Quantitative Identification of Emission Sources and Emission Dynamics of Pressure-Relieved Methane Under Variable Mining Intensities
Abstract
1. Introduction
2. Theoretical Analysis
2.1. Migration Dynamics and Transport Mechanisms of Pressure-Relieved Methane in Coal Seams
2.2. Numerical Model Theoretical Equations
3. Engineering Background
3.1. Overview of the Test Area
3.2. Gas Base Parameters
4. Numerical Simulation
4.1. Model Construction
4.2. Analysis of Numerical Simulation Results
4.2.1. Mechanical Failure Characteristics Under Different Mining Intensities
- (1)
- Analysis of vertical stress
- (2)
- Analysis of plastic zone
- (3)
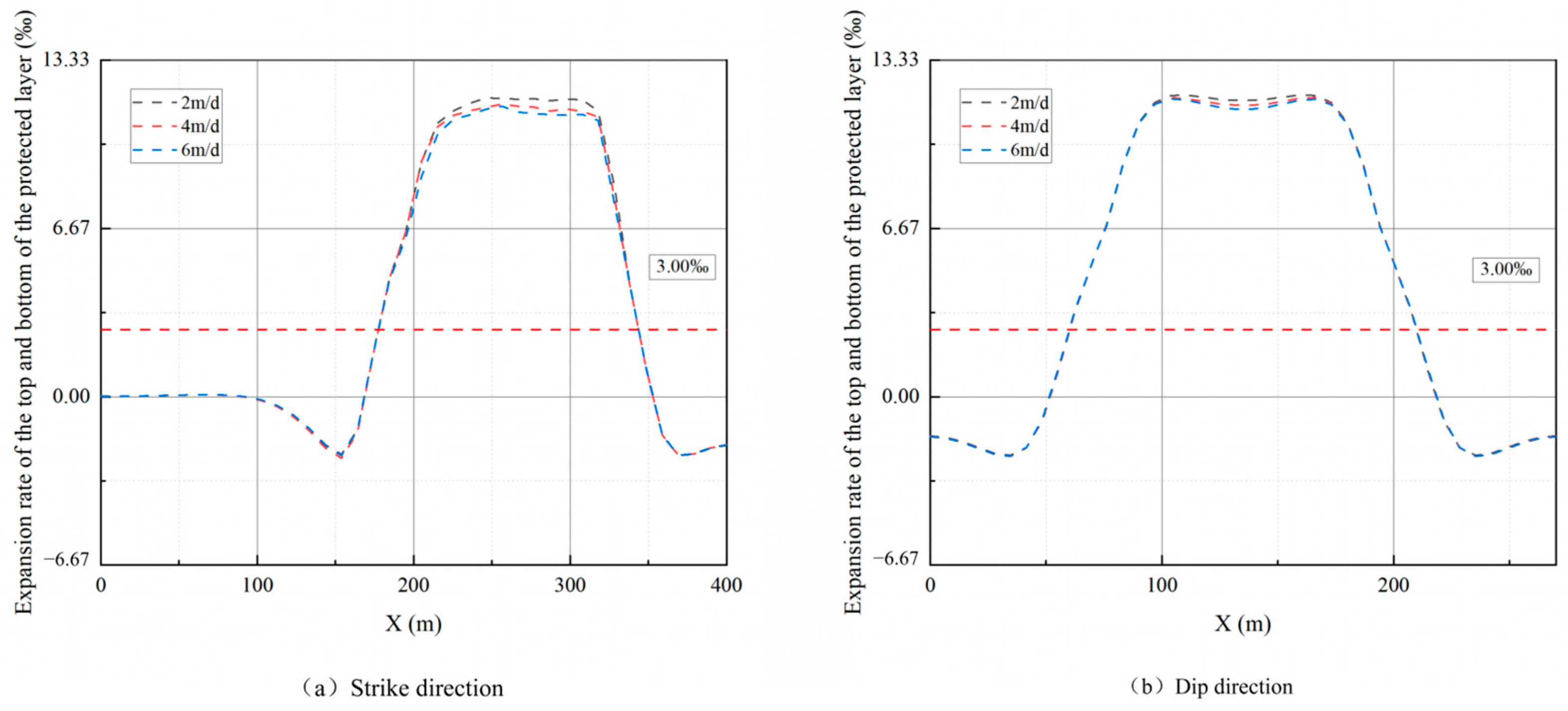
- Analysis of pressure-relief range of bottom plate
4.2.2. Gas Transportation Patterns
- (1)
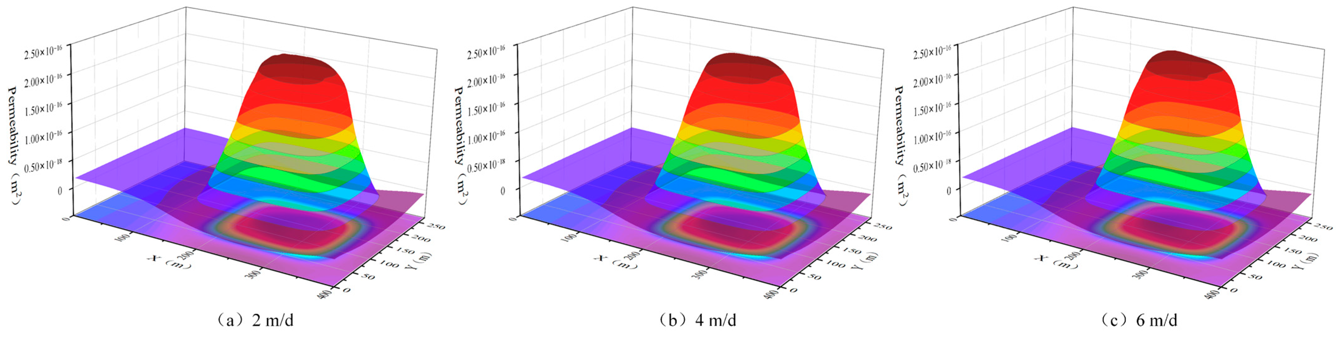
- Analysis of permeability
- (2)
- Transportation of gas from this coal seam
- (3)
- Characteristics of gas transportation in neighboring seam
- (4)
- Analysis of gas outflow
5. Field Analysis
5.1. Quantitative Validation Analysis of Gas Outflow Sources
5.2. Analysis of Past Gas Outflow Data
5.3. Measures for Extracting Decompressed Gas
5.3.1. Calculation of Extraction Mixing Volume and Negative Pressure for Directional Long Drilling Holes
5.3.2. Calculation of Bottom Plate Destructive Depth
5.4. Effect of Unloading Pressure Gas Extraction
5.5. Changing Law of Gas Outflow Volume
6. Conclusions
7. Discussion
Author Contributions
Funding
Data Availability Statement
Conflicts of Interest
References
- Degirmenci, T.; Aydin, M.; Cakmak, B.Y.; Yigit, B. A path to cleaner energy: The nexus of technological regulations, green technological innovation, economic globalization, and human capital. Energy 2024, 311, 133316. [Google Scholar] [CrossRef]
- Aydin, M.; Degirmenci, T.; Erdem, A.; Sogut, Y.; Demirtas, N. From public policy towards the green energy transition: Do economic freedom, economic globalization, environmental policy stringency, and material productivity matter? Energy 2024, 311, 133404. [Google Scholar] [CrossRef]
- Degirmenci, T.; Sofuoglu, E.; Aydin, M.; Adebayo, T.S. The Role of Energy Intensity, Green Energy Transition, and Environmental Policy Stringency on Environmental Sustainability in G7 Countries; Clean Technologies and Environmental Policy; Springer: Berlin/Heidelberg, Germany, 2024; pp. 1–13. [Google Scholar]
- Qin, B.; Shi, Z.S.; Hao, J.F.; Ye, D.L.; Liang, B.; Sun, W. Analysis of the Space–Time Synergy of Coal and Gas Co-mining. ACS Omega 2022, 7, 13737–13749. [Google Scholar] [CrossRef] [PubMed]
- Yi, M.H.; Wang, L.; Hao, C.M.; Liu, Q.Q.; Wang, Z.Y. Method for designing the optimal sealing depth in methane drainage boreholes to realize efficient drainage. Int. J. Coal Sci. Technol. 2021, 8, 1400–1410. [Google Scholar] [CrossRef]
- Zhou, A.T.; Xu, Z.Y.; Wang, K.; Wang, Y.H.; An, J.Y.; Shi, Z. Coal mine gas migration model establishment and gas extraction technology field application research. Fuel 2023, 349, 128650. [Google Scholar] [CrossRef]
- Xu, F.Y.; Yan, X.; Wang, F.L.; Ma, X.Y.; Yun, J.; Wang, H.N.; Xu, B.R.; Zhang, S.Y.; Mao, D.L. Development Strategy and Countermeasures of China’s CBM Industry under the Goal of “Carbon Peak and Neutrality”. J. Earth Sci. 2023, 34, 975–984. [Google Scholar] [CrossRef]
- Hu, L.; Feng, Z.; Zhou, D.; Wang, X. Mechanisms and field application of in-situ heat injection-enhanced gas drainage. Energy 2023, 284, 128729. [Google Scholar] [CrossRef]
- Wang, X.; Hao, F.; Xu, H.; Zhu, C.Q.; Jiang, T.; Jiang, Y.H. Static expansion fracturing mechanism for enhancing gas permeability in low permeability coal seams. Sci. Rep. 2024, 14, 25046. [Google Scholar] [CrossRef] [PubMed]
- Zhu, Q.Y.; Du, X.J.; Zhang, T.; Yu, H.M.; Liu, X.B. Investigation into the variation characteristics and influencing factors of coalbed methane gas content in deep coal seams. Sci. Rep. 2024, 14, 18813. [Google Scholar] [CrossRef]
- Zhou, X.H.; Li, X.L.; Bai, G.; Chai, L.; Wang, Y.M.; Xiao, M.F.; Xia, S.Y. Research method of pressure relief and permeability enhancement in low permeability coal seam: A review. AIP Adv. 2022, 12, 010702. [Google Scholar] [CrossRef]
- Lu, A.L.; Song, D.Z.; Li, Z.L.; He, X.Q.; Dou, L.M.; Xue, Y.R.; Yang, H.K. Numerical Simulation Study on Pressure-Relief Effect of Protective Layer Mining in Coal Seams Prone to Rockburst Hazard. Rock Mech. Rock Eng. 2024, 57, 6421–6440. [Google Scholar] [CrossRef]
- Xie, H.G.; Li, X.J.; Cai, J.J.; Wang, S.W.; Feng, C. Evolution of fissures and pressure discharge of gas caused by mining of the upper protective layer of a coal seam. Sci. Rep. 2023, 13, 2561. [Google Scholar] [CrossRef] [PubMed]
- Liu, C.; Li, M.L.; Cha, J.; Man, Z.Y. Numerical analysis of stress distribution due to upper protective layer mining and its impact on gas extraction. Phys. Fluids 2024, 36, 117129. [Google Scholar] [CrossRef]
- Li, L.; Wu, G.Y.; Liu, Q.A. Study on Overburden Movement and Fissure Evolution Law of Protective Layer Mining in Shallow Coal Seam. Energies 2022, 15, 1831. [Google Scholar] [CrossRef]
- Cheng, C.; Cheng, X.Y.; Chen, L.; Ma, X.Y. Research on Gas Control Technology in Goaf Based on the Influence of Mining Speed. Processes 2024, 12, 1528. [Google Scholar] [CrossRef]
- Gong, X.P.; Wu, J.J.; Li, S.G.; Cheng, X.Y.; Gao, H. Reas-onable arrangement of pressure relief gas extraction inoverburden rock under high strength mining in low gasseams. J. Min. Saf. Eng. 2020, 37, 419–428. [Google Scholar]
- Zhao, P.X.; Zhang, W.J.; Li, S.G.; Zhuo, R.S.; Lin, H.F.; Suo, L. Mechanism of cross-fusion in gas transportation-stor-age area in fully mechanized mining face of high gas thick coal seam under different advancing speeds. J. China Coal Soc. 2023, 48, 3405–3419. [Google Scholar]
- Yuan, L. Theory of pressure-relieved gas extraction and technique system of integrated coal production and gas extraction. J. China Coal Soc. 2009, 34, 1–8. [Google Scholar]
- Wu, Y.; Gao, R.; Yang, J. Prediction of coal and gas outburst: A method based on the BP neural network optimized by GASA. Process Saf. Environ. Prot. 2020, 133, 64–72. [Google Scholar] [CrossRef]
- Bi, S.H.; Shao, L.S.; Qi, Z.H.; Wang, Y.B.; Lai, W.Z. Prediction of coal mine gas emission based on hybrid machine learning model. Earth Sci. Inf. 2023, 16, 501–513. [Google Scholar] [CrossRef]
- Xu, G.; Hou, Y.P.; Jin, H.W.; Wang, Z.W. Study on Source Identification of Mixed Gas Emission and Law of Gas Emission Based on Isotope Method. Energies 2023, 16, 1225. [Google Scholar] [CrossRef]
- Lei, W.; Du, X.; Zhang, D.; Wang, J.; Yang, R.; Zheng, C.; Cao, J. Sensitivity analysis of geological mining influencing factors on the pressure relief effect of upper protective layer mining. Energy Sci. Eng. 2024, 12, 4703–4719. [Google Scholar] [CrossRef]
- Yang, K.; Sun, X.T.; Liu, S.; Guo, P.H.; Zhang, Z.N. Pressure relief and permeability enhancement effect and gas extraction scheme of long distance lower protective layer mining. J. China Min. Saf. Environ. Prot. 2024, 51, 1–9. [Google Scholar]
- Li, Y.; Wang, X.; Zhang, L. Enhancing Methane Recovery and Utilization in Coal Mining: A Pathway to Support China’s Dual Carbon Goals. Energy Policy 2023, 174, 1–12. [Google Scholar]
- Wang, X.; Li, Y.; Chen, G. Advanced Gas Extraction Technologies for Coal Mines: A Review of Recent Developments and Their Implications for China’s Carbon Neutrality Target. Renew. Sustain. Energy Rev. 2023, 162, 120–135. [Google Scholar]
- Zhang, L.; Liu, H.; Wang, X. Methane Emission Reduction in Coal Mining: Strategies and Technologies for Achieving China’s Dual Carbon Objectives. J. Clean. Prod. 2023, 378, 150–165. [Google Scholar]
- Lin, H.F.; Ji, P.F.; Kong, X.G.; Li, S.G.; Long, H.; Xiao, T.; Bai, L. Experimental study on the influence of gas pressure on CH4 adsorption-desorption-seepage and deformation characteristics of coal in the whole process under triaxial stress. Fuel 2023, 333, 126513. [Google Scholar] [CrossRef]
- Qian, M.G.; Xu, J.L. Study on the "o-shape" Circle distribution characteristics of mining-induced fractures in the overlaying strata. J. China Coal Soc. 1998, 5, 20–23. [Google Scholar]
- Wang, W.; Zhang, J.W.; Chen, X.j.; Liu, Y.E.; Li, H.; Wang, H.F.; Fang, Z.M. Analysis of proper position of extraction roadway on roof in high-strength gas emission workface: A case study of Zhaozhuang coal mine in southern Qinshui Basin. Energy Rep. 2021, 7, 8834–8848. [Google Scholar] [CrossRef]
- Yang, T.; Li, B.; Ye, Q.S. Numerical simulation research on dynamical variation of permeability of coal around roadway based on gas-solid coupling model for gassy coal. Int. J. Min. Sci. Technol. 2018, 28, 925–932. [Google Scholar] [CrossRef]
- Darcy, H. Les Fontaines Publiques de la Ville de Dijon; Victor Dalmont: Paris, France, 1856. [Google Scholar]
- Fick, A. Über Diffusion. Ann. Der Phys. 1855, 170, 59–86. [Google Scholar] [CrossRef]
- Cheng, Y.; Liu, Q.; Ren, T. Gas adsorption- desorption properties of coal. Coal Mech. 2021, 16, 111–150. [Google Scholar]
- Cui, X.; Bustin, R.M. Volumetric strain associated with methane desorption and its impact on coalbed gas production from deep coal seams. AAPG Bull. 2005, 89, 1181–1202. [Google Scholar] [CrossRef]
- SUN, P. Thermal-hydrological-solid coupling model of coal seam gas extraction based on pore-fracture. Min. Saf. Environ. Prot. 2024, 51, 64–73. [Google Scholar]
- Wang, D.K.; Tang, J.H.; Wei, J.P.; Wei, L.; Wu, J.; Yuan, M.Y.; Pang, X.F.; Guo, Y.J. A fluid-solid coupling model of coal seam gas considering gas multi-mechanism flow and a numerical simulation analysis of gas drainage. J. China Coal Soc. 2023, 48, 763–775. [Google Scholar]
- Wang, X.L.; Cheng, J.J. Study on fissure evolution of overlying rock in lower protective mining. Sci. Rep. 2024, 14, 19206. [Google Scholar] [CrossRef]
- Wang, H.F.; Cheng, Y.P.; Wu, D.M.; Liu, H.Y. Gas emission and parameter optimization of gas extraction in mining face of short distance protective seam. J. China Coal Soc. 2010, 35, 590–594. [Google Scholar]
- Guo, M.J.; Guo, W.B.; Zhao, G.B.; Yuan, R.F.; Wang, Y.S.; Bai, E.H. Position characteristics of horizontal-directional long boreholes in overlying strata and drainage mechanism of pressure-relief gas in longwall mining. J. China Coal Soc. 2023, 48, 3750–3765. [Google Scholar]
















| Parameter Category | Measurement Result | Parameter Category | Measurement Result |
|---|---|---|---|
| Gas pressure/MPa | 0.20~0.36 | Initial Gas Desorption Rate/(mL/s) | 10~12 |
| Gas content/(m3/t) | 4.75~6.50 | Apparent Density/(t/m3) | 1.28 |
| Porosity/% | 5.0 | True Density/(t/m3) | 1.42 |
| Parameter Category | Measurement Result | Parameter Category | Measurement Result |
|---|---|---|---|
| Gas pressure/MPa | 0.42~0.78 | Initial Gas Desorption Rate/(mL/s) | 10~12 |
| Gas content/(m3/t) | 8.56~10.52 | Apparent Density/(t/m3) | 1.35 |
| Coal permeability coefficient | 0.0145 m2/(MPa2·d) | True Density/(t/m3) | 1.47 |
| Type of coal destruction | Ⅳ | Porosity/% | 4.82 |
| Stabilization factor of coal | 0.14~0.16 | Gas flow decay coefficient/d−1 | 0.07~0.10 |
| Lithology | Thickness /m | Density/(g·cm−3) | Bulk Modulus /GPa | Shear Modulus /GPa | Cohesion /MPa | Tensile Strength /MPa | Internal Friction Angle/° |
|---|---|---|---|---|---|---|---|
| Dazhan sandstone 1 | 12.5 | 2.6 | 4.5 | 2.3 | 3.0 | 2.2 | 27.0 |
| Sandstone | 8.0 | 2.65 | 4.5 | 2.3 | 3.0 | 2.2 | 27.0 |
| Medium-grained sandstone | 12.5 | 2.5 | 4.9 | 2.4 | 2.4 | 1.8 | 24.0 |
| Sandy mudstone | 12.0 | 2.65 | 2.7 | 1.4 | 2.0 | 1.1 | 26.0 |
| No. 23 coal seam | 1.7 | 1.5 | 2.8 | 0.5 | 2.0 | 1.1 | 26.0 |
| Dazhan sandstone 1 | 17.0 | 2.6 | 4.5 | 2.3 | 3.0 | 2.2 | 27.0 |
| Roof mudstone | 2.3 | 2.65 | 2.7 | 1.4 | 2.0 | 1.1 | 26.0 |
| No. 21 coal seam | 7.0 | 1.5 | 2.5 | 0.5 | 2.0 | 1.1 | 26.0 |
| Mudstone | 8.0 | 2.6 | 2.5 | 1.3 | 2.0 | 1.1 | 26.0 |
| L7–8 limestone | 14.0 | 2.6 | 4.9 | 2.4 | 2.4 | 1.8 | 24.0 |
| Parameter | Value | Parameter | Value |
|---|---|---|---|
| True density of coal/(kg·m−3) | 1470 | Molar mass of air/(kg·mol−1) | 0.03 |
| Apparent density of coal/(kg·m−3) | 1350 | Molar mass of methane/(kg·mol−1) | 0.016 |
| Gas density at standard conditions/(kg·m−3) | 0.72 | Effective stress coefficient for fractures | 0.651 |
| Elastic modulus of coal/gpa | 1.51 | Effective stress coefficient for pores | 0.078 |
| Elastic modulus of coal matrix/gpa | 8.13 | Langmuir pressure constant/mpa | 6.019 |
| Poisson’s ratio of coal | 0.31 | Dynamic viscosity of gas/(pa·s) | 1.08 × 10−5 |
| Initial matrix porosity/% | 7.35 | Molar volume of gas/(m3·mol−1) | 0.026 |
| Initial fracture porosity/% | 2.55 | Gas constant/(J·mol−1·k−1) | 906 |
| Initial permeability/m2 | 1.125 × 10−18 | Temperature/k | 303.15 |
| Location of Working Face | Advance Distance/m | Proportion of End Elements/% | |
|---|---|---|---|
| The Seam No. 23 | The Seam No. 21 | ||
| Goaf | 140 | 29.42 | 70.58 |
| 180 | 28.81 | 71.19 | |
| 220 | 25.61 | 74.39 | |
| 260 | 23.32 | 76.68 | |
| 300 | 22.12 | 77.88 | |
| Drill Site Number | Average Raw Gas Content (m3/t) | Geological Reserves (Ten Thousand Tons) | Cumulative Gas Extraction Volume (Ten Thousand m3) | Cumulative Gas Extraction Volume (Ten Thousand m3) | Residual Gas Content (m3/t) |
|---|---|---|---|---|---|
| 1# | 8.65 | 44.98 | 389.09 | 135.40 | 5.64 |
| 2# | 9.86 | 43.38 | 427.75 | 175.28 | 5.82 |
Disclaimer/Publisher’s Note: The statements, opinions and data contained in all publications are solely those of the individual author(s) and contributor(s) and not of MDPI and/or the editor(s). MDPI and/or the editor(s) disclaim responsibility for any injury to people or property resulting from any ideas, methods, instructions or products referred to in the content. |
© 2025 by the authors. Licensee MDPI, Basel, Switzerland. This article is an open access article distributed under the terms and conditions of the Creative Commons Attribution (CC BY) license (https://creativecommons.org/licenses/by/4.0/).
Share and Cite
Chen, X.; Chen, X.; Hu, J.; Xiao, J.; Sun, J.; Yan, Z. Quantitative Identification of Emission Sources and Emission Dynamics of Pressure-Relieved Methane Under Variable Mining Intensities. Processes 2025, 13, 704. https://doi.org/10.3390/pr13030704
Chen X, Chen X, Hu J, Xiao J, Sun J, Yan Z. Quantitative Identification of Emission Sources and Emission Dynamics of Pressure-Relieved Methane Under Variable Mining Intensities. Processes. 2025; 13(3):704. https://doi.org/10.3390/pr13030704
Chicago/Turabian StyleChen, Xuexi, Xingyu Chen, Jiaying Hu, Jian Xiao, Jihong Sun, and Zhilong Yan. 2025. "Quantitative Identification of Emission Sources and Emission Dynamics of Pressure-Relieved Methane Under Variable Mining Intensities" Processes 13, no. 3: 704. https://doi.org/10.3390/pr13030704
APA StyleChen, X., Chen, X., Hu, J., Xiao, J., Sun, J., & Yan, Z. (2025). Quantitative Identification of Emission Sources and Emission Dynamics of Pressure-Relieved Methane Under Variable Mining Intensities. Processes, 13(3), 704. https://doi.org/10.3390/pr13030704

