Enhancing the K-Poisoning Resistance of Heteropoly Acid-Modified Ce/AC Catalyst for Low-Temperature NH3-SCR
Abstract
1. Introduction
2. Experimental Catalyst Preparation
2.1. AC Pretreatment
2.2. Synthesis of Ce/AC and HPA-Ce/AC Catalysts
2.3. Simulation of K Poisoning on Catalysts
2.4. Catalytic Activity Measurements
2.5. Catalyst Characterization
3. Results and Discussion
3.1. Effect of HPA Modification on Denitrification Performance
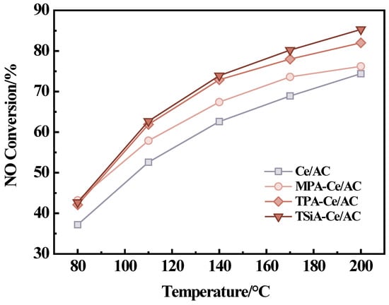
3.1.1. Catalytic Activities of Catalysts
3.1.2. Acidity Analysis of Catalysts
3.2. Effect of HPAs on Anti-K Performance
3.2.1. HPAs’ Effect on K-Poisoning Resistance in Low-Temperature NH3-SCR Activity
3.2.2. Effect of K Tolerance on TSiA-Ce/AC
3.3. TSiA-Ce/AC Catalyst Anti-K Poisoning Kinetics Results
3.4. Possible TSiA-Ce/AC Catalyst Anti-K Poisoning Mechanism
4. Conclusions
Author Contributions
Funding
Data Availability Statement
Conflicts of Interest
References
- Liu, S.; Lang, S.; Zhang, S.; Cao, Z.; Yang, J.; Zhou, Y.; Hu, N.; Wu, Y. Effect of three component evolution of cotton stalk on physical properties of its forming fuel during hydrothermal treatment. J. China Coal Soc. 2023, 48, 2410–2418. [Google Scholar]
- Elkaee, S.; Kim, S.Y.; Phule, A.D.; Uz Zaman, M.W.; Lee, S.G.; Park, G.; Hwan Yang, J. Catalysts for fast and NO2 SCR reactions for the removal of nitrogen oxides emitted from various sources: Recent advances, mechanisms, and future directions. J. Environ. Chem. Eng. 2023, 11, 111–131. [Google Scholar] [CrossRef]
- Liu, J.; Lv, D.; Wang, Y.; Zhao, Y.; Li, G.; Zhang, G. Influence of Catalyst Structural Remodelling on The Performance of NH3-SCR Reactions: A Mini Review. ChemCatChem 2024, 16, 21. [Google Scholar] [CrossRef]
- Yao, X.; Zheng, Y.; Zhou, H.; Xu, K.; Xu, Q.; Li, L. Effects of biomass blending, ashing temperature and potassium addition on ash sintering behaviour during co-firing of pine sawdust with a Chinese anthracite. Renew. Energy 2020, 147, 2309–2320. [Google Scholar] [CrossRef]
- Mlonka-Medrala, A.; Magdziarz, A.; Gajek, M.; Nowinska, K.; Nowak, W. Alkali metals association in biomass and their impact on ash melting behaviour. Fuel 2020, 261, 17. [Google Scholar] [CrossRef]
- Lan, X.; Jing, Y.; Xu, R.; Zhao, L.; Hao, H. Insights into the Ce-doping CuCoAlO with superior resistance to alkali metal poisons for CO-SCR removal of NOx. J. Environ. Chem. Eng. 2023, 11, 110251. [Google Scholar] [CrossRef]
- Han, L.; Cai, S.; Gao, M.; Hasegawa, J.; Wang, P.; Zhang, J.; Shi, L.; Zhang, D. Selective Catalytic Reduction of NOx with NH3 by Using Novel Catalysts: State of the Art and Future Prospects. Chem. Rev. 2019, 119, 10916–10976. [Google Scholar] [CrossRef]
- Zhang, K.; Luo, N.; Huang, Z.; Zhao, G.; Chu, F.; Yang, R.; Tang, X.; Wang, G.; Gao, F.; Huang, X. Recent advances in low-temperature NH3-SCR of NOx over Ce-based catalysts: Performance optimizations, reaction mechanisms and anti-poisoning countermeasures. Chem. Eng. J. 2023, 476, 24. [Google Scholar] [CrossRef]
- Chen, Y.L.; Shu, S.; Wang, S.X.; Li, J.J. Mn-HAP SCR Catalyst: Preparation and Sulfur Resistance. J. Inorg. Mater. 2022, 37, 1065–1072. [Google Scholar] [CrossRef]
- Chen, L.; Li, J.; Ge, M. The poisoning effect of alkali metals doping over nano V2O5-WO3/TiO2 catalysts on selective catalytic reduction of NOx by NH3. Chem. Eng. J. 2011, 170, 531–537. [Google Scholar] [CrossRef]
- Klimczak, M.; Kern, P.; Heinzelmann, T.; Lucas, M.; Claus, P. High-throughput study of the effects of inorganic additives and poisons on NH3-SCR catalysts—Part I: V2O5–WO3/TiO2 catalysts. Appl. Catal. B Environ. 2010, 95, 39–47. [Google Scholar] [CrossRef]
- Kang, K.; Yao, X.; Huang, Y.; Cao, J.; Rong, J.; Zhao, W.; Luo, W.; Chen, Y. Insights into the co-doping effect of Fe3+ and Zr4+ on the anti-K performance of CeTiOx catalyst for NH3-SCR reaction. J. Hazard. Mater. 2021, 416, 125821. [Google Scholar] [CrossRef] [PubMed]
- Ilbeygi, H.; Jaafar, J. Recent Progress on Functionalized Nanoporous Heteropoly Acids: From Synthesis to Applications. Chem. Rec. 2024, 24, 32. [Google Scholar] [CrossRef]
- Sazama, P.; Wichterlova, B.; Tabor, E.; Stastny, P.; Sathu, N.K.; Sobalik, Z.; Dedecek, J.; Sklenak, S.; Klein, P.; Vondrova, A. Tailoring of the structure of Fe-cationic species in Fe-ZSM-5 by distribution of Al atoms in the framework for N2O decomposition and NH3-SCR-NOx. J. Catal. 2014, 312, 123–138. [Google Scholar] [CrossRef]
- Ashrafi, S.; Taghizadeh, M.; Rezaei, N.; Firouzjaee, M.H. Enhancement of Stability and Activity of Pt-Loaded HSiW/UiO-66 Acid Catalyst and Kinetic Modeling for n-Butane Hydroisomerization. Ind. Eng. Chem. Res. 2025, 64, 4809–4822. [Google Scholar] [CrossRef]
- Li, H.; Yu, Z.; Zhang, Z.; Li, S.; Shi, Z.; Ni, C.; Cao, L.; Du, H.; Luo, Q.; Wang, F. In-Depth Understanding of Highly Active Silicotungstic Acid Catalysts for Ethanol Dehydration to Ethylene under Industrially Favorable Conditions. Ind. Eng. Chem. Res. 2024, 63, 7624–7635. [Google Scholar] [CrossRef]
- Putluru, S.S.R.; Schill, L.; Godiksen, A.; Poreddy, R.; Mossin, S.; Jensen, A.D.; Fehrmann, R. Promoted V2O5/TiO2 catalysts for selective catalytic reduction of NO with NH3 at low temperatures. Appl. Catal. B Environ. 2016, 183, 282–290. [Google Scholar] [CrossRef]
- Gupta, S.; Jain, R.; Malpani, S.K.; Yadav, A.; Goyal, D.; Bharti, S.; Shukla, S.K.; Ulucan-Karnak, F. Immobilization of Heteropolyacids on Zeolite Surface for Catalytic Conversion of Glucose to 5-Hydroxymethyl Furfural (5-HMF). Top. Catal. 2024, 17. [Google Scholar] [CrossRef]
- Zhou, X.; Jiao, J.; Jiao, W.; Wang, R. Oxidative desulfurization of model oil over the bowl-shaped N-doped carbon material loaded by the defective silicotungstic acid. Sep. Purif. Technol. 2023, 310, 11. [Google Scholar] [CrossRef]
- Dong, Y.; Ran, M.; Zhang, X.; Lin, S.; Li, W.; Yang, Y.; Song, H.; Wu, W.; Liu, S.; Zheng, C.; et al. Promoting effect of polyoxometallic acid modification on the NH3-SCR performance of Mn-based catalysts. J. Environ. Chem. Eng. 2024, 12, 10. [Google Scholar] [CrossRef]
- Geng, Y.; Lian, Z.; Zhang, Y.; Liu, J.; Jin, D.; Shan, W. Heteropoly acid-grafted iron oxide catalysts for efficient selective catalytic reduction of NOx with NH3. Catal. Sci. Technol. 2024, 14, 3064–3075. [Google Scholar] [CrossRef]
- Xue, H.; Guo, X.; Guo, Q.; Xue, Z.; Yu, J.; Meng, T.; Mao, D. Promotional effects of phosphotungstic acid on the alkali metals poisoning resistance of MnOx catalyst for NH3-SCR. Fuel 2025, 390, 12. [Google Scholar] [CrossRef]
- Huang, Y.; Li, P.; Zhang, R.; Wei, Y. Efficiency of Phosphotungstic Acid Modified Mn-Based Catalysts to Promote Activity and N2 Formation for Selective Catalytic Reduction of NO with Ammonia. Int. J. Chem. React. Eng. 2019, 17, 16. [Google Scholar] [CrossRef]
- Wu, J.; Jin, S.; Wei, X.; Gu, F.; Han, Q.; Lan, Y.; Qian, C.; Li, J.; Wang, X.; Zhang, R.; et al. Enhanced sulfur resistance of H3PW12O40-modified Fe2O3 catalyst for NH3-SCR: Synergistic effect of surface acidity and oxidation ability. Chem. Eng. J. 2021, 412, 16. [Google Scholar] [CrossRef]
- Gao, F.; Walter, E.D.; Kollar, M.; Wang, Y.; Szanyi, J.; Peden, C.H.F. Understanding ammonia selective catalytic reduction kinetics over Cu/SSZ-13 from motion of the Cu ions. J. Catal. 2014, 319, 1–14. [Google Scholar] [CrossRef]
- Qu, R.; Gao, X.; Cen, K.; Li, J. Relationship between structure and performance of a novel cerium-niobium binary oxide catalyst for selective catalytic reduction of NO with NH3. Appl. Catal. B-Environ. 2013, 142, 290–297. [Google Scholar] [CrossRef]
- Jiang, H.; Zhou, J.; Wang, C.; Li, Y.; Chen, Y.; Zhang, M. Effect of Cosolvent and Temperature on the Structures and Properties of Cu-MOF-74 in Low-temperature NH3-SCR. Ind. Eng. Chem. Res. 2017, 56, 3542–3550. [Google Scholar] [CrossRef]
- Zhang, D.; Zhang, L.; Shi, L.; Fang, C.; Li, H.; Gao, R.; Huang, L.; Zhang, J. In situ supported MnOx-CeOx on carbon nanotubes for the low-temperature selective catalytic reduction of NO with NH3. Nanoscale 2013, 5, 1127–1136. [Google Scholar] [CrossRef]
- Zhu, H.; Wang, R. Phosphotungstic acid-promoted Mn-Fe bimetal oxide with high sulfur resistance for low-temperature selective catalytic reduction of nitrogen oxides with NH3. J. Alloys Compd. 2023, 936, 168272. [Google Scholar] [CrossRef]
- Wei-Liang, F.; Yue-Song, S.; She-Min, Z.; Shu-Bao, S. Promotional Effect of Tungsten Incorporation on Catalytic Performance of Ti0.8Zr0.2Ce0.2O2.4/Al2O3-TiO2-SiOz for Selective Catalytic Reduction of NOx by NH3. J. Inorg. Mater. 2014, 29, 1294–1300. [Google Scholar] [CrossRef]
- Yang, J.; Ren, S.; Zhang, T.; Su, Z.; Long, H.; Kong, M.; Yao, L. Iron doped effects on active sites formation over activated carbon supported Mn-Ce oxide catalysts for low-temperature SCR of NO. Chem. Eng. J. 2020, 379, 11. [Google Scholar] [CrossRef]
- Yang, Z.; Huang, B.; Zhang, G.; Dai, M.; Wen, Z.; Li, W. Low-temperature Denitration Mechanism of NH3-SCR over Fe/AC Catalyst. J. Wuhan Univ. Technol. 2023, 38, 475–484. [Google Scholar] [CrossRef]
- Guo, Q.; Jing, W.; Hou, Y.; Huang, Z.; Ma, G.; Han, X.; Sun, D. On the nature of oxygen groups for NH3-SCR of NO over carbon at low temperatures. Chem. Eng. J. 2015, 270, 41–49. [Google Scholar] [CrossRef]
- Wang, D.; Huang, B.; Shi, Z.; Long, H.; Li, L.; Yang, Z.; Dai, M. Influence of cerium doping on Cu-Ni/activated carbon low-temperature CO-SCR denitration catalysts. RSC Adv. 2021, 11, 18458–18467. [Google Scholar] [CrossRef]
- Saghandali, F.; Kazemeini, M.; Sadjadi, S. Halloysite-supported silicotungstic acid as an efficient catalyst for dehydration of fructose to 5-hydroxymethylfurfural. J. Phys. Chem. Solids 2024, 184, 12. [Google Scholar] [CrossRef]
- Ai, L.; Zhang, D.; Wang, Q.; He, F.; Yang, H.; Wu, Q. Preparation of Ti-heteropolyacid/TiO2 and its rapid photocatalytic degradation of X-3B. J. Mater. Sci. Mater. Electron. 2020, 31, 3166–3171. [Google Scholar] [CrossRef]
- Liu, C.; Bi, Y.; Wang, H.; Zhang, Z.; Wang, J.; Guo, M.; Liu, Q. Promotional Effects on NH3-SCR Performance of CeO2-SnO2 Catalysts Doped by TiO2: A Mechanism Study. Catal. Surv. Asia 2021, 25, 48–57. [Google Scholar] [CrossRef]
- Ke, Y.; Huang, W.; Li, S.; Liao, Y.; Li, J.; Qu, Z.; Yan, N. Surface acidity enhancement of CeO2 catalysts via modification with a heteropoly acid for the selective catalytic reduction of NO with ammonia. Catal. Sci. Technol. 2019, 9, 5774–5785. [Google Scholar] [CrossRef]
- Jiang, Y.; Liu, T.; Lai, C.; Yang, Z.; Lin, R.; Wang, X.; Zhu, X. Deactivation of CeO2-TiO2 catalyst by K2SO4 for NH3-SCR: An experimental and DFT study. Appl. Surf. Sci. 2021, 547, 149196. [Google Scholar] [CrossRef]
- Zhao, W.; Rong, J.; Luo, W.; Long, L.; Yao, X. Enhancing the K-poisoning resistance of CeO2-SnO2 catalyst by hydrothermal method for NH3-SCR reaction. Appl. Surf. Sci. 2022, 579, 152176. [Google Scholar] [CrossRef]
- Jiang, Y.; Lai, C.; Li, Q.; Gao, W.; Yang, L.; Yang, Z.; Lin, R.; Wang, X.; Zhu, X. The poisoning effect of KCl and K2O on CeO2-TiO2 catalyst for selective catalytic reduction of NO with NH3. Fuel 2020, 280, 118638. [Google Scholar] [CrossRef]
- Du, X.; Gao, X.; Qu, R.; Ji, P.; Luo, Z.; Cen, K. The Influence of Alkali Metals on the Ce-Ti Mixed Oxide Catalyst for the Selective Catalytic Reduction of NOx. ChemCatChem 2012, 4, 2075–2081. [Google Scholar] [CrossRef]
- Wang, M.; Su, B.; Ren, S.; Liu, W.; Yang, J.; Chen, Z.; Chen, L. Different lead species deactivation on Mn-Ce activated carbon supported catalyst for low-temperature SCR of NO with NH3: Comparison of PbCl2, Pb(NO3)2 and PbSO4. J. Colloid Interface Sci. 2022, 622, 549–561. [Google Scholar] [CrossRef] [PubMed]
- Xue, H.; Guo, X.; Mao, D.; Meng, T.; Yu, J.; Ma, Z. Phosphotungstic Acid-Modified MnOx for Selective Catalytic Reduction of NOx with NH3. Catalysts 2022, 12, 20. [Google Scholar] [CrossRef]
- Liao, M.; Cai, Y.; Chen, L.; Zou, Y.; Li, Y.; Li, G.; Liu, W.; Zhang, H.; Zhang, S.; Lu, S.; et al. Discovering the remarkable deNOx activity and anti-K poisoning of MnFeOx/H-Beta composite catalyst. Sep. Purif. Technol. 2024, 337, 11. [Google Scholar] [CrossRef]
- Ren, S.; Li, S.; Su, Z.; Yang, J.; Long, H.; Kong, M.; Yang, J.; Cai, Z. Poisoning effects of KCl and As2O3 on selective catalytic reduction of NO with NH3 over Mn-Ce/AC catalysts at low temperature. Chem. Eng. J. 2018, 351, 540–547. [Google Scholar] [CrossRef]
- Burg, P.; Fydrych, P.; Cagniant, D.; Nanse, G.; Bimer, J.; Jankowska, A. The characterization of nitrogen-enriched activated carbons by IR, XPS and LSER methods. Carbon 2002, 40, 1521–1531. [Google Scholar] [CrossRef]
- Zhang, L.; Cui, S.; Guo, H.; Ma, X.; Luo, X. The influence of K+ cation on the MnOx-CeO2/TiO2 catalysts for selective catalytic reduction of NOx with NH3 at low temperature. J. Mol. Catal. A Chem. 2014, 390, 14–21. [Google Scholar] [CrossRef]
- Kong, M.; Liu, Q.; Zhou, J.; Jiang, L.; Tian, Y.; Yang, J.; Ren, S.; Li, J. Effect of different potassium species on the deactivation of V2O5-WO3/TiO2 SCR catalyst: Comparison of K2SO4, KCl and K2O. Chem. Eng. J. 2018, 348, 637–643. [Google Scholar] [CrossRef]
- Karatepe, N.; Orbak, I.; Yavuz, R.; Ozyuguran, A. Sulfur dioxide adsorption by activated carbons having different textural and chemical properties. Fuel 2008, 87, 3207–3215. [Google Scholar] [CrossRef]
- Zhao, Y.; Shi, L.; Shen, Y.; Zhou, J.; Jia, Z.; Yan, T.; Wang, P.; Zhang, D. Self-Defense Effects of Ti-Modified Attapulgite for Alkali-Resistant NOx Catalytic Reduction. Environ. Sci. Technol. 2022, 56, 4386–4395. [Google Scholar] [CrossRef]
- Zheng, L.; Zhou, M.; Huang, Z.; Chen, Y.; Gao, J.; Ma, Z.; Chen, J.; Tang, X. Self-Protection Mechanism of Hexagonal WO3-Based DeNOx Catalysts against Alkali Poisoning. Environ. Sci. Technol. 2016, 50, 11951–11956. [Google Scholar] [CrossRef]
- Yao, M.; Wang, Z.; Li, Y.; Niu, X.; Zhu, Y. Enhanced resistance to K poisoning and SO2&H2O on Ce0.63TiOx catalyst by sulfation treatment. Sep. Purif. Technol. 2024, 348, 127733. [Google Scholar]
- Jiang, Y.; Lai, C.; Li, Q.; Gao, W.; Yang, L.; Yang, Z.; Lin, R.; Wang, X.; Zhu, X. The enhanced Pb resistance of CeO2/TiO2 catalyst for selective catalytic reduction of NO with NH3 by the modification with W. Mol. Catal. 2021, 514, 11. [Google Scholar] [CrossRef]
- Gao, F.; Washton, N.M.; Wang, Y.; Kollar, M.; Szanyi, J.; Peden, C.H.F. Effects of Si/Al ratio on Cu/SSZ-13 NH3-SCR catalysts: Implications for the active Cu species and the roles of Bronsted acidity. J. Catal. 2015, 331, 25–38. [Google Scholar] [CrossRef]
- Peng, Y.; Li, J.; Chen, L.; Chen, J.; Han, J.; Zhang, H.; Han, W. Alkali Metal Poisoning of a CeO2-WO3 Catalyst Used in the Selective Catalytic Reduction of NOx with NH3: An Experimental and Theoretical Study. Environ. Sci. Technol. 2012, 46, 2864–2869. [Google Scholar] [CrossRef]
- Zhou, Z.; Lan, J.; Liu, L.; Liu, Z. Enhanced alkali resistance of sulfated CeO2 catalyst for the reduction of NOx from biomass fired flue gas. Catal. Commun. 2021, 149, 106230. [Google Scholar] [CrossRef]















| Order Number | Catalyst Name | HPAs | K Load (μmol/g) | |
|---|---|---|---|---|
| Load (wt.%) | T (°C) | |||
| 1 | Ce/AC | - | - | - |
| 2 | TSiA-Ce/AC | 3 | 500 | - |
| 3 | TPA-Ce/AC | 5 | 400 | - |
| 4 | MPA-Ce/AC | 3 | 300 | - |
| 5 | 5%-TSiA-Ce/AC | 5 | 500 | - |
| 6 | 5%-TPA-Ce/AC | 5 | 400 | - |
| 7 | 5%-MPA-Ce/AC | 5 | 300 | - |
| 8 | 0.3K-Ce/AC | - | - | 30 |
| 9 | 0.6K-Ce/AC | - | - | 60 |
| 10 | 1K-Ce/AC | - | - | 100 |
| 11 | TSiA -0.3K-Ce/AC | 3 | 500 | 30 |
| 12 | TSiA -0.6K-Ce/AC | 3 | 500 | 60 |
| 13 | TSiA -1K-Ce/AC | 3 | 500 | 100 |
| 14 | 5%-TSiA -1K-Ce/AC | 5 | 500 | 100 |
| 15 | 5%-TPA-1K-Ce/AC | 5 | 400 | 100 |
| 16 | 5%-MPA -1K-Ce/AC | 5 | 300 | 100 |
| Catalysts | C (wt.%) | O (wt.%) | Si (wt.%) | K (wt.%) | Ce (wt.%) | W (wt.%) |
|---|---|---|---|---|---|---|
| Ce/AC | 81.17 | 8.91 | 1.06 | 0.02 | 8.40 | 0.43 |
| TSiA-Ce/AC | 72.42 | 11.84 | 0.84 | 0.03 | 8.32 | 6.11 |
| 1K-Ce/AC | 81.56 | 12.72 | 1.07 | 0.58 | 3.81 | 0.26 |
| TSiA-1K-Ce/AC | 72.14 | 12.56 | 0.90 | 0.62 | 7.45 | 6.32 |
| Catalysts | Ea (kJ·mol−1) | lnA (cm3·g−1·s−1) |
|---|---|---|
| Ce/AC | 47.6 | 11.52 |
| TSiA-Ce/AC | 49.6 | 13.1 |
| 1K-Ce/AC | 36.2 | 6.41 |
| TSiA-1K-Ce/AC | 47.7 | 10.67 |
Disclaimer/Publisher’s Note: The statements, opinions and data contained in all publications are solely those of the individual author(s) and contributor(s) and not of MDPI and/or the editor(s). MDPI and/or the editor(s) disclaim responsibility for any injury to people or property resulting from any ideas, methods, instructions or products referred to in the content. |
© 2025 by the authors. Licensee MDPI, Basel, Switzerland. This article is an open access article distributed under the terms and conditions of the Creative Commons Attribution (CC BY) license (https://creativecommons.org/licenses/by/4.0/).
Share and Cite
Zhou, T.; Xiong, T.; Fan, M.; Chen, Q.; Deng, Y.; Li, J. Enhancing the K-Poisoning Resistance of Heteropoly Acid-Modified Ce/AC Catalyst for Low-Temperature NH3-SCR. Processes 2025, 13, 2069. https://doi.org/10.3390/pr13072069
Zhou T, Xiong T, Fan M, Chen Q, Deng Y, Li J. Enhancing the K-Poisoning Resistance of Heteropoly Acid-Modified Ce/AC Catalyst for Low-Temperature NH3-SCR. Processes. 2025; 13(7):2069. https://doi.org/10.3390/pr13072069
Chicago/Turabian StyleZhou, Tongyue, Tianlong Xiong, Mengyang Fan, Qiao Chen, Yongchun Deng, and Jianjun Li. 2025. "Enhancing the K-Poisoning Resistance of Heteropoly Acid-Modified Ce/AC Catalyst for Low-Temperature NH3-SCR" Processes 13, no. 7: 2069. https://doi.org/10.3390/pr13072069
APA StyleZhou, T., Xiong, T., Fan, M., Chen, Q., Deng, Y., & Li, J. (2025). Enhancing the K-Poisoning Resistance of Heteropoly Acid-Modified Ce/AC Catalyst for Low-Temperature NH3-SCR. Processes, 13(7), 2069. https://doi.org/10.3390/pr13072069

