Experimental Study on Microscopic Distribution Characteristics of Water-Sealed Gas in Pore–Fracture Carbonate Gas Reservoirs
Abstract
1. Introduction
2. Methodology
2.1. Fracture Model Extraction
2.2. Microscopic Visualization Model Design
2.3. Visualized Water Intrusion Experiment Process
3. Experimental Results and Discussion
3.1. Effect of Fracture Size on Water-Sealed Gas
3.1.1. Distribution Characteristics of Fluid Saturation
3.1.2. Distribution Characteristics of Water-Sealed Gas
3.2. Effect of Fracture Density on Water-Sealed Gas
3.2.1. Distribution Characteristics of Fluid Saturation
3.2.2. Distribution Characteristics of Water-Sealed Gas
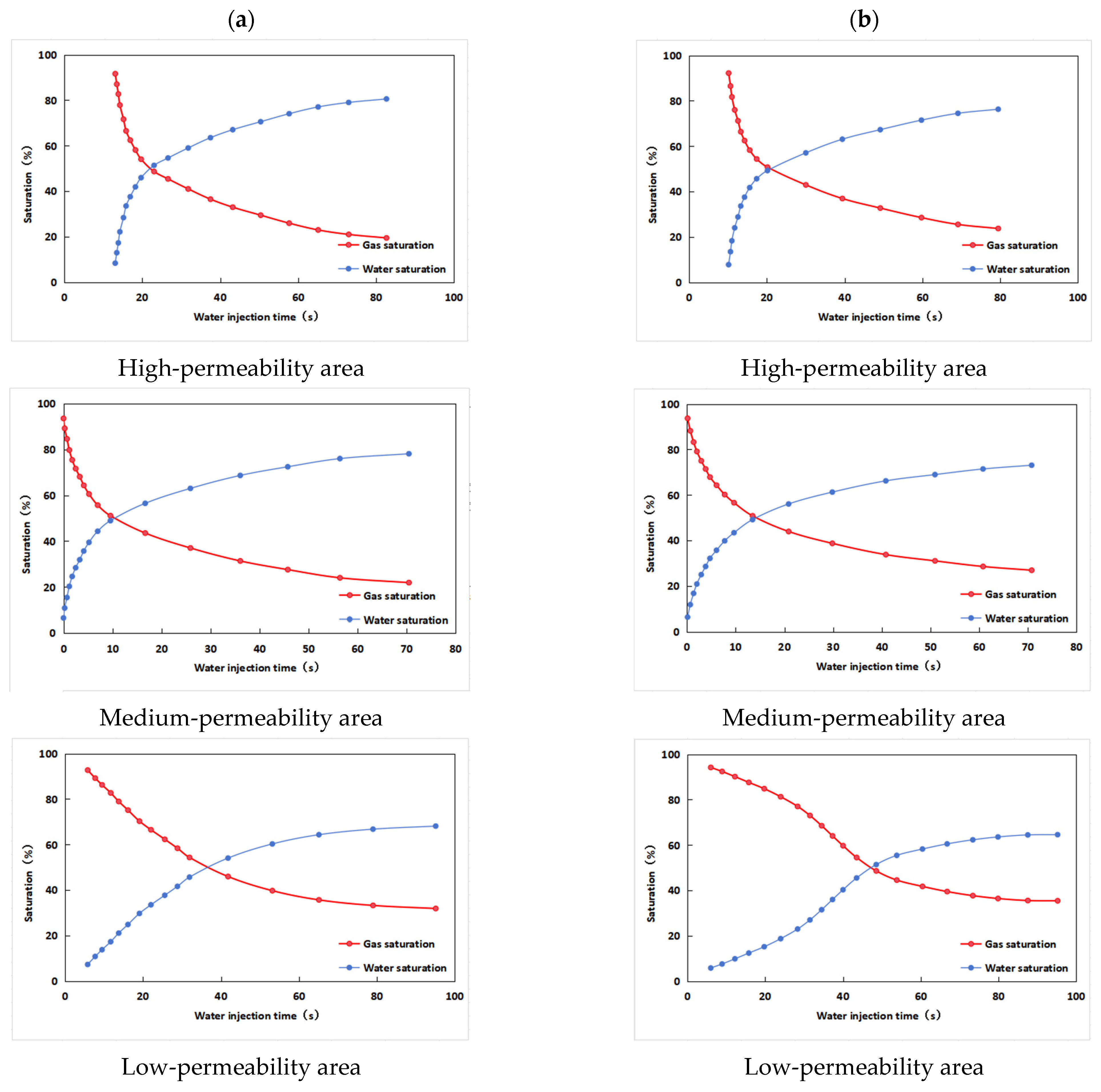
3.3. Effect of Permeability Heterogeneity on Water-Sealed Gas
3.3.1. Distribution Characteristics of Fluid Saturation
3.3.2. Distribution Characteristics of Water-Sealed Gas
4. Gas Reservoir Development Proposal
5. Conclusions
Author Contributions
Funding
Data Availability Statement
Conflicts of Interest
References
- Hu, J.; Yang, S.; Wang, B.; Deng, H.; Wang, M.; Li, J.; Zhao, S.; Shen, B.; Gao, X.; Yang, K. Effect of Pore Structure Characteristics on Gas-Water Seepage Behaviour in Deep Carbonate Gas Reservoirs. Geoenergy Sci. Eng. 2024, 238, 212–881. [Google Scholar] [CrossRef]
- Jia, A.; Yan, H.; Guo, J.; He, D.; Cheng, L.; Jia, C. Development Characteristics for Different Types of Carbonate Gas Reservoirs. Acta Pet. Sin. 2013, 34, 914–923. [Google Scholar] [CrossRef]
- Zhang, R.; Lu, G.; Peng, X.; Li, L.; Hu, Y.; Zhao, Y.; Zhang, L. Study on the Mechanism of Gas-Water Two-Phase Flow in Carbonate Reservoirs at Pore Scale. Petroleum 2023, 10, 631–645. [Google Scholar] [CrossRef]
- Liu, G.; Xie, S.; Tian, W.; Wang, J.; Li, S.; Wang, Y.; Yang, D. Effect of Pore-Throat Structure on Gas-Water Seepage Behaviour in a Tight Sandstone Gas Reservoir. Fuel 2022, 310, 121901. [Google Scholar] [CrossRef]
- Zhou, Y.; You, L.; Kang, Y.; Xie, B.; Cheng, Q. Experimental Study of the Fracture Initiation through the Synergy of Spontaneous Imbibition and Hydration of Residual Fracturing Fluids in Shale Gas Reservoirs. J. Nat. Gas Sci. Eng. 2022, 102, 104577. [Google Scholar] [CrossRef]
- Li, Q.; Li, Q.; Wu, J.; Li, X.; Li, H.; Cheng, Y. Wellhead Stability During Development Process of Hydrate Reservoir in the Northern South China Sea: Evolution and Mechanism. Processes 2025, 13, 40. [Google Scholar] [CrossRef]
- Li, Q.; Li, Q.; Cao, H.; Wu, J.; Wang, F.; Wang, Y. The Crack Propagation Behaviour of CO2 Fracturing Fluid in Unconventional Low Permeability Reservoirs: Factor Analysis and Mechanism Revelation. Processes 2025, 13, 159. [Google Scholar] [CrossRef]
- Yong, H.; Yingli, C.; Tao, L. The Formation Development and Theoretical Connotations of “Overall Water Control of Gas Reservoir” Technology in Gas Field Development. Nat. Gas Ind. 2022, 42, 10–20. [Google Scholar] [CrossRef]
- Feng, X.; Peng, X.; Li, L.; Yang, X.; Wang, J.; Li, Q.; Zhang, C.; Deng, H. Influence of Reservoir Heterogeneity on Water Invasion Differentiation in Carbonate Gas Reservoirs. Nat. Gas Ind. B 2019, 6, 7–15. [Google Scholar] [CrossRef]
- Li, M.; Ma, Z.; Tang, S.; Yue, D.; Li, Q.; Zhang, J.; Tan, L.; An, K.; Li, W.; Wang, W. Water invasion law of carbonate gas reservoir of Longwangmiao Formation in Moxi area, Sichuan Basin. Nat. Gas Geosci. 2023, 35, 366–378. [Google Scholar]
- Wang, L.; Yang, S.; Peng, X.; Deng, H.; Wang, Q. Visual Experiments on the Occurrence Characteristics of Multi-Type Reservoir Water in Fracture-Cavity Carbonate Gas Reservoir. Acta Pet. Sin. 2018, 39, 686–696. [Google Scholar] [CrossRef]
- Hu, J.; Yang, S.; Jiang, Y.; Deng, H.; Wang, M.; You, L.; Li, Q.; Bai, H.; Shen, B. Experimental Study on Edge Water Invasion of Strongly Heterogeneous Carbonate Gas Reservoirs Based on NMR Technology. Processes 2024, 12, 1361. [Google Scholar] [CrossRef]
- Zhang, J.; Tang, Y.; Wang, H.; Huang, L.; Liao, F.; Liu, Y.; Chen, Y. Study on the Mechanism of Water Blocking in Tight Sandstone Gas Reservoirs Based on Centrifugal and Nuclear Magnetic Resonance Methods. Energies 2022, 15, 6680. [Google Scholar] [CrossRef]
- Gao, S.; Yang, M.; Ye, L.; Liu, H.; Zhu, W. Simulation Experiment of Water Invasion Performance in Low-Permeability Bottom Water Gas Reservoir and Its Influence on Recovery Factor. Nat. Gas Ind. 2022, 42, 61–70. [Google Scholar]
- Huang, S.; Liu, J.; Sun, J.; Geng, M. Water Invasion Mode of Carbonate Gas Reservoirs Controlled by Edge Water: Three Invasion Modes. Front. Energy Res. 2022, 10, 860527. [Google Scholar] [CrossRef]
- Xu, R.; Yang, S.; Li, M.; Wang, J.; Dong, Z.; Xie, P.; Jin, Y.; Wang, X. Experimental Study on Unstable Imbibition Characteristics of Fracturing Fluids at High Pressures and Temperatures in the Tight Continental Reservoir. Geoenergy Sci. Eng. 2023, 221, 211362. [Google Scholar] [CrossRef]
- Wang, R.; Zhang, C.; Chen, D.; Yang, F.; Li, H.; Li, M. Microscopic Seepage Mechanism of Gas and Water in Ultra-Deep Fractured Sandstone Gas Reservoirs of Low Porosity: A Case Study of Keshen Gas Field in Kuqa Depression of Tarim Basin, China. Front. Earth Sci. 2022, 10, 893701. [Google Scholar] [CrossRef]
- He, F.; Wang, J. Study on the Causes of Water Blocking Damage and Its Solutions in Gas Reservoirs with Microfluidic Technology. Energies 2022, 15, 2684. [Google Scholar] [CrossRef]
- Yin, X.; Shu, J.; Li, Y.; Gao, W.; Lu, J. Impact of Pore Structure and Clay Content on the Water-Gas Relative Permeability Curve within Tight Sandstones: A Case Study from the LS Block, Eastern Ordos Basin, China. J. Nat. Gas Sci. Eng. 2020, 81, 103418. [Google Scholar] [CrossRef]
- Zhao, Y.; Han, C.; Sun, Y.; Danesh, N.N.; Liu, T.; Gao, Y. Nano- to Micro-Pore Characterization by Synchrotron Radiation SAXS and Nano-CT for Bituminous Coals. Front. Earth Sci. 2021, 15, 189–201. [Google Scholar] [CrossRef]












Disclaimer/Publisher’s Note: The statements, opinions and data contained in all publications are solely those of the individual author(s) and contributor(s) and not of MDPI and/or the editor(s). MDPI and/or the editor(s) disclaim responsibility for any injury to people or property resulting from any ideas, methods, instructions or products referred to in the content. |
© 2025 by the authors. Licensee MDPI, Basel, Switzerland. This article is an open access article distributed under the terms and conditions of the Creative Commons Attribution (CC BY) license (https://creativecommons.org/licenses/by/4.0/).
Share and Cite
Jiang, Y.; Yang, S.; Bai, H.; Chen, Y.; Mei, Q.; Wang, B.; Li, Q.; Hu, J. Experimental Study on Microscopic Distribution Characteristics of Water-Sealed Gas in Pore–Fracture Carbonate Gas Reservoirs. Processes 2025, 13, 979. https://doi.org/10.3390/pr13040979
Jiang Y, Yang S, Bai H, Chen Y, Mei Q, Wang B, Li Q, Hu J. Experimental Study on Microscopic Distribution Characteristics of Water-Sealed Gas in Pore–Fracture Carbonate Gas Reservoirs. Processes. 2025; 13(4):979. https://doi.org/10.3390/pr13040979
Chicago/Turabian StyleJiang, Yi, Shenglai Yang, Haoyan Bai, Yingli Chen, Qingyan Mei, Beidong Wang, Qinyi Li, and Jiangtao Hu. 2025. "Experimental Study on Microscopic Distribution Characteristics of Water-Sealed Gas in Pore–Fracture Carbonate Gas Reservoirs" Processes 13, no. 4: 979. https://doi.org/10.3390/pr13040979
APA StyleJiang, Y., Yang, S., Bai, H., Chen, Y., Mei, Q., Wang, B., Li, Q., & Hu, J. (2025). Experimental Study on Microscopic Distribution Characteristics of Water-Sealed Gas in Pore–Fracture Carbonate Gas Reservoirs. Processes, 13(4), 979. https://doi.org/10.3390/pr13040979

