Thurstonian Model for the Difference-from-Control Test
Abstract
1. Introduction
2. Materials and Methods
2.1. Folded Normal Distribution for Perception of Difference Between Two Samples in the DFC Test
2.2. Three Parameters (Indices), , , and , Related to the DFC Model
2.3. Maximum Likelihood Estimations (MLEs) of , , and from Ratings of the DFC
2.4. Nonparametric Estimations of from Ratings of the DFC
2.5. Statistical Tests for (or or )
2.6. Difference Testing Power and Sample Size for DFC
2.7. Ratings Data of the DFC Test
3. Results
3.1. Estimations of Parameters in the Model for the DFC
3.1.1. Maximum Likelihood Estimations (MLEs) of , , and
3.1.2. Nonparametric Estimation of , , and
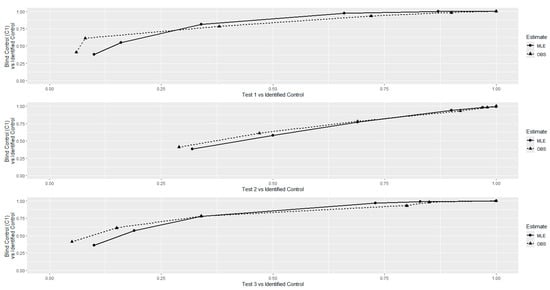
3.1.3. Comparison of MLE and Nonparametric Estimations of
3.2. Statistical Tests for , , or
3.2.1. Difference Test Based on Individual Parameters, e.g., d′ and Its Variance
3.2.2. One-Sided Equivalence/Similarity Test Based on Individual Estimator, e.g., d′, Its Variance, and a Specified Similarity Limit
3.2.3. Difference Test Based on Multiple Parameter Values, e.g., Multiple d′ Values and Their Variances
3.2.4. Multiple Comparisons for Multiple Parameter Values, e.g., Multiple d′ Values and Their Variances
3.2.5. Equivalence/Similarity Test Based on Two Parameter Values, e.g., Two d′ Values, Their Variances, and a Specified Similarity Limit
3.3. Difference Testing Power and Sample Size for DFC Data in Terms of
3.4. Observed Proportions and Predicted Probabilities for Categories of DFC Ratings
| >dfc6[,c(1,2)]/100 | ||||
| Blind Control | vs. | Identified Control Test 1 | vs. | Identified Control |
| 5 | 0.02 | 0.10 | ||
| 4 | 0.05 | 0.18 | ||
| 3 | 0.15 | 0.34 | ||
| 2 | 0.17 | 0.30 | ||
| 1 | 0.20 | 0.02 | ||
| 0 | 0.41 | 0.06 | ||
| >DFCmle0(dfc6[,c(1,2)]) | ||||
| C1 | vs. | C T | vs. | C |
| 5 | 0.0043 | 0.1263 | ||
| 4 | 0.0290 | 0.2113 | ||
| 3 | 0.1582 | 0.3201 | ||
| 2 | 0.2647 | 0.1817 | ||
| 1 | 0.1660 | 0.0624 | ||
| 0 | 0.3777 | 0.0981 | ||
4. Discussion
4.1. Thurstonian Model for the DFC and the Ratings of the Same-Different Method
4.2. Scales Used in the DFC Test
4.3. Qualifier and Limitation of the DFC Test
4.4. Relevance of DFC for Sensory Evaluation Practices
4.4.1. DFC Resources
- Product development (ingredient substitution and flavor optimization, reformulation, or process changes)
- Quality control and routine screening
- Shelf-life studies
- Pharmaceutical/palatability studies
4.4.2. DFC Applications
4.4.3. DFC Database Schemas
4.4.4. DFC Training
- (1)
- The DFC task is clarified by making sure panelists will compare each test sample against a fixed control, that they are not evaluating liking, direction, or attribute-specific intensity, and that their goal is to assess the overall perceived magnitude of difference. It is emphasized that 0 = no difference and the maximum point = most different imaginable.
- (2)
- The panel is trained with a product set designed to span the range of expected differences using anchored examples: 0 = no difference, 2–3 = slight difference, 5–6 = moderate difference, and 8–10 = strong difference.
- (3)
- The panel undergoes practice with feedback using a known control vs. modified samples, participates in debriefing and discussion after each test, and is shown the average group scores to highlight consistency (or variability). They are provided feedback on individual and group results, discuss differences in perception or scoring habits, and train for consistency, not conformity.
- (4)
- Scale interpretation is reinforced with visual or verbal anchors; printed guides may be considered, especially for newer panelists.
- (5)
- Ongoing monitoring and calibration is continued; using repeat blind duplicates to measure panelist consistency may be considered; and individual and group scores may be tracked to identify drift or outliers.
- (6)
- To improve sensitivity to small changes, even if the DFC scale remains ‘holistic’, panelists are pre-trained with individual attributes to boost perceptual awareness.
4.4.5. When Is DFC Appropriate vs. Alternatives?
5. Concluding Remarks
Supplementary Materials
Author Contributions
Funding
Data Availability Statement
Conflicts of Interest
References
- ISO 20613; Sensory Analysis—General Guidance for the Application of Sensory Analysis in Quality Control. ISO: Geneva, Switzerland, 2019. Available online: https://www.iso.org/standard/68549.html (accessed on 4 June 2025).
- Muñoz, A.M.; Civille, G.V.; Carr, B.T. Sensory Evaluation in Quality Control; Van Nostrand Reinhold: New York, NY, USA, 1992. [Google Scholar]
- Costell, E.A. Comparison of sensory methods in quality control. J. Food Qual. Prefer. 2002, 13, 341–353. [Google Scholar] [CrossRef]
- Meilgaard, M.; Civille, G.V.; Carr, B.T. Sensory Evaluation Techniques, 4th ed.; CRC Press: Boca Raton, FL, USA, 2007. [Google Scholar]
- Kemp, S.E.; Hollowood, T.; Hort, J. Sensory Evaluation: A Practical Handbook; Wiley-Blackwell: Oxford, UK, 2009. [Google Scholar]
- Lawless, H.T.; Heymann, H. Sensory Evaluation of Food: Principles and Practices, 2nd ed.; Springer: New York, NY, USA, 2010. [Google Scholar]
- Whelan, V.J. Difference from control (DFC) test. In Discrimination Testing in Sensory Science: A Practical Handbook; Rogers, L., Ed.; Elsevier: Amsterdam, The Netherlands; Woodhead Publishing: Duxford, UK, 2017. [Google Scholar]
- ASTM-E2262-03; Standard Practice for Estimating Thurstonian Discriminal Distances. ASTM International: West Conshohocken, PA, USA, 2021.
- Bradley, R.A. Comparison of Different-from-Control, Triangle, and Duo-Trio Tests in Tasting: Comparable Expected Performance; Memorandum Prepared for the General Foods Corporation; General Foods Corporation: Rye Brook, NY, USA, 12 November 1957. [Google Scholar]
- Bradley, R.A. Some relationship among sensory difference tests. Biometrics 1963, 19, 385–397. [Google Scholar] [CrossRef]
- Aust, L.B.; Gacula, M.C., Jr.; Beard, S.A.; Washam, R.W., II. Degree of difference test method in sensory evaluation of heterogeneous product types. J. Food Sci. 1985, 50, 511–513. [Google Scholar] [CrossRef]
- Bi, J. Statistical models for the Degree of Difference method. Food Qual. Prefer. 2002, 13, 31–37. [Google Scholar] [CrossRef]
- Bi, J.; Lee, H.S.; O’Mahony, M. Statistical analysis of ROC curves for the ratings of the A-Not A and the Same-Different methods. J. Sens. Stud. 2013, 28, 34–46. [Google Scholar] [CrossRef]
- Ennis, D.M.; Rousseau, B.A. Thurstonian model for the degree of difference protocol. J. Food Qual. Prefer. 2015, 41, 159–162. [Google Scholar] [CrossRef]
- Ennis, J.M.; Christenson, R.A. Thurstonian comparison of the Tetrad and Degree of Difference tests. J. Food Qual. Prefer. 2015, 40, 263–269. [Google Scholar] [CrossRef]
- Ennis, D.M. Thurstonian Models: Categorical Decision Making in the Presence of Noise; The Institute for Perception: Richmond, VA, USA, 2016; ISBN 9780990644606/099064460X. [Google Scholar]
- Christensen, R.H.B.; Brockhoff, B.P.; Kuznetsova, A.; Birot, S.; Stachlewska, K.A.; Rafacz, D. Package ‘sensR’. 2023. Available online: https://cran.r-project.org/web/packages/sensR/index.html (accessed on 1 July 2025).
- Bi, J. Sensory Discrimination Tests and Measurements: Sensometrics in Sensory Evaluation, 2nd ed.; Wiley/Blackwell Publishing: Oxford, UK, 2015. [Google Scholar]
- Read, C.B. Folded distributions. In Encyclopedia of Statistical Sciences; Kotz, S., Johnson, M.L., Eds.; John Wiley & Sons: West Sussex, UK, 1983; Volume 3. [Google Scholar]
- Leone, F.C.; Nelson, L.S.; Nottingham, R.B. The folded normal distribution. Technometrics 1961, 3, 543–550. [Google Scholar] [CrossRef]
- Elandt, R.C. The Folded Normal Distribution: Two Methods of Estimating Parameters from Moments. Technometrics 1961, 3, 551–562. [Google Scholar] [CrossRef]
- Johnson, N.L. The folded normal distribution: Accuracy of estimation by maximum likelihood. Technometrics 1962, 4, 249–256. [Google Scholar] [CrossRef]
- Tsagris, M.; Beneki, C.; Hassani, H. On the Folded Normal Distribution. Mathematics 2014, 2, 12–28. [Google Scholar] [CrossRef]
- Chatterjee, M.; Chakraborty, A.K. A simple algorithm for calculating values for folded normal distribution. J. Stat. Comput. Simul. 2016, 86, 293–305. [Google Scholar] [CrossRef]
- Kaplan, H.L.; Macmillan, N.A.; Creelman, C.D. Tables of d′ for variable-standard discrimination paradigms. Behav. Res. Methods Instrum. 1978, 10, 796–813. [Google Scholar] [CrossRef]
- Bi, J. Variance of d′ from the same–different method. Behav. Res. Methods Instrum. Comput. 2002, 34, 37–45. [Google Scholar] [CrossRef] [PubMed]
- Irwin, R.J.; Hautus, M.J.; Butcher, J.C. 1999. An area theorem for the Same–Different experiment. Percept. Psychophys. 1999, 61, 766–769. [Google Scholar] [CrossRef] [PubMed]
- Swets, J.A. Measuring the accuracy of diagnostic systems. Science 1988, 240, 1285–1293. [Google Scholar] [CrossRef] [PubMed]
- R Core Team. R: A Language and Environment for Statistical Computing, version R 4.5.0; R Foundation for Statistical Computing: Vienna, Austria, 2023; Available online: https://www.R-project.org/ (accessed on 19 June 2025).
- Gilbert, P.; Varadhan, R. Accurate Numerical Derivatives R Package “numDeriv”. 2019. Available online: https://cran.r-project.org/web/packages/numDeriv/index.html (accessed on 29 June 2025).
- Bi, J.; Kuesten, C. Thurstonian Scaling for Sensory Discrimination Methods. Appl. Sci. 2025, 15, 991. [Google Scholar] [CrossRef]
- Insightful. S-PLUS 6. In Guide to Statistics Vol.1. for Windows; Insightful Corporation: Seattle, WA, USA, 2001. [Google Scholar]
- Hothorn, T.; Bretz, F.; Westfall, P.; Heiberger, R.M.; Schuetzenmeister, A.; Scheibe, S. R Package “multcomp”: Simultaneous Inference in General Parametric Models. 2023. Available online: https://cran.r-project.org/web/packages/multcomp/index.html (accessed on 29 June 2025).
- ASTM-E2139-05; Standard Test Method for Same-Different Test. ASTM International: West Conshohocken, PA, USA, 2018.
- Making Sense of: Difference from Control (DFC). Video Posted on YouTube. Available online: https://www.bing.com/videos/riverview/relatedvideo?q=E253-09+Standard+Practice+for+Sensory+Evaluation+of+Products+by+a+Difference-from-Control-Method&qpvt=E253-09+Standard+Practice+for+Sensory+Evaluation+of+Products+by+a+Difference-from-Control-Method&view=riverview&mmscn=mtsc&mid=22DB11E992B22B7A17CC22DB11E992B22B7A17CC&&aps=201&FORM=VMSOVR (accessed on 12 June 2025).
- Carpenter, R.P.; Lyon, D.H.; Hasdell, T.A. Guidelines for Sensory Analysis in Food Product Development and Quality Control, 2nd ed.; Springer: New York, NY, USA, 2000. [Google Scholar]
- Meilgaard, M.C.; Civille, G.V.; Carr, B.T.; Osdoba, E.T. Sensory Evaluation Techniques, 6th ed.; CRC Press: Boca Raton, FL, USA, 2025. [Google Scholar]
- Bowen, A.; Blake, A. Lessons for the Sensory Characterization of Plant-Based Proteins. SSP Presentation. 2024. Available online: https://www.sensorysociety.org/meetings/archives/2024Conference/Documents/04%20Bowen_SSP.pdf#search=DFC (accessed on 12 June 2025).
- Leong, J.; Kasamatsu, C.; Ong, E.; Hoi, J.T.; Loong, M.N. A study on sensory properties of sodium reduction and replacement in Asian food using difference-from-control test. Food Sci. Nutr. 2015, 4, 469–478. [Google Scholar] [CrossRef]
- King, S.; Gillette, M.; Titman, D.; Adams, J.; Ridgely, M. The Sensory Quality System: A global quality control solution. Food Qual. Prefer. 2002, 13, 385–395. [Google Scholar] [CrossRef]
- Kilcast, D. (Ed.) Sensory Analysis for Food and Beverage Quality Control: A Practical Guide; Woodhead Publishing Limited: Cambridge, UK, 2010. [Google Scholar]
- E3041-17(2025); Standard Guide for Selecting and Using Scales for Sensory Evaluation. ASTM International: West Conshohocken, PA, USA, 2025.
- MNL14-2ND-EB; The Role of Sensory Analysis in Quality Control. 2nd ed. Ojeh, S., Ed.; ASTM International: West Conshohocken, PA, USA, 2021.
- E2454-20; Standard Guide for Sensory Evaluation Methods to Determine Sensory Shelf Life of Consumer Products. ASTM International: West Conshohocken, PA, USA, 2020.
- Sensory Shelf-Life Test Edited by M. Johnson. SSP. 2021. Available online: https://www.sensorysociety.org/knowledge/sspwiki/Pages/Sensory%20Shelf-Life%20Test.aspx (accessed on 12 June 2025).
- Hough, G. Sensory Shelf Life Estimation of Food Products; CRC Press: Boca Raton, FL, USA, 2010. [Google Scholar]
- Sharma, C.; Torrico, D.D.; Singh, S. Chapter: Sensory Methods for Shelf Life Assessment of Foods. In Shelf Life and Food Safety, 1st ed.; CRC Press: Boca Raton, FL, USA, 2022; pp. 33–60. [Google Scholar]
- Clapham, D.; Belissa, E.; Inghelbrecht, S.; Pensé-Lhéritier, A.M.; Ruiz, F.; Sheehan, L.; Shine, M.; Vallet, T.; Walsh, J.; Tuleu, C. A Guide to Best Practice in Sensory Analysis of Pharmaceutical Formulations. Pharmaceutics 2023, 15, 2319. [Google Scholar] [CrossRef] [PubMed] [PubMed Central]



| 0.0 | 1.13 | 0.50 |
| 0.1 | 1.13 | 0.50 |
| 0.2 | 1.14 | 0.50 |
| 0.3 | 1.15 | 0.51 |
| 0.4 | 1.17 | 0.51 |
| 0.5 | 1.20 | 0.52 |
| 0.6 | 1.23 | 0.53 |
| 0.7 | 1.26 | 0.54 |
| 0.8 | 1.30 | 0.55 |
| 0.9 | 1.35 | 0.56 |
| 1.0 | 1.40 | 0.57 |
| 1.1 | 1.45 | 0.59 |
| 1.2 | 1.51 | 0.60 |
| 1.3 | 1.57 | 0.62 |
| 1.4 | 1.64 | 0.63 |
| 1.5 | 1.71 | 0.65 |
| 1.6 | 1.78 | 0.67 |
| 1.7 | 1.86 | 0.68 |
| 1.8 | 1.94 | 0.70 |
| 1.9 | 2.02 | 0.72 |
| 2.0 | 2.10 | 0.73 |
| 2.1 | 2.19 | 0.75 |
| 2.2 | 2.27 | 0.77 |
| 2.3 | 2.36 | 0.78 |
| 2.4 | 2.45 | 0.80 |
| 2.5 | 2.54 | 0.81 |
| 2.6 | 2.64 | 0.83 |
| 2.7 | 2.73 | 0.84 |
| 2.8 | 2.83 | 0.85 |
| 2.9 | 2.92 | 0.86 |
| 3.0 | 3.02 | 0.88 |
| Categories * | Blind Control vs. Identified Control | Test Sample 1 vs. Identified Control | Test Sample 2 vs. Identified Control | Test Sample 3 vs. Identified Control |
|---|---|---|---|---|
| 5 | 2 | 10 | 2 | 15 |
| 4 | 5 | 18 | 6 | 5 |
| 3 | 15 | 34 | 23 | 46 |
| 2 | 17 | 30 | 22 | 19 |
| 1 | 20 | 2 | 18 | 10 |
| 0 | 41 | 6 | 29 | 5 |
| Test Sample 1 vs. Identified Control | Test Sample 2 vs. Identified Control | Test Sample 3 vs. Identified Control | ||||
|---|---|---|---|---|---|---|
| Value | Variance | Value | Variance | Value | Variance | |
| () | 2.42 | 0.0203 | 0.88 | 0.039 | 2.33 | 0.0199 |
| 2.47 | 0.0169 | 1.34 | 0.0085 | 2.39 | 0.0161 | |
| 0.80 | 0.0004 | 0.56 | 0.0006 | 0.79 | 0.0005 | |
| Test Sample 1 vs. Identified Control | Test Sample 2 vs. Identified Control | Test Sample 3 vs. Identified Control | ||||
|---|---|---|---|---|---|---|
| Value | Variance | Value | Variance | Value | Variance | |
| 0.79 | 0.0010 | 0.58 | 0.0016 | 0.78 | 0.0011 | |
| () | 2.38 | 0.0447 | 1.03 | 0.0856 | 2.31 | 0.0446 |
| 2.43 | 0.0367 | 1.42 | 0.0245 | 2.37 | 0.0359 | |
| Categories * | Blind Control vs. Identified Control | Test Sample 1 vs. Identified Control | Test Sample 2 vs. Identified Control | Test Sample 3 vs. Identified Control |
|---|---|---|---|---|
| 3 | 7 | 28 | 8 | 20 |
| 2 | 32 | 64 | 45 | 65 |
| 1 | 61 | 8 | 47 | 15 |
| Categories * | Blind Control vs. Identified Control | Test Sample 1 vs. Identified Control | Test Sample 2 vs. Identified Control | Test Sample 3 vs. Identified Control |
|---|---|---|---|---|
| 1 | 22 | 62 | 31 | 66 |
| 0 | 78 | 38 | 69 | 34 |
| Test Sample 1 vs. Identified Control | Test Sample 2 vs. Identified Control | Test Sample 3 vs. Identified Control | ||||
|---|---|---|---|---|---|---|
| Value | Variance | Value | Variance | Value | Variance | |
| () | 2.57 | 0.0482 | 0.85 | 0.0906 | 2.16 | 0.0467 |
| 2.60 | 0.0417 | 1.33 | 0.0185 | 2.24 | 0.0356 | |
| 0.82 | 9 × 10−4 | 0.55 | 0.0013 | 0.76 | 0.0012 | |
| Test Sample 1 vs. Identified Control | Test Sample 2 vs. Identified Control | Test Sample 3 vs. Identified Control | ||||
|---|---|---|---|---|---|---|
| Value | Variance | Value | Variance | Value | Variance | |
| () | 2.16 | 0.0606 | 0.91 | 0.1167 | 2.31 | 0.0606 |
| 2.23 | 0.0462 | 1.35 | 0.0267 | 2.37 | 0.0488 | |
| 0.76 | 0.0016 | 0.56 | 0.0018 | 0.78 | 0.0014 | |
| Application | Scale | Design | ||||||
|---|---|---|---|---|---|---|---|---|
| Scale Example | Scale Type | Scale Category Labels | Usage | Typical | Samples | Panel Type | Goal | |
| Product Development | ||||||||
| -Reformulation and process change | Rate the overall difference from the standard product. | 10-point labeled scale or line scale | 0 = No difference 2 = Slight dif 5 = Moderate dif 7 = Strong dif 9 = Extreme dif | Can be used in pre-screening before full descriptive profiling or consumer testing | Randomized complete block design | Control: Original formula or process Test: Multiple reformulations or process variants | Trained or descriptive | Detect if reformulated products differ perceptibly from the control standard |
| -Ingredient substitution or flavor optimization | Evaluate the overall difference from the control. | 10-point difference intensity scale | 0 = No dif 1 = Barely detectable 3 = Mild 5 = Moderate 7 = Strong 9 = Very strong dif | Often paired with consumer Just-About-Right (JAR) or hedonic scales for product development | Randomized complete block or mixture design (if systematic substitution) | Control: Current formulation Test: Versions with partial or full ingredient substitution | Trained or semi-trained; target consumers for hedonics | Identify substitutes that minimize differences from control; test with systematized variation |
| Quality control (routine screening) | How different is this batch from the gold standard? | 6- or 8-point scale, often with alert thresholds | 0 = Identical 1 = Slight dif (acceptable) 3 = Noticeable difference (still acceptable) 5 = Clear difference (may need investigation 7 = Major deviation (not acceptable) | May include a pass/fail cutoff score (e.g., ≥4 triggers a review or hold) | Single sample vs. control (single trial or ongoing monitoring) | Control: Reference standard from a known acceptable batch Test: Daily/weekly production batch | Expert or trained internal panel | Flag batches that deviate from standard product; threshold-based (pass/fail) |
| Shelf-life and stability | How different is this sample from the fresh control? | Unstructured or 0–10-point line scale | 0 = No difference 10 = Extremely different | Often used with a sensory change threshold (e.g., DFC ≥ 5 = “perceptible change”) for estimating shelf-life endpoints | Repeated measures or balanced incomplete block | Control: Fresh product (baseline) Test: Same product at multiple storage intervals | Trained or semi-trained | Track degree of change over time vs. fresh |
| Pharmaceutical/palatability | How different is this formulation compared to the control? | 0–10-point line scale, with optional child-friendly wording | Example (adult): 0 = No difference in taste/mouthfeel 10 = Extremely different (unpleasant change in taste, texture, or aftertaste) Child: 5-face or emoji scale —Same —Slight dif —Big dif | Especially useful when masking bitter or metallic off-notes. | Paired comparison with DFC rating | Control: Original or masked formulation Test: New active drug formulation or flavor mask | Adults (trained) or caregiver/child proxy | Ensure palatability changes are minimal or acceptable; sensitive to small changes |
| Application | Key Metadata Fields | Key Research Questions | Database Scalable Questions |
|---|---|---|---|
| Product Development | |||
| -Reformulation and process change | Sample ID Reformulation Code Panelist ID DFC Score Batch No Process Params Test Date Comments |
|
|
| -Ingredient substitution or flavor optimization | Sample ID Ingredient Code Substitution Level (%) Panelist ID DFC Score Sensory Note Date Tested |
|
|
| Quality control (routine screening) | Batch ID Panelist ID DFC Score Test Date Production Line Shift Alert Flag Corrective Action |
|
|
| Shelf-life and stability | Sample ID Storage Time Days Panelist ID DFC Score Date Tested Storage Condition Notes |
|
|
| Pharmaceutical/palatability | Formulation ID Subject ID Age Group DFC Score Masking Agent Flavor Used Test Date Adverse Comment |
|
|
Disclaimer/Publisher’s Note: The statements, opinions and data contained in all publications are solely those of the individual author(s) and contributor(s) and not of MDPI and/or the editor(s). MDPI and/or the editor(s) disclaim responsibility for any injury to people or property resulting from any ideas, methods, instructions or products referred to in the content. |
© 2025 by the authors. Licensee MDPI, Basel, Switzerland. This article is an open access article distributed under the terms and conditions of the Creative Commons Attribution (CC BY) license (https://creativecommons.org/licenses/by/4.0/).
Share and Cite
Bi, J.; Kuesten, C. Thurstonian Model for the Difference-from-Control Test. Processes 2025, 13, 2105. https://doi.org/10.3390/pr13072105
Bi J, Kuesten C. Thurstonian Model for the Difference-from-Control Test. Processes. 2025; 13(7):2105. https://doi.org/10.3390/pr13072105
Chicago/Turabian StyleBi, Jian, and Carla Kuesten. 2025. "Thurstonian Model for the Difference-from-Control Test" Processes 13, no. 7: 2105. https://doi.org/10.3390/pr13072105
APA StyleBi, J., & Kuesten, C. (2025). Thurstonian Model for the Difference-from-Control Test. Processes, 13(7), 2105. https://doi.org/10.3390/pr13072105




