handling on wettability. J. Pet. Technol. 1986, 38, 1125–1144. [Google Scholar] [CrossRef]
- Djebbar, T.; Donaldson, E.C. Theory and Practice of Measuring Reservoir Rock and Fluid Transport Properties; Gulf Professional Publishing: Houston, TX, USA, 2012. [Google Scholar]
- Guo, P.; Zhou, R.; Tian, Z.; Wang, Y.; Zhao, J.; Yu, C. Gas and water distribution characteristics of water-driven gas process in tight sandstone gas reservoirs: A microscale study by molecular simulation and experiment. Energy Rep. 2022, 8, 7025–7036. [Google Scholar] [CrossRef]
- Han, X.; Tan, X.; Li, X.; Pang, Y.; Zhang, L. Water invasion performance of complex fracture-vuggy gas reservoirs based on classification modeling. Adv. Geo-Energy Res. 2021, 5, 222–232. [Google Scholar] [CrossRef]
- Jiang, G.; Li, Y.; Zhang, M. Evaluation of gas wettability and its effects on fluid distribution and fluid flow in porous media. Pet. Sci. 2013, 10, 515–527. [Google Scholar] [CrossRef]
- Zhang, X.; Wang, C.; Wu, H.; Zhao, X. Application of new water flooding characteristic curve in the high water-cut stage of an oilfield. Fluid Dyn. Mater. Process. 2022, 18, 661–677. [Google Scholar] [CrossRef]
- Feng, Q.; Zhang, J.; Wang, S.; Wang, X.; Cui, R.; Wang, D.; Bing, S.; Rui, Z. Unified relative permeability model and waterflooding type curves under different levels of water cut. J. Pet. Sci. Eng. 2017, 154, 204–216. [Google Scholar] [CrossRef]








| Core ID | Length (cm) | Diameter (cm) | Porosity (%) | Permeability (mD) | Pore Volume (cm3) |
|---|---|---|---|---|---|
| 1 | 5.370 | 2.465 | 19.0 | 55.1 | 4.86 |
| 2 | 5.870 | 2.461 | 19.0 | 77.7 | 5.32 |
| 3 | 5.946 | 2.460 | 19.9 | 83.8 | 5.61 |
| 4 | 5.915 | 2.461 | 18.9 | 91.4 | 5.32 |
| 5 | 5.865 | 2.489 | 15.8 | 31.9 | 4.26 |
| 6 | 5.393 | 2.460 | 19.7 | 99.4 | 5.06 |
| 7 | 5.948 | 2.461 | 19.2 | 99.9 | 5.44 |
| 8 | 5.539 | 2.492 | 18.3 | 28.0 | 4.77 |
| 9 | 5.898 | 2.487 | 20.0 | 101.0 | 5.44 |
| 10 | 5.685 | 2.490 | 20.0 | 100.0 | 5.06 |
| 11 | 5.546 | 2.486 | 20.7 | 120.6 | 4.67 |
| Ion Content (mg/L) | Water Type | Salinity mg/L | ||||||
|---|---|---|---|---|---|---|---|---|
| Na+ + K+ | Ca2+ | Mg2+ | Cl− | SO42− | HCO3− | CO32− | ||
| 12,980 | 94 | 34 | 10,318 | 0 | 2756 | 0 | NaHCO3 | 13,073 |
| Water Invasion Rates (mL/min) | Swi (%) | Sw (Sgr) (%) | Krw (Sgr) | Co-Percolation Point (%) | Co-Percolation Zone (%) |
|---|---|---|---|---|---|
| 0.02 | 48.21 | 68.95 | 0.2975 | 59.65 | 20.74 |
| 0.05 | 48.21 | 68.68 | 0.3355 | 58.73 | 20.47 |
| 0.10 | 48.21 | 68.49 | 0.3463 | 58.19 | 20.28 |
| 0.30 | 48.21 | 68.00 | 0.3617 | 56.61 | 19.79 |
Disclaimer/Publisher’s Note: The statements, opinions and data contained in all publications are solely those of the individual author(s) and contributor(s) and not of MDPI and/or the editor(s). MDPI and/or the editor(s) disclaim responsibility for any injury to people or property resulting from any ideas, methods, instructions or products referred to in the content. |
© 2025 by the authors. Licensee MDPI, Basel, Switzerland. This article is an open access article distributed under the terms and conditions of the Creative Commons Attribution (CC BY) license (https://creativecommons.org/licenses/by/4.0/).
Share and Cite
Zhao, Z.; Wang, C.; Xu, S.; Shi, L. Study of Gas–Water Two-Phase Flow Characteristics During Water Invasion in Large Bottom-Water Gas Reservoirs Based on Long-Core Dynamic Simulation. Processes 2025, 13, 2761. https://doi.org/10.3390/pr13092761
Zhao Z, Wang C, Xu S, Shi L. Study of Gas–Water Two-Phase Flow Characteristics During Water Invasion in Large Bottom-Water Gas Reservoirs Based on Long-Core Dynamic Simulation. Processes. 2025; 13(9):2761. https://doi.org/10.3390/pr13092761
Chicago/Turabian StyleZhao, Zhengyi, Changquan Wang, Shijing Xu, and Lihong Shi. 2025. "Study of Gas–Water Two-Phase Flow Characteristics During Water Invasion in Large Bottom-Water Gas Reservoirs Based on Long-Core Dynamic Simulation" Processes 13, no. 9: 2761. https://doi.org/10.3390/pr13092761
APA StyleZhao, Z., Wang, C., Xu, S., & Shi, L. (2025). Study of Gas–Water Two-Phase Flow Characteristics During Water Invasion in Large Bottom-Water Gas Reservoirs Based on Long-Core Dynamic Simulation. Processes, 13(9), 2761. https://doi.org/10.3390/pr13092761

