Abstract
This review explores the extensive literature on starch particle-stabilized Pickering emulsions for encapsulating bioactive compounds in food products. These emulsions offer superior stability and unique properties for delivering bioactive compounds (such as polyphenols, carotenoids, fatty acids, and vitamins) in food systems such as sauces, dairy products, and functional foods. Encapsulation preserves the bioactivity of these compounds and enhances targeted delivery, offering potential nutritional and health benefits. Starch, although naturally hydrophilic and requiring modifications to enhance its functionality, is gaining increasing attention as a particle for stabilizing Pickering emulsions in foods systems. Various modifications, including chemical and structural changes, affect the functionality of starch in emulsions. This review discusses the key factors influencing emulsion stabilization, including particle and oil characteristics, as well as production methods, such as mechanical techniques. Research on the encapsulation of bioactive compounds using starch-stabilized emulsions and methods for their characterization are also presented. This review further identifies areas requiring more research, including alternative particle modification techniques, emulsion responses to external stimuli (pH, temperature), interactions between bioactive compounds and particles, their effects on digestion and nutrition, and the production of double emulsions for enhanced bioactive compound delivery.
1. Introduction
Bioactive compounds are now recognized as nutraceuticals, which include compounds spanning a wide range of chemical structures, such as proteins, peptides, polysaccharides, fibers, fatty acids, and phenolics. However, several factors limit the application of bioactive compounds isolated from natural sources in food systems: (1) incompatibility with the food matrix; (2) rapid degradation during food processing; and (3) vulnerability to digestive activity in the biological system [1]. For example, hydrophobic compounds, such as flavonoids, have poor aqueous solubility, thus complicating their incorporation into foods. They are also susceptible to food processing conditions, where exposure to heat, light, and oxygen can significantly reduce their efficacy. Therefore, their encapsulation in an emulsion allows their incorporation into an aqueous food matrix, protects the bioactive compound, and allows absorption during digestion [2,3].
Pickering emulsions serve as effective systems for the encapsulation and delivery of bioactive compounds. These emulsions are stabilized by solid or colloidal particles that act as emulsifiers at the oil-water interface through steric hindrance [4]. Owing to their unique properties, such as high stability, combined with the use of natural particles that are multifunctional, biocompatible, nontoxic, and environmentally friendly, they are particularly suitable for applications in food matrices [5].
Natural particles can be obtained from renewable sources such as gelatin nanoparticles, cellulose nanoparticles, globular proteins, and starch nanoparticles [6]. Starch, as a natural food ingredient, has been successfully used in the preparation of Pickering emulsions after hydrophobic modification [2]. This interest derives from the fact that starch is considered GRAS (generally recognized as safe), nonallergenic, abundant, and low in cost [7].
Thus, this review evaluates the use of starch particle-stabilized Pickering emulsions for encapsulating functional and bioactive compounds in food matrices. This section discusses the role of starch as a food-grade stabilizer in these emulsions, outlining production methods and factors influencing their mechanical and physicochemical stability. Additionally, it describes the characterization techniques essential for analyzing these systems.
2. History of Research and Development in Pickering Emulsions
An emulsion constitutes a heterogeneous system of immiscible liquids (such as oil in water—O/W or W/O), in which one phase is distributed (dispersed phase) within another liquid (continuous phase). In this system, there is surface tension between the phases (interfacial tension), causing thermodynamic instability and eventually phase separation. The free energy at the interface can be reduced with the use of surfactants or amphiphilic polymers, which maintain a reversible balance at the interface, primarily through electrostatic forces, thereby achieving physical stability of the emulsion droplets; however, over time, phase separation still occurs [8]. Surfactants also cause serious environmental issues, such as water pollution, are non-degradable, and inhibit enzymes [4]. Pickering emulsions are alternatives that employ the almost irreversible adsorption of solid particles in the interphase, providing positional resistance that ensures increased stability [4,9], and therefore, Pickering emulsions have been the focus of increasing research interest in recent years (Figure 1a). The basis for the research was Scopus, using the following keywords: (a) Solid particles emulsion stabilizers; (b) Food Pickering emulsions.
Figure 1.
History of (a) solid particles as emulsion stabilizers and (b) food Pickering emulsions.
The first experiment with solid particle-stabilized emulsions was conducted by Ramsden in 1903, which demonstrated the absorption of protein aggregates at the air-liquid and liquid-liquid interfaces. In this initial experiment, a reduction in surface free energy was observed along with the formation of a film at the interface, which consequently affected the viscosity of the liquid, allowing the formation of bubbles or emulsions. Several years later, Pickering [10] published studies related to the incorporation of copper sulfate in water and paraffin oil dispersions. Using a microscope, he observed that insoluble particles were absorbed at the oil-water interface, which led to these emulsions being named “Pickering emulsions”.
After the initial experiments involving the use of solid particles in emulsions, there was little growth in this area for several decades. Early studies investigated the influence of the contact angle of the particle at the interface on the formation of this type of emulsion [11], the relationship between droplet size and particle size, and the effect of particle concentration on the characteristics of the emulsion [12]. Progress in developing materials to stabilize emulsions was limited until 1990 [13].
After 1990, interest in Pickering emulsions significantly increased, prompting studies on the organization of particles at the interface, phase inversion mechanisms, and the effect of wettability (contact angle) of the particles in the emulsion. In this initial phase, silica particles were chosen because of the ease of chemical modification of their surface and the availability of various sizes. This allowed for a more detailed understanding of the phenomena of the formation and stabilization of emulsions using solid particles.
Although silica particles are inorganic, their use has been possible in various industries, such as cosmetics, petroleum, and pharmaceuticals, in some cases. With the development and/or incorporation of biodegradable or organic particles, the application of these emulsions has expanded in the pharmaceutical industry and has been shown to be promising for the food industry. Investigations into the use of natural or synthetic polymers in the development of new structures for stabilizing food emulsions with solid particles have significantly increased in the last decade, as illustrated in Figure 1b.
New structures based on natural polymers are also used as delivery systems for active compounds. These compounds can be incorporated and transported within food matrices via encapsulation in liposomes, micro- and nanoparticles, proteins and polysaccharides [14].
Different sources of solid particles used to stabilize Pickering emulsions present various advantages and disadvantages, which vary depending on their properties and the specific applications they are intended for. The stabilization of Pickering emulsions by starch particles exhibits distinct characteristics when compared to particles derived from proteins, other polysaccharides, lipids, and synthetic materials. Starch, as a natural polymer, is widely available, biodegradable, and modifiable through chemical and physical treatments, enabling efficient stability and versatility under various conditions [7,15]. In comparison, protein-derived particles, such as from zein, gelatin, or casein, naturally exhibit affinity for oil-water interfaces due to the presence of hydrophobic and hydrophilic groups but are usually more sensitive to pH and temperature variations, thus compromising the long-term stability of the emulsions [16]. Other polysaccharides, such as cellulose and chitosan, share the biodegradability of starch but often require more complex chemical modifications to achieve adequate hydrophobic properties for stabilization [17]. Lipid-based particles are advantageous due to their compatibility with highly hydrophobic emulsions but may exhibit lower long-term stability [18]. In contrast, synthetic stabilizers, such as silica nanoparticles or engineered polymers, offer greater control over physical and chemical properties but often lack sustainability and face challenges in terms of biocompatibility. Thus, starch combines advantages such as cost-effectiveness, sustainability, and ease of modification, making it a promising and environmentally friendly alternative for stabilizing Pickering emulsions [2,18].
The encapsulation of bioactive compounds in food formulations not only facilitates the integration of hydrophobic components but also offers protection against heat, pH, light, and other environmental factors for hydrophilic components. Thus, it is possible to enable the precise delivery and controlled release of bioactive compounds. With the growing demand for healthier foods containing active and functional compounds, such as nutrients and nutraceuticals, Pickering emulsions have emerged as a promising solution for the preservation and encapsulation of bioactive compounds in the food industry.
Simpler types of Pickering emulsions contain only one dispersed phase in a continuous phase, either oil or water. However, recent studies have developed double emulsions, such as W/O/W or O/W/O, where the dispersed droplets contain smaller internal droplets of a different phase, i.e., an emulsion within an emulsion [2]. The presence of two interfaces means that two emulsifiers are needed to stabilize the primary internal and secondary external emulsions. In the food industry, W/O/W emulsions are commonly adopted, as they feature water as the continuous phase, allowing the encapsulation of hydrophilic sensitive substances in the internal phase, such as vitamins, probiotics, or minerals. Meanwhile, high internal phase emulsions (HIPE) typically have an internal phase volume greater than 74%, are O/W or W/O type and belong to the class of open (solid) or porous cells [6,19,20].
Research on the release of these active substances has significantly progressed following initial studies of the basic properties of these emulsions, becoming a new area to explore. Thus, the evolution and application of particles in Pickering emulsions, as well as the incorporation of bioactive compounds in these systems, have been continuously investigated and improved. Figure 2 illustrates a timeline with the evolution of research using solid particles as Pickering stabilizers, starting with studies on the interface and wettability of the particles, moving on to the physicochemical properties of the particles, and culminating in more recent studies that explore these emulsions in various applications, such as drug delivery, resistance to adverse conditions (pH, light, heat, salt), development of biodegradable materials as stabilizers, encapsulation of bioactive compounds, and in vitro digestion.
Figure 2.
Most significant advances in the development of Pickering emulsions.
Pickering emulsions based on polysaccharides show improvements in stability, solubility, and bioavailability of lipophilic bioactive molecules [21]. For these reasons, interest in these natural polymer particles has increased. Among the polysaccharides, modified starch offers advantages, such as effectiveness in forming a physical barrier that increases the stability of Pickering emulsions. Many studies on bioactive compounds in emulsions stabilized by starch particles have been conducted in recent years, with a trend of exponential growth (Figure 3). The basis for the research was Scopus, using the following keywords: Emulsion Pickering starch bioactive.
Figure 3.
History of starch-based bioactive compound Pickering emulsions.
3. Starch Particles as Stabilizers of Pickering Emulsions
3.1. Challenges: Native Starch and Its Hydrophilicity
Despite its widespread availability, low cost, biocompatibility, renewable origin, and biodegradability, native starch is hydrophilic, which limits its use as a stabilizer in Pickering emulsions [7,22,23]. Effective stabilizers in these emulsions must have partial affinity for both phases (oil and water), so starch particles need to be modified to acquire partial hydrophobicity [24].
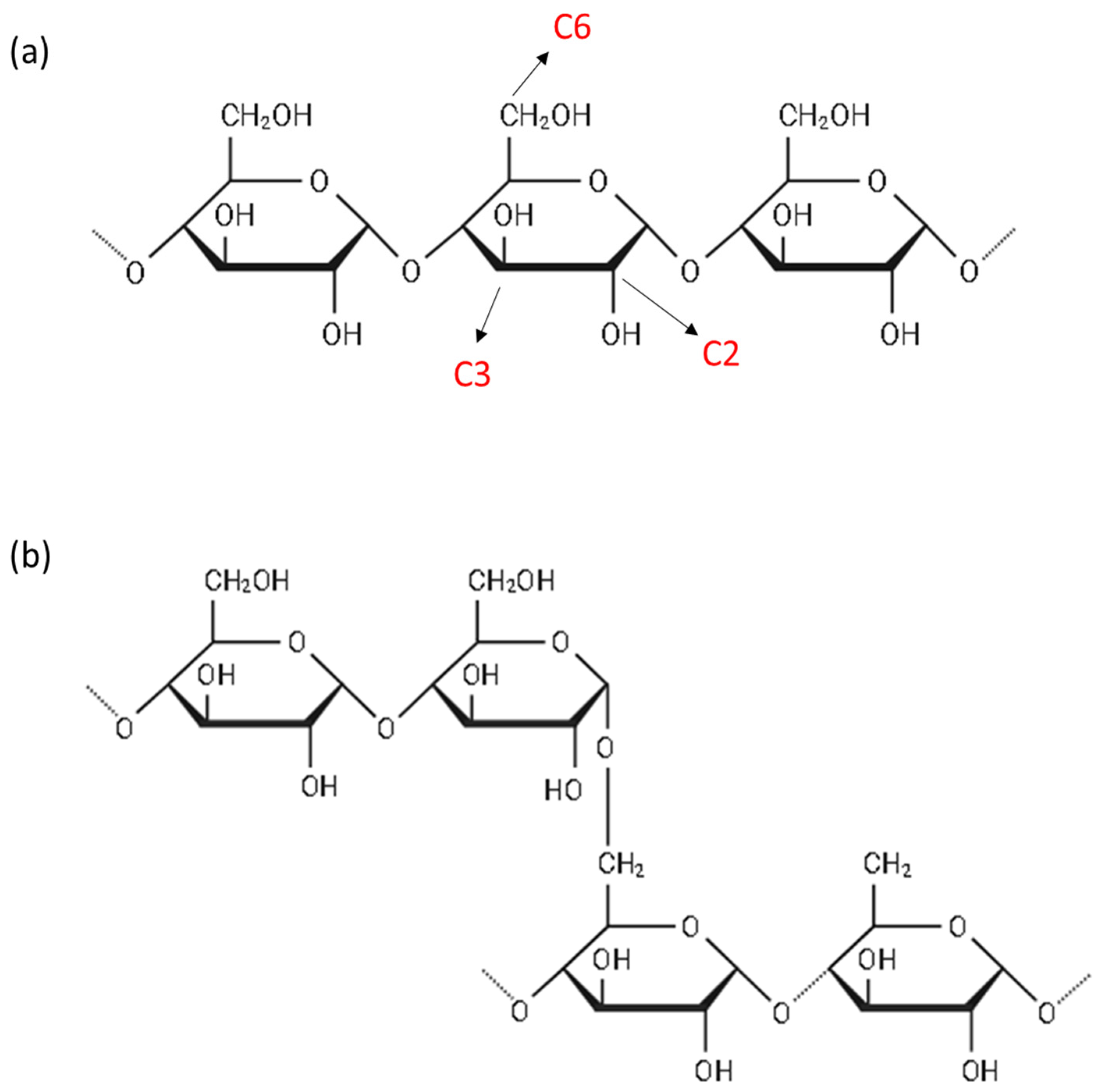
Starch is second only to cellulose as the most common renewable biomaterial [25]. It is produced by various plants for long-term energy storage, and consists of glucose units of different sizes, shapes, structures, and chemical properties depending on the botanical source [26,27]. The structure of the starch granule is composed of two different types of molecules: amylose and amylopectin [26,28]. Amylose (Figure 4a) is predominantly linear with α-(1–4) linkages, whereas amylopectin (Figure 4b) is branched and contains both α-(1–4) and α-(1–6) linkages [26].
Figure 4.
Amylose (a) and amylopectin (b) molecules. The red carbons highlight the active hydroxyl groups (C2, C3, and C6).
The hydrophilicity of native starch is associated with the presence of many hydrophilic hydroxyl groups that form intermolecular and intramolecular hydrogen bonds [5,23,29]. To increase starch hydrophobicity, three active hydroxyl groups in glucose molecules (carbons C2, C3, and C6, Figure 4a) can be chemically modified by esterification with OSA (octenyl succinic anhydride) or NSA (nonyl succinic anhydride), for example [29].
An alternative to counteract the high hydrophilicity of starch is to break down the granule into smaller particles, via methods such as acid hydrolysis, nanoprecipitation, or enzymatic reactions. These modifications can completely change the physicochemical properties of native starch, as well as its functional properties, since the structure and organization of the granule cease to exist.
In fact, starches have specific crystallinity patterns (types A, B, and C), indicating a hybrid material with a certain amorphous and crystalline portion. Grain starches such as rice and wheat are type A, while rhizome starches like potato are type B. Type C starches, such as those from sweet potatoes and peas, are rarer, and their crystallinity patterns exhibit characteristics of both type A and B starches [30]. There is also a type V pattern, which is derived from starch molecules in the amorphous state, with a broad peak centered at 2θ = 20° [31]. The type V pattern includes a typical cavity formed in the starch particle structure, produced by the rapid formation of amylose-ethanol complexes, where bioactive compounds can also be inserted [32]. Modifications can either decrease or increase the relative crystallinity or even the diffraction patterns of starch or starch particles. These modification methods are further discussed in Section 3.2.
Table 1 presents recent research that utilized modified starch or modified starch particles as stabilizers for Pickering emulsions, as well as the types of emulsions produced and the main characterizations performed. This information is presented with the aim of providing an overview of the state of the art in the current scenario of developing food-grade Pickering emulsions stabilized by starch.
Table 1.
Pickering emulsions stabilized with starch or starch particles.
3.2. Modification/Production Strategies for Starch Particles to Stabilize Pickering Emulsions
Chemical, physical, enzymatic, or combined methods can be used for starch modification. Thus, modified starch needs to exhibit certain characteristics, such as increased hydrophobicity [36], different active groups and varying sizes within the molecule’s chain [2], smaller particle sizes [37], and rougher surface morphology [5], among others.
Some examples of chemical modifications of starch are esterification, such as with OSA [38], acid hydrolysis of the granule [39], and the use of ozone for producing oxidized starch, combined with other methods [5]. Physical starch modification methods include thermal treatments such as moisture and heat modification (HMT) [33], or granule gelatinization such as antisolvent precipitation [32] and ultrasonication treatment [6]; or a combination of these methods, which modify the physical and structural properties of the granule. Enzymatic modifications involve the use of enzymes (pullulanase or α-amylase) to break and reorganize starch chains [40].
Starch esterification maintains the original structure of the granule, with sizes in the micrometer range. This fact limits the choice of starch sources to naturally small starches (rice, amaranth, quinoa, corn, etc.), which have average diameters of approximately 0.5 to 5 µm, since the size of Pickering emulsion droplets depends on the size of the particles that will stabilize the interface [4,5,36,38]. The esterification of starch with dicarboxylic acids to produce octenyl succinic anhydride (OSA) esters has been extensively studied, and has shown improved and long-term stability against coalescence and suitable barrier properties for industrial applications [38,41]. The emulsifying ability of OSA-modified starch mainly depends on the degree of substitution of hydrophobic groups, which have been used to control the extent of stabilization [42]. However, recent studies have demonstrated that the functionality provided by OSA can also be achieved by short-chain fatty acids (SCFA, such as acetate, propionate, and butyrate), that also promote the esterification of hydroxyl groups [41,43,44].
Antisolvent precipitation, acid hydrolysis, and enzymatic debranching methods involve the breakdown of starch granules through different operations and steps. Acid hydrolysis produces smaller starch particles since the acid directly attacks the amorphous portion of the granules, breaking them down and producing relatively rigid crystalline particles [39,45,46]. For example, Guo et al. [47] explored the influence of acid hydrolysis on corn starch and its implications for stabilizing high internal phase Pickering emulsions (HIPE). By utilizing increasing concentrations of sulfuric acid, acid hydrolysis effectively reduces the size and molecular weight of starch particles while altering their amylose content and amylopectin chain length. These changes enhance the surface characteristics of starch, notably its wettability, which correlates positively with the acid concentration. This modification results in starch particles that can more effectively reduce the oil–water interfacial tension and stabilize emulsions with a high oil-phase fraction.
Antisolvent precipitation involves gelatinizing the granules, followed by the precipitation/recovery of particles, which is usually performed with ethanol. The gelatinization of starch releases the amylose and amylopectin chains and destroys the crystalline organization of the granule [48]. The resulting precipitation generally produces nanoparticles that are nanometric in size, amorphous, and more flexible than those produced via acid hydrolysis, which may favor adherence at the drop interface [24,33,49,50].
Enzymatic modification can be performed by the addition of enzymes for self-organization of chains and nanoparticle production [40]. Starch debranching occurs with the addition of an enzyme, usually pullulanase or α-amylase, which breaks down the amylose/amylopectin chains into smaller sizes [40,51]. The enzyme-modified starches present greater emulsifying capacity and storage stability of emulsions, reducing the particle size and modulating the molecular weight of starch to enhance interfacial adsorption and elasticity [44].
Moreover, many authors have studied combinations of methods for modifying/producing starch particles [5,20,44,45,46,52]. For example, Du et al. [5] used ozone after OSA starch modification, aiming to promote a denser interface as a consequence of the internal structural cross-linking of the granule. Indeed, ozone can increase the viscosity of the paste, the swelling power, and the molecular weight of starch through destruction of the amorphous region. The insertion of charged groups (carbonyl and carboxyl) and the removal of hydrogen bonds can alter the properties and surface structure, which is important for the emulsion system.
Remanan and Zhu [20] produced starch nanoparticles (SNPs) via the antisolvent precipitation method, assisted by ultrasound (sonoprecipitation), and modified them with OSA/NSA. Ultrasonication breaks the covalent bonds of starch due to the intense shear force created by the collapse of microbubbles by sound waves [53]. Consequently, the molecular weight of starch and the viscosity of the starch solution are reduced [54]. The low viscosity of the solution facilitates the diffusion of starch molecules toward ethanol during precipitation, resulting in even smaller nanoparticle sizes. The results revealed stable emulsions without coalescence or Ostwald ripening, strong gel network formation, and high long-term stability.
Wang et al. [44] produced debranched starch molecules via pullulanase and modified them with SCFA to create starch with enhanced amphiphilic properties, improving its viability for stabilizing Pickering emulsions. Compared with that of conventionally SCFA-esterified emulsions, the particle size distribution of the SCFA-esterified starch emulsions pretreated via enzymatic debranching was more homogeneous, and the size of the emulsion droplets was reduced. These properties allowed for improvements in instability factors, such as flocculation, agglomeration, or Ostwald ripening. Consequently, there was an enhancement in the stability of these emulsions.
In our previous study by Ramos et al. [33], SNPs were produced by physical modifications (ultrasound (US) or heat moisture treatment (HMT)) of cassava starch followed by antisolvent precipitation. The combined modification promoted an increase in the roughness and lipophilicity of the particles, which favored adherence at the interface of O/W Pickering emulsions, forming a stable interfacial layer that prevented droplet coalescence and improved emulsion stability.
Wang et al. [55] modified starches with distinct crystallinities (type A waxy corn starch, type B potato starch, and type C pea starch) with OSA and used these starches to stabilize O/W Pickering emulsions combined with proteins. The emulsion was mixed with a myofibrillar protein suspension, and subsequently, the system was heated to gelatinize the starch and the protein, forming a gel network in the continuous phase, preventing the oil droplets from moving and improving the emulsion’s stability.
4. Key Parameters in the Stabilization Mechanisms of Starch-Based Pickering Emulsions and Particle Characterization
In starch-based Pickering emulsions, the stability of the emulsion is achieved through the formation of a nearly irreversible physical barrier of starch particles at the oil–water interface, which sterically prevents the droplets from approaching each other and avoids phase separation. The destabilization of the emulsion can occur mainly through sedimentation, creaming, flocculation, coalescence, and/or Ostwald ripening (Figure 5) [56]. In sedimentation, droplets denser than the continuous phase settle at the bottom of the container, while in creaming, the dispersed phase is less dense than the continuous phase and rises to the surface, forming a cream. In flocculation, particles or droplets interact leading to the formation of aggregates; however, the original size of the droplets is maintained. During coalescence, two or more droplets merge to form a larger droplet due to the rupture of the interfacial film between them. Finally, in Ostwald ripening, larger droplets gradually form by the diffusion of smaller droplets into the continuous phase, resulting in a change in the distribution of droplet sizes in the dispersed phase. In the destabilization of an emulsion, these phenomena can occur concurrently.
Figure 5.
Emulsion destabilization mechanisms.
To avoid these destabilization phenomena in starch-based Pickering emulsions, various factors need to be analyzed. In this section, key factors involving starch particles and their characterization, such as physicochemical properties, concentration, and physical characteristics, as well as factors related to the oil composition and the ratio between the oil and water fractions [57,58], are described. The factors concerning the particles can be seen in Figure 6.
Figure 6.
Characteristics of starch particles as stabilizers for Pickering emulsions.
Wettability is a critical factor to determine the stability and type of Pickering emulsion. To be able to stabilize an emulsion, the starch particle must be wetted by both phases. The surface wettability of a starch particle is usually characterized by the contact angle (θ) that measures how susceptible this particle is to absorbing water/oil or how much affinity it has with these substances. Native starch is hydrophilic and must be modified to change its wettability so that it develops affinity for the oily phase, changing the contact angle. This angle is measured in the aqueous phase and indicates the particle’s affinity for water or oil, providing information about the success of the modification method [4,57,59]. The contact angle can vary from 0 to 180°, and typically the material of interest (water or oil) is dripped by a needle onto the dry film of the stabilizing material (starch/starch particles). The droplet formed on the film is photographed by the equipment, which subsequently identifies the angle (right and left) produced between the droplet and the film (horizontal surface) (Figure 7).
Figure 7.
Contact angle photography of a droplet at θ < 90°.
With the contact angle of the three phases, θ (i.e., solid particle, disperse and continuous phases), it is possible to calculate the desorption energy (E) required to remove a spherical particle of radius R from the water–oil interface [4,59], as shown in Equation (1).
where R is the radius of a single spherical particle and , the tension of the interface.
In this equation, for a contact angle of 90°, the desorption energy of the starch particle at the oil-water interface is maximized, which enhances the stabilization of the oil-water interface of the emulsion. Considering the same θ but for particles of different sizes, the desorption energy is higher for larger particles. The interfacial tension also influences the desorption energy (considering the radius and θ constant), but it is less important than the radius. The principle of irreversible adsorption in Pickering emulsion studies is based on the fact that the desorption energy exceeds the particle’s thermal energy (KB*T, Boltzmann constant and absolute temperature at 293 K) [59].
The phase in which the starch particles are dispersed before emulsification can also influence the type of emulsion. Generally, particles predispersed in the aqueous phase form an O/W type emulsion, and when dispersed in the oily phase, an O/W type emulsion preferentially forms. The interaction of the particles with the liquid can induce changes in the particles’ hydrophobicity: particles initially with the same wettability may exhibit different wettabilities depending on which liquid they first contacte [59].
In addition to wettability, the size of the solid particle influences the stability of the emulsion. Starch particles can present different sizes according to the source and type of modification performed [60]. Smaller solid particles usually promote the formation of smaller droplets in the emulsion. On the other hand, larger particles exhibit slower adsorption kinetics at the interface, resulting in a larger droplet size. Large particles present a higher adsorption barrier, less effective packing at the interface, cannot accommodate the large curvature of a small droplet, and may suffer greater effects of gravity, causing droplet coalescence [61]. This phenomenon is in accordance with Equation (1), which states that the size of the particles influences their absorption capacity at the interface. For this reason, the size of the starch particles is usually reduced.
Gravity affects the particles at the interface, causing their removal and increasing the settling speed of emulsion droplets and the instability of the entire system. This is a problem for larger particles (>1 μm) and when their adsorption at the oil–water interface is unstable (for example, when the interfacial tension between the phases is low) [4,62].
In principle, the particle size should be smaller than the desired droplet size in the emulsion; typically, the suitable size for stabilizing particles is 5–1000 nm [4]. Some studies have shown that particles whose size is on the same order of magnitude as the droplets before homogenization are also effective in stabilizing the emulsion. During the emulsification process, such as with high-pressure homogenizers, particle fragmentation can occur [59], increasing polydispersity, which in turn favors emulsion stabilization. Larger particles, which are not adsorbed at the interface, form a network in the continuous phase promoted by hydrophobic interactions, which also contributes to the stability of the emulsion [63,64].
The concentration of starch particles also affects the Pickering emulsion size and stability. Several authors have reported that a minimum concentration is required to achieve stability. Typically, for low concentrations, the emulsion is not stable; then, as the concentration increases, partial stability is obtained until, above a certain concentration, the emulsion becomes stable. The particles aggregate on the oil–water interface and are trapped by their neighbors because of strong electrostatic interactions and hydrogen bonding [4,64]. A minimum amount of particles is necessary to form aggregates that ensure emulsion stability.
Starch-particle concentration is related to droplet size, as demonstrated in various studies [42,65,66,67,68]. Three regimes associated with the interfacial area produced during emulsification have been identified at low-, medium-, and high-particle concentrations. At low concentrations, droplets coalesce before the particles have sufficient time to stabilize them, resulting in instability in these emulsions. At intermediate concentrations, the interfacial area obtained during emulsification is slightly greater than the number of particles able to stabilize it. Thus, the droplet coalesces until the entire droplet is sufficiently covered by the particles. At high particle concentrations, there are far more particles than the interfacial area created during the emulsification process, leading to the immediate stabilization of emulsions regardless of size (this may contribute to greater heterogeneity in droplet size), or network formation in the continuous phase may occur, which enhances the stability of the emulsion [64].
Often, an emulsion with a controlled droplet size is obtained based on the particle content: the size of the droplets decreases as the particle concentration increases; a phenomenon called “limited coalescence”. The resulting emulsion has a homogeneous distribution of droplet sizes, which is directly related to the particle mass and the droplet coverage by Equation (2) [59]:
where D is the final droplet diameter, mp is the mass of the particles, ρp is the particle density, Vd is the volume of the dispersed phase, C is the surface coverage (the fraction of interfacial area covered by the particle), ap is the area of the particle projected at the interface, and ϑp is the volume of the particle.
Notably, for many Pickering emulsions, even though an increase in particle concentration improves surface coverage, high concentrations of particles do not always result in densely packed coverage on the surface of the droplets. Moreover, less dense coverage on the surface of the droplets does not directly relate to emulsion instability. There are cases in the literature where surfaces with less than 5% particle coverage maintained emulsion stability, as the particles distributed themselves in the contact region between droplets, forming bridges and inhibiting coalescence [69].
The shape of the solid particles influences the area available for interaction with the oil–water interface and between the particles. Starch particles are approximately spherical or ellipsoid in shape or can be modified into platelets [64]. These particle shapes can present different functionalities at the emulsion interface due to particle alignment and packing [57,60]. An important parameter for nonspherical particles, such as ellipsoids, is the aspect ratio (the ratio between width and length) since it affects the coverage of the oil– water interface and the capillary interactions induced by shape or particle flexibility. Studies have shown that the amount of emulsified phase increases with the aspect ratio, which can be explained by the fact that anisotropic particles can cover a larger interface area, resulting in high packing and more complex network surfaces that favor emulsion stability. Regarding flexibility, materials with higher crystallinity usually exhibit a more rigid structure, which directly influences particle elasticity. More elastic particles can adapt to greater curvature in droplets, in addition to withstanding greater strains without rupture, forming a more robust interfacial layer [57,59]. The structure and relative crystallinity can be analyzed by X-ray diffractometry (XRD). The main goal is to identify the crystallinity patterns by the specific peaks obtained in the diffractogram, and to quantify the crystalline percentage of the sample.
The stability of the starch-based Pickering emulsion can be affected by surface charges and electrostatic interactions between particles, as can occur with modified starch particles [59]. The electrostatic repulsion force can help prevent particle aggregation at the interface when the particles are adsorbed at the interface; their charges generate an electrostatic field that can repel other particles that have the same charge. This repulsion can effectively increase the distance between particles, thus preventing their coalescence and promoting a more uniform dispersion along the interface. The electrostatic repulsion force between particles can be approximated by the DLVO model (Derjaguin, Landau, Verwey, and Overbeek), which combines electrostatic repulsion forces and van der Waals attraction. The total potential energy of interaction between two charged particles is (Equation (3)) [70]
where ϕE is the electrostatic repulsion potential energy, which can be influenced by the zeta potential of the particles and the ionic strength of the medium, ϕvdW is the van der Waals attraction potential energy, and ϕS is the steric interaction energy.
Interactions can be attractive or repulsive between particles, and the surface charge can be altered by changing the pH and/or ionic strength (by adding salt) of the emulsion. These parameters also change the zeta potential and the contact angle of the three phases [4]. This can induce particle aggregation and affect their adsorption at the interface, which in turn influences the stability and properties of the emulsion. In cases where there is a low concentration of particles on the surface, electrostatic repulsion can induce a slow adsorption rate among the particles, consequently leading to poor emulsion stability [59].
The surface charge of a particle in a certain medium, at a certain pH, can be elucidated by measuring the zeta potential (ZP). The zeta potential varies on a scale from −200 mV to +200 mV, and the pH can directly influence its value. Starch/starch particles generally have ZP values in the range of ~−40 to 0 mV, depending on the botanical source (corn, rice, potato, cassava, etc.) [24,31,71] and whether it is a native granule or has undergone some modification. When starch is modified by some technique, it can either expose groups that previously did not contribute to the surface charge of the particle (exposure of hydroxyl groups after acid hydrolysis, for example) or replace groups with higher charges than those of the native molecules.
However, for Pickering-type emulsions, this charge does not necessarily need to be present, as other stabilization methods are involved. In other words, Pickering emulsions do not directly depend on attraction/repulsion mechanisms. Various studies using starch or starch particles as a stabilizer report a zeta potential close to zero (ZP = 0) or below −20 mV [24,33]. However, these systems can still be stable.
Like the surface charge, the interfacial tension for Pickering emulsions can differ greatly from that of traditional emulsion systems. In the case of starch particles, there is a balance of tension after a short time period; however, the tension can remain high after stabilization (~40 mN/m) [72]. The explanation for this phenomenon involves the adsorption forces present at the interface. In starch-based Pickering emulsions, after the adsorption of the starch particles at the interface, there may be a slight reduction in tension, which after a few seconds reaches an equilibrium plateau. This indicates that the starch particle has been adsorbed between the different phases and from this point on, the tensions remain virtually unchanged.
The chemical bonds and structural conformation of starch/starch particles are also key characteristics for understanding or predicting the behavior of these particles at the emulsion droplet interface. Depending on the type of surface charge available or new chemical groups introduced in starch modifications, the particle can exhibit different behaviors during stabilization. Raman spectroscopy and Fourier-transform infrared spectroscopy (FTIR) are the two most commonly used analytical techniques to elucidate the chemical structure and composition of samples. Raman spectroscopy assesses the frequencies at which a sample scatters infrared radiation, while IR spectroscopy measures the frequencies at which a sample absorbs radiation. Structural changes resulting from different starch processing methods can be identified based on the intensity of Raman spectral peaks and the relative areas of the peaks [73].
FTIR allows the quantification of the types of chemical bonds present in a specific spectrum for each material. In the case of starch in particular, some specific peaks are always present. Starch modifications, such as esterification with OSA or ozonation, for example, change the conformation of some specific chemical bonds in starch, as different groups are inserted into the native molecules. FTIR is particularly useful for identifying or quantifying these new bonds.
Furthermore, comparing the ratios of specific band areas allows for an estimation of the crystallinity present in the samples. The degree of ordering can be calculated by the ratio of the absorption band intensities at 1047/1022 cm−1, for example. The absorbance band at 1047 cm−1 is considered sensitive to the ordered or crystalline structure, while the band at 1022 cm−1 is associated with the amorphous structure of starch [74]. Thus, FTIR, in addition to identifying new points regarding the studied particle, can also confirm the responses obtained by other methods, such as XRD.
Molecular interactions can be affected by the surface roughness of the starch particles. In principle, greater roughness increases the area available for stabilizing emulsions, but interactions between the particles may be hindered. Studies indicate that surface roughness aids in the adherence of solid particles at the interface, forming bridges or structures like ‘fingers’ [33,75]. These structures help inhibit the slipping effect and allow for stronger adherence at the interface. In other words, surface heterogeneities, including roughness, significantly affect the adsorption, movement, and interactions of particles at interfaces [75]. There are studies in which particles with greater roughness favor stability, whereas others do not, so more studies are needed to better understand the effects of this parameter [4,60].
Some modifications, like ultrasonication or ozonation, can lead to the formation of grooves, cracks, or roughness on the naturally smooth surface of the starch granule’s structure. Similarly, starch particles may have smoother or rougher surfaces depending on the method used for their production (Figure 8). The structure of the starch particles/granules viewed by scanning electron microscopy (SEM) allows for an understanding of the formation or absence of aggregates, irregularities (grooves, roughness), shape (plate-like shapes, three-dimensionally organized structures such as starch granules with tetrahedral, rounded, oval shapes), and estimation of particle size.
Figure 8.
SEM images of SNPs: (a) smooth surface and (b) rough surface. Reprinted with permission from Foods, V.13, Nº 2, Ramos, G.V.C.; Rabelo, M.E.A.; Pinho, S.C. de; Valencia, G.A.; Sobral, P.J. do A.; Moraes, I.C.F.; Dual Modification of Cassava Starch Using Physical Treatments for Production of Pickering Stabilizers, pages 327, Copyright (2024), Copyright MDPI [33].
Atomic force microscopy (AFM) is another technique widely used to determine the average roughness (Rm) of the surface of starch particles and, combined with contact angle analysis, can quantify and confirm this surface characteristic (Figure 9).
Figure 9.
AFM images of a native starch (a) and a starch nanocrystal (SNC) (b), and comparison with their respective contact angles. Reprinted with permission from Current Research in Food Science, V. 8 (January), Shahbazi, M., Jager, H., Ettelaie, R., Chen, J., Mohammadi, A., Kashi, P. A., Ulbrich, M., & A.; A smart thermoresponsive macroporous 4D structure created by 4D printing of Pickering-high internal phase emulsions stabilized by plasma-functionalized starch nanomaterials for a possible delivery system, pages 100686, Copyright (2024), Copyright Elsevier [6].
Atomic force microscopy, in combination with other techniques, including SEM and molecular dynamic simulations, reveals the complex hierarchical structure of starch particles/granules [76]. In addition to structural details, AFM can provide information about surface forces, such as adhesion, friction, electrostatic forces, and van der Waals forces, and even reveal mechanical and chemical maps, such as deformation maps and chemical composition maps [77].
All of these mentioned parameters are interconnected and influence the wettability properties of the starch particles. Different physicochemical properties on the surface, while keeping other parameters constant, promote different wettability properties and consequently, different emulsion stabilities. Thus, to achieve the desired properties for bioactive compound encapsulation, it is necessary to consider these parameters, but in a correlated manner [59].
The composition of the oil is relevant for stabilization, as it can impact various aspects, from interfacial interactions and rheological properties to physicochemical properties such as polarity. The oil composition can alter the interfacial tension between the oil–water phases, which in turn influences the energy required for starch particles to stabilize the interface, how the particles are adsorbed, and the organization of these particles at the oil–water interface. The contact angle, according to Young’s equation (Equation (4)), is directly associated with the nature of the oil through the interfacial tension [57,78].
where γpo, γpw, and γow are the interfacial surface, particle–oil, particle–water and oil–water surfaces, respectively.
The polarity of the oil can influence its compatibility with the starch particles, with more polar oils potentially interacting differently with polarized or chemically modified particles than nonpolar oils do [60]. Furthermore, the viscosity of the oil can influence the size of the oil droplets in the emulsion, the mobility of the oil droplets, and the kinetics of coalescence. More viscous oils tend to form more stable emulsions, as they act as a damping factor for anchoring the particles at the oil/water interface, delaying the diffusion and adsorption rates of these particles [60].
Another important parameter is the water–oil ratio, which can influence the viscosity. As already discussed for the composition, the kinetic stability, relative density, and specific gravity of the phases are affected. When there is a significant density difference between the phases, emulsions are more prone to creaming or sedimentation, especially when they do not have sufficient viscosity to keep the dispersed phase in suspension [4,60].
For a constant droplet size, an increase in the ratio of the dispersed phase promotes an increase in the interfacial area; however, if the particle concentration remains constant, stabilizing a larger interfacial area is not possible, leading to the formation of larger droplets. Increasing the dispersed phase can also promote critical phase inversion (from W/O to O/W) or even a change in the type of emulsion (from simple to multiple or conversely), as observed in some studies [57].
Another factor to consider is the interaction of the oil with the starch particles or with components of the aqueous phase (or with the bioactive compound). Some oils may solubilize these components, weakening the physical layer formed by the particles. The stability of the emulsion can be affected, especially if the oil alters the physical stability of the particles or the emulsified agents, promoting oxidation or chemical degradation (oils more susceptible to oxidation or chemical degradation can reduce stability) [57].
5. Pickering Emulsion Production Methods
Pickering emulsions can be produced by various mechanical techniques that directly influence the stability and characteristics of the final product. Among these techniques are rotor–stator homogenization, ultrasonic homogenization, high-pressure homogenization, membrane emulsification, and microfluidic emulsification. Each method offers specific advantages that can be selected based on the needs of the desired application (Figure 10) [60].
Figure 10.
Pickering emulsion manufacturing techniques: (a) rotor–stator homogenization; (b) ultrasonic homogenization; (c) high-pressure homogenization; (d) membrane emulsification; and (e) microfluidic emulsification.
The use of a rotor–stator homogenizer, which consists of a rotor with blades and a stator with openings, is one of the most well-known methods for preparing Pickering emulsions. The droplet size of the obtained Pickering emulsion is usually inversely proportional to the rotation speed (5000–30,000 rpm) and homogenization time (seconds to minutes), but a broad size distribution is typically obtained, which can be undesirable [79,80]. The main advantages of this method include its low cost and easy operation. The main disadvantages of the rotor–stator homogenization process are the lack of uniformity in the homogenized sample, especially when operating close to the probe’s volume limit, the risk of temperature increase, the limited energy input, which restricts the formation of small droplets (droplets above 1 µm), the broad droplet-size distribution, and the high shear rate, which can destabilize or deform fragile particles [59,60].
Ultrasonic emulsification employs an ultrasonic probe that emits energy into liquids, resulting in emulsification through acoustic cavitation and ultrasonic forces [20]. The main factors that affect the size of the emulsion droplets produced by this technique include frequency, power, and duration of ultrasonication [81]. The power and treatment time in ultrasonic emulsification are important factors for emulsion stability. Low power results in unstable emulsions with insufficient dispersion, while high power can cause thermal degradation and droplet coalescence. The ultrasound time also influences the process: short times produce emulsions with lower quality and stability, while longer times improve dispersion and reduce droplet size. However, excessive time can lead to overheating and droplet coalescence, compromising long-term stability [81]. The main advantages of ultrasonic emulsification include the ease of setup, the speed of the process (minutes), the small amount of liquid required to use the technique (from µL to hundreds of mL), and the possibility of preparing nanoemulsions. Some disadvantages are the risk of contamination with titanium, the risk of breaking fragile particles, difficulty in industrial scaling, broad droplet-size distribution, and an increase in temperature during emulsification [59].
High-pressure homogenization is performed using a high-pressure pump and a homogenizing nozzle [60]. Typically, an initial emulsion is produced with a rotor–stator, which produces larger droplets; this emulsion is then processed by a high-pressure homogenizer to significantly reduce the droplet size. Droplet-size control is generally achieved by adjusting the pressure and the number of homogenizer cycles, where these factors are inversely proportional: the higher the pressure and the number of cycles, the smaller the droplet size [82]. The advantages of high-pressure homogenization include the ability to process large volumes of samples continuously and reproducibly, the possibility of obtaining very small droplets down to hundreds of nanometers, and the ability to adjust droplet size by increasing pressure or the number of homogenization cycles. However, this technique also has some disadvantages, such as high energy consumption that increases the operational cost, the requirement of a high minimum volume (tens of milliliters), difficult cleaning, increased temperature during the process, a high shear rate that can deform or destabilize fragile particles, and a broad droplet-size distribution [59].
Membrane emulsification can occur in two ways: directly or through a premixing step [60]. In the direct membrane emulsification method, Pickering emulsions are created by pressing or injecting a pure dispersed phase into a continuous phase through a microporous membrane. In the premix method, the emulsion is initially prepared and subsequently pressed through the microporous membrane. Compared with other methods, membrane emulsification employs a low shear force, and there is a very low risk of breaking the particles [83]. The pore size of the membrane, operating pressure, and processing time are key factors in membrane emulsification. Membranes with smaller pores produce more stable emulsions with smaller droplets, while larger pores result in larger droplets, which are more prone to coalescence. The applied pressure also affects droplet size, with higher pressures favoring more stable emulsions, and lower pressures leading to emulsions of lower stability. As for processing time, short times lead to unstable emulsions, while longer times allow for more efficient emulsification, resulting in smaller droplets and greater stability [59,60]. The primary advantages of membrane emulsification are that it is suitable for shear-sensitive products, produces uniform emulsions of controlled size with low polydispersity, consumes little energy, and does not produce heat during the emulsification process. However, it is a time-consuming technique that is suitable only for low-viscosity systems and is currently not suitable for industrial scale-up [59].
Microfluidic methods use a cross-flow device to produce emulsions. In this process, the dispersed phase is extruded through microchannels, where the solid particles present in the continuous phase are readily adsorbed onto the surface of the droplets, culminating in the formation of the Pickering emulsion. The size of the emulsion droplets can be adjusted by modifying the liquid flow rate or the geometric configuration of the microchannel [84]. Similar to membrane emulsification, microfluidic emulsification is also suitable for shear-sensitive products, produces uniform emulsions of controlled size with low polydispersity, consumes little energy, and does not produce heat during the emulsification process. Its disadvantages include low throughput, the risk of droplet interaction with the channel, and limitations to low-viscosity liquids that can flow through the microchannel [59].
During the production of Pickering emulsions via membrane emulsification and microfluidic methods, it is important to consider the adsorption rate of the particles because of the low shear rate. If the particle adsorption rate is slower than the coalescence rate, the droplets may coalesce before stabilization by the particles, and an emulsion may not form. In processes with shear, the adsorption rate is not relevant since shear promotes particle-interface contact [60].
Although the vast majority of studies use the rotor–stator method for the production of starch-stabilized Pickering emulsions [5,23,35,36], there are also some studies in the literature that utilize high-pressure homogenization [85] and ultrasound methods [22,52]. Meanwhile, production methods using microfluidics and membranes have been reported for emulsions stabilized by biopolymers [58], but studies specifically using these methods for starch-stabilized emulsions have not yet been reported.
6. Encapsulation of Bioactive Compounds in Starch-Stabilized Pickering Emulsions
Bioactive compounds have important health benefits in terms of physiology, behavior, and immunology, and some examples include carotenoids, flavonoids, polyphenols, phytosterols, vitamins, and minerals [65]. These compounds can be delivered by encapsulation in a starch-based Pickering emulsion where the bioactive compound will be carried within the droplets of the dispersed phase improving its dispersibility in the matrix, protecting it from interaction with food ingredients, minimizing the impact on the food’s organoleptic properties, and improving its absorption and bioavailability by allowing its targeted release at the active site.
Compared with emulsions stabilized by traditional emulsifiers, starch-stabilized Pickering emulsions offer many advantages for the encapsulation of bioactive compounds in food matrices. The key points to highlight include (1) exceptional stability against coalescence and phase separation, which ensures long-term stability of the encapsulated bioactive compound; (2) controlled release of bioactive compound (changes in pH, temperature, salt content), allowing its targeted delivery to the desired location; (3) protection of the bioactive compound from chemical or enzymatic degradation, which is especially important when it is sensitive to light, oxidation, or hydrolysis; (4) compatibility with a wide range of substances, as the bioactive compound can be either hydrophobic or hydrophilic; and (5) eco-friendly particles, such as the use of natural and biodegradable sources for particle production and reduction of synthetic surfactants, which impacts consumer food safety and process sustainability [2,3,6,37,46].
The applications of these systems have been extensively studied, and the efficacy of starch-based Pickering emulsions in protecting and controlling the release of a range of bioactive compounds has shown great promise since the interactions between the bioactive compound and the starch-stabilizing particles can effectively optimize the performance of the emulsions. Table 2 contains a compilation of studies featuring bioactive compounds efficiently encapsulated in Pickering systems, with starch being the primary stabilizing particle.
Table 2.
Pickering emulsions stabilized by starch or starch particles with encapsulated bioactive compounds.
For example, Zheng et al. [46] encapsulated the hydrophobic bioactive compound indole-3-carbinol (I3C) via Pickering emulsions stabilized with high-amylose corn starch modified with octenyl succinic anhydride (OSA). The emulsions increased the stability of I3C, protecting it against ultraviolet light and allowing for controlled in vitro release. The modification of starch with OSA significantly enhanced the encapsulation efficiency and storage stability of I3C, showing potential for food applications such as dietary supplements.
Moreover, Song et al. [87] studied the delivery of the lipophilic bioactive compound astaxanthin encapsulated in Pickering emulsion gels (PEG) using gliadin/starch nanocomposite complexes for stabilization. The PEG demonstrated exceptional stability against droplet coalescence, Ostwald ripening, and phase separation, even under extreme conditions of pH and ionic strength. The encapsulated astaxanthin in the PEG improved the stability and bioaccessibility during in vitro digestion, suggesting that such systems are promising for the effective delivery of these compounds.
Curcumin is among the most studied bioactive compounds targeted for encapsulation in Pickering emulsions [37,44,45,86], mainly due to its anti-inflammatory, antioxidant, and anticancer properties, among others. Chen et al. [37] used nanoparticles of OSA-modified starch derived from corn, potato, and pea as stabilizers in Pickering emulsions and studied the controlled release of curcumin in this system. The emulsions exhibited excellent stability under various environmental and storage conditions, protecting the encapsulated curcumin. Curcumin had a controlled release during in vitro digestion, indicating that these emulsions are suitable for stabilization and bioactive compound delivery in food systems.
Furthermore, studies have reported that curcumin can interact with starch chains. Feng et al. [88], through molecular dynamics simulations, demonstrated that in interactions between debranched starch (DBS), curcumin, and water, hydrogen bonds were formed between DBS residues and curcumin molecules. In systems without curcumin, only unstable hydrogen bonds were formed. These findings indicate that curcumin also has the potential to improve the stability of the interface in emulsion droplets.
Shahbazi et al. [6] developed Pickering HIPPE emulsions stabilized by SNCs or SNPs of waxy corn that respond to external stimuli such as pH and temperature for controlled bioactive compound delivery. The hierarchically porous structure of HIPPE exhibited thermoresponsive behavior. Research has shown how these emulsions can be designed to provide more effective and targeted release of bioactive compounds, such as pharmaceuticals and nutrients, thus enhancing the efficacy of treatment or supplementation.
Lin et al. [2] produced double W/O/W Pickering emulsions stabilized by OSA-modified quinoa starch to encapsulate and release anthocyanin. The anthocyanin was dissolved in the inner aqueous phase of the emulsion. The system could protect and control the release of sensitive bioactive compounds. The emulsions were particularly effective in maintaining the stability of bioactive compounds during storage. When digested in simulated gastric fluid, the starch-based double emulsions maintained the structural integrity and high encapsulation stability of anthocyanins. After digestion in simulated intestinal fluids, most of the anthocyanins could be released due to the hydrolysis of starch and the destruction of the emulsion droplets.
Wang and Zhou [32] produced waxy maize starch nanoparticles (WMS) by nanoprecipitation and incorporated tea polyphenol extract (TP), which contains catechin, into the cavity of type V starch. The extract was added after the starch gelatinization stage. The authors produced O/W Pickering emulsions using camellia oil as the oily phase. The addition of TP to waxy maize starch not only increased the hydrophobicity of the nanoparticles but also altered their physicochemical properties, such as size and zeta potential. This was attributed to the formation of hydrogen bonds between the starch chains and the hydroxyl groups of the TP. Therefore, the WMS/TP nanoparticles not only stabilized the emulsions but also conferred antioxidant activity, creating more stable and nutritionally advantageous emulsions.
7. Methods for Characterizing Pickering Emulsions
7.1. Emulsion Stability
7.1.1. Physical Stability
The emulsion stability affects the appearance of products, and often, emulsion instability can be directly observed with the naked eye. Thus, visual observation is probably the simplest, cheapest, and fastest method to evaluate gravitational separation (creaming or sedimentation as shown in Figure 11) of the emulsion without analytical instruments [1]. From the formation of these separate layers, it is possible to measure the creaming index (CI). The emulsion is usually stored in straight-walled glass tubes at a controlled temperature for the desired monitoring time. The physical stability is then assessed through visual observations and measurements of the creaming index (CI, %), which is calculated as the height of the upper layer divided by the initial height of the fresh emulsion in the glass [89]. This measure is useful for quantitatively comparing stability differences between samples (Figure 11).
Figure 11.
Image of emulsions with and without gravitational phase separation during storage.
7.1.2. Accelerated Stability
Stability under accelerated conditions can be assessed using a photocentrifuge, like the LUMiSizer equipment. This equipment is based on the measurement of near-infrared light transmission (865 nm) as a function of time and position along the entire length of the emulsion sample simultaneously [90]. The main operational parameters selected are the value of the centrifugal force applied and the temperature of analysis. The values for the instability index (II) and emulsion destabilization charts are obtained, allowing for a more in-depth evaluation of the phenomenon. The instability index can range from 0 to 1. The more unstable the emulsion is, the higher the value of II.
At the start of the analysis, the emulsions are uniform, opaque dispersion systems; therefore, the sample does not allow the passage of light. As the centrifugation time increases, the emulsion becomes unstable, and phase separation begins, where a more translucent phase forms in the cuvette of the equipment. In the transmission profile chart generated, the emulsions are gradually stratified through continuous centrifugal separation, and the profiles are recorded. The profiles start to form from the lower red line, and the upper green line represents the last transmission profile [91] (Figure 12). Thus, when there is less phase separation in a sample, the transmission area is smaller, and the emulsion is more stable [90].
Figure 12.
Transmission profiles of an emulsion subjected to the LUMiSizer.
7.2. Morphology
7.2.1. Optical Microscopy
Optical microscopy is an imaging technique that uses visible light to illuminate a sample [73]. This technique is considered simpler than other forms of microscopy, which will be discussed later, both in terms of sample preparation and the costs involved; however, this method is limited in terms of magnification power and field depth. In the case of Pickering emulsions, magnification with a 100x lens (very common in optical microscopy) may be sufficient to visualize the system and the formed droplets. This is because these are emulsions with much larger droplet sizes (on the order of micrometers) than traditional emulsions, which can have nanometric droplet sizes (nanoemulsions).
Given this, optical microscopy has been widely used for visualizing Pickering emulsions. Sample preparation is simple and can be performed by depositing a drop of the sample on a slide, which is then covered by a coverslip. If a sample has many overlapping droplets, visualization can become difficult, and it may be necessary to drag the droplet on the slide. Optical microscopy can also be used to obtain images for calculating the size and size distribution of droplets. This requires several micrographs of the same sample obtained from different points. Furthermore, this is a very useful, easy, and cost-effective technique for analyzing emulsions as the storage period progresses, providing monitoring of whether the system’s structure varies over time.
7.2.2. Confocal Laser Scanning Microscopy
The main advantages of confocal laser scanning microscopy (CLSM) over light microscopy techniques include enhanced high-resolution contrast, improved resolution in fluorescent samples, and enhanced axial resolution (depth) that allows for optical sectioning of samples. Furthermore, this technique can provide three-dimensional information about the internal structures of a sample [92].
Samples subjected to CLSM must be stained with low concentrations of fluorescent dyes (0.1%). These markers allow CLSM to generate images of molecular structures with just a few microliters of sample. Several factors should be considered when selecting fluorescent probes for use with CLSM, including the excitation/emission wavelengths of the probe to be used, the available laser lines, and the filter sets employed.
The combination of Nile red (for fat) and Nile blue (for starch) is very common in starch-stabilized Pickering emulsions [42,45,65,87], which use wavelengths of 488 nm and 633 nm. Staining can be performed during emulsion preparation or directly on slides prepared for CLSM analysis.
This characterization is essential for understanding where starch/starch particles have migrated after emulsification. Figure 13 shows images of OSA-modified starch (OSA-Starch) at the droplet interface, as well as OSA-starch nanoparticles (OSA-SNPs) performing the same stabilizing function. If the concentration of starch particles in the emulsion is sufficiently high, it is possible for a network to form in the continuous phase of the emulsion, acting as a gel and assisting in the stabilization of the dispersed droplets [93].
Figure 13.
Confocal laser scanning microscopy of Pickering emulsions stabilized by OSA-starch, OSA-SNPs, (A) Nile blue, (B) Nile red, and (C) overlay of panels (A,B). Reprinted with permission from International Journal of Biological Macromolecules V.258, N° P2, Wang, N., Zhang, C., Li, H., Zhang, D. Wu, J., Li, Y., Yang, L., Zhang, N., Wang, X.; Addition of Canna edulis starch and starch nanoparticles to stabilized Pickering emulsions: In vitro digestion and fecal fermentation, pages 128993, Copyright (2024), Copyright Elsevier [45].
7.2.3. Cryogenic Scanning Electron Microscopy (Cryo-SEM)
The microstructure of the emulsions can also be observed by scanning electron microscopy (SEM) with a Cryo-SEM preparation system, which includes a cryogenic chamber attached to the scanning electron microscope. The difficulty of using SEM alone is due to the liquid state of emulsions, as this equipment cannot analyze samples that are moist or liquid. Rapid freezing at extremely low temperatures (~−120 to −190 °C) ensures that the sample’s structure is maintained without the damage or modifications seen with conventional freezing, such as the formation of ice crystals. The samples are frozen in liquid nitrogen and then transferred to a lyophilization chamber under vacuum at low temperature. The frozen samples are sectioned with a cooled knife to expose the cross-section of the sample and can be coated with platinum, for example, to facilitate visualization.
Cryo-SEM produces images of the sample surface, as well as its deformation and heterogeneity [49,87]. Thus, the surface of ultrafrozen samples can be observed, and the complexity of the stabilization system can be interpreted. For example, it is possible to visualize the interfacial layer adsorbed on the droplet of the dispersed phase, whether there is aggregate formation, or even the formation of particle bridges between droplets through network construction in the continuous phase, illustrating their morphology and interactions (Figure 14).
Figure 14.
Cryo-SEM microstructures of Pickering emulsions at different magnifications (line 1 or 2) and starch particle concentrations (A–D). Reprinted with permission from International Journal of Biological Macromolecules V.253, N° P6, Song, X., Zhai, Y., Di, X., Zhao, Q.; Comparative study on the in vitro digestion of different lipids in starch-based Pickering emulsions, pages 127340, Copyright (2023), Copyright Elsevier [3].
7.3. Rheological Behavior
The rheological behavior of emulsions is analyzed to determine how they respond to flow and deformation under different conditions. Understanding the flow behavior and viscoelastic properties is fundamental to predict how the emulsion’s properties will vary during processing (such as in mixing and pumping) and to optimize emulsion performance at different stages of manufacturing. Product, appearance, texture, and mouthfeel, among other quality attributes that affect consumer acceptance of emulsified products, are also related to rheology, ensuring that the desired functional attributes are obtained in product formulation and development. The product shelf-life is directly linked to emulsion stability over time, which can be evaluated by the time-dependent rheological properties of emulsions. Factors that can affect the rheological properties of emulsions include the chemical composition (pH, electrolyte concentration, etc.), viscosity of the continuous phase, volumetric fraction of the dispersed phase, characteristics of the droplets (size distribution, deformability, viscosity, concentration, and particle–particle interaction), and interfacial elasticity, which depends on the concentration and type of particles used [1,19,23,80,94].
In Pickering emulsions, when solid particles effectively inhibit droplet flocculation and coalescence, acting as fillers or thickeners, they increase the viscosity of the emulsion and hinder droplet movement, thereby improving stability by preventing gravitational separation [1,19,23,80]. The observed interactions and morphology obtained from the microscopy images can be used to understand the rheological behavior of the emulsions [1].
The main rheological tests include rotational and oscillatory tests performed in rheometers with different geometries, namely concentric-cylinder, parallel-plate, and cone- and-plate, according to the application or structure of the material. The flow curves depicting steady-state shear stress or apparent viscosity as a function of shear rate offer important insights into the rheological behavior of emulsions. Starch-stabilized Pickering emulsions can usually be described by the Power Law model [22,35,51,80], but other models can also be found, such as Bingham Plastic, Herschel-Bulkley, and Casson [95].
In oscillatory shear tests, the emulsions are subjected to alternating shear stresses, providing insights into their viscoelastic behavior, which is related to the elasticity of the adsorption layer. A range of dynamic responses is observed, such as elastic (storage G′) and viscous (loss G″) moduli and phase shifts [94]. The ability of an emulsion to recover from deformation is reflected by the elastic modulus, and the energy dissipation and flow resistance are represented by the viscous modulus [94]. The interactions that occur within emulsions, such as droplet collisions, interfacial interactions, and structural rearrangements, can be evaluated by the phase shift between stress and strain in oscillatory shear tests. Small-amplitude oscillatory shear tests to obtain the dependence of the viscoelastic moduli (G′ and G″) and the phase angle (δ) on frequency, temperature, or time are conducted in the linear viscoelastic region (LVR), which can be obtained via amplitude strain sweep tests.
7.4. Encapsulation Efficiency of Bioactive Components
The encapsulation efficiency quantifies the amount of bioactive compounds contained within the emulsion system relative to the initial concentration. A higher load of bioactive compound within the emulsion droplet indicates a higher encapsulation efficiency [1,65]. The storage stability and release profile can be evaluated by determining this efficiency immediately after processing, at a specific storage time, and during digestion.
The amount of bioactive compound effectively encapsulated can be obtained by quantifying the difference between the total bioactive compound and the free bioactive compound in the system. A commonly used method for quantifying free bioactive compounds is the separation of the organic phase of the emulsion by adding an organic solvent (e.g., dichloromethane) and its subsequent quantification [88]. Centrifugation can also be used to allow the emulsion to aggregate and separate from the solution containing the free bioactive compound [2,87]. To assess the total amount of bioactive compound, it is necessary to destabilize the Pickering emulsion with a solvent such as ethanol so that the bioactive compounds are released and can be quantified [88].
To quantify bioactive compounds, two techniques, UV-visible spectrophotometry and HPLC, are used. UV-visible spectrophotometry is commonly used for the qualitative analysis of chromophores such as nitromethane and auxochromes such as benzene, which absorb energy at specific wavelengths within the UV-visible range (200–400 nm) [1]. These analytes can be differentiated on the basis of their characteristic absorption spectrum. Curcumin is a well-known example of a bioactive compound that is easily identifiable via this method [37,51]. A standard curve must be constructed for quantitative analysis of the target compound. This technique is considered cost-effective and simple in terms of sample preparation; however, it is not as precise as HPLC analysis.
Among all available chromatography instruments, high-performance liquid chromatography (HPLC) is most commonly used for quantitative and qualitative analyses of encapsulated compounds that can be separated on the basis of their differences in polarity [1,46]. The separation column consists of a solid stationary phase and a liquid mobile phase with different polarities. HPLC is capable of detecting and quantifying compounds at very low levels and can identify compounds that have similar molecular structures. This technique is highly efficient but has a high cost.
8. Potential Applications
Starch-based Pickering emulsions can be used for the sustained delivery and release of bioactive compounds in bioactive and biodegradable films, as a replacement for fats and other components in food matrices, and/or to optimize enzyme catalytic efficiency.
For food preservation purposes, this type of emulsion can be used as a preservative in meats or fruits, through the application of the emulsion itself or the use of films with antibacterial or antioxidant properties [96,97]. In the biomedical field, starch-stabilized Pickering emulsions can also act against bacteria such as E. coli, S. aureus, and A. flavus, through the bactericidal action of the incorporated bioactive compound [98,99], in addition to being useful as a drug delivery vehicle, such as for astaxanthin [87]. Table 3 lists some examples of the main potential applications of starch-stabilized Pickering emulsions.
Table 3.
Potential applications of starch-stabilized Pickering emulsions.
In food packaging applications, starch-based Pickering emulsions have been employed in polymer synthesis, constituting a green method for producing expanded polystyrene [58]. These emulsions have also been used to produce active and biodegradable films since the encapsulated bioactive compounds can provide antimicrobial and antioxidant properties to increase the shelf-life of packaged foods [107]. Studies have produced nanocrystalline starch nanocomposites, which have been used to formulate films with improved mechanical and optical resistance, incorporating Pickering emulsions stabilized with starch nanocrystals [7]. Edible films that incorporate starch OSA-stabilized Pickering emulsions enriched with cinnamon essential oil (CEO) were successfully developed with antioxidant and antimicrobial activities. The encapsulation strategy preserved CEO activity during drying and storage and improved the moisture and oxygen barrier properties of the film [100].
Pickering emulsions can replace trans fats and other components in foods to produce gluten-free products, frozen yogurt, sauces, ice cream, and mayonnaise. These emulsions reduce the fat content in the formulation while maintaining the product texture [57]. Pickering HIPPE are ultraconcentrated emulsions with a volumetric fraction of the dispersed phase greater than 74% that can substitute for solid fats in foods that have a semisolid texture, such as desserts, creams, and spreads [108]. Starch nanocrystals stabilized Pickering HIPPE O/W and demonstrated that these food-grade particles are promising for application in food formulations [101].
Pickering emulsions have also been used as effective vehicles for enzyme catalytic reactions, as they increase the interfacial area, ensure high selectivity and efficiency, and facilitate the recovery and reuse of catalysts and solid particles [57,87]. Pickering emulsions improve the interaction between enzymes and substrates, reducing the transfer distance between catalysts and reagents [58]. This method has been applied in food processes, optimizing the catalytic efficiency of lipases in reactions such as hydrolysis, esterification, and deacidification [57].
9. Future Perspectives and Trends
Many advances have been made in the development of starch particles for use in Pickering emulsions. Much of the research considers the modification of starch with OSA; however, there are many other recent techniques for modifying the chemical structure of this biopolymer that could be considered for applications in Pickering emulsions. Nano-scale structures, such as starch nanoparticles, nanofibers, or nanocrystals, have potential for applications in the food industry. A recent study has shown that starch nanofibers can be produced by electrospinning and the possibility of employing these structures in Pickering emulsions was demonstrated [102].
Another important research area is the study of the stabilization mechanisms of particles at the interface to promote the development of new applications in the encapsulation of bioactive compounds [6,37]. In addition, investigations of the synergistic effect between the particles and the transported active compound are needed.
An aspect of the particles that requires further clarification is their capacity to respond to external stimuli, such as the pH of the medium, which is useful for the controlled release of bioactive compounds at the main absorption site during the digestive process [3]. Recently, studies have demonstrated that starch-based Pickering emulsions are stable in the oral and gastric digestion phases, making them an interesting delivery system for active substances that should be released during the intestinal digestion phase [3,87]. After the release of the bioactive compound in the digestive system, the functional properties must be evaluated, considering, for example, their toxicity and impact on the digestive system’s microbiota, with in vitro and in vivo studies [4,7,14]. The use of particles with tracers can enable monitoring of emulsions and greater control of the release of bioactive compounds during various phases of the digestive process.
The use of O/W/O or W/O/W double Pickering emulsions might be capable of incorporating bioactive compounds in two distinct phases, effectively delivering both lipophilic and hydrophilic compounds and providing additional protection to bioactive compounds. Studies on the use of two types of particles for forming a double emulsion are still under development. The challenge lies in designing a process that allows the formation of droplets, initially with one type of particle and then the second droplet with the other type of particle. Improvements in the protection of the bioactive compound in Pickering emulsions can be favored by insertion into a physically more stable structure, such as emulsion-loaded gels [44,57].
10. Conclusions
Starch particle-stabilized Pickering emulsions show great potential for encapsulating bioactive compounds in food products, providing enhanced stability and controlled release of ingredients such as polyphenols, carotenoids, and vitamins. These emulsions have proven effective in improving the bioavailability of bioactive compounds, enabling sustained release, and increasing their efficacy in food or pharmaceutical systems. While starch-based emulsions have already been successfully applied in various food/pharmaceutical formulations, ongoing research into starch particle modification, understanding their response to external stimuli, and exploring more advanced techniques such as double emulsions and encapsulation in gels is expected to drive the future development of these technologies. Furthermore, the use of these emulsions in food packaging, enzyme reactions, as an antibacterial/antioxidant agent, and other industrial applications demonstrates their versatility and environmental advantages compared to traditional methods. Future studies should focus on optimizing the performance of these systems, evaluating their impact on human health and digestion, and exploring new approaches to enhance the functionality of Pickering emulsions in various food and biotechnology applications.
Author Contributions
Conceptualization, G.V.C.R., S.R.-L., C.D. and I.C.F.M.; Investigation, G.V.C.R., S.R.-L., C.D. and I.C.F.M.; Resources, I.C.F.M. and C.D.; Writing—Original Draft Preparation, G.V.C.R., S.R.-L., C.D. and I.C.F.M.; Writing—Review & Editing, G.V.C.R., S.R.-L., C.D., I.C.F.M. and S.C.d.P.; Supervision, I.C.F.M.; Project Administration, I.C.F.M.; Funding Acquisition, I.C.F.M. and C.D.; Visualization, G.V.C.R., S.R.-L., C.D., I.C.F.M. and S.C.d.P. All authors have read and agreed to the published version of the manuscript.
Funding
This study was financed in part by the Coordenação de Aperfeiçoamento de Pessoal de Nível Superior-Brasil (CAPES)—Finance Code 001. Part of this research was funded by FONDECYT-CONCYTEC/Peru (grant contract number 240-2015-FONDECYT) and CAPES-Brazil (Sandwich Doctorate Program Abroad, process no. 88881.190627/2018-01).
Acknowledgments
We thank BioRender (https://biorender.com/) for providing the platform used to create some of the illustrations in this article.
Conflicts of Interest
The authors declare no conflict of interest.
References
- Hu, Y.T.; Ting, Y.; Hu, J.Y.; Hsieh, S.C. Techniques and Methods to Study Functional Characteristics of Emulsion Systems. J. Food Drug Anal. 2017, 25, 16–26. [Google Scholar] [CrossRef]
- Lin, X.; Li, S.; Yin, J.; Chang, F.; Wang, C.; He, X.; Huang, Q.; Zhang, B. Anthocyanin-Loaded Double Pickering Emulsion Stabilized by Octenylsuccinate Quinoa Starch: Preparation, Stability and in Vitro Gastrointestinal Digestion. Int. J. Biol. Macromol. 2020, 152, 1233–1241. [Google Scholar] [CrossRef] [PubMed]
- Song, X.; Zhai, Y.; Di, X.; Zhao, Q. Comparative Study on the in Vitro Digestion of Different Lipids in Starch-Based Pickering Emulsions. Int. J. Biol. Macromol. 2023, 253, 127340. [Google Scholar] [CrossRef]
- Ming, L.; Wu, H.; Liu, A.; Naeem, A.; Dong, Z.; Fan, Q.; Zhang, G.; Liu, H.; Li, Z. Evolution and Critical Roles of Particle Properties in Pickering Emulsion: A Review. J. Mol. Liq. 2023, 388, 122775. [Google Scholar] [CrossRef]
- Du, M.; Chen, L.; Din, Z.; Zhan, F.; Chen, X.; Wang, Y.; Zhuang, K.; Wang, G.; Cai, J.; Ding, W. Structure and Surface Properties of Ozone-Conjugated Octenyl Succinic Anhydride Modified Waxy Rice Starch: Towards High-Stable Pickering Emulsion. Int. J. Biol. Macromol. 2023, 253, 126895. [Google Scholar] [CrossRef] [PubMed]
- Shahbazi, M.; Jager, H.; Ettelaie, R.; Chen, J.; Mohammadi, A.; Kashi, P.A.; Ulbrich, M.A. A Smart Thermoresponsive Macroporous 4D Structure by 4D Printing of Pickering-High Internal Phase Emulsions Stabilized by Plasma-Functionalized Starch Nanomaterials for a Possible Delivery System. Curr. Res. Food Sci. 2024, 8, 100686. [Google Scholar] [CrossRef] [PubMed]
- Zhu, F. Starch Based Pickering Emulsions: Fabrication, Properties, and Applications. Trends Food Sci. Technol. 2019, 85, 129–137. [Google Scholar] [CrossRef]
- McClements, D.J. Advances in Fabrication of Emulsions with Enhanced Functionality Using Structural Design Principles. Curr. Opin. Colloid. Interface Sci. 2012, 17, 235–245. [Google Scholar] [CrossRef]
- Destribats, M.; Rouvet, M.; Gehin-Delval, C.; Schmitt, C.; Binks, B.P. Emulsions Stabilised by Whey Protein Microgel Particles: Towards Food-Grade Pickering Emulsions. Soft Matter 2014, 10, 6941–6954. [Google Scholar] [CrossRef]
- Pickering, S.U. CXCVI.—Emulsions. J. Chem. Soc. Trans. 1907, 91, 2001–2021. [Google Scholar] [CrossRef]
- Finkle, P.; Draper, H.D.; Hildebrand, J.H. The Theory of Emulsification. J. Am. Chem. Soc. 1923, 45, 2780–2788. [Google Scholar] [CrossRef]
- Wiley, R.M. Limited Coalescence of Oil Droplet in Coarse Oil-in-Water Emulsions. J. Colloid. Sci. 1954, 9, 427–437. [Google Scholar] [CrossRef]
- Mukherjee, S. Pickering Emulsions Stabilized by Nanoparticles. In Biopolymer-Based Formulations: Biomedical and Food Applications; Elsevier: Amsterdam, The Netherlands, 2020; pp. 365–380. ISBN 9780128168981. [Google Scholar]
- Barbosa-Nuñez, J.A.; Espinosa-Andrews, H.; Cardona, A.A.V.; Haro-González, J.N. Polymer-Based Encapsulation in Food Products: A Comprehensive Review of Applications and Advancements. J. Future Foods 2025, 5, 36–49. [Google Scholar] [CrossRef]
- Xu, T.; Yang, J.; Hua, S.; Hong, Y.; Gu, Z.; Cheng, L.; Li, Z.; Li, C. Characteristics of Starch-Based Pickering Emulsions from the Interface Perspective. Trends Food Sci. Technol. 2020, 105, 334–346. [Google Scholar] [CrossRef]
- Ribeiro, E.F.; Morell, P.; Nicoletti, V.R.; Quiles, A.; Hernando, I. Protein- and Polysaccharide-Based Particles Used for Pickering Emulsion Stabilisation. Food Hydrocoll. 2021, 119, 106839. [Google Scholar] [CrossRef]
- Niroula, A.; Gamot, T.D.; Ooi, C.W.; Dhital, S. Biomolecule-Based Pickering Food Emulsions: Intrinsic Components of Food Matrix, Recent Trends and Prospects. Food Hydrocoll. 2021, 112, 106303. [Google Scholar] [CrossRef]
- Sakellari, G.I.; Zafeiri, I.; Batchelor, H.; Spyropoulos, F. Solid Lipid Nanoparticles and Nanostructured Lipid Carriers of Dual Functionality at Emulsion Interfaces. Part I: Pickering Stabilisation Functionality. Colloids Surf. A Physicochem. Eng. Asp. 2022, 654, 130135. [Google Scholar] [CrossRef]
- Li, J.; Sun, J.; Meng, F.; Chen, Y.; Liu, H.; Gao, Y. Preparation of High Internal Phase Pickering Emulsions Using Micron-Sized Esterified Maize Starch as the Sole Effective Stabilizer. J. Food Eng. 2024, 369, 111932. [Google Scholar] [CrossRef]
- Remanan, M.K.; Zhu, F. Encapsulation of Ferulic Acid in High Internal Phase Pickering Emulsions Stabilized Using Nonenyl Succinic Anhydride (NSA) and Octenyl Succinic Anhydride (OSA) Modified Quinoa and Maize Starch Nanoparticles. Food Chem. 2023, 429, 136748. [Google Scholar] [CrossRef] [PubMed]
- Lee, M.H.; Kim, H.D.; Jang, Y.J. Delivery Systems Designed to Enhance Stability and Suitability of Lipophilic Bioactive Compounds in Food Processing: A Review. Food Chem. 2024, 437, 137910. [Google Scholar] [CrossRef]
- Apostolidis, E.; Gerogianni, A.; Anagnostaki, E.; Paximada, P.; Mandala, I. Assembly of Spherical-Shaped Resistant Starch Nanoparticles to the Oil Droplet Surface Promotes the Formation of Stable Oil in Water Pickering Emulsions. Food Hydrocoll. 2024, 151, 109775. [Google Scholar] [CrossRef]
- Li, Y.; Liu, H.; Wu, Y.; Li, P.; Du, B.; Xie, X.; Li, L. Differences in the Structural Properties of Three OSA Starches and Their Effects on the Performance of High Internal Phase Pickering Emulsions. Int. J. Biol. Macromol. 2024, 258, 128992. [Google Scholar] [CrossRef] [PubMed]
- Ge, S.; Xiong, L.; Li, M.; Liu, J.; Yang, J.; Chang, R.; Liang, C.; Sun, Q. Characterizations of Pickering Emulsions Stabilized by Starch Nanoparticles: Influence of Starch Variety and Particle Size. Food Chem. 2017, 234, 339–347. [Google Scholar] [CrossRef]
- Oladebeye, A.O.; Oshodi, A.A.; Amoo, I.A.; Karim, A.A. Functional, Thermal and Molecular Behaviours of Ozone-Oxidised Cocoyam and Yam Starches. Food Chem. 2013, 141, 1416–1423. [Google Scholar] [CrossRef] [PubMed]
- Wurzburg, O.B. Nutritional Aspects and Safety of Modified Food Starches. Nutr. Rev. 1986, 44, 74–79. [Google Scholar] [CrossRef] [PubMed]
- Smith, A.M.; Denyer, K.; Martin, C. The Synthesis of the Starch Granule. Annu. Rev. Plant Biol. 1997, 48, 67–87. [Google Scholar] [CrossRef] [PubMed]
- Tester, R.F.; Karkalas, J.; Qi, X. Starch—Composition, Fine Structure and Architecture. J. Cereal Sci. 2004, 39, 151–165. [Google Scholar] [CrossRef]
- Wang, Q.; Li, L.; Zheng, X. Recent Advances in Heat-Moisture Modified Cereal Starch: Structure, Functionality and Its Applications in Starchy Food Systems. Food Chem. 2021, 344, 128700. [Google Scholar] [CrossRef] [PubMed]
- Taguchi, T.; Onishi, M.; Katsuno, N.; Miwa, N.; Oomoto, C.; Sato, M.; Sekita, M.; Yamaguchi, H.; Imaizumi, T.; Nishizu, T. Evaluation of Starch Retrogradation by X-Ray Diffraction Using a Water-Addition Method. LWT 2023, 173, 114341. [Google Scholar] [CrossRef]
- Lima, K.T.d.S.; Garcez, J.; dos Santos Alves, M.J.; Monteiro, A.R.; Valencia, G.A. Physicochemical Properties of Modified Starches Obtained by Anti-Solvent Precipitation Containing Anthocyanins from Jambolan (Syzygium cumini) Fruit. Starch/Staerke 2021, 73, 2000221. [Google Scholar] [CrossRef]
- Wang, R.; Zhou, J. Waxy Maize Starch Nanoparticles Incorporated Tea Polyphenols to Stabilize Pickering Emulsion and Inhibit Oil Oxidation. Carbohydr. Polym. 2022, 296, 119991. [Google Scholar] [CrossRef]
- Ramos, G.V.C.; Rabelo, M.E.A.; de Pinho, S.C.; Valencia, G.A.; Sobral, P.J.d.A.; Moraes, I.C.F. Dual Modification of Cassava Starch Using Physical Treatments for Production of Pickering Stabilizers. Foods 2024, 13, 327. [Google Scholar] [CrossRef]
- Li, G.; Chen, J.; Zhu, F. Comparative Study of Rheological Properties and Pickering Emulsion Stabilizing Capacity of Nonenyl Succinic Anhydride and Octenyl Succinic Anhydride Modified Amaranth Starches. Int. J. Biol. Macromol. 2023, 253, 126606. [Google Scholar] [CrossRef] [PubMed]
- Jiang, F.; Zhu, Y.; Hu, W.; Li, M.; Liu, Y.; Feng, J.; Lv, X.; Yu, X.; Du, S. Characterization of Quinoa Starch Nanoparticles as a Stabilizer for Oil in Water Pickering Emulsion. Food Chem. 2023, 427, 136697. [Google Scholar] [CrossRef] [PubMed]
- Remanan, M.K.; Zhu, F. Encapsulation of Rutin in Pickering Emulsions Stabilized Using Octenyl Succinic Anhydride (OSA) Modified Quinoa, Maize, and Potato Starch Nanoparticles. Food Chem. 2023, 405, 134790. [Google Scholar] [CrossRef]
- Chen, H.; Jiang, Y.; Zhang, B.; Fang, Y.; Lin, Q.; Ding, Y. Application of Pickering Emulsions Stabilized by Corn, Potato and Pea Starch Nanoparticles: Effect of Environmental Conditions and Approach for Curcumin Release. Int. J. Biol. Macromol. 2023, 238, 124115. [Google Scholar] [CrossRef] [PubMed]
- Matos, M.; Marefati, A.; Barrero, P.; Rayner, M.; Gutierrez, G. Resveratrol Loaded Pickering Emulsions Stabilized by OSA Modified Rice Starch Granules. Food Res. Int. 2021, 139, 109837. [Google Scholar] [CrossRef] [PubMed]
- Shabana, S.; Prasansha, R.; Kalinina, I.; Potoroko, I.; Bagale, U.; Shirish, S.H. Ultrasound Assisted Acid Hydrolyzed Structure Modification and Loading of Antioxidants on Potato Starch Nanoparticles. Ultrason. Sonochem 2019, 51, 444–450. [Google Scholar] [CrossRef] [PubMed]
- Zhang, L.; Xiong, T.; Wang, X.F.; Chen, D.L.; He, X.D.; Zhang, C.; Wu, C.; Li, Q.; Ding, X.; Qian, J.Y. Pickering Emulsifiers Based on Enzymatically Modified Quinoa Starches: Preparation, Microstructures, Hydrophilic Property and Emulsifying Property. Int. J. Biol. Macromol. 2021, 190, 130–140. [Google Scholar] [CrossRef] [PubMed]
- Abdul Hadi, N.; Marefati, A.; Matos, M.; Wiege, B.; Rayner, M. Characterization and Stability of Short-Chain Fatty Acids Modified Starch Pickering Emulsions. Carbohydr. Polym. 2020, 240, 116264. [Google Scholar] [CrossRef]
- Xu, T.; Gu, Z.; Cheng, L.; Li, C.; Li, Z.; Hong, Y. Influence of Degree of Substitution of Octenyl Succinic Anhydride Starch on Complexation with Chitosan and Complex-Stabilized High Internal Phase Pickering Emulsions. Food Hydrocoll. 2023, 139, 108526. [Google Scholar] [CrossRef]
- Hadi, N.A.; Wiege, B.; Stabenau, S.; Marefati, A.; Rayner, M. Comparison of Three Methods to Determine the Degree of Substitution of Quinoa and Rice Starch Acetates, Propionates, and Butyrates: Direct Stoichiometry, FTIR, and 1H-NMR. Foods 2020, 9, 83. [Google Scholar] [CrossRef] [PubMed]
- Wang, R.; Li, M.; Liu, M.; Wang, A.; Strappe, P.; Blanchard, C.; Zhou, Z. Characterization of Pickering Emulsion by SCFAs-Modified Debranched Starch and a Potent for Delivering Encapsulated Bioactive Compound. Int. J. Biol. Macromol. 2023, 231, 123164. [Google Scholar] [CrossRef] [PubMed]
- Wang, N.; Zhang, C.; Li, H.; Zhang, D.; Wu, J.; Li, Y.; Yang, L.; Zhang, N.; Wang, X. Addition of Canna Edulis Starch and Starch Nanoparticles to Stabilized Pickering Emulsions: In Vitro Digestion and Fecal Fermentation. Int. J. Biol. Macromol. 2024, 258, 128993. [Google Scholar] [CrossRef] [PubMed]
- Zheng, W.; Ren, L.; Hao, W.; Wang, L.; Liu, C.; Zheng, L. Encapsulation of Indole-3-Carbinol in Pickering Emulsions Stabilized by OSA-Modified High Amylose Corn Starch: Preparation, Characterization and Storage Stability Properties. Food Chem. 2022, 386, 132846. [Google Scholar] [CrossRef] [PubMed]
- Guo, C.; Geng, S.; Shi, Y.; Yuan, C.; Liu, B. Effect of Sulfuric Acid Hydrolysis on the Structure and Pickering Emulsifying Capacity of Acorn Starch. Food Chem. X 2024, 22, 101277. [Google Scholar] [CrossRef]
- Ramos, G.V.C.; de Pinho, S.C.; Gomes, A.; Dacanal, G.C.; Sobral, P.J.d.A.; Moraes, I.C.F. Designing Pickering Emulsions Stabilized by Modified Cassava Starch Nanoparticles: Effect of Curcumin Encapsulation. Processes 2024, 12, 1348. [Google Scholar] [CrossRef]
- Feng, Y.; Wu, C.; Junejo, S.A.; Zhang, B.; Fu, X.; Tan, C.P.; Huang, Q. Effect of V-Type Crystallinity and Starch Particle Structure on the Oil Loading Capacity and Anti-Oxidation. Carbohydr. Polym. 2022, 297, 120015. [Google Scholar] [CrossRef]
- Feng, Y.; Zhang, B.; Fu, X.; Huang, Q. Starch-Lauric Acid Complex-Stabilised Pickering Emulsion Gels Enhance the Thermo-Oxidative Resistance of Flaxseed Oil. Carbohydr. Polym. 2022, 292, 119715. [Google Scholar] [CrossRef] [PubMed]
- Zhang, L.; Chen, D.L.; Wang, X.F.; Xu, L.; Qian, J.Y.; He, X.D. Enzymatically Modified Quinoa Starch Based Pickering Emulsion as Carrier for Curcumin: Rheological Properties, Protection Effect and in Vitro Digestion Study. Food Biosci. 2022, 49, 101933. [Google Scholar] [CrossRef]
- Noor, N.; Gani, A.; Jhan, F.; Shah, M.A.; Ashraf, Z. Ferulic Acid Loaded Pickering Emulsions Stabilized by Resistant Starch Nanoparticles Using Ultrasonication: Characterization, in Vitro Release and Nutraceutical Potential. Ultrason. Sonochem 2022, 84, 105967. [Google Scholar] [CrossRef] [PubMed]
- Remanan, M.K.; Zhu, F. Encapsulation of Rutin Using Quinoa and Maize Starch Nanoparticles. Food Chem. 2021, 353, 128534. [Google Scholar] [CrossRef] [PubMed]
- Chang, Y.; Yan, X.; Wang, Q.; Ren, L.; Tong, J.; Zhou, J. High Efficiency and Low Cost Preparation of Size Controlled Starch Nanoparticles through Ultrasonic Treatment and Precipitation. Food Chem. 2017, 227, 369–375. [Google Scholar] [CrossRef]
- Wang, Q.; Luan, Y.; Tang, Z.; Li, Z.; Gu, C.; Liu, R.; Ge, Q.; Yu, H.; Wu, M. Consolidating the Gelling Performance of Myofibrillar Protein Using a Novel OSA-Modified-Starch-Stabilized Pickering Emulsion Filler: Effect of Starches with Distinct Crystalline Types. Food Res. Int. 2023, 164, 112443. [Google Scholar] [CrossRef] [PubMed]
- Zhang, R.; Belwal, T.; Li, L.; Lin, X.; Xu, Y.; Luo, Z. Recent Advances in Polysaccharides Stabilized Emulsions for Encapsulation and Delivery of Bioactive Food Ingredients: A Review. Carbohydr. Polym. 2020, 242, 116388. [Google Scholar] [CrossRef] [PubMed]
- Li, W.; Jiao, B.; Li, S.; Faisal, S.; Shi, A.; Fu, W.; Chen, Y.; Wang, Q. Recent Advances on Pickering Emulsions Stabilized by Diverse Edible Particles: Stability Mechanism and Applications. Front. Nutr. 2022, 9, 864943. [Google Scholar] [CrossRef]
- Rayees, R.; Gani, A.; Noor, N.; Ayoub, A.; Ashraf, Z.U. General Approaches to Biopolymer-Based Pickering Emulsions. Int. J. Biol. Macromol. 2024, 267, 131430. [Google Scholar] [CrossRef] [PubMed]
- Albert, C.; Beladjine, M.; Tsapis, N.; Fattal, E.; Agnely, F.; Huang, N. Pickering Emulsions: Preparation Processes, Key Parameters Governing Their Properties and Potential for Pharmaceutical Applications. J. Control. Release 2019, 309, 302–332. [Google Scholar] [CrossRef] [PubMed]
- Pan, J.; Chen, J.; Wang, X.; Wang, Y.; Fan, J. Pickering Emulsion: From Controllable Fabrication to Biomedical Application. Interdiscip. Med. 2023, 1, e20230014. [Google Scholar] [CrossRef]
- Kim, I.; Worthen, A.J.; Johnston, K.P.; DiCarlo, D.A.; Huh, C. Size-Dependent Properties of Silica Nanoparticles for Pickering Stabilization of Emulsions and Foams. J. Nanoparticle Res. 2016, 18, 82. [Google Scholar] [CrossRef]
- Tavacoli, J.W.; Katgert, G.; Kim, E.G.; Cates, M.E.; Clegg, P.S. Size Limit for Particle-Stabilized Emulsion Droplets under Gravity. Phys. Rev. Lett. 2012, 108, 268306. [Google Scholar] [CrossRef] [PubMed]
- Cheng, T.; Zhang, G.; Sun, F.; Guo, Y.; Ramakrishna, R.; Zhou, L.; Guo, Z.; Wang, Z. Study on Stabilized Mechanism of High Internal Phase Pickering Emulsions Based on Commercial Yeast Proteins: Modulating the Characteristics of Pickering Particle via Sonication. Ultrason. Sonochem 2024, 104, 106843. [Google Scholar] [CrossRef]
- Cui, F.; Zhao, S.; Guan, X.; McClements, D.J.; Liu, X.; Liu, F.; Ngai, T. Polysaccharide Based Pickering Emulsion_Formation, Stabilization and Applications. Food Hydrocoll. 2021, 119, 106812. [Google Scholar] [CrossRef]
- Zhang, Z.; Gu, Z.; Li, M.; Liang, S.; Huang, Z.; Zong, M.; Wu, X.; Lou, W. Oxidized High-Amylose Starch as Pickering Stabilizer for Oil-in-Water Emulsion and Delivery of Bioactive Compound. Food Hydrocoll. Health 2022, 2, 100104. [Google Scholar] [CrossRef]
- Li, X.M.; Xie, Q.T.; Zhu, J.; Pan, Y.; Meng, R.; Zhang, B.; Chen, H.Q.; Jin, Z.Y. Chitosan Hydrochloride/Carboxymethyl Starch Complex Nanogels as Novel Pickering Stabilizers: Physical Stability and Rheological Properties. Food Hydrocoll. 2019, 93, 215–225. [Google Scholar] [CrossRef]
- Fonseca-Florido, H.A.; Vázquez-García, H.G.; Méndez-Montealvo, G.; Basilio-Cortés, U.A.; Navarro-Cortés, R.; Rodríguez-Marín, M.L.; Castro-Rosas, J.; Gómez-Aldapa, C.A. Effect of Acid Hydrolysis and OSA Esterification of Waxy Cassava Starch on Emulsifying Properties in Pickering-Type Emulsions. LWT 2018, 91, 258–264. [Google Scholar] [CrossRef]
- Simsek, S.; Ovando-Martinez, M.; Marefati, A.; Sj, M.; Rayner, M. Chemical Composition, Digestibility and Emulsification Properties of Octenyl Succinic Esters of Various Starches. Food Res. Int. 2015, 75, 41–49. [Google Scholar] [CrossRef]
- Zhang, Q.; Zhao, Q.; Zhu, B.; Chen, R.; Zhou, Y.; Pei, X.; Zhou, H.; An, H.; Tan, Y.; Chen, C. Acetalized Starch-Based Nanoparticles Stabilized Acid-Sensitive Pickering Emulsion as a Potential Antitumor Drug Carrier. Int. J. Biol. Macromol. 2023, 244, 125393. [Google Scholar] [CrossRef] [PubMed]
- Hatchell, D.; Song, W.; Daigle, H. Effect of Interparticle Forces on the Stability and Droplet Diameter of Pickering Emulsions Stabilized by PEG-Coated Silica Nanoparticles. J. Colloid. Interface Sci. 2022, 626, 824–835. [Google Scholar] [CrossRef] [PubMed]
- Velásquez-Castillo, L.E.; Leite, M.A.; Ditchfield, C.; Sobral, P.J.d.A.; Moraes, I.C.F. Quinoa Starch Nanocrystals Production by Acid Hydrolysis: Kinetics and Properties. Int. J. Biol. Macromol. 2020, 143, 93–101. [Google Scholar] [CrossRef] [PubMed]
- Han, L.; Li, L.; Liu, G.; Li, B. Starch Stearate as a Novel Encapsulation Wall Material and Its on Oil–Water Interfacial Tension. J. Control Release 2011, 152 (Suppl. 1), e226-7. [Google Scholar] [CrossRef] [PubMed]
- Chakraborty, I.; Rongpipi, S.; Govindaraju, I.; Rakesh, B.; Mal, S.S.; Gomez, E.W.; Gomez, E.D.; Kalita, R.D.; Nath, Y.; Mazumder, N. An Insight into Microscopy and Analytical Techniques for Morphological, Structural, Chemical, and Thermal Characterization of Cellulose. Microsc. Res. Tech. 2022, 85, 1990–2015. [Google Scholar] [CrossRef] [PubMed]
- Vicentini, N.M.; Dupuy, N.; Leitzelman, M.; Cereda, M.P.; Sobral, P.J.A. Prediction of Cassava Starch Edible Film Properties by Chemometric Analysis of Infrared Spectra. Spectrosc. Lett. 2005, 38, 749–767. [Google Scholar] [CrossRef]
- Zanini, M.; Marschelke, C.; Anachkov, S.E.; Marini, E.; Synytska, A.; Isa, L. Universal Emulsion Stabilization from the Arrested Adsorption of Rough Particles at Liquid-Liquid Interfaces. Nat. Commun. 2017, 8, 15701. [Google Scholar] [CrossRef] [PubMed]
- Paiva, A.T.; Oliveira Sequeira, S.; Evtuguin, D.V.; Kholkin, A.; Portugal, I.; Portugal, I. Nanoscale Structure of Cellulosic Materials: Challenges and Opportunities for AFM. In Modern Research and Educational Topics in Microscopy; Formatex: Badajoz, Spain, 2007. [Google Scholar]
- Hosseinali, F.; Thomasson, J.A. Probing of Nanoscale Friction and Mechanical Characteristics of Cotton Fiber’s Surface. Fibers 2019, 7, 64. [Google Scholar] [CrossRef]
- Shabir, I.; Hussain, A.; Kumar, K.; Srivastava, S.; Kumar, V.; Manzoor, S.; Manzoor, S.; Bashir, I. Formulation, Characterization, and Applications of Organic Pickering Emulsions: A Comprehensive Review. J. Agric. Food Res. 2023, 14, 100853. [Google Scholar] [CrossRef]
- Kempin, M.V.; Drews, A. What Governs Pickering Emulsion Properties During Preparation via Batch Rotor-Stator Homogenizers? Chem. Ing. Tech. 2021, 93, 311–317. [Google Scholar] [CrossRef]
- Ramos, G.V.C.; Suzigan, A.R.; Pinho, S.C.; Moraesa, I.C.F. Impact of Emulsification Time and Concentration of Modified Starch Nanoparticles on Pickering Stability. Chem. Eng. Trans. 2023, 102, 247–252. [Google Scholar] [CrossRef]
- Wang, S.; Xiang, Z. Highly Stable Pickering Emulsions with Xylan Hydrate Nanocrystals. Nanomaterials 2021, 11, 2558. [Google Scholar] [CrossRef] [PubMed]
- Juttulapa, M.; Piriyaprasarth, S.; Takeuchi, H.; Sriamornsak, P. Effect of High-Pressure Homogenization on Stability of Emulsions Containing Zein and Pectin. Asian J. Pharm. Sci. 2017, 12, 21–27. [Google Scholar] [CrossRef]
- Yuan, Q.; Cayre, O.J.; Manga, M.; Williams, R.A.; Biggs, S. Preparation of Particle-Stabilized Emulsions Using Membrane Emulsification. Soft Matter 2010, 6, 1580–1588. [Google Scholar] [CrossRef]
- Sun, G.; Qi, F.; Wu, J.; Ma, G.; Ngai, T. Preparation of Uniform Particle-Stabilized Emulsions Using SPG Membrane Emulsification. Langmuir 2014, 30, 7052–7056. [Google Scholar] [CrossRef] [PubMed]
- Chutia, H.; Mahanta, C.L. Properties of Starch Nanoparticle Obtained by Ultrasonication and High Pressure Homogenization for Developing Carotenoids-Enriched Powder and Pickering Nanoemulsion. Innov. Food Sci. Emerg. Technol. 2021, 74, 102822. [Google Scholar] [CrossRef]
- Zhou, Z.; Liang, Z.; Zhang, Y.; Hu, H.; Gan, T.; Huang, Z. Facile Solid-Phase Synthesis of Starch-Fatty Acid Complexes via Mechanical Activation for Stabilizing Curcumin-Loaded Pickering Emulsions. Food Res. Int. 2023, 166, 112625. [Google Scholar] [CrossRef] [PubMed]
- Song, J.; Li, H.; Shang, W.; Wang, H.; Tan, M. Fabrication and Characterization of Pickering Emulsion Gels Stabilized by Gliadin/Starch Complex for the Delivery of Astaxanthin. Food Hydrocoll. 2023, 137, 108388. [Google Scholar] [CrossRef]
- Feng, T.; Hu, Z.; Wang, K.; Zhu, X.; Chen, D.; Zhuang, H.; Yao, L.; Song, S.; Wang, H.; Sun, M. Emulsion-Based Delivery Systems for Curcumin: Encapsulation and Interaction Mechanism between Debranched Starch and Curcumin. Int. J. Biol. Macromol. 2020, 161, 746–754. [Google Scholar] [CrossRef]
- Owens, C.; Griffin, K.; Khouryieh, H.; Williams, K. Creaming and Oxidative Stability of Fish Oil-in-Water Emulsions Stabilized by Whey Protein-Xanthan-Locust Bean Complexes: Impact of PH. Food Chem. 2018, 239, 314–322. [Google Scholar] [CrossRef]
- Dammak, I.; do Amaral Sobral, P.J. Investigation into the Physicochemical Stability and Rheological Properties of Rutin Emulsions Stabilized by Chitosan and Lecithin. J. Food Eng. 2018, 229, 12–20. [Google Scholar] [CrossRef]
- Wanyi, W.; Lu, L.; Zehan, H.; Xinan, X. Comparison of Emulsifying Characteristics of Different Macromolecule Emulsifiers and Their Effects on the Physical Properties of Lycopene Nanoemulsions. J. Dispers. Sci. Technol. 2020, 41, 618–627. [Google Scholar] [CrossRef]
- Lewis, D. MICROSCOPY|Confocal Laser Scanning Microscopy. In Encyclopedia of Food Microbiology; Academic Press: Cambridge, MA, USA, 1999; pp. 1389–1396. [Google Scholar]
- Li, S.; Zhang, B.; Li, C.; Fu, X.; Huang, Q. Pickering Emulsion Gel Stabilized by Octenylsuccinate Quinoa Starch Granule as Lutein Carrier: Role of the Gel Network. Food Chem. 2020, 305, 125476. [Google Scholar] [CrossRef] [PubMed]
- Kupikowska-Stobba, B.; Domagała, J.; Kasprzak, M.M. Critical Review of Techniques for Food Emulsion Characterization. Appl. Sci. 2024, 14, 1069. [Google Scholar] [CrossRef]
- Chivero, P.; Gohtani, S.; Yoshii, H.; Nakamura, A. Assessment of Soy Soluble Polysaccharide, Gum Arabic and OSA-Starch as Emulsifiers for Mayonnaise-like Emulsions. LWT 2016, 69, 59–66. [Google Scholar] [CrossRef]
- Zhao, Z.; Liu, H.; Tang, J.; He, B.; Yu, H.; Xu, X.; Li, C.; Wang, C.; Liu, Y.; Su, Y.; et al. Pork Preservation by Antimicrobial Films Based on Potato Starch (PS) and Polyvinyl Alcohol (PVA) and Incorporated with Clove Essential Oil (CLO) Pickering Emulsion. Food Control 2023, 154, 109988. [Google Scholar] [CrossRef]
- Wigati, L.P.; Wardana, A.A.; Jothi, J.S.; Leonard, S.; Van, T.T.; Yan, X.; Tanaka, F.; Tanaka, F. Preserving Mandarin Quality during Ambient Storage Using Edible Coatings of Pregelatinized Corn Starch Pickering Emulsions and Essential Oil. Food Biosci. 2023, 53, 102710. [Google Scholar] [CrossRef]
- Wang, R.; Yao, L.; Peng, S.; Liu, Z.; Zhu, X.; Li, H.; Xu, D.; Zhang, J.; Mo, H.; Hu, L. An “Intelligent -Responsive” Bactericidal System Based on OSA-Starch Pickering Emulsion. Int. J. Biol. Macromol. 2023, 235, 123808. [Google Scholar] [CrossRef]
- Chen, Q.J.; Zhang, P.; You, N.; Xu, Y.N.; Zhang, Y.Z.; Luan, P.C.; Lin, B.P.; Wang, Z.M.; Zhang, L. Preparation and Characterization of Corn Starch-Based Antimicrobial Indicator Films Containing Purple Corncob Anthocyanin and Tangerine Peel Essential Oil for Monitoring Pork Freshness. Int. J. Biol. Macromol. 2023, 251, 123808. [Google Scholar] [CrossRef]
- Sun, H.; Li, S.; Chen, S.; Wang, C.; Liu, D.; Li, X. Antibacterial and Antioxidant Activities of Sodium Starch Octenylsuccinate-Based Pickering Emulsion Films Incorporated with Cinnamon Essential Oil. Int. J. Biol. Macromol. 2020, 159, 696–703. [Google Scholar] [CrossRef] [PubMed]
- Yang, T.; Zheng, J.; Zheng, B.S.; Liu, F.; Wang, S.; Tang, C.H. High Internal Phase Emulsions Stabilized by Starch Nanocrystals. Food Hydrocoll. 2018, 82, 230–238. [Google Scholar] [CrossRef]
- Li, J.; Klaassen, C.; Li, P.; Kierulf, A.; Yaghoobi, M.; Khazdooz, L.; Zarei, A.; Smoot, J.; Joo, Y.L.; Abbaspourrad, A. Using Gas-Assisted Electrospinning to Design Rod-Shaped Particles from Starch for Thickening Agents and Pickering Emulsifiers. Carbohydr. Polym. 2025, 348, 122902. [Google Scholar] [CrossRef]
- Li, Q.; Huang, Y.; Du, Y.; Chen, Y.; Wu, Y.; Zhong, K.; Huang, Y.; Gao, H. Food-Grade Olive Oil Pickering Emulsions Stabilized by Starch/β-Cyclodextrin Complex Nanoparticles: Improved Storage Stability and Regulatory Effects on Gut Microbiota. LWT 2022, 155, 112950. [Google Scholar] [CrossRef]
- Rayees, R.; Gani, A.; Gani, A.; Muzzaffar, S. Water Chestnut Starch Nanoparticle Pickering Emulsion for Enhanced Apricot Seed Oil Stability: A Sustainable Functionality Approach. Int. J. Biol. Macromol. 2024, 282, 137110. [Google Scholar] [CrossRef]
- Amrani, M.; Pourshamohammad, S.; Tabibiazar, M.; Hamishehkar, H.; Mahmoudzadeh, M. Antimicrobial Activity and Stability of Satureja Khuzestanica Essential Oil Pickering Emulsions Stabilized by Starch Nanocrystals and Bacterial Cellulose Nanofibers. Food Biosci. 2023, 55, 103016. [Google Scholar] [CrossRef]
- Guo, C.; Han, F.; Geng, S.; Shi, Y.; Ma, H.; Liu, B. The Physicochemical Properties and Pickering Emulsifying Capacity of Acorn Starch. Int. J. Biol. Macromol. 2023, 239, 124289. [Google Scholar] [CrossRef] [PubMed]
- Wu, H.; Wang, J.; Li, T.; Lei, Y.; Peng, L.; Chang, J.; Li, S.; Yuan, X.; Zhou, M.; Zhang, Z. Effects of Cinnamon Essential Oil-Loaded Pickering Emulsion on the Structure, Properties and Application of Chayote Tuber Starch-Based Composite Films. Int. J. Biol. Macromol. 2023, 240, 124444. [Google Scholar] [CrossRef] [PubMed]
- Zhao, Q.; Fan, L.; Li, J. Biopolymer-Based Pickering High Internal Phase Emulsions: Intrinsic Composition of Matrix Components, Fundamental Characteristics and Perspective. Food Res. Int. 2023, 165, 112458. [Google Scholar] [CrossRef] [PubMed]
Disclaimer/Publisher’s Note: The statements, opinions and data contained in all publications are solely those of the individual author(s) and contributor(s) and not of MDPI and/or the editor(s). MDPI and/or the editor(s) disclaim responsibility for any injury to people or property resulting from any ideas, methods, instructions or products referred to in the content. |
© 2025 by the authors. Licensee MDPI, Basel, Switzerland. This article is an open access article distributed under the terms and conditions of the Creative Commons Attribution (CC BY) license (https://creativecommons.org/licenses/by/4.0/).













