Output Feedback Regulation via Sinusoidal Control with Application to Semi-Continuous Bio/Chemical Reactors
Abstract
1. Introduction
2. Problem Statement
3. Control Design
4. Application Examples
4.1. Biological Fed-Batch Reactor
4.2. Chemical Fed-Batch Reactor
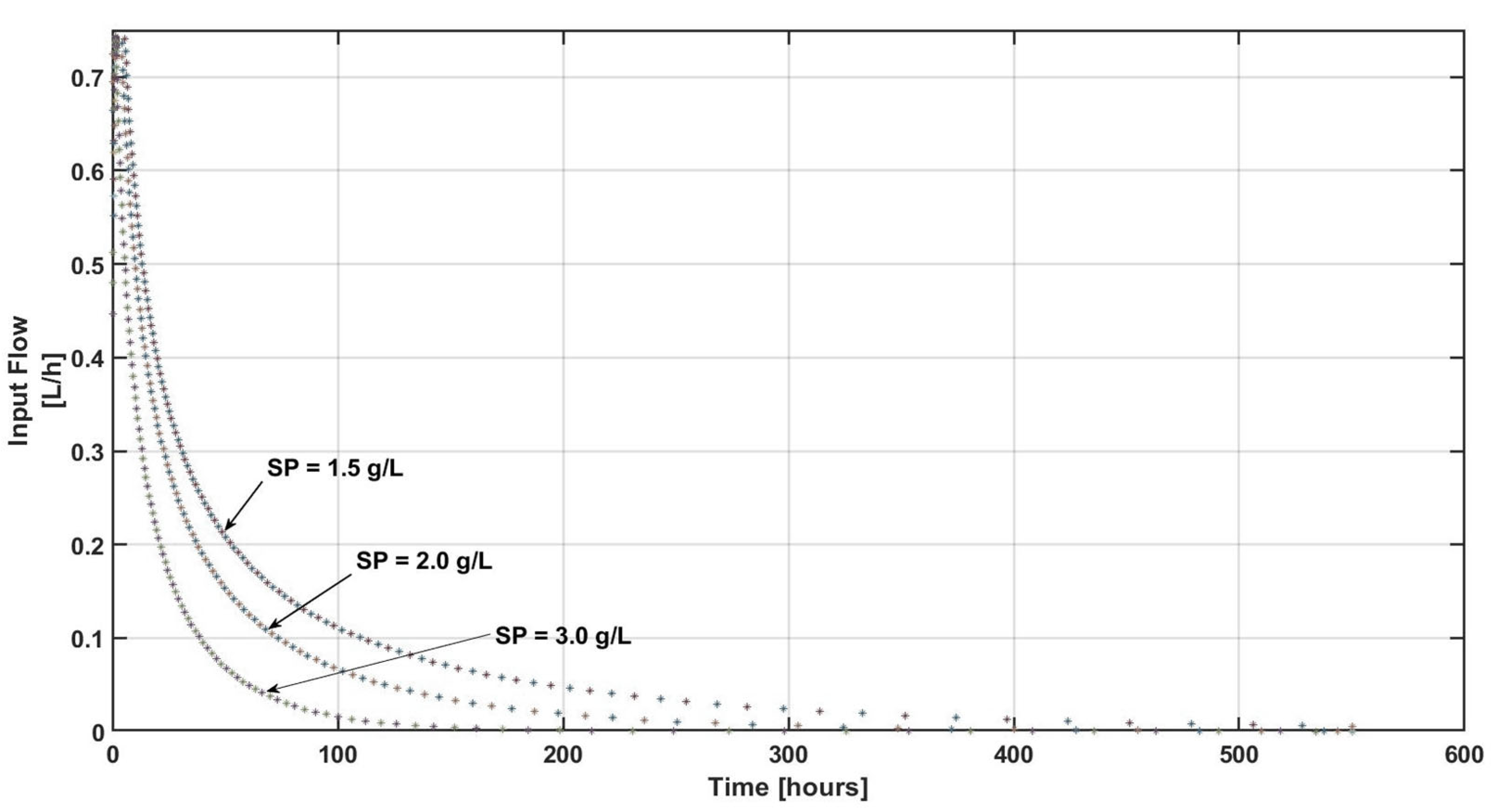
5. Numerical Results and Discussion
6. Concluding Remarks
Author Contributions
Funding
Data Availability Statement
Conflicts of Interest
References
- Liu, J.; Ren, J.; Yang, Y.; Liu, X.; Sun, L. Effective semicontinuous distillation design for separating normal alkanes via multi-objective optimization and control. Chem. Eng. Res. Des. 2021, 168, 340–356. [Google Scholar] [CrossRef]
- Madabhushi, P.B.; Adams, T.A., II. Side stream control in semicontinuous distillation. Comput. Chem. Eng. 2018, 119, 450–464. [Google Scholar] [CrossRef]
- Shen, Y.; Forrester, S.; Koval, J.; Urgun-Demirtas, M. Yearlong semi-continuous operation of thermophilic two-stage anaerobic digesters amended with biochar for enhanced biomethane production. J. Clean. Prod. 2017, 167, 863–874. [Google Scholar] [CrossRef]
- Ripoll, V.; Agabo-García, C.; Solera, R.; Perez, M. Modeling of the anaerobic semi-continuous co-digestion of sewage sludge and wine distillery wastewater. Environ. Sci. Water Res. Technol. 2020, 6, 1880–1889. [Google Scholar] [CrossRef]
- Miramontes-Martínez, L.R.; Gómez-González, R.; Botello-Álvarez, J.E.; Escamilla-Alvarado, C.; Albalate-Ramírez, A.; Rivas-García, P. Semi-continuous anaerobic co-digestion of vegetable waste and cow manure: A study of process stabilization. Rev. Mex. De Ing. Química 2020, 19, 2020. [Google Scholar] [CrossRef]
- Bresaola, M.D.; Morocho-Jácome, A.L.; Matsudo, M.C.; de Carvalho, J.C. Semi-continuous process as a promising technique in Ankistrodesmus braunii cultivation in a photobioreactor. J. Appl. Phycol. 2019, 31, 2197–2205. [Google Scholar] [CrossRef]
- Murillo, C.; Irakoze, G.; de Oliveira Vigier, K.; Delmas, M.; Jérôme, F.; Pérès, Y.; Urrutigoity, M.; Cognet, P. Modeling of Ethylene Glycol Production from Glucose in a Semi-Continuous Reactor. Chem. Eng. Technol. 2020, 43, 950–963. [Google Scholar] [CrossRef]
- Breton-Deval, L.; Méndez-Acosta, H.O.; González-Álvarez, V.; Snell-Castro, R.; Gutiérrez -Sánchez, D.; Arreola-Vargas, J. Agave tequilana bagasse for methane production in batch and sequencing batch reactors: Acid catalyst effect, batch optimization and stability of the semi-continuous process. J. Environ. Manag. 2018, 224, 156–163. [Google Scholar] [CrossRef]
- Johnson, A. The control of fed-batch fermentation processes. A survey. Automatica 1987, 23, 691–705. [Google Scholar] [CrossRef]
- De Battista, H.; Jamilis, M.; Garelli, F.; Picó, J. Global stabilization of continuous bioreactors: Tools for analysis and design of feeding laws. Automatica 2018, 89, 340–348. [Google Scholar] [CrossRef]
- Jäschke, J.; Cao, Y.; Kariwala, V. Self-optimizing control—A survey. Annu. Rev. Control 2017, 43, 199–223. [Google Scholar] [CrossRef]
- Ammar, Y.; Cognet, P.; Cabassud, M. ANN for hybrid modeling of batch and fed-batch chemical reactors. Chem. Eng. Sci. 2021, 237, 116522. [Google Scholar] [CrossRef]
- Rätze, K.; Jokiel, M.; Kaiser, N.M.; Sundmacher, K. Cyclic operation of a semi-batch reactor for the hydroformylation of long-chain olefins and integration in a continuous production process. Chem. Eng. J. 2019, 377, 120453. [Google Scholar] [CrossRef]
- Dovžan, D.; Škrjanc, I. Predictive functional control based on an adaptive fuzzy model of a hybrid semi-batch reactor. Control Eng. Pract. 2010, 18, 979–989. [Google Scholar] [CrossRef]
- Aguilar-López, R.; Mata-Machuca, J.L.; Godinez-Cantillo, V. A TITO Control Strategy to Increase Productivity in Uncertain Exothermic Continuous Chemical Reactors. Processes 2021, 9, 873. [Google Scholar] [CrossRef]
- Figueroa-Estrada, J.C.; Neria-González, M.I.; Rodríguez-Vázquez, R.; Tec-Caamal, E.N.; Aguilar-López, R. Controlling a continuous stirred tank reactor for zinc leaching. Miner. Eng. 2020, 157, 106549. [Google Scholar] [CrossRef]
- Lara-Cisneros, G.; Aguilar-López, R.; Dochain, D.; Femat, R. On-line estimation of VFA concentration in anaerobic digestion via methane outflow rate measurements. Comput. Chem. Eng. 2016, 94, 250–256. [Google Scholar] [CrossRef]
- Aguilar-López, R.; Mata-Machuca, J.L.; Martínez-Guerra, R.; Pérez-Pinacho, C.A. Synchronization of Multiple Mechanical Oscillators Under Noisy Measurements Signals and Mismatch Parameters. Int. J. Nonlinear Sci. Numer. Simul. 2017, 19, 699–707. [Google Scholar] [CrossRef]
- Poznyak, A.; Chairez, I.; Poznyak, T. A survey on artificial neural networks application for identification and control in environmental engineering: Biological and chemical systems with the uncertain model. Annu. Rev. Control 2019, 48, 250–272. [Google Scholar] [CrossRef]
- Esche, E.; Weigert, J.; Brand, G.; Göbel, R.; Repke, J. Architectures for neural networks as surrogates for dynamic systems in chemical engineering. Chem. Eng. Res. Des. 2022, 177, 184–199. [Google Scholar] [CrossRef]
- Kirilova, E.G. Artificial Neural Networks: Applications in Chemical Engineering. In Modeling and Simulation in Chemical Engineering: Project Reports on Process Simulation; Boyadjiev, C., Ed.; Springer International Publishing: Cham, Switzerland, 2022; pp. 127–146. [Google Scholar]
- Mirjalili, S. SCA: A Sine-Cosine Algorithm for solving optimization problems. Knowl.-Based Syst. 2016, 96, 120–133. [Google Scholar] [CrossRef]
- Webster, T.A.; Hadley, B.C.; Dickson, M.; Busa, J.K.; Jaques, C.; Mason, C. Feedback control of two supplemental feeds during fed-batch culture on a platform process using inline Raman models for glucose and phenylalanine concentration. Bioprocess Biosyst. Eng. 2021, 44, 127–140. [Google Scholar] [CrossRef] [PubMed]
- Kager, J.; Tuveri, A.; Ulonska, S.; Kroll, P.; Herwig, C. Experimental verification and comparison of model predictive, PID, and model inversion control in a Penicillium chrysogenum fed-batch process. Process Biochem. 2020, 90, 1–11. [Google Scholar] [CrossRef]
- Galvanauskas, V.; Simutis, R.; Vaitkus, V. Adaptive control of biomass specific growth rate in fed-batch biotechnological processes. A comparative study. Processes 2019, 7, 810. [Google Scholar] [CrossRef]
- Roy, S.; Chopda, V.; Gomes, J.; Rathore, A.S. Comparison and implementation of different control strategies for improving production of rHSA using Pichia pastoris. J. Biotechnol. 2019, 290, 33–43. [Google Scholar]
- Panjapornpon, C.; Saksomboon, P.; Juyteiy, K.; Chinprasit, J. Input/output linearization for a real-time pH control: Application on basic wastewater neutralization by carbon dioxide in a fed-batch bubble column reactor. Eng. J. 2019, 23, 229–241. [Google Scholar] [CrossRef]
- Chopda, V.; Rathore, A.S.; Gomes, J. On-line implementation of decoupled input-output linearizing controller in Baker’s yeast fermentation. IFAC Proc. Vol. 2013, 46, 259–264. [Google Scholar] [CrossRef]
- Aguilar-López, R.; González-Viveros, I.; López-Pérez, P.A. Sinusoidal control strategy applied to continuous stirred-tank reactors: Asymptotic and exponential convergence. Can. J. Chem. Eng. 2025, 103, 744. [Google Scholar] [CrossRef]
- Gomez-Acata, R.V.; Lara-Cisneros, G.; Femat, R.; Aguilar-López, R. On the dynamic behavior of a class of bioreactor with non-conventional yield coefficient form. Rev. Mex. De Ing. Química 2015, 14, 149–165. [Google Scholar]
- Díaz Pacheco, A.; Delgado-Macuil, R.J.; Díaz-Pacheco, Á.; Larralde-Corona, C.P.; Dinorín-Téllez-Girón, J.; López-López, V.E. Use of equivalent circuit analysis and Cole–Cole model in evaluation of bioreactor operating conditions for biomass monitoring by impedance spectroscopy. Bioprocess Biosyst. Eng. 2021, 44, 1923–1934. [Google Scholar] [CrossRef]
- Ravikumar, C.; Sivakumar, D. Design and Simulation of IMC Based PI Controller for a MIMO Process. Int. J. Sci. Res. Sci. Technol. 2018, 4, 57–63. [Google Scholar]
- Besta, C.S.; Chidambaram, M. Control of Unstable Multivariable Systems by IMC Method. In Proceedings of the 2017 Trends in Industrial Measurement and Automation (TIMA), Chennai, India, 6–8 January 2017; pp. 1–6. [Google Scholar]
- Pathiran, A.R. Improving the Regulatory Response of PID Controller Using Internal Model Control Principles. Int. J. Control Sci. Eng. 2019, 9, 9–14. [Google Scholar]
- Ahmadi, A.H.; Nikravesh, S.K.; Moradi Amani, A. A Unified IMC Based PI/PID Controller Tuning Approach for Time Delay Processes. AUT J. Electr. Eng. 2020, 52, 31–52. [Google Scholar]
- Diwakar, B.; Anandh, M.G.; Brinda, R.; Devi, S.J.; Aravind, P. IMC Based Design of PI Controller for Real Time Pressure Process. Int. J. Innov. Res. Electr. Electron. Instrum. Control Eng. 2015, 3, 12–15. [Google Scholar]
- Seki, H. Self-Tuning IMC-PI Controllers for Chemical Process Applications. In Proceedings of the 2016 IEEE Conference on Control Applications (CCA), Buenos Aires, Argentina, 19–22 September 2016; pp. 1179–1184. [Google Scholar]
- Ogunnaike, B.A.; Ray, W.H. Process Dynamics, Modeling, and Control; Oxford University Press: New York, NY, USA, 1994. [Google Scholar]




















Disclaimer/Publisher’s Note: The statements, opinions and data contained in all publications are solely those of the individual author(s) and contributor(s) and not of MDPI and/or the editor(s). MDPI and/or the editor(s) disclaim responsibility for any injury to people or property resulting from any ideas, methods, instructions or products referred to in the content. |
© 2025 by the authors. Licensee MDPI, Basel, Switzerland. This article is an open access article distributed under the terms and conditions of the Creative Commons Attribution (CC BY) license (https://creativecommons.org/licenses/by/4.0/).
Share and Cite
Aguilar-López, R.; Femat, R.; Mata-Machuca, J.L. Output Feedback Regulation via Sinusoidal Control with Application to Semi-Continuous Bio/Chemical Reactors. Processes 2025, 13, 891. https://doi.org/10.3390/pr13030891
Aguilar-López R, Femat R, Mata-Machuca JL. Output Feedback Regulation via Sinusoidal Control with Application to Semi-Continuous Bio/Chemical Reactors. Processes. 2025; 13(3):891. https://doi.org/10.3390/pr13030891
Chicago/Turabian StyleAguilar-López, Ricardo, Ricardo Femat, and Juan L. Mata-Machuca. 2025. "Output Feedback Regulation via Sinusoidal Control with Application to Semi-Continuous Bio/Chemical Reactors" Processes 13, no. 3: 891. https://doi.org/10.3390/pr13030891
APA StyleAguilar-López, R., Femat, R., & Mata-Machuca, J. L. (2025). Output Feedback Regulation via Sinusoidal Control with Application to Semi-Continuous Bio/Chemical Reactors. Processes, 13(3), 891. https://doi.org/10.3390/pr13030891

