Occurrence, Transport, and Risk Assessment of Brominated Flame Retardants in Northern Wetland Multimedia
Abstract
1. Introduction
2. Materials and Methods
2.1. Study Area and Sample Collection
2.2. Sample Analysis
2.2.1. Chemicals and Reagents
2.2.2. Sample Extraction
2.2.3. Instrumental Analyses
2.2.4. Total Organic Carbon Analysis
2.3. Quality Assurance and Quality Control
2.4. Theory and Calculations
2.4.1. Ice Enrichment Factor
2.4.2. Fugacity Fraction
2.4.3. Risk Quotient
2.5. Data Analysis
3. Results and Discussion
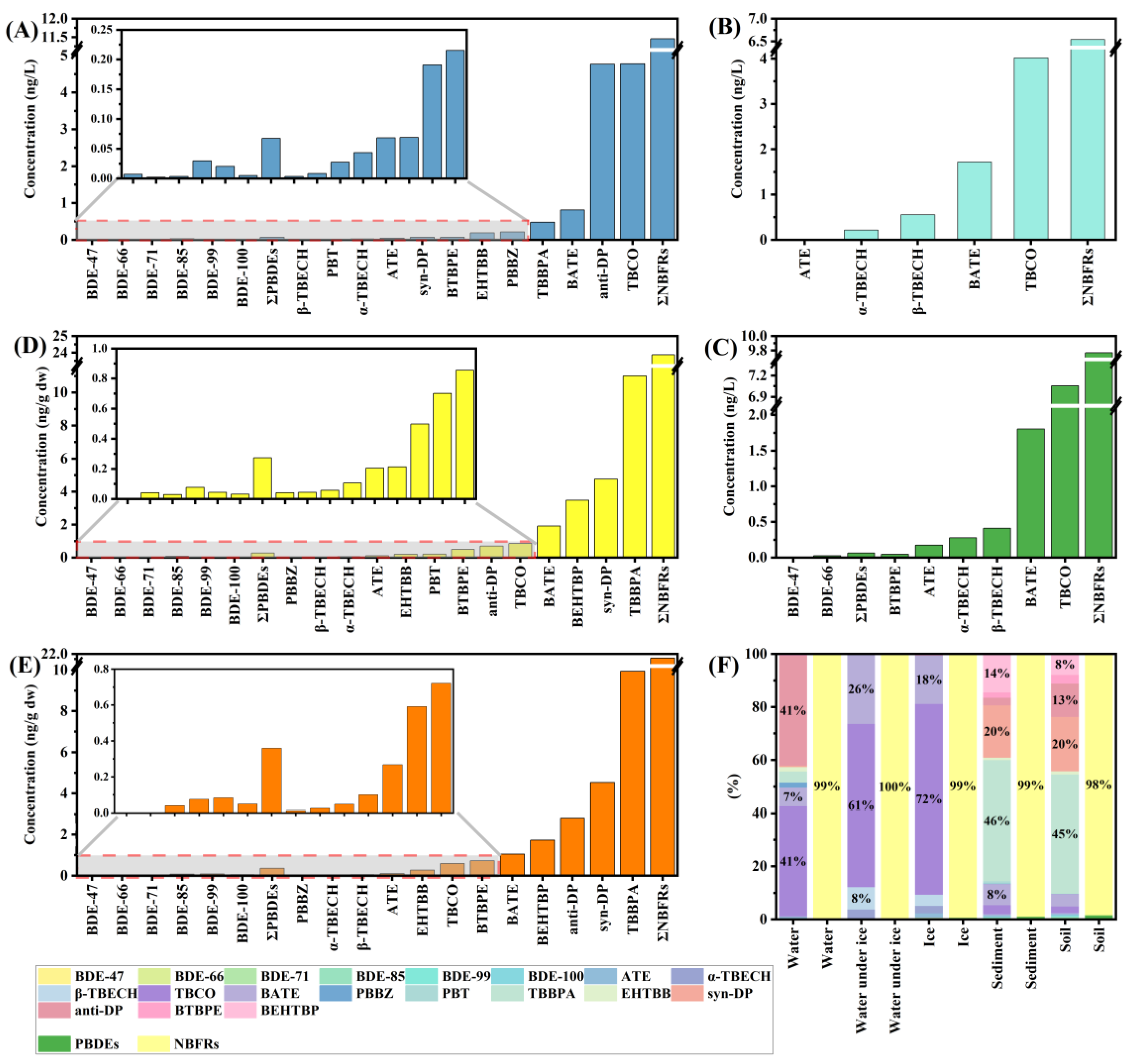
3.1. Concentration of BFRs in Wetlands
3.1.1. BFRs in Water
3.1.2. BFRs in Ice
3.1.3. BFRs in Sediments
3.1.4. BFRs in Bank Soil
3.2. Migration and Exchange of BFRs Between Different Media
3.2.1. Exchange Between Water and Ice
3.2.2. Exchange Between Sediment and Water
3.3. Risk Assessment
4. Conclusions
Supplementary Materials
Author Contributions
Funding
Data Availability Statement
Conflicts of Interest
References
- Hou, R.; Lin, L.; Li, H.; Liu, S.; Xu, X.; Xu, Y.; Jin, X.; Yuan, Y.; Wang, Z. Occurrence, Bioaccumulation, Fate, and Risk Assessment of Novel Brominated Flame Retardants (NBFRs) in Aquatic Environments—A Critical Review. Water Res. 2021, 198, 117168. [Google Scholar] [CrossRef]
- Iqbal, M.; Syed, J.H.; Katsoyiannis, A.; Malik, R.N.; Farooqi, A.; Butt, A.; Li, J.; Zhang, G.; Cincinelli, A.; Jones, K.C. Legacy and Emerging Flame Retardants (FRs) in the Freshwater Ecosystem: A Review. Environ. Res. 2017, 152, 26–42. [Google Scholar] [CrossRef]
- Li, M.; Gong, X.; Tan, Q.; Xie, Y.; Tong, Y.; Ma, J.; Wang, D.; Ai, L.; Gong, Z. A Review of Occurrence, Bioaccumulation, and Fate of Novel Brominated Flame Retardants in Aquatic Environments: A Comparison with Legacy Brominated Flame Retardants. Sci. Total Environ. 2024, 939, 173224. [Google Scholar] [CrossRef]
- Wang, N.; Lai, C.; Xu, F.; Huang, D.; Zhang, M.; Zhou, X.; Xu, M.; Li, Y.; Li, L.; Liu, S.; et al. A Review of Polybrominated Diphenyl Ethers and Novel Brominated Flame Retardants in Chinese Aquatic Environment: Source, Occurrence, Distribution, and Ecological Risk Assessment. Sci. Total Environ. 2023, 904, 166180. [Google Scholar] [CrossRef] [PubMed]
- Andvik, C.; Haug, T.; Lyche, J.L.; Borgå, K. Emerging and Legacy Contaminants in Common Minke Whale from the Barents Sea. Environ. Pollut. 2023, 319, 121001. [Google Scholar] [CrossRef] [PubMed]
- Wang, Y.; Ling, S.; Lu, C.; Jiang, L.; Zhou, S.; Fu, M.; Zhang, W.; Lin, K.; Zhou, B. Exploring the Environmental Fate of Novel Brominated Flame Retardants in a Sediment-Water-Mudsnail System: Enrichment, Removal, Metabolism and Structural Damage. Environ. Pollut. 2020, 265, 114924. [Google Scholar] [CrossRef] [PubMed]
- Dong, L.; Wang, S.; Qu, J.; You, H.; Liu, D. New Understanding of Novel Brominated Flame Retardants (NBFRs): Neuro(Endocrine) Toxicity. Ecotoxicol. Environ. Saf. 2021, 208, 111570. [Google Scholar] [CrossRef] [PubMed]
- Zuiderveen, E.A.R.; Slootweg, J.C.; de Boer, J. Novel Brominated Flame Retardants—A Review of Their Occurrence in Indoor Air, Dust, Consumer Goods and Food. Chemosphere 2020, 255, 126816. [Google Scholar] [CrossRef]
- Zhang, Y.; Li, J.-N.; Zhang, L.-H.; Meng, B.; Li, Y.-F.; Xiao, H.; Egorovich, K.V.; Nikolaevna, P.N.; Zhang, Z.-F.; Tang, Z.-H. Brominated Flame Retardants in Road Dust and Green Belt Soil from Harbin, China: Contamination Characteristics, Sources and Health Risks. Environ. Chem. Ecotoxicol. 2024, 6, 229–235. [Google Scholar] [CrossRef]
- Suzuki, G.; Matsukami, H.; Michinaka, C.; Hashimoto, S.; Nakayama, K.; Sakai, S.-I. Emission of Dioxin-like Compounds and Flame Retardants from Commercial Facilities Handling Deca-BDE and Their Downstream Sewage Treatment Plants. Environ. Sci. Technol. 2021, 55, 2324–2335. [Google Scholar] [CrossRef] [PubMed]
- Hao, Y.; Xiong, S.; Wang, P.; Yang, R.; Pei, Z.; Li, Y.; Zhang, Q.; Jiang, G. Novel Brominated and Organophosphate Flame Retardants in the Atmosphere of Fildes Peninsula, West Antarctica: Continuous Observations from 2011 to 2020. J. Hazard. Mater. 2022, 440, 129776. [Google Scholar] [CrossRef] [PubMed]
- Vauclin, S.; Mourier, B.; Dendievel, A.-M.; Marchand, P.; Vénisseau, A.; Morereau, A.; Lepage, H.; Eyrolle, F.; Winiarski, T. Temporal Trends of Legacy and Novel Brominated Flame Retardants in Sediments along the Rhône River Corridor in France. Chemosphere 2021, 271, 129889. [Google Scholar] [CrossRef] [PubMed]
- Yang, Y.; Zhang, M.; Gao, Y.; Chen, H.; Cui, J.; Yu, Y.; Ma, S. Identification and Occurrence of TBBPA and Its Debromination and O-Methylation Transformation Products in Sediment, Fish and Whelks from a Typical e–Waste Dismantling Site. Sci. Total Environ. 2022, 833, 155249. [Google Scholar] [CrossRef] [PubMed]
- de la Torre, A.; Navarro, I.; Sanz, P.; de los Ángeles Martínez, M. Organophosphate Compounds, Polybrominated Diphenyl Ethers and Novel Brominated Flame Retardants in European Indoor House Dust: Use, Evidence for Replacements and Assessment of Human Exposure. J. Hazard. Mater. 2020, 382, 121009. [Google Scholar] [CrossRef]
- Wang, R.; Cheng, H.; Gong, Y.; Huang, T. New Brominated Flame Retardant Decabromodiphenyl Ethane (DBDPE) in Water Sediments: A Review of Contamination Characteristics, Exposure Pathways, Ecotoxicological Effects and Health Risks. Environ. Pollut. 2023, 334, 122121. [Google Scholar] [CrossRef] [PubMed]
- Chen, X.; Guo, W.; Lei, L.; Guo, Y.; Yang, L.; Han, J.; Zhou, B. Bioconcentration and Developmental Neurotoxicity of Novel Brominated Flame Retardants, Hexabromobenzene and Pentabromobenzene in Zebrafish. Environ. Pollut. 2021, 268, 115895. [Google Scholar] [CrossRef]
- Sun, Y.; Zhou, S.; Zhu, B.; Li, F.; Fu, K.; Guo, Y.; Men, J.; Han, J.; Zhang, W.; Yang, L.; et al. Multi- and Transgenerational Developmental Impairments Are Induced by Decabromodiphenyl Ethane (DBDPE) in Zebrafish Larvae. Environ. Sci. Technol. 2023, 57, 2887–2897. [Google Scholar] [CrossRef] [PubMed]
- Liu, D.; Qv, M.; Dai, D.; Wang, X.; Zhu, L. Toxic Responses of Freshwater Microalgae Chlorella Sorokiniana Due to Exposure of Flame Retardants. Chemosphere 2023, 310, 136808. [Google Scholar] [CrossRef] [PubMed]
- Li, B.; Wang, K.; Ma, L.-X.; Sun, S.-J.; Jia, L.-R.; Yuan, A.-N.; Shen, J.-M.; Qi, H.; Zhang, A.-P. Deca-BDE and Alternative Halogenated Flame Retardants in a Wastewater Treatment Plant in Harbin (2009–2016): Occurrence, Temporal Trends, Seasonal Variation, and Fate. Sci. Total Environ. 2018, 625, 1156–1163. [Google Scholar] [CrossRef]
- Mahmood, A.; Malik, R.N.; Li, J.; Zhang, G. Distribution, Congener Profile, and Risk of Polybrominated Diphenyl Ethers and Dechlorane plus in Water and Sediment from Two Tributaries of the Chenab River, Pakistan. Arch. Environ. Contam. Toxicol. 2015, 68, 83–91. [Google Scholar] [CrossRef] [PubMed]
- Cristale, J.; García Vázquez, A.; Barata, C.; Lacorte, S. Priority and Emerging Flame Retardants in Rivers: Occurrence in Water and Sediment, Daphnia Magna Toxicity and Risk Assessment. Environ. Int. 2013, 59, 232–243. [Google Scholar] [CrossRef]
- Sutton, R.; Chen, D.; Sun, J.; Greig, D.J.; Wu, Y. Characterization of Brominated, Chlorinated, and Phosphate Flame Retardants in San Francisco Bay, an Urban Estuary. Sci. Total Environ. 2019, 652, 212–223. [Google Scholar] [CrossRef] [PubMed]
- Venier, M.; Dove, A.; Romanak, K.; Backus, S.; Hites, R. Flame Retardants and Legacy Chemicals in Great Lakes’ Water. Environ. Sci. Technol. 2014, 48, 9563–9572. [Google Scholar] [CrossRef] [PubMed]
- Xie, Z.; Möller, A.; Ahrens, L.; Sturm, R.; Ebinghaus, R. Brominated Flame Retardants in Seawater and Atmosphere of the Atlantic and the Southern Ocean. Environ. Sci. Technol. 2011, 45, 1820–1826. [Google Scholar] [CrossRef]
- Möller, A.; Xie, Z.; Cai, M.; Zhong, G.; Huang, P.; Cai, M.; Sturm, R.; He, J.; Ebinghaus, R. Polybrominated Diphenyl Ethers vs Alternate Brominated Flame Retardants and Dechloranes from East Asia to the Arctic. Environ. Sci. Technol. 2011, 45, 6793–6799. [Google Scholar] [CrossRef] [PubMed]
- Erwin, K.L. Wetlands and Global Climate Change: The Role of Wetland Restoration in a Changing World. Wetl. Ecol. Manag. 2009, 17, 71–84. [Google Scholar] [CrossRef]
- Avramidis, P.; Nikolaou, K.; Bekiari, V. Total Organic Carbon and Total Nitrogen in Sediments and Soils: A Comparison of the Wet Oxidation-Titration Method with the Combustion-Infrared Method. Agric. Agric. Sci. Procedia 2015, 4, 425–430. [Google Scholar] [CrossRef]
- Bisutti, I.; Hilke, I.; Raessler, M. Determination of Total Organic Carbon—An Overview of Current Methods. TrAC Trends Anal. Chem. 2004, 23, 716–726. [Google Scholar] [CrossRef]
- Hildebrandt, A.; Lacorte, S.; Barceló, D. Sampling of Water, Soil and Sediment to Trace Organic Pollutants at a River-Basin Scale. Anal. Bioanal. Chem. 2006, 386, 1075–1088. [Google Scholar] [CrossRef] [PubMed]
- Lu, X.-M.; Zhang, Z.-Z.; Xiao, M.-Y.; Meng, B.; Kolodeznikov, V.E.; Petrova, N.N.; Mukhin, V.V.; Liu, B.-F.; Zhang, Z.-F. Screening and Quantification of Pesticides in Wetland Water, Ice, Sediment and Soil: Occurrence, Transport and Risk Assessment. Environ. Res. 2024, 263, 120143. [Google Scholar] [CrossRef] [PubMed]
- Meng, B.; Min, X.-Z.; Xiao, M.-Y.; Xie, W.-X.; Li, W.-L.; Cai, M.-G.; Xiao, H.; Zhang, Z.-F. Multimedia Distribution, Dynamics, and Seasonal Variation of PAHs in Songhua Wetland: Implications for Ice-Influenced Conditions. Chemosphere 2024, 354, 141641. [Google Scholar] [CrossRef] [PubMed]
- Cui, S.; Hough, R.; Yates, K.; Osprey, M.; Kerr, C.; Cooper, P.; Coull, M.; Zhang, Z. Effects of Season and Sediment-Water Exchange Processes on the Partitioning of Pesticides in the Catchment Environment: Implications for Pesticides Monitoring. Sci. Total Environ. 2020, 698, 134228. [Google Scholar] [CrossRef]
- Wang, J.; Wang, Z.; Dou, Y.; Cong, J.; Sun, H.; Wang, L.; Duan, Z. Ecological Risk Assessment for Typical Organophosphorus Pesticides in Surface Water of China Based on a Species Sensitivity Distribution Model. Sci. Total Environ. 2024, 913, 169805. [Google Scholar] [CrossRef] [PubMed]
- Tholley, M.S.; George, L.Y.; Fu, M.; Qiao, Z.; Wang, G.; Ling, S.; Peng, C.; Zhang, W.; Ye, C.; Liu, F.; et al. Occurrence, Spatial Distribution, and Risk Assessment of Brominated Flame Retardants in Farmland Soils of Typical Provinces in China. Chemosphere 2023, 313, 137356. [Google Scholar] [CrossRef] [PubMed]
- Liu, L.; Zhen, X.; Wang, X.; Li, Y.; Sun, X.; Tang, J. Legacy and Novel Halogenated Flame Retardants in Seawater and Atmosphere of the Bohai Sea: Spatial Trends, Seasonal Variations, and Influencing Factors. Water Res. 2020, 184, 116117. [Google Scholar] [CrossRef] [PubMed]
- Liu, L.; Zhen, X.; Wang, X.; Zhang, D.; Sun, L.; Tang, J. Spatio-Temporal Variations and Input Patterns on the Legacy and Novel Brominated Flame Retardants (BFRs) in Coastal Rivers of North China. Environ. Pollut. 2021, 283, 117093. [Google Scholar] [CrossRef]
- Schuster, J.K.; Harner, T.; Sverko, E. Dechlorane Plus in the Global Atmosphere. Environ. Sci. Technol. Lett. 2021, 8, 39–45. [Google Scholar] [CrossRef]
- Wang, P.; Zhang, Q.; Zhang, H.; Wang, T.; Sun, H.; Zheng, S.; Li, Y.; Liang, Y.; Jiang, G. Sources and Environmental Behaviors of Dechlorane Plus and Related Compounds—A Review. Environ. Int. 2016, 88, 206–220. [Google Scholar] [CrossRef]
- Huang, C.; Zeng, Y.; Guan, K.; Qi, X.; Liu, Y.; Lu, Q.; Wang, S.; Luo, X.; Mai, B. Occurrence, Composition, and Spatial Distribution of Dechlorane plus in Surface Sediments of Black-Odorous Urban Rivers across China. Environ. Sci. Pollut. Res. 2024, 31, 17472–17480. [Google Scholar] [CrossRef] [PubMed]
- Devoy, C.; Raza, Y.; Kleiner, M.; Jones, P.D.; Doering, J.A.; Wiseman, S. The Brominated Flame Retardant, 1,2,5,6-Tetrabromocyclooctane (TBCO), Causes Multigenerational Effects on Reproductive Capacity of Japanese Medaka (Oryzias Latipes). Chemosphere 2023, 313, 137561. [Google Scholar] [CrossRef] [PubMed]
- Entai, Y.; Bei, W.E.N.; Honglin, H.; Shuzhen, Z. Analytical Methods, Environmental Behaviors and Toxicological Effects of 1, 2, 5, 6-Tetrabromocyclooctane (TBCO). Hjkxyj 2021, 34, 2008–2017. [Google Scholar] [CrossRef]
- Kharlyngdoh, J.B.; Pradhan, A.; Asnake, S.; Walstad, A.; Ivarsson, P.; Olsson, P.-E. Identification of a Group of Brominated Flame Retardants as Novel Androgen Receptor Antagonists and Potential Neuronal and Endocrine Disrupters. Environ. Int. 2015, 74, 60–70. [Google Scholar] [CrossRef]
- Recke, R.; Vetter, W. Synthesis and Characterization of 2,3-Dibromopropyl-2,4,6-Tribromophenyl Ether (DPTE) and Structurally Related Compounds Evidenced in Seal Blubber and Brain. Environ. Sci. Technol. 2007, 41, 1590–1595. [Google Scholar] [CrossRef] [PubMed]
- Shoeib, M.; Harner, T.; Webster, G.M.; Sverko, E.; Cheng, Y. Legacy and Current-Use Flame Retardants in House Dust from Vancouver, Canada. Environ. Pollut. 2012, 169, 175–182. [Google Scholar] [CrossRef]
- Kelly, A.; Lannuzel, D.; Rodemann, T.; Meiners, K.M.; Auman, H.J. Microplastic Contamination in East Antarctic Sea Ice. Mar. Pollut. Bull. 2020, 154, 111130. [Google Scholar] [CrossRef]
- Liu, K.; Li, J.; Yan, S.; Zhang, W.; Li, Y.; Han, D. A Review of Status of Tetrabromobisphenol A (TBBPA) in China. Chemosphere 2016, 148, 8–20. [Google Scholar] [CrossRef]
- Yu, Y.; Yu, Z.; Chen, H.; Han, Y.; Xiang, M.; Chen, X.; Ma, R.; Wang, Z. Tetrabromobisphenol A: Disposition, Kinetics and Toxicity in Animals and Humans. Environ. Pollut. 2019, 253, 909–917. [Google Scholar] [CrossRef] [PubMed]
- Zhou, H.; Yin, N.; Faiola, F. Tetrabromobisphenol A (TBBPA): A Controversial Environmental Pollutant. J. Environ. Sci 2020, 97, 54–66. [Google Scholar] [CrossRef] [PubMed]
- Li, Y.; Yu, L.; Wang, J.; Wu, J.; Mai, B.; Dai, J. Accumulation Pattern of Dechlorane Plus and Associated Biological Effects on Rats after 90 d of Exposure. Chemosphere 2013, 90, 2149–2156. [Google Scholar] [CrossRef] [PubMed]
- Chang, R.; Wang, Q.; Ban, X.; Zhang, H.; Li, J.; Yuan, G.-L. Aging Affects Isomer-Specific Occurrence of Dechlorane plus in Soil Profiles: A Case Study in a Geographically Isolated Landfill from the Tibetan Plateau. Sci. Total Environ. 2023, 878, 163119. [Google Scholar] [CrossRef]
- Niu, N.; Feng, L.; Lin, Y.; Li, X.; Zhang, D.; Yao, S. The Sources of Dechlorane Plus (DP) in Surface Sediment from Bohai Sea and the Northern Part of the Yellow Sea, China: Evidence from the Fractional Abundance of Anti-DP ( f Anti ) Combined with Lignin Biomarker. Reg. Stud. Mar. Sci. 2020, 39, 101437. [Google Scholar] [CrossRef]
- Li, W.-L.; Liu, L.-Y.; Song, W.-W.; Zhang, Z.-F.; Qiao, L.-N.; Ma, W.-L.; Li, Y.-F. Five-Year Trends of Selected Halogenated Flame Retardants in the Atmosphere of Northeast China. Sci. Total Environ. 2016, 539, 286–293. [Google Scholar] [CrossRef] [PubMed]
- Qi, H.; Li, W.-L.; Liu, L.-Y.; Zhang, Z.-F.; Zhu, N.-Z.; Song, W.-W.; Ma, W.-L.; Li, Y.-F. Levels, Distribution and Human Exposure of New Non-BDE Brominated Flame Retardants in the Indoor Dust of China. Environ. Pollut. 2014, 195, 1–8. [Google Scholar] [CrossRef] [PubMed]
- Wu, Z.; Sun, H.; Liu, X.; Lin, T.; Guo, T.; Wang, W.; Guo, Z.; Yao, Z. Characterizing Novel Brominated Flame Retardants in the Coastal Atmosphere of the Northern Bohai and Yellow Seas. Atmos. Environ. 2023, 314, 120125. [Google Scholar] [CrossRef]
- de Jourdan, B.P.; Hanson, M.L.; Muir, D.C.G.; Solomon, K.R. Environmental Fate of Three Novel Brominated Flame Retardants in Aquatic Mesocosms. Environ. Toxicol. Chem. 2013, 32, 1060–1068. [Google Scholar] [CrossRef]
- Knudsen, G.A.; Sanders, J.M.; Birnbaum, L.S. Disposition of the Emerging Brominated Flame Retardant, Bis(2-Ethylhexyl) Tetrabromophthalate, in Female Sprague Dawley Rats: Effects of Dose, Route and Repeated Administration. Xenobiotica 2017, 47, 245–254. [Google Scholar] [CrossRef]
- Wang, L.; Zhang, Z.-F.; Liu, L.-Y.; Zhu, F.-J.; Ma, W.-L. National-Scale Monitoring of Historic Used Organochlorine Pesticides (OCPs) and Current Used Pesticides (CUPs) in Chinese Surface Soil: Old Topic and New Story. J. Hazard. Mater. 2023, 443, 130285. [Google Scholar] [CrossRef]
- Xiong, S.; Hao, Y.; Li, Y.; Yang, R.; Pei, Z.; Zhang, Q.; Jiang, G. Accumulation and Influencing Factors of Novel Brominated Flame Retardants in Soil and Vegetation from Fildes Peninsula, Antarctica. Sci. Total Environ. 2021, 756, 144088. [Google Scholar] [CrossRef] [PubMed]
- Xing, W.; Zhong, L.; Gu, W.; Liang, M.; Wang, L.; Wang, Z.; Shi, L.; Sun, S. Occurrence and Accumulation Characteristics of Legacy and Novel Brominated Flame Retardants in Surface Soil and River Sediments from the Downstream of Chuhe River Basin, East China. Environ. Sci. Pollut. Res. 2023, 30, 97416–97425. [Google Scholar] [CrossRef] [PubMed]
- Nemirovskaya, I.A. The Content and Composition of Organic Compounds in the Snow-Ice Cover of the White Sea. Geochem. Int. 2009, 47, 393–404. [Google Scholar] [CrossRef]
- Pućko, M.; Stern, G.A.; Burt, A.E.; Jantunen, L.M.; Bidleman, T.F.; Macdonald, R.W.; Barber, D.G.; Geilfus, N.-X.; Rysgaard, S. Current Use Pesticide and Legacy Organochlorine Pesticide Dynamics at the Ocean-Sea Ice-Atmosphere Interface in Resolute Passage, Canadian Arctic, during Winter-Summer Transition. Sci. Total Environ. 2017, 580, 1460–1469. [Google Scholar] [CrossRef] [PubMed]
- Sherman, L.S.; Blum, J.D.; Douglas, T.A.; Steffen, A. Frost Flowers Growing in the Arctic Ocean-Atmosphere–Sea Ice–Snow Interface: 2. Mercury Exchange between the Atmosphere, Snow, and Frost Flowers. J. Geophys. Res. Atmos. 2012, 117, D00R10. [Google Scholar] [CrossRef]
- Cong, L.; Fang, Y.; He, M.; Wang, X.; Kannan, N.; Li, D. Ice Phase as an Important Factor on the Seasonal Variation of Polycyclic Aromatic Hydrocarbons in the Tumen River, Northeastern of China. Environ. Sci. Pollut. Res. 2010, 17, 1379–1387. [Google Scholar] [CrossRef] [PubMed]
- Garnett, J.; Halsall, C.; Thomas, M.; France, J.; Kaiser, J.; Graf, C.; Leeson, A.; Wynn, P. Mechanistic Insight into the Uptake and Fate of Persistent Organic Pollutants in Sea Ice. Environ. Sci. Technol. 2019, 53, 6757–6764. [Google Scholar] [CrossRef] [PubMed]
- Wang, F.; Pućko, M.; Stern, G. Transport and Transformation of Contaminants in Sea Ice. In Sea Ice: Third Edition; Wiley Online Library: Hoboken, NJ, USA, 2016; pp. 472–491. [Google Scholar] [CrossRef]
- Wu, J.; Wang, Z.; Zhang, Y.; Tian, J.; Song, L.; Han, J.; Yu, J.; Zhang, Y. Spatial Distribution and Ecological Risks of Polycyclic Aromatic Hydrocarbons in Sea Ice and Seawater from Northern Liaodong Bay, China. Mar. Pollut. Bull. 2022, 174, 113319. [Google Scholar] [CrossRef] [PubMed]
- Pućko, M.; Stern, G.A.; Barber, D.G.; Macdonald, R.W.; Warner, K.-A.; Fuchs, C. Mechanisms and Implications of α-HCH Enrichment in Melt Pond Water on Arctic Sea Ice. Environ. Sci. Technol. 2012, 46, 11862–11869. [Google Scholar] [CrossRef] [PubMed]
- Pućko, M.; Stern, G.A.; Macdonald, R.W.; Rosenberg, B.; Barber, D.G. The Influence of the Atmosphere-Snow-Ice-Ocean Interactions on the Levels of Hexachlorocyclohexanes in the Arctic Cryosphere. J. Geophys. Res. Ocean. 2011, 116, C02035. [Google Scholar] [CrossRef]
- Dethleff, D.; Kuhlmann, G. Entrainment of Fine-Grained Surface Deposits into New Ice in the Southwestern Kara Sea, Siberian Arctic. Cont. Shelf Res. 2009, 29, 691–701. [Google Scholar] [CrossRef]
- Reimnitz, E.; Barnes, P.W.; Weber, W.S. Particulate Matter in Pack Ice of the Beaufort Gyre. J. Glaciol. 1993, 39, 186–198. [Google Scholar] [CrossRef]
- Pfirman, S.L.; Eicken, H.; Bauch, D.; Weeks, W.F. The Potential Transport of Pollutants by Arctic Sea Ice. Sci. Total Environ. 1995, 159, 129. [Google Scholar] [CrossRef]
- Koelmans, A.A.; Poot, A.; Lange, H.J.D.; Velzeboer, I.; Harmsen, J.; Noort, P.C.M. van. Estimation of In Situ Sediment-to-Water Fluxes of Polycyclic Aromatic Hydrocarbons, Polychlorobiphenyls and Polybrominated Diphenylethers. Environ. Sci. Technol. 2010, 44, 3014–3020. [Google Scholar] [CrossRef] [PubMed]
- Hou, R.; Huang, Q.; Pan, Y.; Lin, L.; Liu, S.; Li, H.; Xu, X. Novel Brominated Flame Retardants (NBFRs) in a Tropical Marine Food Web from the South China Sea: The Influence of Hydrophobicity and Biotransformation on Structure-Related Trophodynamics. Environ. Sci. Technol. 2022, 56, 3147–3158. [Google Scholar] [CrossRef] [PubMed]
- Qin, W.; Chenguang, L.; Shiqi, Y.; Yanlei, Z.; Fengmin, L. A Review on Ecotoxicity of Novel Brominated Flame Retardants (NBFRs). Asian J. Ecotoxicol. 2023, 18, 212–223. [Google Scholar] [CrossRef]
- Wang, N.; He, L.; Sun, X.; Bu, Y. The Potential Environmental Behavior and Risks of TBECH Transformation Initiated by Reactive Oxygen Species in Natural Waters and AOPs. Ecotoxicol. Environ. Saf. 2021, 228, 113055. [Google Scholar] [CrossRef]
- Devoy, C.; Raza, Y.; Jones, P.D.; Doering, J.A.; Wiseman, S. Japanese Medaka (Oryzias Latipes) Exposed via Maternal Transfer to the Brominated Flame Retardant, 1,2,5,6-Tetrabromocyclooctane (TBCO), Experience Decreased Fecundity and Impaired Oocyte Maturation. Aquat. Toxicol. 2023, 265, 106761. [Google Scholar] [CrossRef]
- Van Essen, D.; Devoy, C.; Miller, J.; Jones, P.D.; Wiseman, S. Effects of the Brominated Flame Retardant, TBCO, on Development of Zebrafish (Danio Rerio) Embryos. Chemosphere 2021, 266, 129195. [Google Scholar] [CrossRef]
- EFSA Panel on Contaminants in the Food Chain. Scientific Opinion on Emerging and Novel Brominated Flame Retardants (BFRs) in Food. EFSA J. 2012, 10, 2908. [Google Scholar] [CrossRef]
- Ling, S.; Zhou, S.; Tan, J.; Lu, C.; Fu, M.; Peng, C.; Zhang, W.; Hu, S.; Lin, K.; Zhou, B. Brominated Flame Retardants (BFRs) in Sediment from a Typical e-Waste Dismantling Region in Southern China: Occurrence, Spatial Distribution, Composition Profiles, and Ecological Risks. Sci. Total Environ. 2022, 824, 153813. [Google Scholar] [CrossRef]
- Xie, Y.; Li, M.; Ma, J.; Gong, X.; Tong, Y.; Wang, D.; Ai, L.; Gong, Z. Occurrence and Distribution of Legacy and Novel Brominated Flame Retardants in River and Sediments in Southwest China: A Seasonal Investigation. Environ. Res. 2024, 262, 119842. [Google Scholar] [CrossRef]





Disclaimer/Publisher’s Note: The statements, opinions and data contained in all publications are solely those of the individual author(s) and contributor(s) and not of MDPI and/or the editor(s). MDPI and/or the editor(s) disclaim responsibility for any injury to people or property resulting from any ideas, methods, instructions or products referred to in the content. |
© 2025 by the authors. Licensee MDPI, Basel, Switzerland. This article is an open access article distributed under the terms and conditions of the Creative Commons Attribution (CC BY) license (https://creativecommons.org/licenses/by/4.0/).
Share and Cite
Meng, B.; Lu, X.-M.; Jia, J.-W.; Chen, F.; Zhang, Z.-Z.; Jia, S.-S.; Wu, M.-S.; Zhang, Z.-F.; Li, Y.-F. Occurrence, Transport, and Risk Assessment of Brominated Flame Retardants in Northern Wetland Multimedia. Processes 2025, 13, 423. https://doi.org/10.3390/pr13020423
Meng B, Lu X-M, Jia J-W, Chen F, Zhang Z-Z, Jia S-S, Wu M-S, Zhang Z-F, Li Y-F. Occurrence, Transport, and Risk Assessment of Brominated Flame Retardants in Northern Wetland Multimedia. Processes. 2025; 13(2):423. https://doi.org/10.3390/pr13020423
Chicago/Turabian StyleMeng, Bo, Xi-Mei Lu, Jing-Wen Jia, Fei Chen, Zhi-Zhong Zhang, Shan-Shan Jia, Ming-Song Wu, Zi-Feng Zhang, and Yi-Fan Li. 2025. "Occurrence, Transport, and Risk Assessment of Brominated Flame Retardants in Northern Wetland Multimedia" Processes 13, no. 2: 423. https://doi.org/10.3390/pr13020423
APA StyleMeng, B., Lu, X.-M., Jia, J.-W., Chen, F., Zhang, Z.-Z., Jia, S.-S., Wu, M.-S., Zhang, Z.-F., & Li, Y.-F. (2025). Occurrence, Transport, and Risk Assessment of Brominated Flame Retardants in Northern Wetland Multimedia. Processes, 13(2), 423. https://doi.org/10.3390/pr13020423

