Abstract
Poly (butylene succinate-butylene terephthalate) (PBST) is a novel high-performance degradable copolyester that combines the advantages of aliphatic polyester and aromatic polyester. This study investigated the intricate reaction kinetics and mass transfer in the PBST polycondensation process using static thin-film experiments. The findings suggest that the apparent reaction rate escalates with increasing temperature, decreasing pressure, and thinner film thickness. Based on the pseudo-steady state assumption, an overall apparent rate model encompassing both reaction kinetics and mass transfer was formulated, and the model was employed to simulate the coupling effects of reaction and mass transfer on the PBST polycondensation process. The simulation results reveal that film thickness has the most significant effect on the degree of side reaction. Film thickness primarily influences the accumulation of BDO(1,4-Butanediol) in the melt during the early stages of the reaction, where BDO accumulates in the melt and intensifies the side reaction under thicker film. And pressure has the most substantial influence on the concentration of BDO as the reaction approaches equilibrium. Additionally, the sensitivity of the growth of molecular weight to pressure is notably higher at low film thickness.
1. Introduction
In recent years, aliphatic–aromatic copolyesters have attracted considerable attention from researchers due to their distinct combination of properties [1,2]. These copolyesters demonstrate favorable biodegradability in the aliphatic units [3,4] while also showcasing excellent mechanical properties originating from the aromatic units, offering strength, durability, and resistance to deformation [5,6]. Poly (butylene succinate-butylene terephthalate) (PBST) represents a high-performance degradable copolyester prepared through the esterification and polycondensation of terephthalic acid (TPA), succinic acid (SA), and 1,4-butanediol (BDO), combining the physical advantages of PBT with the biodegradability of PBS [7,8]. Moreover, the synthetic raw materials BDO and SA used in PBST can be sourced from biomass through biological fermentation and chemical refining, offering distinct advantages compared to other polyesters synthesized using conventional petroleum-based raw materials [9,10].
In comparison to commercialized PBAT copolyester, PBST demonstrates superior heat resistance, load-bearing capacity, and barrier properties [11,12]. These properties can address the performance limitations of PBAT materials in packaging, film materials, and injection-molded products arising from their inherent structure [13]. Despite the biodegradability [14,15], crystallization kinetics [16], thermodynamics [17], and modification [18] of PBST having been extensively researched in recent years, research into PBST preparation processes is still limited. Currently, the industrial production of PBST is notably affected by the fluctuating prices of BDO raw materials and the capacity of SA; optimizing the polymerization process of PBST is crucial in order to minimize energy consumption and material waste.
The preparation process of PBST involves three stages: Esterification, pre-polycondensation, and final polycondensation [19]. In the esterification stage, TPA, SA, and BDO monomers undergo esterification under the action of a catalyst [20]. Liu et al. [21] established a mathematical model based on kinetic and thermodynamic equations to study the concept of the co-esterification reaction of PBST, and the results illustrated that higher temperatures and longer reaction times are helpful for increasing the esterification rate. During the pre-polycondensation stage, the esterified product is initially polymerized in the reactor to form a prepolymer with a molecular weight of several thousand. In the final stage of polycondensation, the molecular weight of the prepolymer continues to grow and eventually reaches products with high molecular weights. Bikiaris et al. [22] and Darda et al. [23] established intrinsic kinetic models for the polycondensation reactions of both PBS and PBT, with activation energies of polycondensation reactions similarly at 85.7 kJ/mol and 85.4 kJ/mol, respectively. However, the effect of diffusion mass transfer on the polycondensation process and side reactions was not considered in these studies.
During the final polycondensation stage for polyester, the melt viscosity sharply increases with rising molecular weight, rendering the removal of small molecules from the melt challenging [8,24], with the apparent polymerization rate being controlled by both the reaction and the small molecule mass transfer [25,26]. Therefore, understanding the reaction and mass transfer characteristics in the polycondensation process is of great significance for improving the overall polymerization efficiency and obtaining high-molecular-weight PBST [27,28]. With the rapid development of the polyester industry, the issue of decoupling between polycondensation reactions and mass transfer has garnered widespread attention from researchers [29,30]. Xi et al. [26] simplified the PET polycondensation process by applying the pseudo-steady state assumption and decoupling the polycondensation reaction from mass transfer, leading to the development of an apparent reaction rate model. Expanding on this model, Wang et al. [31] studied in detail the homo-polycondensation and co-polycondensation of copolyester PCTG polycondensation, and explored the mass transfer behavior of small molecules, EG and CHDM, during the polycondensation process; it was found that the mass transfer rate of EG was higher than that of CHDM.
Currently, there is a lack of further study on the modeling of the kinetics of the PBST reaction and mass transfer. The polycondensation process of PBST involves the homo-polycondensation of binary prepolymers, the co-polycondensation of different binary prepolymers, and the side reaction of 1,4-butanediol, decomposed at high temperatures to form tetrahydrofuran and water, as well as the timely removal of BDO to the gas phase, which is necessary to promote polycondensation and minimize side reactions. In addition, a two-phase model is frequently employed for the industrial-scale modeling of the final polycondensation process in polyester using a disk reactor, but key parameters such as small molecule mass transfer coefficients are still lacking for the modeling of the PBST system. Hence, the development of a comprehensive kinetic model is crucial to provide valuable guidance for the industrial production of PBST.
In this study, the reaction kinetics and mass transfer characteristics of PBST (with a SA:TPA ratio of 55 mol:45 mol) polycondensation process were investigated through static thin-film experiments. Based on the assumption of pseudo-steady state, an overall apparent rate model for PBST polymerization was formulated. A comprehensive simulation of an industrial-scale PBST polycondensation process was conducted, focusing on three critical aspects: The extent of side reactions, the influence of reaction conditions on mass transfer mechanisms, and the growth of PBST molecular weight. These findings provide valuable guidance for optimizing the PBST polycondensation process in industrial reactors and establish a theoretical foundation for scaling up PBST production.
2. Experimental Section
2.1. Materials
Succinic acid (99%), terephthalic acid (99%), and 1,4-butanediol (99%) were purchased from Aladdin Biochemical Technology Co., Ltd., Shanghai, China. Chloroform-d (99.8%) and styrene (99.5%) were purchased from Macklin Biochemical Technology Co., Ltd., Shanghai, China.
2.2. Synthesis of PBST Prepolymers
BDO, SA, and TPA were accurately weighed and introduced into a 2000 mL round-bottom three-neck glass reactor fitted with a stirring apparatus, maintaining a molar ratio of 1.5:0.55:0.45. A rare earth composite catalyst provided by the Sinopec Beijing Research Institute of Chemical Industrial was included at a concentration of 5 × 10−4 mol·mol−1 (based on the molar amount of acid). The reaction mixture was progressively heated to 225 °C under a nitrogen atmosphere with continuous stirring at a constant speed to facilitate the esterification process. When the actual water yield surpassed 95% of the theoretical value, and the reaction system achieved clarification, and the esterification reaction was deemed complete. Following this, the pressure was systematically decreased to 300 Pa, and the temperature was elevated to 240 °C for a 0.5 h polymerization reaction, resulting in the production of a PBST prepolymer.
2.3. Polycondensation Process
The polycondensation apparatus used in this study for PBST prepolymer follow the design reported by Xi et al. [32]. As depicted in Figure 1, the experimental setup consists of several parallel reactors. During static thin-film experiments, prepolymer samples were uniformly placed in a 60 mm diameter round-bottom reactor. Upon melting, the prepolymer formed a film at the reactor’s base (Figure 2). By adjusting the prepolymer’s weight, film thicknesses ranging from 1 to 10 mm were achieved. Notably, the inverse of film thickness represents the mass transfer-specific surface area per unit volume. The reactor was heated to target temperatures (230–260 °C) using a silicone oil bath, and system pressure was regulated via a valve. After initiating polycondensation, the reactors were periodically removed and rapidly cooled to halt reactions, and the samples were collected for analysis.
Figure 1.
Apparatus of thin-film experiment. (1). Control panel; (2). silicone oil bath; (3). thin-film reactor; (4). motor; (5). agitator; (6). vacuum gas manifold; (7). catheter; (8). three-way valve; (9). pump; (10). vacuum meter.
Figure 2.
Reactor cross section: (1). Inner wall of reactor; (2). PBST thin film.
The molecular structures of the species in reactions are represented in Table 1.
Table 1.
The molecular structures of the species in reactions.
2.4. Analysis of Samples
The concentration of hydroxyl end-groups in PBST samples was determined using a BRUKER AVANCE 400 Superconducting Fourier Transform Nuclear Resonance Spectrometer operating at 400 MHz, with chloroform-d (CDCl3) as the solvent and styrene as the internal standard [33]. Figure 3 illustrates the 1H NMR spectra of the PBST prepolymers. The characteristic peaks a and b are attributed to the chemical shifts in α-H adjacent to the hydroxyl end-group linked to the TPA repeated units (T-BDO:B-TPA) and the hydroxyl end-group connected to the SA repeated units (T-BDO:B-SA) [34], respectively, while peak c represents the vinyl group of styrene [35]. Peaks d, e, f, and g are attributed to hydrogen atoms on the repeat units of the PBST backbone [36]. The samples and styrene were precisely weighed, enabling the determination of the exact hydroxyl end-group concentration of the sample via Equation (1).
where ASt is the integral area of vinyl group of styrene; Aα-H,i is the integral area of α-H next to T-BDO:B-TPA and T-BDO:B-SA; nSt is the moles of styrene, mol; msample is amount of PBST sample, g; 0.5 denotes the ratio between OH and its adjacent CH2; and C-OH,i denotes the hydroxyl end-group concentration, mol/kg.
Figure 3.
1H NMR spectrum of PBST.
Assuming that the end-groups in PBST are only T-BDO:B-TPA and T-BDO:B-SA, the relationship between the end-groups and number-average molecular weight can be given as follows:
3. Results and Discussions
3.1. Reaction Kinetics Experiment of Static Thin Film
Figure 4 illustrates the changes in characteristic peak strength of the hydroxyl end-groups over time at a reaction temperature of 250 °C. Characteristic peaks a and b denote the α-H chemical shifts adjacent to the hydroxyl end-group attached to the TPA repeated unit (T-BDO:B-TPA) and to the hydroxyl end-group attached to the SA repeated unit (T-BDO:B-SA), respectively. In the process of PBST polymerization, the hydroxyl end-groups constantly react with each other to generate PBST long chains and produce BDO as a by-product, so the intensity of the hydroxyl end-group characteristic peaks gradually decrease. The concentration of the hydroxyl end-groups were determined using Equation (1). In order to ensure the accuracy of the data, repeated experiments were conducted and unreasonable data due to testing and sampling were corrected.
Figure 4.
1H NMR spectra of PBST samples.
3.1.1. The Effect of Temperature
Figure 5 illustrates the impact of polycondensation reaction temperature on hydroxyl end-group concentration. Upon increasing the temperature from 230 °C to 260 °C during a 100 min reaction, the concentrations of T-BDO:B-TPA and T-BDO:B-SA decrease from 0.076 mol/kg to 0.046 mol/kg and 0.089 mol/kg to 0.050 mol/kg, respectively. Elevated temperatures boost the reactivity of hydroxyl end-groups and reduce the viscosity of the polymer melt, facilitating the removal of volatile small molecules. Nonetheless, to prevent thermal degradation of the PBST backbone and BDO at elevated temperatures, it is imperative to maintain an optimal polycondensation reaction temperature. Beyond 80 min of the reaction time, the reaction tends towards equilibrium, and the rising melt viscosity poses challenges in the removal of small molecules, resulting in a stable state in the polycondensation process of PBST.
Figure 5.
Effect of temperatures on the end-group concentration and molecular weight, d = 2 mm, P = 300 Pa. (a) Concentration of T-BDO:B-TPA; (b) concentration of T-BDO:B-SA.
3.1.2. The Effect of Pressure
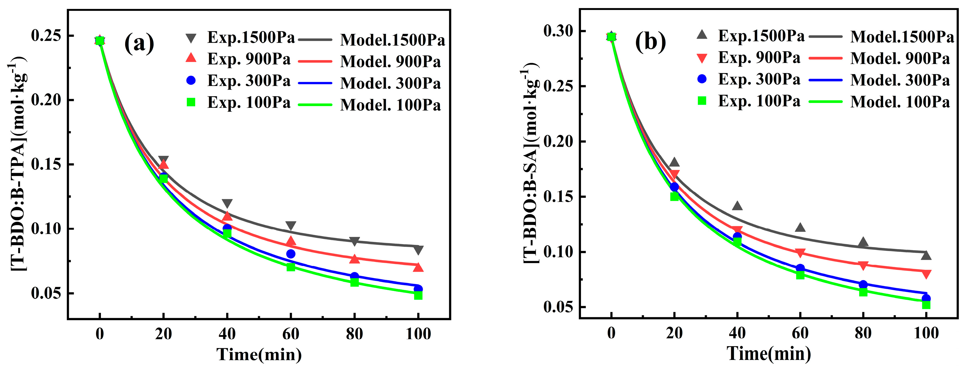
The operating pressure directly influences the partial pressure of volatile compounds in the vapor phase, thereby altering the mass transfer driving force ([c]−[c]*) of volatile components between the melt and the gas phase. Figure 6 depicts the impact of pressure on the concentration of hydroxyl end-groups with a film thickness of 2 mm and a temperature of 250 °C. With the decrease in operating pressure from 1500 Pa to 100 Pa in a 100 min reaction, the concentration of T-BDO:B-TPA decreased from 0.084 mol/kg to 0.048 mol/kg, and the T-BDO:B-SA concentration dropped from 0.095 mol/kg to 0.052 mol/kg. With an increase in the reaction duration, the mass transfer driving force ([c]−[c]*) weakens, leading to increased difficulty in both the reaction and mass transfer processes. While a lower pressure is desirable for achieving a high-molecular-weight PBST, it necessitates more stringent requirements for vacuum equipment. Therefore, it is advisable to maintain the pressure of the polymerization reaction within an appropriate range in actual industrial production.
Figure 6.
Effect of pressure on the end-group concentration and molecular weight, d = 2 mm, T = 250 °C. (a) Concentration of T-BDO:B-TPA; (b) concentration of T-BDO:B-SA.
3.1.3. The Effect of Melts Film Thickness
The film thickness of the melt directly determines the mass transfer specific surface area and the mass transfer distance of BDO from the melt to the interface during polycondensation. Figure 7 demonstrates the influence of film thickness on the end-group concentration at a pressure of 300 Pa and a temperature of 250 °C. During the reaction time of 100 min, with the film thickness decreased from 10 mm to 1 mm, the concentration of T-BDO:B-TPA decreased from 0.070 mol/kg to 0.051 mol/kg, and the concentration of T-BDO:B-SA decreased from 0.080 mol/kg to 0.055 mol/kg. Reducing the melt film thickness shortens the diffusion path for volatile small molecules and enhances the specific surface area available for efficient mass transfer. This facilitates the easier diffusion of volatile from the melt phase into the gas phase and its subsequent removal from the reaction system.
Figure 7.
Effect of film thickness on the end-group concentration and molecular weight, T = 250 °C, P = 300 Pa. (a) Concentration of T-BDO:B-TPA; (b) concentration of T-BDO:B-SA.
3.2. Model Establishment and Parameter Estimation
3.2.1. Mathematical Models
In order to analyze the mass transfer and reaction kinetics in the PBST polycondensation process, an apparent kinetics model was developed, encompassing homo-polycondensation, co-polycondensation, and side reactions. PBST forms long polymer chains, mainly through linear linkages without significant branching or crosslinked reactions, so only linear polycondensation reactions are considered. To develop a mathematical model, the following assumptions were made: 1. the total reduction in end-groups is equal to twice the total increase in repeat units; 2. and the pseudo-steady state assumption is made, where the reaction and mass transfer rates are equal and reach equilibrium.
The reaction network is shown by Equations (3)–(6). Equations (3) and (4) are homo-polycondensation reactions, while Equation (5) is a co-polycondensation reaction and Equation (6) is a side reaction of 1,4-butanediol decomposed at high temperatures to form tetrahydrofuran and water. The reaction rate equation can be represented as Equations (7)–(10).
where k is the forward reaction rate coefficient correlated with temperature, K is the equilibrium coefficient. The rate coefficient and the equilibrium coefficient are expressed as Equations (11)–(12).
where Ai is the pre-exponential factor of the rate coefficient, Ei is the activation energy; ΔSi is the entropy change and ΔHi is the enthalpy change; and T is the temperature in the system and R is the gas constant. In order to reduce the difficulty of parameter fitting, k4 adopts the parameters obtained by Hu et al. [20].
The concentration of non-volatile components in the reaction system is solely dependent on the reaction, and the differential equations for the changes in various non-volatile components in the reaction system are as follows:
The concentration of volatile components is determined by the coupling of reaction and mass transfer; since tetrahydrofuran and water have low boiling points and do not affect the reaction equilibrium of the main polycondensation reaction, only the concentration change in the volatile component BDO during the reaction is concerned, and the change in its concentration can be expressed as follows:
where kl is the overall mass transfer coefficient, a is the specific surface area of mass transfer, and the value is the reciprocal of the film thickness; [c]* is the critical interface concentration of the volatile determined by the temperature and system pressure, which is directly related to temperature and pressure, it can be presented as follows:
In the final polycondensation stage, the removal of small molecules becomes challenging, and the mass transfer and polycondensation reactions can be viewed as being in a temporary equilibrium for an infinitesimal time interval dt at this stage; the reaction rate is equal to the mass transfer rate. Upon reaching a temporary equilibrium, it is plausible to assume that the system attains a pseudo-steady state between the reaction and mass transfer, with the relationship between the reaction rate and mass transfer rate delineated by Equation (21).
According to Equation (14)–Equation (21), the concentration of the small molecule BDO can be converted to the following expression:
By substituting Equation (22) into the reaction rate of Equations (7)–(10), the overall apparent reaction rate equation for the PBST polycondensation process can be derived. The parameters requiring estimation based on the aforementioned PBST polycondensation model are summarized in Table 2.
Table 2.
Summary of modeling parameters.
3.2.2. Method and Result of Parameter Estimation
Utilizing the experimental data on the concentration of end-groups, the least squares function lsqnonlin from the MATLAB toolbox was employed to estimate the fitting parameters, and the reaction rate equation was solved using the ode45 function. Upon achieving the optimal objective function, the reaction rate coefficients, equilibrium coefficients, and mass transfer coefficient of BDO can be calculated. The numerical simulations and data analyses in this study were performed using MATLAB 20 (Version R2020b), a technical computing software developed by The MathWorks, Inc., headquartered in Natick, MA, USA. Figure 5, Figure 6 and Figure 7 display the comparison of experimental data and model predictions in concentrations of end-groups under different operation conditions, respectively. Here, the solid lines present model predictions based on the overall apparent rate model, and the symbols represent the experimental data. There is a good agreement between experimental and simulated kinetic data from the overall apparent rate model for the polycondensation of PBST. The estimated model parameters are summarized in Table 3.
Table 3.
Estimated overall apparent modeling parameters with 95% confidence intervals.
Additionally, Figure 8 illustrates that all relative deviations are nearly below 2%, and the confidence intervals (95%) for all fitted parameters demonstrate that the parameters are well constrained and independent. The coefficient of determination R2 for the concentrations of hydroxyl end-groups is 0.9943. This result signifies the reliability of the model developed in this study.
Figure 8.
Relative deviation of concentration of end-groups between experimental data and model data.
The fitting results of activation energies indicated that the activation energies for PBT and PBS were 67.9 kJ/mol and 67.0 kJ/mol, respectively, showing a close similarity. The incorporation of rare earth composite catalysts resulted in significantly lower activation energies for PBT and PBS compared to those reported by Bikiaris and Darda. In contrast, the activation energy of co-polycondensation is lower than that of homo-polycondensation, suggesting a higher likelihood of occurrence at equivalent temperatures. Compared with the PCTG copolymerization system, the activation energies of the homo-polymerization and co-polymerization reactions of PBST were lower, indicating that the PBST polycondensation reaction required a lower reaction temperature compared with that of PCTG, and at the same time the activity of hydroxyl end-groups in the system was higher. The mass transfer coefficient of BDO is 2.71 × 10−2 m/min, and this value exceeded the mass transfer coefficients of small molecules in PCTG copolyesters reported in the literature. This finding suggests that the removal of small molecules in the PBST polycondensation process is comparatively more facile to the PCTG polycondensation process.
3.2.3. Parameter Verification
The coupling rate model of the PBST polycondensation reaction and mass transfer established in this study was based on the parameters obtained from the static film experiment designed with the PBST prepolymer under the same ratio (TPA:SA = 45:55). Nevertheless, PBST products with different ratios need to be produced in industry to meet diverse market demands. Consequently, static film experiments were performed using TPA:SA ratios of 30:70 (PBST30) and 65:35 (PBST65) prepolymers under reaction conditions of 250 °C, a system pressure of 300 Pa, and a film thickness of 2 mm. The universality of the established PBST polycondensation process rate model across different ratios was validated using the end-group concentration as the target. The results of the end-group concentrations for PBST30 and PBST65 at different polycondensation reaction times are displayed in Figure 9, where scatter points represent experimental data and lines depict model-calculated data. The strong agreement and relative error within 5% affirm the ongoing applicability of the apparent rate model of PBST copolyester polycondensation established in this study for polycondensation processes with varying chain segment ratios.
Figure 9.
The concentration of end-group in polycondensation of PBST with different ratios: (a) PBST30; (b) PBST65.
3.3. Simulation of Industrial-Scale PBST Polycondensation Process
In order to comprehensively understand the impact of reaction and mass transfer on the PBST polycondensation process, a two-phase model was utilized to simulate and analyze the continuous melting final polycondensation process of the PBST copolyester in a disk reactor commonly employed in industry using the kinetic parameters obtained in the previous section. Figure 10 depicts a schematic diagram of the two-phase model of the disk reactor, where the volatile component in the melt is volatilized from the melt phase to the gas phase space under high vacuum. The distance z from the reactor inlet is dimensionless, at 0~1. Based on the analysis of the flow characteristics of the PBST melt, the following assumptions are made: (1) the PBST flow in the reactor exhibits a flat-push flow and reaches a steady-state, while the gas phase undergoes full-mixing flow without any reaction; (2) mass transfer resistance is present only in the melt phase, and the rate of small molecule transfer from the melt phase to the gas phase is determined by the mass transfer factor kla. Since both sides of the disk’s film serve as phase interfaces capable of mass transfer, the mass transfer specific surface area “a” is twice the reciprocal of the film thickness.
Figure 10.
Two-phase model for continuous melt polymerization.
According to the PBST polycondensation reaction network, the differential equation for the change in the concentration of each component in the PBST polycondensation reactor can be expressed as follows:
where θ is the residence time of the material in the reactor. The simulation of the PBST polycondensation process is focused on three scales: The degree of side reaction, the mechanism of reaction conditions on mass transfer, and the growth of molecular weight of PBST. Figure 11 shows that the end-group concentration obtained by solving the complete model are in good agreement with the values estimated under the pseudo-steady state assumption, they are uniformly distributed around the diagonal, indicating that the pseudo-steady assumption in the previous study has a good degree of confidence.
Figure 11.
Comparison of the complete model and pseudo-steady state assumption.
In this section’s simulation work, the standard conditions chosen with reference to the operating conditions of some industrial polyester production and in conjunction with the static film experiment are T = 250 °C, P = 200 Pa, a film thickness of 20 mm, a residence time of 240 min, and the initial concentration of BDO is 5 × 10−3 mol/kg. The impact of reaction and mass transfer on the polycondensation process of PBST was investigated by varying one of the conditions of temperature, pressure, and film thickness.
3.3.1. The Degree of Side Reaction in the Polycondensation Process
Figure 12a displays the side reaction rate at various temperatures; it is evident that temperature has a substantial impact on the side reaction rate, nearly doubling when the polycondensation temperature is raised by 10 °C. The reaction rates for all reactions at 260 °C are depicted in Figure 12b. Despite the high side reaction rate coefficient k4 at elevated temperatures, the side reaction rate remains significantly lower than that of the main reaction due to the low concentration of the small molecule BDO in the melt.
Figure 12.
(a) Side reaction rate at different temperatures; (b) reaction rate of all the reactions.
Integrating the main reaction rates R1, R2, and R3 and the side reaction rate R4 over time enables the determination of the cumulative amount of BDO generated by the main reaction and the cumulative decomposition amount of BDO in the side reaction, respectively. The ratio between these values can be utilized to gauge the degree of the side reaction in the PBST polycondensation process. As illustrated in Figure 13, while the side reaction rate accelerates at higher temperatures, the critical interface concentration of BDO is smaller and mass transfer is faster, which can mitigate the occurrence of a portion of the side reaction. Pressure and film thickness primarily impact the mass transfer process of BDO; under high vacuum and with a thin film, small BDO molecules are more readily volatilized from the melt into the gas phase, consequently reducing side reactions within the PBST melt. Among these factors, film thickness emerges as the key determinant influencing side reactions. As the film thickness increases from 10 mm to 40 mm, the decomposition ratio of BDO rises from 1.39% to 4.71%.
Figure 13.
Decomposition ratio of BDO under different polycondensation conditions.
3.3.2. Mechanism of Reaction Conditions on Mass Transfer
As shown in Figure 14, the concentration gradient [BDO]-[BDO]* between the concentration of BDO within the melt and the critical interfacial concentration of BDO is the driving force for the mass transfer process. At the beginning of the polycondensation reaction, the small molecule mass transfer driving force within the melt and at the mass transfer interface peaks at this time because of the high concentration of BDO, which promotes a rapid transfer of BDO from the melt to the gas phase and a rapid decrease in BDO concentration.
Figure 14.
Concentration of small molecule BDO, T = 250 °C, P = 300 Pa, d = 10 mm.
The reaction rate of BDO generation and the mass transfer rate of BDO removed from the system during the polycondensation process are depicted in Figure 15. At the reactor inlet, the mass transfer rate is significantly higher than the reaction rate, and the overall rate of the polycondensation process is manifested as the reaction control. As the concentration of BDO decreases, the mass transfer rate gradually approximates the reaction rate, and the polycondensation process is controlled by the coupling of reaction and mass transfer.
Figure 15.
Rate of polycondensation process, T = 250 °C, P = 300 Pa, d = 20 mm.
Figure 16 illustrates the change in BDO concentration along the axial direction of the reactor under various operating conditions. The concentration of BDO decreases rapidly after the start of the reaction due to rapid mass transfer and then continues to decrease by maintaining a stable rate. High temperature, high vacuum, and thinner film thickness all favored the mass transfer process, and the concentration of BDO was lower at the outlet of the reactor under these ideal conditions. The higher concentration of BDO at higher reaction temperatures in the range of 0 ≤ z ≤ 0.08 at the reactor inlet is due to the higher content of reactive hydroxyl end-groups at the initial stage of polycondensation and the significant acceleration of the reaction rate by the temperature, which results in more BDO being produced at higher temperatures, leading to higher BDO concentration.
Figure 16.
Effect of reactor operating conditions on concentration of BDO in melt phase: (a) temperature; (b) pressure; (c) film thickness.
It is worth noting that the effect of film thickness on BDO concentration in the early stage of polycondensation is more significant than temperature and pressure. By recording the concentration of BDO at the reactor inlet z = 0.1 for each operating condition, it was observed that the difference in BDO concentration was very small at different temperatures and pressures, while the film thickness was the biggest factor affecting the concentration of BDO at this time, and the concentration of BDO increased steeply from 5.74 × 10−4 mol/kg to 1.73 × 10−3 mol/kg when the thickness of the film was increased from 10 mm to 40 mm, as depicted in Figure 16. Furthermore, the concentration rapidly approached the critical interface concentration during the early stages of the reaction at thin-film thickness; conversely, this process is delayed in thick film thicknesses. This delay is attributed to the mass transfer process occurring at the phase interface; as shown in Figure 10, the mass transfer distance is shorter at thinner film thicknesses, enabling the rapid removal of BDO. In contrast, a certain amount of time is required for BDO to volatilize from the melt phase to the gas phase at thicker film thicknesses, resulting in the accumulation of BDO in the melt and a higher degree of side reaction as well (Figure 17).
Figure 17.
Concentration of BDO at z = 0.1 under different operating conditions.
In addition, the concentration of BDO at the reactor outlet is more sensitive to pressure. As the reaction approaches equilibrium, the concentration of BDO is in the lower range, where a lower critical interfacial concentration can significantly enhance mass transfer. There is a direct linear relationship between the critical interfacial concentration of BDO and pressure. In contrast, temperature has a weak effect on the critical interfacial concentration, and film thickness does not affect the critical interfacial concentration. Consequently, the concentration of BDO near the equilibrium of the polymerization reaction under high vacuum is lower than high temperatures and thin-film thickness conditions. As illustrated in Figure 18, the BDO concentration at the reactor outlet is below 6.5 × 10−5 mol/kg at the 50 Pa operating condition, which is lower in contrast to high temperatures and thin-film thickness. It is noteworthy that a rapid reduction in BDO concentration occurs as the film thickness decreases from 40 mm to 20 mm. Subsequently, as the film thickness further decreases by 10 mm, the decline in BDO concentration tends to stabilize. This pattern indicates that the mass transfer path and specific surface area no longer remain the primary determinant of mass transfer at this stage; instead, the critical interfacial concentration exerts a more substantial limiting influence.
Figure 18.
Concentration of BDO at the reactor outlet under different operating conditions.
3.3.3. Growth of Molecular Weight of PBST
As shown in Figure 19a, elevated temperatures simultaneously accelerate both the reaction rate and enhance mass transfer, resulting in an approximate 2500 increase in molecular weight at the reactor outlet for every 10 °C temperature rise. As depicted in Figure 19b, BDO is highly concentrated, and mass transfer occurs rapidly at the reactor inlet 0 ≤ z ≤ 0.40; the increase in molecular weight is similar under various pressure conditions. As the reaction progresses, the mass transfer force diminishes. Under lower pressure conditions, the critical interfacial concentration of BDO is lower, and therefore the mass transfer rate is faster, which affects the reaction equilibrium and makes the difference in molecular weight under different pressures more obvious. This is consistent with the variation trend in BDO concentration under different pressures. Thus, in industrial PBST preparation, a gradual increase in vacuum can be employed, applying higher pressure during the initial polycondensation stage to prevent the lower-viscosity melt from being pumped out of the system, and subsequently reducing the pressure in later stages to facilitate sustained molecular-weight growth. Film thickness primarily affects the specific surface area for mass transfer. As the film thickness decreases from 40 mm to 10 mm, there is a significant acceleration in the growth rate of molecular weight. It is noteworthy that at thick film thickness, the molecular weight of PBST continues to exhibit linear growth even at the reactor outlet, which is attributed to the fact that the concentration of BDO in the PBST melt is still high at this time, so there is still a strong mass transfer driving force. Consequently, the reaction time should be extended appropriately to obtain higher-molecular-weight products at thicker film thicknesses.
Figure 19.
Effect of operating conditions on the growth of the molecular weight of PBST: (a) temperature; (b) pressure; (c) film thickness.
Figure 20 illustrates the dual-factor impact on the molecular weight of PBST with pressure and film thickness at the reactor outlet. The sensitivity of molecular weight to pressure is notably higher at low film thicknesses. At a film thickness of 10 mm, the molecular weight of PBST rose from 22,300 to 31,800 as the pressure decreased from 300 Pa to 50 Pa, whereas at 40 mm film thickness, the molecular weight increased only from 16,200 to 18,600.
Figure 20.
Two-factor variation in molecular weight of PBST.
4. Conclusions
This study investigated the melt polycondensation process of PBST using the static thin-film experiment at temperatures ranging from 230 to 260 °C, pressures ranging from 100 to 1500 Pa, and film thicknesses ranging from 1 to 10 mm, with a focus on elucidating the reaction kinetics and mass transfer characteristics. The findings suggested that higher temperatures, lower pressures, and thinner film thicknesses are advantageous for attaining a higher molecular weight of PBST. Subsequently, based on the pseudo-steady state assumption, the overall apparent reaction rate model of PBST was established, and the reaction rate coefficients, equilibrium coefficients, and mass transfer coefficients were obtained. The findings revealed that the reaction rate coefficient of co-polycondensation is greater than that of homo-polycondensation, and the average mass transfer coefficient of small molecules in PBST melt is 2.71 × 10−2 m/min. Concurrently, the molar ratios of 30:70 and 65:35 PBST prepolymers were used to verify that the established model is still suitable for the PBST polycondensation process under different ratios.
The continuous melting final polycondensation process of PBST copolyester in the reactor was simulated and analyzed by using the obtained kinetic parameters. The simulation findings indicate that film thickness primarily influences the accumulation of small molecules in the melt during the early stages of the reaction. Under the circumstance of a thick film, small BDO molecules accumulate in the melt and intensify the side reaction. The pressure exerts the most significant influence on the concentration of BDO as the reaction approaches equilibrium by remarkably changing the critical interfacial concentration. Therefore, in the design of a PBST polycondensation reactor, a multi-chamber tandem structure can be adopted to increase the vacuum of the reactor in a stepwise manner, and at the same time, the structure can be optimized to reduce the film thickness in order to inhibit the side reactions and accelerate the molecular weight growth rate, but further research is required on the specific structural design of the reactor. The findings of this study are of great significance in guiding the design and process optimization of PBST industrial reactors.
Author Contributions
Conceptualization, J.X.; Funding acquisition, J.J., Z.X., and L.Z.; Investigation, H.Z.; Methodology, J.X.; Project administration, J.J. and L.Z.; Software, J.X. and H.Z.; Writing—original draft, J.X.; Writing—review and editing, J.J. and Z.X. All authors have read and agreed to the published version of the manuscript.
Funding
This work was financially supported by the National Natural Science Foundation of China (Nos. 22308098 and 22278129) and the Key Research and Development Program of Xinjiang Uygur Autonomous Region (No. 2022B01032).
Data Availability Statement
The original contributions presented in this study are included in the article. Further inquiries can be directed to the corresponding author.
Conflicts of Interest
The funders had no role in the design of this study; in the collection, analyses, or interpretation of data; in the writing of the manuscript; or in the decision to publish the results.
Nomenclature
| c | Concentration, mol/kg |
| m | Mass, kg |
| Ai | Pre-exponential factors, kg/(mol·min) |
| Ei | Activation energy, kJ/mol |
| k | Rate coefficients, kg/(mol·min) |
| K | Equilibrium coefficients |
| ΔS | Entropy change, J/(mol·K) |
| ΔH | Enthalpy change, J/K |
| AP,i | Pre-exponential factors of interfacial concentration of small molecules, mol/(kg·Pa) |
| EP,i | Activation energy of interfacial concentration of small molecules, J/K |
| kl | Mass transfer coefficient, m/min |
| P | Pressure, Pa |
| d | Film thickness, mm |
| R | Gas constant, J/(mol·K) |
| R | Reaction rate, mol/(kg·min) |
| θ | Residence time, min |
References
- Dong, Y.; Wang, J.; Yang, Y.; Wang, Q.; Zhang, X.; Hu, H.; Zhu, J. Bio-based poly(butylene diglycolate-co-furandicarboxylate) copolyesters with balanced mechanical, barrier and biodegradable properties: A prospective substitute for PBAT. Polym. Degrad. Stab. 2022, 202, 110010. [Google Scholar] [CrossRef]
- Xia, J.; Zhang, Y.; Hu, X.; Ma, X.; Cui, L.; Zhang, J.; Jian, Z. Sterically very bulky aliphatic/aromatic phosphine-sulfonate palladium catalysts for ethylene polymerization and copolymerization with polar monomers. Polym. Chem. 2019, 10, 546–554. [Google Scholar] [CrossRef]
- Wei, S.; Xie, J.; Zhang, J.; Zhao, L.; Hu, D. Green preparation of poly (butylene succinate-co-butylene terephthalate) foam with tunable degradability and mechanical properties by supercritical CO2. Polym. Degrad. Stab. 2024, 223, 110732. [Google Scholar] [CrossRef]
- Xu, X.J.; Li, F.X.; Yu, J.Y.; Cao, A.M. Effects of Molecular Weight and Rheological Properties on Spinnability of Biodegradable PBST Copolyesters. Int. J. Nonlinear Sci. Numer. Simul. 2008, 9, 31–36. [Google Scholar] [CrossRef]
- Sathish Kumar, R.K.; Dhilipkumar, T.; Anita Jessie, J.; Gaayathri, K.K.; Arumugam, S. Advancements in bio-polymeric composite materials for active and intelligent food packaging: A comprehensive review. Mater. Today: Proc. 2023, in press. [Google Scholar] [CrossRef]
- Lu, J.; Li, Z.; Zhou, L.; Wu, L.; Li, B.-G. Biobased 1,5-pentanediol derived aliphatic-aromatic copolyesters: Synthesis and thermo-mechanical properties of poly(pentylene succinate-co-terephthalate)s and poly(pentylene adipate-co-terephthalate)s. Polym. Degrad. Stab. 2019, 163, 68–75. [Google Scholar] [CrossRef]
- Xue, K.; Chen, P.; Yang, C.; Xu, Z.; Zhao, L.; Hu, D. Low-shrinkage biodegradable PBST/PBS foams fabricated by microcellular foaming using CO2 & N2 as co-blowing agents. Polym. Degrad. Stab. 2022, 206, 110182. [Google Scholar]
- Zheng, C.; Jia, X.; Ren, M.; Luo, C.; Li, J.; Yao, X.; Liu, X.; Song, J.; Zhu, G.; Zhang, L.; et al. Quantitative measurement of chain crosslink of poly(butylene succinate-co-terephthalate)(PBST) mulch film during degradation above the soil in cotton growth. Results Mater. 2023, 19, 100432. [Google Scholar] [CrossRef]
- Chatterjee, R.; Millard, C.S.; Champion, K.; Clark, D.P.; Donnelly, M.I. Mutation of the ptsG gene results in increased production of succinate in fermentation of glucose by Escherichia coli. Appl. Environ. Microbiol. 2001, 67, 148–154. [Google Scholar] [CrossRef] [PubMed]
- Stieglitz, B.; Weimer, P. Novel microbial screen for detection of 1, 4-butanediol, ethylene glycol, and adipic acid. Appl. Environ. Microbiol. 1985, 49, 593–598. [Google Scholar] [CrossRef] [PubMed]
- Qin, P.; Wu, L.; Li, B.; Li, N.; Pan, X.; Dai, J. Superior Gas Barrier Properties of Biodegradable PBST vs. PBAT Copolyesters: A Comparative Study. Polymers 2021, 13, 3449. [Google Scholar] [CrossRef] [PubMed]
- Li, C.; Wang, B.; Shang, Z.; Yu, L.; Wei, C.; Wei, Z.; Sang, L.; Li, Y. High-Barrier Poly(butylene succinate-co-terephthalate) Blend with Poly(lactic acid) as Biodegradable Food Packaging Films. Ind. Eng. Chem. Res. 2023, 62, 7250–7261. [Google Scholar] [CrossRef]
- Ding, Y.; Yu, W.; Zhang, J.; Liu, W.; Zhu, F.; Ye, Y.; Zheng, Q. Enhanced antibacterial properties of poly(butylene succinate-co-terephthalate)/Ag@MgO nanocomposite films for food packaging. Polym. Test. 2023, 128, 108230. [Google Scholar] [CrossRef]
- Li, F.; Xu, X.; Yu, J.; Cao, A. The morphological effects upon enzymatic degradation of poly(butylene succinate-co-butylene terephthalate)s (PBST). Polym. Degrad. Stab. 2007, 92, 1053–1060. [Google Scholar] [CrossRef]
- Shen, H.; Yuan, Y.; Liu, C.; Yang, M.; Xing, J. Rapid degradation of poly(butylene succinate-co-butylene terephthalate)s by microbial communities at high-temperature. Biochem. Eng. J. 2024, 204, 109230. [Google Scholar] [CrossRef]
- Zhang, J.; Fa-Xue, L.I.; Jiang-Yong, Y.U. Non-isothermal crystallization behavior of biodegradable poly(butylene succinate-co-terephthalate) (PBST) copolyesters. Therm. Sci. 2012, 16, 1480–1483. [Google Scholar] [CrossRef]
- Li, F.; Xu, X.; Hao, Q.; Li, Q.; Yu, J.; Cao, A. Effects of comonomer sequential structure on thermal and crystallization behaviors of biodegradable poly(butylene succinate-co-butylene terephthalate)s. J. Polym. Sci. Part B Polym. Phys. 2006, 44, 1635–1644. [Google Scholar] [CrossRef]
- Zhang, J.; Zhang, J.; Wang, B.; Li, W.; Wang, H.; Guo, R.; Yu, W.; Xie, L.; Zheng, Q. Modified magnesium oxide/silver nanoparticles reinforced poly (butylene succinate-co-terephthalate) composite biofilms for food packaging application. Food Chem. 2024, 435, 137492. [Google Scholar] [CrossRef] [PubMed]
- Jun, W.; Su-Xia, L.; Min, J.; Ping, W. The Synthesis and Characterization of PBS and PBST. Plastics 2008, 37, 3. [Google Scholar]
- Hu, L.; Wu, L.; Song, F.; Li, B.G. Kinetics and Modeling of Melt Polycondensation for Synthesis of Poly[(butylene succinate)-co-(butylene terephthalate)], 1—Esterification. Macromol. React. Eng. 2010, 4, 621–632. [Google Scholar] [CrossRef]
- Luo, S.; Li, F.; Yu, J.; Cao, A. Synthesis of Poly(butylene succinate-co-butylene terephthalate) (PBST) Copolyesters with High Molecular Weights via Direct Esterification and Polycondensation. J. Appl. Polym. Sci. 2010, 115, 2203–2211. [Google Scholar] [CrossRef]
- Bikiaris, D.; Achilias, D. Synthesis of poly (alkylene succinate) biodegradable polyesters, Part II: Mathematical modelling of the polycondensation reaction. Polymer 2008, 49, 3677–3685. [Google Scholar] [CrossRef]
- Darda, P.; Hogendoorn, J.; Versteeg, G.; Souren, F. Reaction kinetics of polybutylene terephthalate polycondensation reaction. AIChE J. 2005, 51, 622–630. [Google Scholar] [CrossRef]
- Cheong, S.I.; Choi, K.Y. Melt polycondensation of poly(ethylene terephthalate) in a rotating disk reactor. J. Appl. Polym. Ence 2010, 58, 1473–1483. [Google Scholar] [CrossRef]
- Xi, Z.; Zhao, L.; Liu, Z. New Falling Film Reactor for Melt Polycondensation Process. Macromol. Symp. 2010, 259, 10–16. [Google Scholar] [CrossRef]
- Xi, Z.; Zhao, L.; Sun, W.; Liu, Z. Melt Polycondensation Process of Poly(Ethylene Terephthalate) in Grid Falling Film Tower. J. Chem. Eng. Jpn. 2009, 42, S96–S102. [Google Scholar] [CrossRef]
- Cai, Q.; Bai, T.; Zhang, H.; Yao, X.; Ling, J.; Zhu, W. Catalyst-free synthesis of polyesters via conventional melt polycondensation. Mater. Today 2021, 51, 155–164. [Google Scholar] [CrossRef]
- Ravindranath, K.; Mashelkar, R.A. Modeling of poly(ethylene terephthalate) reactors: 6. A continuous process for final stages of polycondensation. Polym. Eng. Sci. 1982, 22, 628–636. [Google Scholar] [CrossRef]
- De-Cheng, W. Developing character and tendency of world polyester industry. Polyest. Ind. 2000, 13, 6. [Google Scholar]
- Houchueng, S. Tendency and development for polyester industry. New Chem. Mater. 2002, 41–43. [Google Scholar]
- Wang, H.; Zheng, H.; Jiang, J.; Zhao, L.; Xi, Z. Kinetics of Ternary Copolycondensation for High-Performance PCTG Copolyester with Ester Interchange, Polycondensation, and Mass Transfer. Ind. Eng. Chem. Res. 2024, 63, 5729–5741. [Google Scholar] [CrossRef]
- Xi, Z.; Chen, L.; Zhao, Y.; Zhao, L. Experimental and Modeling Study of Melt Polycondensation Process of PA-MXD6. Macromol. Symp. 2013, 333, 172–179. [Google Scholar] [CrossRef]
- Moad], G. A novel method for determination of polyester end-groups by NMR spectroscopy. Polymer 2005, 46, 5005–5011. [Google Scholar]
- Luo, S.L.; Li, F.X.; Yu, J.Y. Experimental Investigation of Viscoelastic Behavior of Biodegradable Poly(butylenesuccinate-co-terephthalate) (PBST) Fibers. Int. J. Nonlinear Sci. Numer. Simul. 2009, 10, 1339–1344. [Google Scholar] [CrossRef]
- Muhamadejev, R.; Melngaile, R.; Paegle, P.; Zibarte, I.; Veliks, J. Residual Solvent Signal of CDCl 3 as a qNMR Internal Standard for Application in Organic Chemistry Laboratory. J. Org. Chem. 2021, 86, 3890–3896. [Google Scholar] [CrossRef]
- Li, F.X.; Zhang, H.Y.; Yu, J.Y. Studies on sequential structure of the biodegradable poly(butylene suecinate-co-butylene terephthate) (PBST). In Proceedings of the International Conference on Advanced Fibers and Polymer Materials(ICAFPM 2005), Shanghai, China, 19−21 October 2005; Volume 2. [Google Scholar]
Disclaimer/Publisher’s Note: The statements, opinions and data contained in all publications are solely those of the individual author(s) and contributor(s) and not of MDPI and/or the editor(s). MDPI and/or the editor(s) disclaim responsibility for any injury to people or property resulting from any ideas, methods, instructions or products referred to in the content. |
© 2025 by the authors. Licensee MDPI, Basel, Switzerland. This article is an open access article distributed under the terms and conditions of the Creative Commons Attribution (CC BY) license (https://creativecommons.org/licenses/by/4.0/).

























