Fractal Dimension and Classification Evaluation of Microfractured Tight Reservoirs in Yongjin Oilfield
Abstract
1. Introduction
2. Characteristics of Micro-Parameters of Tight Reservoirs in Yongjin Oilfield
2.1. Microscopic Pore Structure Parameters
2.2. Microfracture Parameters
3. Pore-Fracture Fractal Dimension in Microfractured Tight Reservoirs
3.1. Calculation Method of Pore-Fracture Fractal Dimension
3.2. Calculation Example of Pore Fracture Fractal Dimension
4. Comprehensive Evaluation Method for Microfractured Tight Reservoirs
4.1. Classification and Evaluation Parameter Boundaries
4.2. Classification Comprehensive Evaluation Index
5. Discussion
6. Conclusions
- (1)
- The characteristics of pore seam parameters in microfractured tight reservoirs in Yongjin Oilfield were clarified, with the permeability of type I, II and III cores decreasing sequentially, the pore radius decreasing from 40.46 μm to 33.25 μm, the throat radius decreasing from 0.73 μm to 0.32 μm, the pore-to-throat ratio increasing dramatically from 89.29 to 150.12, the allometry decreasing from 2.49 to 1.70, the meandering degree decreasing from 4.58 to 5.89, and the shape factor decreasing from 0.024 to 0.018. The microfracture extension length varied from 50 μm to 6000 μm, thefracture aperture ranged from 10 to 40 μm, the microfracture line density ranged from 0.02 to 0.16 lines/cm, and the wall roughness ranged from 7 to 10.
- (2)
- The main factors affecting the development effect of microfractured tight reservoirs were identified and reduced in order of weight coefficients, including the fractal dimension of pores and fractures, permeability, throat radius, oil saturation, fracture aperture, reservoir thickness, crude oil viscosity, and fracture length. The weight coefficients are 0.1586, 0.1384, 0.1270, 0.1249, 0.1244, 0.1193, 0.1175, and 0.090, respectively. Combining the equivalent permeability and the trend of each factor, the classification boundary of the reservoir was clarified, providing a basis for calculating the classification boundary of the comprehensive evaluation index of the reservoir.
- (3)
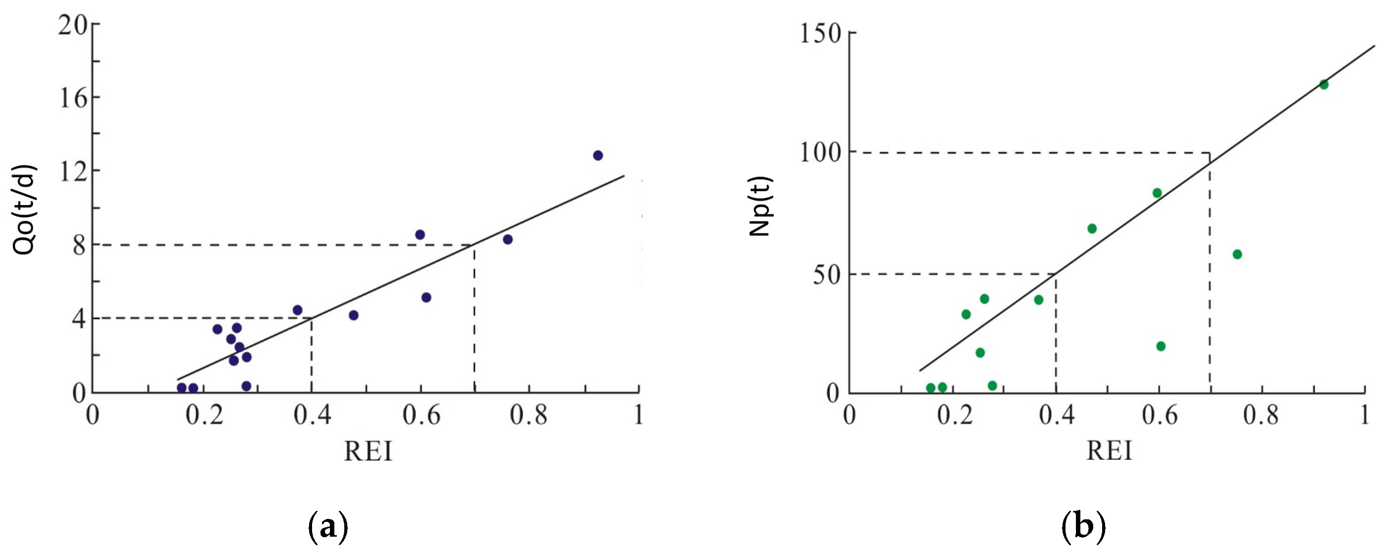
- A method for calculating the fractal dimension of microfractured tight reservoirs and a comprehensive quantitative evaluation method were established. The microfractured tight reservoirs in Yongjin Oilfield can be classified into class I, II, and III according to their development effects. The comprehensive evaluation index (REI) of class I reservoirs is greater than 0.7, and the fractal dimension of pores and fractures is less than 2.4. The comprehensive evaluation index (REI) of class II reservoirs ranges from 0.4 to 0.7, and the fractal dimension of pores and fractures ranges from 2.4 to 2.6. The comprehensive evaluation index (REI) of class III reservoirs is less than 0.4, and the fractal dimension of pores and fractures is greater than 2.6. The classification results are consistent with the dynamic data of the mining site. This achievement can provide a scientific basis for the rapid evaluation of reservoirs and the formulation of development strategies.
Author Contributions
Funding
Data Availability Statement
Acknowledgments
Conflicts of Interest
References
- Liu, H.; Zhang, C.; Gai, S.; Yu, Z.; Li, J.; Yuan, H.; Zhang, L.; Liu, H. Diagenetic facies identification and distribution prediction of Jurassic ultra-deep tight sandstone reservoirs in Yongjin Oilfield, Junggar Basin. Pet. Geol. Recovery Effic. 2024, 31, 13–22. [Google Scholar]
- Dong, C. The Study on the Formation Mechanism of Xishanyao Reservoir in Yongjin Oilfield, Junggar Basin. Xinjiang Geol. 2014, 32, 92–95. [Google Scholar]
- Jiao, C.; Xia, D.; Wang, J.; Liu, L.; Sheng, W.; Cheng, P. The Study on Determining Petrophysical Property Cutoffs of Extra-Low Porosity and Permeability Sandstone Reservoirs—A Case Study from the Xishanyao Formation Reservoirs in Yongjin Oilfield, Junggar Basin. Oil Gas Geol. 2009, 30, 379–383. [Google Scholar]
- Pang, M.; Ba, J.; Carcione, J.; Vesnaver, A.; Ma, R.; Chen, T. Analysis of the Attenuation Rock Physics Template of Tight Sandstones: Reservoir Microcrack Prediction. Acta Geophys. Sin. 2020, 63, 4205–4219. [Google Scholar]
- Yin, S.; Ding, W.; Shan, Y.; Zhou, W.; Xie, R. A New Method for Quantitative Evaluation of Microcrack Stress Sensitivity in Tight Sandstone Reservoirs Based on Acoustic Data Inversion. Rock Soil Mech. 2017, 38, 409–418. [Google Scholar]
- Rui, H. Study on the Micro-Fracture Formation Rule During Shut-In Time in Tight Reservoir. Master’s Thesis, Northeast Petroleum University, Daqing, China, 2020. [Google Scholar]
- Ma, S.; Zhang, Y. Study on the pore structure of tight reservoir by using method of mercury injection-A case study of the Lucaogou Formation in Jimsar sag. Pet. Geol. Recovery Effic. 2017, 24, 26–33. [Google Scholar]
- Ma, S.; Niu, D.; Wen, H.; Zhang, Y.; Wang, H.; Zhang, J. Reservoir Classification and Evaluation Based on Rock Pore Structure. J. Heilongjiang Univ. Sci. Technol. 2016, 26, 414–421. [Google Scholar]
- Jiang, P.; Jia, H.; Ma, S. The Quantitative Characterization of the Multiple Fractal Features of the Pore Structure in Tight Sandstone Formation. J. Petrochem. Univ. 2018, 31, 69. [Google Scholar]
- Sun, Y.; Yu, H.; Ma, S.; Deng, M.; Xiang, Y.; Zhang, Y. Physical property of tight sandstone reservoir and its controlling factors: A case study of the fourth member of Cretaceous Quantou formation in Da’an area of Songliao basin. J. China Univ. Min. Technol. 2017, 46, 810–817. [Google Scholar]
- Wang, X.; Deng, L.; Zhang, J.; Yi, X. Characteristics of pore structure of lower Paleozoic reservoir in Fugu Area. Fault-Block Oil Gas Field 2010, 17, 49–51. [Google Scholar]
- Wang, X.; Yin, S.; Cao, M.; Xia, X.; Liu, D.; Zhang, J.; Wu, C.; Li, Q.; Wang, H.; Lu, R. Microscopic Pore of Sandstone in Longde Coal Mine Based on FHH Fractal Theory. Saf. Coal Mines 2024, 55, 179–189. [Google Scholar]
- Ying, S.; Ping, Z.; Cui, Y.; Wang, X. Carboniferous Reservoir Evaluation and Distribution Characteristics in Gaofengchang Gas Field, Eastern Sichuan Basin. Shandong Chem. Ind. 2018, 47, 184–186. [Google Scholar]
- Yin, D.; Wang, D.; Zhou, Y.; Zhang, C. Pore Structure Characteristics of Ultra-Low Permeability Reservoirs. Nat. Resour. Res. 2020, 30, 451–462. [Google Scholar] [CrossRef]
- Wang, D.; Yin, D.; Zhou, Y. Fine classification of ultra-low permeability reservoirs around the Placanticline of Daqing oilfield (PR of China). J. Pet. Sci. Eng. 2019, 174, 1042–1052. [Google Scholar]
- Liu, H.; Gai, S.; Yu, W.; Liu, H.; Zhang, C.; Zhang, L. Fracture Identification in Super-Deeply Buried Tight Sandstone Reservoirs in Yongjin Oilfield, Junggar Basin, China. Well Logging Technol. 2022, 46, 592–598. [Google Scholar]
- Sun, X. On Classification and Evaluation of Extra-low Porosity and Permeability Reservoir in Yongjin Oilfield, Dzungaria Basin. Well Logging Technol. 2012, 36, 479–484. [Google Scholar]
- Li, Q.; Li, Q.; Wang, F.; Xu, N.; Wang, Y.; Bai, B. Settling behavior and mechanism analysis of kaolinite as a fracture proppant of hydrocarbon reservoirs in CO2 fracturing fluid. Colloids Surf. A Physicochem. Eng. Asp. 2025, 724, 137463. [Google Scholar] [CrossRef]
- Qingchao, L.; Jingjuan, W.; Qiang, L.; Fuling, W.; Yuanfang, C. Sediment Instability Caused by Gas Production from Hydrate-Bearing Sediment in Northern South China Sea by Horizontal Wellbore: Sensitivity Analysis. Nat. Resour. Res. 2025, 34, 1667–1699. [Google Scholar] [CrossRef]
- Yu, C.; Qu, K.; Guo, Q.; Zhang, Y.; Shen, W.; Shao, J. Pore Fractal Structure Characteristics and Reservoir Comprehensive Evaluation of Tight Volcanic Rocks in Northern Songliao Basin. Mud. Logging Eng. 2024, 35, 113–120. [Google Scholar]
- Wang, K.; Yin, L.; Song, J.; Zhang, Q.; Pei, W.; Meng, Y.; Gao, W.; Zhang, X.; Qiu, Z. Reservoir Characteristics and Exploration Potential Evaluation of Zhaoxian Shale in Benxi Formation, Hengshan⁃Wupu Area, Ordos Basin. Nat. Gas Geosci. 2024, 35, 2196–2214. [Google Scholar]
- Xie, M.; Zhang, D.; Luo, H.; Zhai, G.; Wang, T.; Hu, J.; Ma, M.; Sun, W.; Jin, Z. Characterization of pore structure of Upper Paleozoic dense reservoir in Ordos Basin: Cases study of the Shanxi Formation and the Xiashihezi Formation in Yanchi area. Nat. Gas Geosci. 2023, 34, 1173–1186. [Google Scholar]
- Chen, S. Study on Fractal Structure and Reservoir Characteristics of Shale Pore from the Deep Wufeng Formation to Longmaxi Formation in South Sichuan. Master’s Thesis, Yangtze University, Jingzhou, China, 2023. [Google Scholar]
- Wei, K. Multi-Scale Digital Core Modeling of Typical Well Shale in QingshankouFormation in Songliao Basin. Master’s Thesis, Northeast Petroleum University, Daqing, China, 2023. [Google Scholar]
- Lin, T.; Ran, Q.; Wei, H.; Sun, X.; Wang, R. Pore-throat characteristics of tight sandstones and its influence on reservoirs in Dibei area of the Kuqa Depression. Pet. Geol. Exp. 2015, 37, 696–703. [Google Scholar]
- He, J.; Yang, Y.; Chen, W.; Xia, M.; Jia, S.; He, K.; Zhang, Y.; Liu, Y. Characteristics and main controlling factors for narrow channel tight sandstone reservoir: A case study of Shaximiao Formation in Jinhua Block of Tianfu Gas Field. Fault-Block Oil Gas Field 2024, 31, 1–10. [Google Scholar]







| Permeability (10−3 μm2) | Number of Cores | Value | Pore Radius (μm) | Avg. Throat Radius (μm) | Avg. Pore–Throat Ratio | Coordination Number | Tortuosity | Shape Factor |
|---|---|---|---|---|---|---|---|---|
| <0.1 | 6 | Range | 28.94–37.85 | 0.05–0.54 | 131.32–175.37 | 1.45–2.09 | 5.73–6.01 | 0.017–0.019 |
| Average | 33.25 | 0.32 | 150.12 | 1.70 | 5.89 | 0.018 | ||
| 0.1–1 | 3 | Range | 33.83–40.16 | 0.05–1.07 | 104.15–132.08 | 1.93–2.38 | 4.86–5.34 | 0.020–0.024 |
| Average | 37.37 | 0.46 | 118.32 | 2.20 | 5.09 | 0.022 | ||
| >1 | 2 | Range | 36.62–43.90 | 0.05–1.52 | 79.87–98.71 | 2.33–2.65 | 4.44–4.72 | 0.023–0.025 |
| Average | 40.46 | 0.73 | 89.29 | 2.49 | 4.58 | 0.024 |
| Permeability (10−3 μm2) | Number of Cores | Value | Fracture Length (μm) | Fracture Aperture (μm) | Fracture Density (Bars/cm) | Fracture Wall Roughness |
|---|---|---|---|---|---|---|
| <0.1 | 6 | Range | 4.5–21.7 | 14.4–23.7 | 0.02–0.08 | 7.63–8.78 |
| Average | 13.16 | 18.87 | 0.04 | 8.08 | ||
| 0.1–1 | 3 | Range | 28.6–44.3 | 26.9–35.7 | 0.08–0.12 | 8.57–9.34 |
| Average | 36.80 | 31.13 | 0.11 | 8.86 | ||
| ˃1 | 2 | Range | 48.2–55.8 | 38.3–40.9 | 0.14–0.16 | 9.34–9.92 |
| Average | 52.00 | 39.60 | 0.15 | 9.63 |
| Pore | Pore Fractal Dimension | Microfracture Fractal Dimension | Pore Fracture Fractal Dimension | ||
|---|---|---|---|---|---|
| Pore Throat | Proportion of Pore Throat | Fractal Dimension | |||
| Large Pore Throat | 0.12 | 2.7890 | 2.52 | 2.33 | 2.46 |
| Medium Pore Throat | 0.25 | 2.7069 | |||
| Small Pore Throat | 0.28 | 2.4452 | |||
| Micropore Throat | 0.35 | 2.3658 | |||
| Classification | Microscopic Pore Structure Parameters | Macroscopic Reservoir Physical Properties and Fluid Parameters | ||||||
|---|---|---|---|---|---|---|---|---|
| Throat Radius (μm) | Fractal Dimension | Fracture Length (μm) | Fracture Aperture (μm) | Permeability (mD) | Reservoir Thickness (m) | Oil Saturation (%) | Crude Oil Viscosity (mPa.s) | |
| Type I | >1.0 | <2.4 | >5000 | >100 | >1 | >2 | >50 | <5 |
| Type II | 0.5~1.0 | 2.4~2.6 | 2000~5000 | 25~100 | 0.1~1 | 1~2 | 40~50 | 5~10 |
| Type III | <0.5 | >2.6 | <2000 | <25 | <0.1 | <1 | <40 | >10 |
| Ratio | Microscopic Pore Structure Parameters (Primary Weighting Coefficient: 50%) | Macroscopic Reservoir Physical Properties and Fluid Parameters (Primary Weighting Coefficient: 50%) | ||||||
|---|---|---|---|---|---|---|---|---|
| Throat Radius Rc | Fractal Dimension FD | Fracture Length Lf | Fracture Aperture c | Permeability k | Reservoir Thickness h | Oil Saturation So | Crude Oil Viscosity μ | |
| Grey Correlation Degree | 0.4332 | 0.5413 | 0.3071 | 0.4245 | 0.8848 | 0.7629 | 0.7985 | 0.7513 |
| Secondary Weight Coefficient | 0.2539 | 0.3173 | 0.1800 | 0.2488 | 0.2767 | 0.2386 | 0.2497 | 0.2350 |
| Final Weight Coefficient | 0.1270 | 0.1586 | 0.0900 | 0.1244 | 0.1384 | 0.1193 | 0.1249 | 0.1175 |
Disclaimer/Publisher’s Note: The statements, opinions and data contained in all publications are solely those of the individual author(s) and contributor(s) and not of MDPI and/or the editor(s). MDPI and/or the editor(s) disclaim responsibility for any injury to people or property resulting from any ideas, methods, instructions or products referred to in the content. |
© 2025 by the authors. Licensee MDPI, Basel, Switzerland. This article is an open access article distributed under the terms and conditions of the Creative Commons Attribution (CC BY) license (https://creativecommons.org/licenses/by/4.0/).
Share and Cite
Li, C.; Wang, D.; Yin, D.; Sun, Y. Fractal Dimension and Classification Evaluation of Microfractured Tight Reservoirs in Yongjin Oilfield. Processes 2025, 13, 2228. https://doi.org/10.3390/pr13072228
Li C, Wang D, Yin D, Sun Y. Fractal Dimension and Classification Evaluation of Microfractured Tight Reservoirs in Yongjin Oilfield. Processes. 2025; 13(7):2228. https://doi.org/10.3390/pr13072228
Chicago/Turabian StyleLi, Chunguang, Dongqi Wang, Daiyin Yin, and Yang Sun. 2025. "Fractal Dimension and Classification Evaluation of Microfractured Tight Reservoirs in Yongjin Oilfield" Processes 13, no. 7: 2228. https://doi.org/10.3390/pr13072228
APA StyleLi, C., Wang, D., Yin, D., & Sun, Y. (2025). Fractal Dimension and Classification Evaluation of Microfractured Tight Reservoirs in Yongjin Oilfield. Processes, 13(7), 2228. https://doi.org/10.3390/pr13072228

