Next Article in Journal
Reinforcement-Learning-Based Decision Support for Industrial Enterprise Employees’ Digital Twin Management System
Previous Article in Journal
Intensified CO2 Absorption Process Using a Green Solvent: Rate-Based Modelling, Sensitivity Analysis, and Scale-Up
 
 
Font Type:
Arial Georgia Verdana
Font Size:
Aa Aa Aa
Line Spacing:
Column Width:
Background:
Article

Experimental and Modeling Study of Acetonitrile Separation from Water with Ionic Liquids: VLE Data for Binary and Ternary Systems

1
PetroChina Petrochemical Research Institute, Beijing 102206, China
2
Department of Chemistry and Chemical Engineering, Jining University, Qufu 273100, China
3
State Key Laboratory of Chemical Engineering, Department of Chemistry, East China University of Science and Technology, 130 Meilong Road, Shanghai 200237, China
4
Jiangsu Key Laboratory of Advanced Catalytic Materials and Technology, School of Petrochemical Engineering, Changzhou University, Changzhou 213164, China
*
Authors to whom correspondence should be addressed.
Processes 2025, 13(12), 3776; https://doi.org/10.3390/pr13123776 (registering DOI)
Submission received: 12 October 2025 / Revised: 11 November 2025 / Accepted: 19 November 2025 / Published: 22 November 2025
(This article belongs to the Section Chemical Processes and Systems)

Abstract

The vapor–liquid equilibrium (VLE) data of the binary acetonitrile + water system and three ternary systems containing ionic liquids (ILs): acetonitrile + water + 1-butyl-3-methylimidazolium chloride ([C4mim][Cl]), + 1-butyl-3-methylimidazolium tetrafluoroborate ([C4mim][BF4]), and + 1-hexyl-3-methylimidazolium chloride ([C6mim][Cl]) were experimentally measured at low pressures. In addition, the literature VLE data for the binary systems acetonitrile + [C4mim][Cl], acetonitrile + [C4mim][BF4], and acetonitrile + [C6mim][Cl] were adopted for model correlation. The NRTL and e-NRTL models were employed to correlate the binary data. The experimental results demonstrate that the presence of ILs causes a pronounced salting-out effect on acetonitrile, significantly increasing its relative volatility with respect to water. The separation performance of the three ILs for the acetonitrile + water mixture decreases in the order: [C4mim][Cl] > [C6mim][Cl] > [C4mim][BF4].

1. Introduction

Acetonitrile is an important chemical raw material [1] that is widely used as an extraction solvent in organic synthesis [2], the petroleum industry, and pharmaceuticals [3]. To ensure the purity of acetonitrile, during the process, the separation of acetonitrile–water mixtures is required. However, acetonitrile–water mixtures form a typical azeotropic system, with an azeotropic temperature of approximately 76 °C at atmospheric pressure and an azeotropic composition of 16% water and 84% acetonitrile by mass [4]. Conventional distillation methods cannot effectively separate them [4,5,6], necessitating specialized techniques. To address this, various separation methods have been developed, including heterogeneous azeotropic distillation, extractive distillation, pervaporation, and extractive distillation [7,8,9]. Among these, extractive distillation is widely applied due to its high energy efficiency and operational flexibility.
In the extractive distillation process, selecting an appropriate entrainer is crucial for the design. Traditional organic entrainers, such as ethylene glycol (EG) [10,11], dimethyl sulfoxide (DMSO) [10,12], and glycerol [1], are commonly used for the separation of acetonitrile and water. For example, DMSO can effectively disrupt the key hydrogen bonding interactions in the acetonitrile–water azeotropic system, thereby increasing the relative volatility of acetonitrile and breaking the azeotropic behavior. However, the practical application of these entrainers is limited by their volatility, high toxicity, and difficulties in recovery.
In the acetonitrile and water system, the addition of salt-based extractants can improve the separation of an azeotropic mixture through the salt effect [13]. However, in practical operations, using solid salts as extractants alone presents challenges such as solid salt handling, corrosion of metals, and crystallization, which may lead to pipeline blockages. As a novel type of solvent, ionic liquids (ILs) possess unique properties, including negligible volatility, near-zero vapor pressure, and the ability to form various combinations of asymmetric organic cations with organic or inorganic anions [14,15,16,17,18]. These features make ILs particularly attractive as entrainers in separation processes, as they can enhance selectivity and efficiency in systems such as acetonitrile + water [16,18,19,20,21].
Li et al. [22] validated through COSMO-RS calculations and experimental measurements that [Emim][OAc] and [Emim][Pro] are effective entrainers for the separation of acetonitrile and water. Fang et al. [19] and Li et al. [20] measured the isobaric VLE data for the ternary system of acetonitrile + water + [C4mim][BF4] at atmospheric pressure to investigate the influence of ILs on the phase behavior of the mixture. Their results showed that [C4mim][BF4] has a limited effect on enhancing the relative volatility of acetonitrile. But its aqueous solution exhibits lower viscosity [23,24] and surface tension [25], which can improve mass transfer performance and enhance operational efficiency in industrial applications. Meanwhile, another study by Li et al. [16] demonstrated that [C4mim][Cl] and [C6mim][Cl] exhibit superior separation performance for acetonitrile, effectively eliminating the azeotrope of the acetonitrile + water system.
However, most previous studies have focused on atmospheric pressure systems, while the VLE behavior of acetonitrile + water + ILs under reduced pressures remains largely unexplored. Theoretically, operating under reduced pressure can further improve the separation efficiency of acetonitrile and even eliminate the azeotropic behavior, offering a new pathway for more efficient industrial separations. Moreover, existing research has primarily centered on ternary systems, with limited data available for binary systems such as acetonitrile + ILs, which are essential for understanding the fundamental interactions between acetonitrile and ILs.
In this work, three ILs ([C4mim][Cl], [C6mim][Cl], and [C4mim][BF4]) were selected as entrainers. Chloride and tetrafluoroborate anions were chosen because Cl exhibits stronger hydrophilicity and hydrogen-bonding ability than BF4 [26], allowing the evaluation of anion effects on phase behavior and selectivity. The [C4mim]+ and [C6mim]+ cations were selected as representative imidazolium cations with medium-length alkyl chains, providing a balance between polarity and viscosity. Previous studies have shown that for the acetonitrile + water system, [Emim]+ exhibits a stronger salting-out effect than [Bmim]+ [18], motivating us to further investigate the performance of [C4mim]+ and [C6mim]+.
The VLE data of the binary systems (acetonitrile + ILs) were adopted from the literature [27] to explore the interaction mechanisms between ILs and acetonitrile. Meanwhile, the VLE data of the ternary systems (acetonitrile + water + ILs) were determined under different reduced pressures. The combination of these three ILs allows comparison of the effects of cation alkyl chain length and anion type on separation performance, enriching the available literature data, particularly for VLE behavior under reduced pressure. Furthermore, the NRTL model [16,18,19,20] and e-NRTL model [28,29,30], whose accuracy and applicability have been validated in many previous studies, were employed to correlate and predict the experimental data, providing a quantitative description of the thermodynamic behavior of the acetonitrile–water–ILs systems. The results of this study are significant for understanding the separation behavior of binary and ternary systems under reduced pressure, elucidating the effect of pressure on relative volatility, and providing valuable insights for the design of industrial separation processes.

2. Experimental Section

2.1. Chemicals

The chemical reagents used in this work included water, acetonitrile, and three ILs. The chemical structures and basic properties of the used ILs are presented in Table 1.
Ultrapure water (conductivity < 0.06 μS/cm, resistivity 18.2 M Ω c m at 25 °C) was used without further purification. Acetonitrile (mass fraction ≥ 0.999) was analyzed by gas chromatography (A91 Pro, Panna, Changzhou, China), and no significant impurities were detected, so it was used without further purification. The ILs (mass fraction > 0.990) were degassed using a rotary evaporator (DZFY-1, Kexingyiqi, Shanghai, China) and dehydrated in a vacuum drying oven (DHG-9023A, Jinghongsh, Shanghai, China; pressure 0–5 kPa) at 353.15 K for at least 24 h [20] before use. The water content in the chemical reagents and ILs was determined using a coulometric Karl Fischer titrator (Model KF 831, Metrohm AG, Herisau, Switzerland). The basic specifications of the chemicals used in the experiment are listed in Table 2.

2.2. Apparatus and Procedure

The VLE data for binary and ternary mixtures were measured using a glass equilibrium apparatus (self-designed and constructed in-house), as described in the literature [32]. A schematic diagram of the apparatus is provided in Figure S1 of the Supplementary Material (SI). The setup consisted of a vacuum system, a thermostatic bath, and a measurement system. Prior to each experiment, the equilibrium cell was prepared and loaded, and temperature and pressure measurements were calibrated and corrected to ensure reliable VLE data (see Supplementary Material for details).
A liquid sample with a known total amount nT and the total mole fraction zi of each component was injected into the equilibrium cell (volume 45 cm3). Typically, about 18 cm3 of liquid was injected, leaving a vapor phase volume of approximately 27 cm3. To remove dissolved gases and volatile impurities, the liquid sample was subjected to freeze–degas–thaw cycles. The sample was rapidly frozen in a liquid nitrogen bath, after which the gases in the equilibrium system were evacuated until the pressure dropped below 7 Pa. The frozen sample was then thawed in a warm water bath. This procedure was typically repeated three times to ensure effective removal of residual gases. The total mass and composition of the sample were checked before and after degassing, showing negligible changes, indicating that the procedure did not affect the final VLE measurements. The equilibrium cell was subsequently immersed in a thermostatted water bath, where the temperature was maintained within a tolerance of ±0.05 K using a precision temperature controller. Equilibrium was deemed reached when the temperature (T) and pressure (P) remained stable for a predefined duration (typically 1 h). The equilibrium T, P, nT, zi, liquid phase volume V L were recorded. The vapor-phase volume V G was obtained as the difference between the total cell volume and the equilibrium liquid volume ( V G = 45 V L ). For each temperature, measurements were repeated three times to ensure reliability. The quality of the experimental data was rigorously validated through three key checks: (1) equilibrium confirmation: temperature and pressure were monitored continuously, with readings considered stable if their fluctuations were within ±1.0% over a 5 min interval; (2) reproducibility assessment: triplicate measurements at each temperature yielded standard deviations of <0.5% for pressure and <0.02 K for temperature, confirming data consistency; (3) degassing effectiveness: repeated freeze–thaw cycles were confirmed to remove virtually all dissolved gases and volatile impurities, as evidenced by negligible changes in sample mass and composition (<0.1% relative deviation) before and after degassing. Collectively, these validation steps ensured the accuracy and reliability of the collected VLE data. The compositions of the liquid and vapor phases, and other properties, were determined using a thermodynamic model.
For each component i, mass-balance requires that
n T z i = n G y i + n L x i
where n G and n L are the vapor and liquid phase mole numbers, and y i and x i are the corresponding mole fractions in the vapor and liquid phases, respectively. The moles in liquid and vapor phases, and liquid phase composition can be calculated by Equation (2), Equation (3), and Equation (4), respectively.
n G = f · n T    
n L = n T     n G
x i = z i f y i 1 f
where f is the vapor-phase fraction, defined by
f = V G V m G · n T
where V m G is the molar volume of the vapor phase, the experiments were conducted at low pressures. Under these conditions, the V m G was calculated using the ideal gas law ( V m G = R T P ). The initial compositions were calculated using mass-balance and phase-fraction relations and then iteratively updated via the NRTL model to satisfy VLE conditions (see Figure S2 for details).
For acetonitrile + IL systems, the volatility of the IL was negligible, and thus the vapor phase was essentially composed entirely of acetonitrile, which simplified the calculations. The ILs used in the experiment were recovered at the end using a rotary evaporator for cost-saving purposes.
The reliability of the apparatus was validated using both pure component and acetonitrile (1) + H2O (2) binary system. The saturated vapor pressure data of the acetonitrile was measured and compared with literature data [33,34,35,36]. The results are in excellent agreement with literature data. Subsequently, the binary mixture experimental VLE data were compared to literature values [37]. As shown in Figure S3, the experimental and literature data exhibit excellent agreement in both the total pressure–liquid phase composition (P − x) and pressure-vapor-phase composition (P − y) correlations, confirming the accuracy and reliability of the present measurements. More details can be found in Tables S1 and S2, and Figure S4 in the Supplementary Material.

2.3. Uncertainty in Experiment

The uncertainties are primarily determined by the recorded data of the temperature, pressure, and composition (T, P, and x1). The calculation method of the uncertainties is based on the literature [38,39]. The deviation in the liquid phase composition is mainly from the uncertainty of the balance and the molar fraction values used in the calculation process. The electronic balance had a precision of ±0.1 mg. The deviation in the vapor phase composition primarily results from errors in the measured temperature, pressure, and liquid composition.
The temperature fluctuations of the thermostatic water bath were measured as ± 0.05 K. The standard uncertainty for the water bath temperature ( u T 1 ) is calculated as u T 1 = 0.05 / 3 = 0.0289   K . The accuracy of the mercury thermometer is ±0.02 K, and the standard uncertainty of the thermometer ( u T 2 ) is calculated as u T 2 = 0.02 / 3 = 0.0115   K . The standard deviation (s) of temperature measurements over three repetitions was included, with a typical value of s = 0.02 K. Therefore, the standard uncertainty of the temperature measurement is
u T = u T 1 2 + u T 2 2 + s 2 = 0.037   K
The uncertainty in the measurement of the mercury column height is ±0.02 mm, and the pressure corresponding to each mm of the mercury column is 1.36 kPa. Therefore, the uncertainty in pressure is
u P = 0.02   m m × 1.36   k P a m m = 0.027   k P a
In addition to the instrument uncertainty, the overall pressure uncertainty also includes contributions from variations in the sample composition (mole fractions), temperature fluctuations, and other experimental factors. The combined standard uncertainties were used in the calculation of all reported thermodynamic properties and are consistently reported in the table footnotes.

3. Results and Discussion

3.1. Modeling

The phase equilibrium data were correlated using an activity coefficient model. When the experiment is conducted under low-pressure conditions, the vapor–liquid phase equilibrium criterion can be rewritten as follows:
P y i φ i v = x i γ i P i s exp V i L P P i s R T
where T and P are the equilibrium temperature and pressure of the mixture; x i and y i the mole fractions of component i in the liquid and vapor phases. φ i the fugacity coefficient in vapor phase and γ i the activity coefficient of component i in liquid phase, respectively. At low pressure (<10 bar), the vapor phase can be treated as an ideal gas, so φ i and exp V i L P P i s R T are both close to 1. Equation (8) can be rewritten as follows:
y i = γ i x i P i s
γ i = P y i x i P i s
α 12 = y 1 / x 1 y 2 / x 2
where P i s is the saturated vapor pressure, which can be calculated with the Antoine equation as
ln P i s / k P a = A B T / K + C
where the parameters of acetonitrile (A = 15.1096, B = 3522.624, C = −18.758) were obtained by fitting experimental data, and those of water (A = 16.287, B = 3821.520, C = −45.663) were taken from the literature [40].

3.1.1. NRTL Model

In this work, two thermodynamic models were considered to calculate the activity coefficients of the solvents. In the first model, it is assumed that the ILs do not dissociate in the solvents and remain as neutral molecular species. In this case, the VLE data were correlated with the non-random two-phase (NRTL) model [41,42] due to its excellent applicability for IL-containing systems [43,44,45]. The general equation for γ i of species i in a mixture is
l n γ i = j = 1 n x i τ j i G j i k = 1 n x k G k i + j = 1 n x j G i j k = 1 n x k G k j τ i j m = 1 n x m τ m j G m j k = 1 n x k G k j
With
G j i = e x p α j i τ j i ,   τ i j = A i j + B i j T  
where τ i j is the dimensionless interaction parameter between component i and j, α j i is the non-random parameter for the mixture system. For the binary system, there are 5 adjustable parameters ( α 12 = α 21 ,   A 12 ,   A 21 ,   B 12 ,   B 21 ), and for the ternary system, other 10 parameters ( α 13 ,   α 23 ,   A 13 ,   A 23 ,   A 31 , A 32 ,   B 13 ,   B 23 ,   B 31 , B 32 ) are included. The parameters were obtained from VLE data and used Simplex method with the following objective function:
O F = i = 1 n P i e x p P i c a l P i e x p 2
where n is the number of experimental points, the superscripts of ‘exp’ and ‘cal’ severally represent the theoretical and experimental results.

3.1.2. e-NRTL Model

The e-NRTL model is the second thermodynamic model employed in this work, which assumes that the ILs are fully dissociated in aqueous solutions. In this case, the ILs + solvent system is treated as a multicomponent mixture consisting of solvent molecules, cations, and anions. In the e-NRTL model, the excess Gibbs free energy is expressed as the sum of two contributions: the long-range electrostatic term, represented by the Pitzer–Debye–Hückel (PDH) equation ( G * E , P D H ), and the short-range local composition term ( G * E , l c ), described by the NRTL equation. The PDH term [28,29] is expressed as
G * E , P D H R T = i x i 1000 M s 1 2 4 A φ I x ρ ln 1 + ρ I x 1 2
where
I x = 1 2 i x i z i 2
where x i is the mole fraction of ionic species i (i = cation, anion), M s is the molecular weight of the solvent, and ρ is the “closest approach” parameter, fixed at 14.9. A φ denotes the Debye–Hückel constant [40]. I x represents the ionic strength on the mole fraction scale, and z i is the charge number of ion i. In the case of a solvent + salt system, the short-range (local composition) term [28,29] is expressed as follows:
G * E , lc RT =   X s X cs + X as τ ca , s + X c X sc τ s , ca + X a X sa τ s , ca X c τ s , ca + G cs τ ca , s X a τ s , ca + G as τ ca , s
where
G i j = α τ i j ,     G j i , k i = α τ j i , k i
X i = c i x i , X is = X i G is X a G as + X c G cs +   X s ,   i = s ,   c ,   a
X i is the effective local mole fraction of species i: for ions   c i =| z i |, and for molecules   c i = 1 . The parameter α is the non-randomness factor. The parameters τ i j and τ j i , k i are expressed as
τ c a , s = A 12 + B 12 T
τ s , c a = A 21 + B 21 T
and τ a s = τ c s = τ c a , s , τ s c , a c = τ s a , c a = τ s , c a . Further details on the e-NRTL model, especially the expressions of the activity coefficients, can be found elsewhere [28,29,30]. The parameters were obtained by fitting the VLE data using the downhill simplex method, with the same objective function as that employed for the NRTL model.

3.2. Binary Systems

3.2.1. Acetonitrile + Water

The VLE data for the binary mixture of acetonitrile (1) + water (2) were determined at different temperatures ranging from 313.15 to 353.15 K. The experimental data are summarized in Table S1. The observed phase behavior is in good agreement with previously reported for the acetonitrile + water system, including VLE data at low acetonitrile mole fractions [46], as well as data measured at atmospheric pressure [16,47]. Moreover, a comparison with the literature VLE data at 303.13 K [48] shows excellent consistency with our results, demonstrating that both the trends and quantitative values are well captured. These comparisons further confirm the reliability and accuracy of our measurements across a range of experimental conditions.
As illustrated in Figure 1, the acetonitrile + water system exhibits a distinct azeotropic point, and the azeotropic composition shifts towards lower mole fractions of acetonitrile with increasing temperature. This behavior arises from the weakening of hydrogen bonding (between the nitrogen atom of acetonitrile and the hydrogen atom of water) and dipole–dipole interactions as temperature increases. These interactions originally constrain water molecules and suppress their volatility. When they weaken at higher temperatures, the volatility of water increases more significantly than that of acetonitrile, leading to an azeotropic composition richer in water. From a thermodynamic viewpoint, the azeotropic composition can shift with temperature but cannot be eliminated under conventional distillation conditions. Therefore, even under reduced pressure, the acetonitrile–water mixture remains difficult to separate completely. ILs, as promising separation agents, possess unique tunable intermolecular interactions that can significantly modify the volatility and phase equilibrium of such systems [19,20]. Therefore, ILs may overcome the limitations of traditional separation processes and eliminate the azeotrope of the acetonitrile + water system.

3.2.2. Binary Acetonitrile + IL Systems

To evaluate the influence of ILs on the phase behavior of acetonitrile, the VLE data of the binary systems acetonitrile (1) + [C4mim][Cl] (2), acetonitrile (1) + [C4mim][BF4] (2), and acetonitrile (1) + [C6mim][Cl] (2) were compiled from literature sources. These data were employed to correlate the systems using the NRTL and e-NRTL models. The resulting analysis provides a consistent foundation for assessing the effects of cationic alkyl chain length and anion type on the volatility of acetonitrile under reduced pressure conditions. The corresponding data are presented in Table 3, Table 4 and Table 5.

3.2.3. Modeling and Discussion

In this work, both the NRTL and e-NRTL models were employed to correlate the VLE data. For each binary system, a five-parameter regression was performed for each model to optimize the correlation and ensure accurate representation of the phase behavior. The optimized model parameters are summarized in Table 6.
In this work, as shown in Figure 2a–c, it is found that both models (NRTL and e-NRTL) lead to a satisfactory description of the data. In the binary acetonitrile–IL systems, the equilibrium pressure decreases with increasing IL mole fraction at the same temperature. This is due to stronger solvation and network formation by IL molecules in the liquid phase, which reduces the activity coefficient of acetonitrile. For the two chloride-based ILs ([C4mim][Cl] and [C6mim][Cl]), at similar composition and temperature, [C4mim][Cl] exhibits lower equilibrium pressure than [C6mim][Cl], indicating that the shorter alkyl chain enhances the interaction between the cation and acetonitrile. For systems with the same cation ([C4mim][Cl] and [C4mim][BF4]), [C4mim][Cl] shows higher equilibrium pressure. Although BF4− is larger, less polarizable, and loosely associated with the cation, it can form a specific ion–dipole or F C N interactions with acetonitrile, which more strongly restricts its volatility. In contrast, the smaller Cl forms a tighter local ionic network but interacts less directly with acetonitrile, resulting in a higher activity coefficient and thus higher equilibrium pressure for [C4mim][Cl]. In summary, the equilibrium pressure trends reflect a balance between ionic network structure, specific ion–solvent interactions, and alkyl chain effects.
To further understand the trends observed in Figure 2, the activity coefficients of acetonitrile were analyzed, as shown in Figure 3. The activity coefficient decreases with increasing IL concentration for all three ILs, indicating a negative deviation from ideality. This behavior is consistent with the pressure trends: as the activity coefficient decreases, the equilibrium pressure correspondingly drops. The influence of IL type on acetonitrile activity follows the order: [C4mim][BF4] > [C4mim][Cl] > [C6mim][Cl]. For ILs with the same cation, the effect of the anion follows [Cl] < [BF4], as the larger, more polarizable [BF4] interacts more strongly with acetonitrile. For ILs with the same anion, the effect of the cation follows the order [C4mim]+ > [C6mim]+, due to increased steric repulsion from longer alkyl chains. At the molecular level, these trends reflect hydrogen bonding, ion–dipole interactions, and steric effects, which collectively govern acetonitrile activity and volatility. Similar behavior is observed at other temperatures, emphasizing the role of IL structure in modulating acetonitrile volatility. These findings suggest that selecting ILs with tailored intermolecular interactions can enhance acetonitrile–water separation. Note that these effects pertain only to binary systems; ternary systems with water require comprehensive consideration of all component interactions to determine the most effective IL.

3.3. Ternary Systems

3.3.1. Ternary Acetonitrile + Water + ILs Systems

The ternary VLE data of acetonitrile (1) + H2O (2) + [C4mim][Cl] (3), + [C4mim][BF4] (3), and + [C6mim][Cl] (3) were experimentally measured under different pressures, with the mole fraction of IL approximately 0.20. The measured data are summarized in Table 7, Table 8 and Table 9, where α represents the relative volatility. These datasets provide a consistent basis for analyzing the effect of ILs on the VLE behavior of acetonitrile and its mixtures with water. The ternary VLE data were correlated using the MRTL model, and the model parameters were taken from the literature [27].

3.3.2. Acetonitrile + Water + ILs Systems Discussion

Since the vapor phase composition was not directly measured, the NRTL model performance was evaluated by comparing calculated pressures with experimental values. The predictions showed that the total average relative deviation of pressure for the acetonitrile (1) + H2O (2) + [C4mim][Cl] (3)/[C4mim][BF4] (3)/[C6mim][Cl] (3) was 9.11%, 3.95%, 9.86%, respectively. Compared to binary systems, the deviations for ternary systems were slightly larger, but these results obtained purely from predictions are still satisfactory. The calculated values can be found in Table 7, Table 8 and Table 9.
Adding ILs to the acetonitrile–water system markedly alters the liquid phase molecular interactions. In the binary acetonitrile–IL mixtures, strong specific interactions such as hydrogen bonding between the acetonitrile molecules and the imidazolium cations, anions result in decreased activity coefficients of acetonitrile. However, in the ternary systems, the introduction of water changes the interaction balance: water, being a stronger hydrogen bond donor and acceptor, preferentially interacts with both the cation and the anion of the IL, thereby weakening the acetonitrile–IL interactions and increasing the relative volatility of acetonitrile.
This trend is quantitatively reflected in the activity coefficients. For [C4mim][Cl] and [C6mim][Cl], acetonitrile exhibits γ > 1 while water exhibits γ < 1 , indicating that acetonitrile is relatively less stabilized in the liquid phase, favoring its transfer to the vapor phase. Moreover, the γ value of acetonitrile in the [C4mim][Cl] system is larger than that in the [C6mim][Cl] system (within the same order of magnitude), suggesting that a shorter butyl chain enhances the polar–polar interactions between the IL and water while reducing the hydrophobic association with acetonitrile. Conversely, water in [C4mim][Cl] shows a smaller γ value than in [C6mim][Cl], confirming that a shorter alkyl chain strengthens the solvation of water by the IL when the anion (Cl) is held constant.
In contrast, for [C4mim][BF4], both acetonitrile and water show γ > 1 and their activity coefficients are close in magnitude, implying weaker selective interactions and limited capacity for preferential solvation. This behavior arises from the lower hydrogen-bond basicity and reduced hydrophilicity of the BF4− anion compared with Cl. Additionally, the highly symmetric and weakly polar nature of BF4− diminishes its ability to form directional hydrogen bonds with polar solutes, thereby reducing its capacity to perturb the acetonitrile–water hydrogen-bond network. As a result, [C4mim][BF4] provides minimal selectivity between acetonitrile and water, leading to weaker separation performance [19,20].
This conclusion is further supported by the observed relative volatilities: α values for the [C4mim][Cl] system are significantly higher than those for [C6mim][Cl] and [C4mim][BF4]. The much lower α observed in the [C4mim][BF4] system confirms its limited capacity to amplify volatility differences between acetonitrile and water, demonstrating that weaker ion–dipole interactions and reduced polarity directly lead to poorer separation efficiency.
Overall, the separation efficiency of the studied ILs follows the order [C4mim][Cl] > [C6mim][Cl] > [C4mim][BF4]. This trend underscores that both anion type (governed by hydrophilicity and hydrogen-bond basicity) and cation alkyl chain length (modulating hydrophobicity and steric effects) play decisive roles in tuning molecular interactions and phase equilibrium behavior in the acetonitrile–water system.
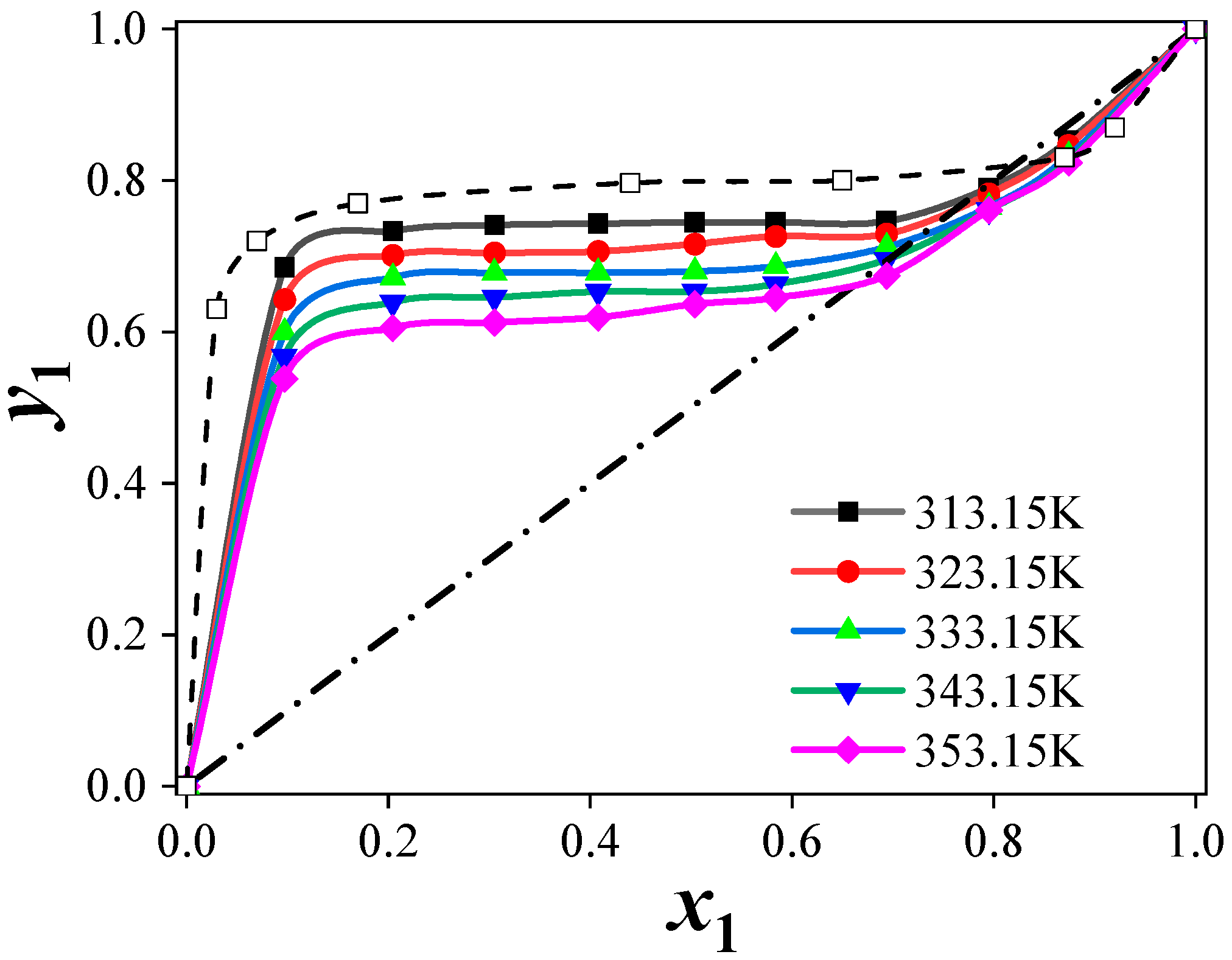
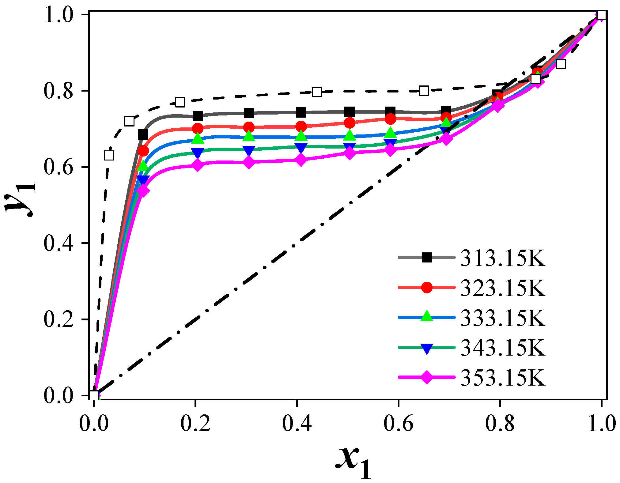
To visually illustrate how different ILs influence phase equilibrium, Figure 4 shows x-y diagrams for the ternary systems at 323.15 K, where x*1 denotes the normalized mole fraction of acetonitrile in the liquid phase (calculated under the assumption x3 = 0, mimicking the IL-free binary mixture). This normalization enables direct comparison of IL effects across systems. Under the tested conditions, all ILs eliminated the azeotropic point, with their separation efficiency for the acetonitrile–water system following the same order: [C4mim][Cl] > [C6mim][Cl] > [C4mim][BF4]. This aligns with our earlier findings, reinforcing that ILs with chloride anions outperform those with BF4− for this separation, and among chloride-based ILs, shorter cation alkyl chains are more effective.
In previous studies, the VLE behavior of acetonitrile + water mixtures in the presence of different ILs, such as [C4mim][Cl] [16,19], [C6mim][Cl] [16], [C4mim][BF4] [19], [AMIM][Cl] [16], and [C4mim][DBP] [19], has been reported under atmospheric pressure (101.3 kPa).
As shown in Figure 5, we compared the x-y diagrams of the acetonitrile + water + [C4mim][Cl]/[C6mim][Cl] systems under different conditions [16]. The experimental data selected in this work were measured at 352 K. The results consistently demonstrated that IL addition could eliminate or significantly reduce the azeotrope, thereby enhancing the separation of acetonitrile from water. Although the operating pressures and IL loadings differ between our work, the overall trend is consistent: the addition of ILs disrupts the strong interactions between acetonitrile and water, effectively eliminating or significantly reducing the azeotrope and enhancing the separation of acetonitrile from water. Moreover, our measurements under low-pressure conditions with higher IL concentrations further strengthen this effect, resulting in a more complete suppression of the azeotropic behavior.

4. Conclusions

This study analyzed VLE data for three binary systems and three ternary systems (acetonitrile + water + IL), which were experimentally measured using a static isothermal VLE apparatus. The data were correlated and predicted using the NRTL and e-NRTL models. The main findings are summarized as follows:
(1) For the binary systems, the vapor pressure data exhibited negative deviations, with [C4mim][BF4] exerting the strongest influence on acetonitrile. Both the NRTL and e-NRTL models provided good correlations of the binary data. The NRTL model yielded average relative pressure deviations of 1.19% ([C4mim][Cl]), 1.22% ([C4mim][BF4]), and 1.60% ([C6mim][Cl]), whereas the e-NRTL model resulted in deviations of 1.54% ([C4mim][Cl]), 1.36% ([C4mim][BF4]), and 2.88% ([C6mim][Cl]).
(2) Predictions for the ternary systems showed average relative pressure deviations of 9.11% ([C4mim][Cl]), 8.85% ([C4mim][BF4]), and 9.86% ([C6mim][Cl]). The addition of ILs increased the relative volatility of acetonitrile by disrupting the strong interactions between acetonitrile and water, thereby enhancing separation efficiency. The separation performance of the ILs followed the order: [C4mim][Cl] > [C6mim][Cl] > [C4mim][BF4].
(3) The effect of ILs on acetonitrile activity coefficients and phase behavior depended on both cation and anion structures. Chloride-based ILs with shorter alkyl chains provided higher separation efficiency.
These results provide valuable guidance for selecting ILs for acetonitrile + water separation and offer a theoretical basis for designing IL-based separation processes.

Supplementary Materials

The following supporting information can be downloaded at: https://www.mdpi.com/article/10.3390/pr13123776/s1, Table S1: Isothermal VLE data of acetonitrile (1) + H2O (2) mixture. Table S2: The saturated vapor pressures data of pure acetonitrile. Figure S1: Apparatus for static measurement of phase equilibrium. (1) Equilibrium cell, where the sample and vapor reach equilibrium. (2) Mercury pressure gauge, for measuring system pressure. (3) Mercury thermometer, for monitoring temperature. (4) Constant temperature water bath, for controlling equilibrium temperature. (5) Constant temperature box, providing thermal insulation. Figure S2: Calculation Procedure for Experimental VLE Compositions and Phase Data. Figure S3: Comparison of Experimental and Literature VLE Data [1] for the Acetonitrile (1) + H2O (2) Binary System at 333.15K. Figure S4: Comparison of the saturated vapor pressures of pure acetonitrile obtained from various experiments symbols) and calculations(line) at different temperatures T. Solid line, data calculated using the Antoine equation; ■, this work; ○, ref. [2]; △ ref. [3]; ▽, ref. [4]; ☆, ref. [5].

Author Contributions

Conceptualization, S.H., Y.G., H.L. and J.L.; methodology, Y.G., H.L. and J.L.; software, S.H. and K.C.; formal analysis, S.H., Y.G. and K.C.; data curation, S.H. and K.C.; writing—original draft, S.H. and Y.G.; writing—review and editing, J.L.; supervision, H.L.; project administration, H.L. and J.L. All authors have read and agreed to the published version of the manuscript.

Funding

Financial support for this work was provided by the National Natural Science Foundation of China (22078026, 21878025).

Data Availability Statement

The original contributions presented in this study are included in the article/Supplementary Material. Further inquiries can be directed to the corresponding author.

Conflicts of Interest

Author Song Hu was employed by the PetroChina Petrochemical Research Institute. The remaining authors declare that the research was conducted in the absence of any commercial or financial relationships that could be construed as a potential conflict of interest.

References

  1. Wang, Y.; Bu, G.; Geng, X.; Zhu, Z.; Cui, P.; Liao, Z. Design optimization and operating pressure effects in the separation of acetonitrile/methanol/water mixture by ternary extractive distillation. J. Clean. Prod. 2019, 218, 212–224. [Google Scholar] [CrossRef]
  2. McConvey, I.F.; Woods, D.; Lewis, M.; Gan, Q.; Nancarrow, P. The Importance of Acetonitrile in the Pharmaceutical Industry and Opportunities for its Recovery from Waste. Org. Process Res. Dev. 2012, 16, 612–624. [Google Scholar] [CrossRef]
  3. Wei, Z.; Zhao, X.; Liu, H.; Jiang, L. Separation of acetonitrile/water with the combination of superwetting membrane and salt-induced phase separation. Mater. Lett. 2024, 357, 135704. [Google Scholar] [CrossRef]
  4. Han, D.; Chen, Y.; Dong, M. Process evaluation for the separation of acetonitrile-water using extractive distillation with deep eutectic solvents as entrainers. Comput. Chem. Eng. 2022, 164, 107865. [Google Scholar] [CrossRef]
  5. Acosta, J.; Arce, A.; Rodil, E.; Soto, A. A thermodynamic study on binary and ternary mixtures of acetonitrile, water and butyl acetate. Fluid Phase Equilibria 2002, 203, 83–98. [Google Scholar] [CrossRef]
  6. Zhang, L.; Shen, D.; Zhang, Z.; Wu, X. Experimental Measurement and Modeling of Vapor–Liquid Equilibrium for the Ternary System Water + Acetonitrile + Ethylene Glycol. J. Chem. Eng. Data 2017, 62, 1725–1731. [Google Scholar] [CrossRef]
  7. Urita, C.; Urita, K.; Araki, T.; Horio, K.; Yoshida, M.; Moriguchi, I. New insights into the heat of adsorption of water, acetonitrile, and n-hexane in porous carbon with oxygen functional groups. J. Colloid Interface Sci. 2019, 552, 412–417. [Google Scholar] [CrossRef]
  8. Khayet, M.; Cojocaru, C.; Zakrzewska-Trznadel, G. Studies on pervaporation separation of acetone, acetonitrile and ethanol from aqueous solutions. Sep. Purif. Technol. 2008, 63, 303–310. [Google Scholar] [CrossRef]
  9. Qi, J.; Li, Y.; Xue, J.; Qiao, R.; Zhang, Z.; Li, Q. Comparison of heterogeneous azeotropic distillation and energy-saving extractive distillation for separating the acetonitrile-water mixtures. Sep. Purif. Technol. 2020, 238, 116487. [Google Scholar] [CrossRef]
  10. Liang, K.; Li, W.; Luo, H.; Xia, M.; Xu, C. Energy-Efficient Extractive Distillation Process by Combining Preconcentration Column and Entrainer Recovery Column. Ind. Eng. Chem. Res. 2014, 53, 7121–7131. [Google Scholar] [CrossRef]
  11. Han, D.; Chen, Y. Combining the preconcentration column and recovery column for the extractive distillation of ethanol dehydration with low transition temperature mixtures as entrainers. Chem. Eng. Process.-Process Intensif. 2018, 131, 203–214. [Google Scholar] [CrossRef]
  12. Zhang, Z.; Lv, M.; Huang, D.; Jia, P.; Sun, D.; Li, W. Isobaric Vapor–Liquid Equilibrium for the Extractive Distillation of Acetonitrile + Water Mixtures Using Dimethyl Sulfoxide at 101.3 kPa. J. Chem. Eng. Data 2013, 58, 3364–3369. [Google Scholar] [CrossRef]
  13. Hernández-Hernández, E.d.J.; Cabrera-Ruiz, J.; Hernández-Escoto, H.; Gutiérrez-Antonio, C.; Hernández, S. Simulation study of the production of high purity ethanol using extractive distillation: Revisiting the use of inorganic salts. Chem. Eng. Process.-Process Intensif. 2022, 170, 108670. [Google Scholar] [CrossRef]
  14. Wang, M.; Infante Ferreira, C.A. Absorption heat pump cycles with NH3—Ionic liquid working pairs. Appl. Energy 2017, 204, 819–830. [Google Scholar] [CrossRef]
  15. Han, X.; Wang, Y.; Li, Q. Vapor–Liquid Equilibrium of Methanol and Ethyl Formate Using Ionic Liquids as Entrainers. J. Chem. Eng. Data 2022, 67, 2418–2425. [Google Scholar] [CrossRef]
  16. Li, J.; Li, J.; Zheng, Y.; Peng, C.; Liu, H. Measurement and correlation of isobaric vapour-liquid equilibrium for the (acetonitrile + water) system containing different ionic liquids at atmospheric pressure. J. Chem. Thermodyn. 2019, 138, 366–373. [Google Scholar] [CrossRef]
  17. Li, J.; Li, T.; Peng, C.; Liu, H. Extractive Distillation with Ionic Liquid Entrainers for the Separation of Acetonitrile and Water. Ind. Eng. Chem. Res. 2019, 58, 5602–5612. [Google Scholar] [CrossRef]
  18. Cheng, Y.; Wang, J.; Gao, D.; Zhang, H.; Kwon, Y.M.; Li, C.; Li, J.; Wang, X.; Liu, A.; Zhang, L.; et al. Industrial Applications of Ionic Liquids in Acetonitrile–Water Azeotrope Separation: Molecular Dynamics and DFT Insights into Azeotrope Breaking Methods. Ind. Eng. Chem. Res. 2025, 64, 19995–20013. [Google Scholar] [CrossRef]
  19. Fang, J.; Liu, J.; Li, C.; Liu, Y. Isobaric Vapor–Liquid Equilibrium for the Acetonitrile + Water System Containing Different Ionic Liquids at Atmospheric Pressure. J. Chem. Eng. Data 2013, 58, 1483–1489. [Google Scholar] [CrossRef]
  20. Li, J.; Zhu, H.; Peng, C.; Liu, H. Influence of binary ionic liquid mixtures of [BMIM][Cl] and [BMIM][BF4] on isobaric vapor-liquid equilibrium of acetonitrile + water at atmospheric pressure. J. Mol. Liq. 2019, 284, 675–681. [Google Scholar] [CrossRef]
  21. McDaniel, J.G. Polarization Effects in Binary [BMIM+][BF4–]/1,2-Dichloroethane, Acetone, Acetonitrile, and Water Electrolytes. J. Phys. Chem. B 2018, 122, 4345–4355. [Google Scholar] [CrossRef]
  22. Li, T.; Yang, Q.; Ding, H.; Li, J.; Peng, C.; Liu, H. Amino Acid Based Ionic Liquids as Additives for the Separation of an Acetonitrile and Water Azeotropic Mixture: COSMO-RS Prediction and Experimental Verification. Ind. Eng. Chem. Res. 2015, 54, 12143–12149. [Google Scholar] [CrossRef]
  23. Seddon, K.R.; Stark, A.; Torres, M.-J. Viscosity and Density of 1-Alkyl-3-methylimidazolium Ionic Liquids. In Clean Solvents; American Chemical Society: Washington, DC, USA, 2002; pp. 34–49. [Google Scholar]
  24. Harris, K.R.; Kanakubo, M.; Woolf, L.A. Temperature and Pressure Dependence of the Viscosity of the Ionic Liquids 1-Hexyl-3-methylimidazolium Hexafluorophosphate and 1-Butyl-3-methylimidazolium Bis(trifluoromethylsulfonyl)imide. J. Chem. Eng. Data 2007, 52, 1080–1085. [Google Scholar] [CrossRef]
  25. Ghatee, M.H.; Zolghadr, A.R. Surface tension measurements of imidazolium-based ionic liquids at liquid–vapor equilibrium. Fluid Phase Equilibria 2008, 263, 168–175. [Google Scholar] [CrossRef]
  26. Cao, Y.; Chen, Y.; Lu, L.; Xue, Z.; Mu, T. Water Sorption in Functionalized Ionic Liquids: Kinetics and Intermolecular Interactions. Ind. Eng. Chem. Res. 2013, 52, 2073–2083. [Google Scholar] [CrossRef]
  27. Yang, Q.; Chen, K.; He, C.; Peng, C.; Liu, H. Vapor pressure measurement and correlation of acetonitrile +1-butyl-3-methylimidazolium chloride, +1-butyl-3-methylimidazolium tetrafluoroborate, and +1-hexyl-3-methylimidazolium chloride. Chin. J. Chem. Eng. 2015, 23, 412–416. [Google Scholar] [CrossRef]
  28. Chen, C.-C.; Britt, H.I.; Boston, J.F.; Evans, L.B. Local composition model for excess Gibbs energy of electrolyte systems. Part I: Single solvent, single completely dissociated electrolyte systems. AIChE J. 1982, 28, 588–596. [Google Scholar] [CrossRef]
  29. Chen, C.-C.; Evans, L.B. A local composition model for the excess Gibbs energy of aqueous electrolyte systems. AIChE J. 1986, 32, 444–454. [Google Scholar] [CrossRef]
  30. Paricaud, P. Thermodynamic Modelling of Electrolyte Solutions; AF6215 v1, Ed.; Techn. de l’Ingénieur: Saint-Denis, France, 2022. [Google Scholar] [CrossRef]
  31. Valderrama, J.O.; Rojas, R.E. Critical Properties of Ionic Liquids. Revisited. Ind. Eng. Chem. Res. 2009, 48, 6890–6900. [Google Scholar] [CrossRef]
  32. Sun, L.; Fu, J.-Y.; Li, W.; Zhan, X.-L.; Xiao, W.-D. Binary vapor–liquid equilibrium of methyl glycolate and ethylene glycol. Fluid Phase Equilibria 2006, 250, 33–36. [Google Scholar] [CrossRef]
  33. Ewing, M.B.; Ochoa, J.C.S. Vapor Pressures of Acetonitrile Determined by Comparative Ebulliometry. J. Chem. Eng. Data 2004, 49, 486–491. [Google Scholar] [CrossRef]
  34. Giles, N.F.; Wilson, G.M. Vapor−Liquid Equilibria on Seven Binary Systems:  Ethylene Oxide + 2-Methylpropane; Acetophenone + Phenol; cis-1,3-Dichloropropene + 1,2-Dichloropropane; 1,5-Hexadiene + Allyl Chloride; Isopropyl Acetate + Acetonitrile; Vinyl Chloride + Methyl Chloride; and 1,4-Butanediol + γ-Butyrolactone. J. Chem. Eng. Data 2006, 51, 1954–1962. [Google Scholar] [CrossRef]
  35. Maher, P.J.; Smith, B.D. Vapor-liquid equilibrium data for binary systems of chlorobenzene with acetone, acetonitrile, ethyl acetate, ethylbenzene, methanol, and 1-pentene. J. Chem. Eng. Data 1979, 24, 363–377. [Google Scholar] [CrossRef]
  36. Dojcansky, J.; Heinrich, J. Saturated vapour pressure of acetonitrile. Chem. Pap. 1973, 28, 157–159. [Google Scholar]
  37. Sugi, H.; Katayama, T. Ternary Liquid-Liquid and Miscible Binary Vapor-Liquid Equilibrium Data for the n-Hexane-Ethanol-Acetonitrile and Water-Acetonitrile-Ethyl Acetate Systems. J. Chem. Eng. Jpn. 1978, 11, 167–172. [Google Scholar] [CrossRef]
  38. Han, X.; Gao, Z.; Xu, Y.; Qiu, Y.; Min, X.; Cui, X.; Chen, G. Solubility of Refrigerant 1,1,1,2-Tetrafluoroethane in the N,N-Dimethyl Formamide in the Temperature Range from (263.15 to 363.15) K. J. Chem. Eng. Data 2011, 56, 1821–1826. [Google Scholar] [CrossRef]
  39. Xu, S.; Wang, W.; Wu, X.; Hu, J.; Jiang, M. Measurement and Correlation of Vapor–Liquid Equilibrium for R124 (1-Chloro-1,2,2,2-Tetrafluoroethane)-NMP (N-Methyl-2-Pyrrolidone) and R124-DMF (N,N-Dimethylformamide) Mixtures. J. Chem. Eng. Data 2017, 62, 3414–3422. [Google Scholar] [CrossRef]
  40. Guo, Y.; Cao, J.; Wang, F.; Ding, Y.; Li, J.; Paricaud, P. Experimental and modelling of the vapor-liquid equilibria of [Cnmim]Br(n = 2, 3, 4) + H2O systems. Fluid Phase Equilibria 2023, 565, 113654. [Google Scholar] [CrossRef]
  41. Qi, J.; Zhang, Q.; Han, X.; Wu, Q.; Li, Y.; Li, Q. Vapor-liquid equilibrium experiment and process simulation of extractive distillation for separating diisopropyl ether-isopropyl alcohol using ionic liquid. J. Mol. Liq. 2019, 293, 111406. [Google Scholar] [CrossRef]
  42. Renon, H.; Prausnitz, J.M. Local compositions in thermodynamic excess functions for liquid mixtures. AIChE J. 1968, 14, 135–144. [Google Scholar] [CrossRef]
  43. Shi, X.M.; Wang, M. Isobaric Vapor-Liquid Equilibrium for Ethyl Acetate-Isopropanol-1-Octyl-3-Methylimidazolium Tetrafluoroborate. Adv. Mater. Res. 2013, 641–642, 160–164. [Google Scholar] [CrossRef]
  44. Blahut, A.; Dohnal, V. Ionic liquid 1-ethyl-3-methylimidazolium tetracyanoborate: An efficient entrainer to separate methanol+ dimethyl carbonate azeotropic mixture. Fluid Phase Equilibria 2016, 423, 120–127. [Google Scholar] [CrossRef]
  45. Boli, E.; Dimou, E.; Voutsas, E. Separation of the isopropanol-water azeotropic mixture using ionic liquids. Fluid Phase Equilibria 2018, 456, 77–83. [Google Scholar] [CrossRef]
  46. Pierotti, G.J.; Deal, C.H.; Derr, E.L. Activity Coefficients and Molecular Structure. Ind. Eng. Chem. 1959, 51, 95–102. [Google Scholar] [CrossRef]
  47. Othmer, D.F.; Josefowitz, S. Composition of Vapors from Boiling Binary Solutions. Ind. Eng. Chem. 1947, 39, 1175–1177. [Google Scholar] [CrossRef]
  48. Vierk, A.-L. Experimental Investigation of the Two-Component Systems: Water-Aceto- Nitrole, Water-Dioxane, Ethanol-Acetonitrile and Cyclohexane-Dioxane. Z. Anorg. Chem. 1950, 261, 283–296. [Google Scholar] [CrossRef]
Figure 1. Solid lines: isothermal experimental data for the acetonitrile (1) + H2O (2) binary system at different temperatures; dashed line with square symbols: literature VLE data at 303.15 K from ref. [48].
Figure 1. Solid lines: isothermal experimental data for the acetonitrile (1) + H2O (2) binary system at different temperatures; dashed line with square symbols: literature VLE data at 303.15 K from ref. [48].
Processes 13 03776 g001
Figure 2. VLE data for the acetonitrile (1) + IL (2) binary system. (a) acetonitrile + [C4mim][Cl]; (b) acetonitrile + [C4mim][BF4]; (c) acetonitrile + [C6mim][Cl]. Symbols: Literature data [27]; solid lines: NRTL model calculated results; sashed lines: e-NRTL model calculated results.
Figure 2. VLE data for the acetonitrile (1) + IL (2) binary system. (a) acetonitrile + [C4mim][Cl]; (b) acetonitrile + [C4mim][BF4]; (c) acetonitrile + [C6mim][Cl]. Symbols: Literature data [27]; solid lines: NRTL model calculated results; sashed lines: e-NRTL model calculated results.
Processes 13 03776 g002aProcesses 13 03776 g002b
Figure 3. Experimental and calculated activity coefficients of acetonitrile in the mixture at T = 313.15 K. Symbols: Literature data [27]; solid Lines: NRTL model calculated results.
Figure 3. Experimental and calculated activity coefficients of acetonitrile in the mixture at T = 313.15 K. Symbols: Literature data [27]; solid Lines: NRTL model calculated results.
Processes 13 03776 g003
Figure 4. x-y Diagram of acetonitrile (1) + H2O (2) + IL (3) at x3 = 0.2 and 323.15 K. x*1: normalized value assuming x3 = 0; y1: calculated by the NRTL model.
Figure 4. x-y Diagram of acetonitrile (1) + H2O (2) + IL (3) at x3 = 0.2 and 323.15 K. x*1: normalized value assuming x3 = 0; y1: calculated by the NRTL model.
Processes 13 03776 g004
Figure 5. Comparison of the experimental data (solid symbols) of the acetonitrile + water +IL systems with the literature data [16] (hollow symbols): (a) [C4mim][Cl]; (b) [C6mim][Cl]. this work, xIL = 0.2; △, xIL = 0.1; ○, xIL = 0.05.
Figure 5. Comparison of the experimental data (solid symbols) of the acetonitrile + water +IL systems with the literature data [16] (hollow symbols): (a) [C4mim][Cl]; (b) [C6mim][Cl]. this work, xIL = 0.2; △, xIL = 0.1; ○, xIL = 0.05.
Processes 13 03776 g005aProcesses 13 03776 g005b
Table 1. Chemical structures and basic properties of the used ILs.
Table 1. Chemical structures and basic properties of the used ILs.
StructureName (Abbreviation)Molecular FormuleM/g·mol−1Tb (K)
Processes 13 03776 i0011-butyl-3-methylimidazolium chloride ([C4mim][Cl])C8H15ClN2174.67558.0 [31]
Processes 13 03776 i0021-hexyl-3-methylimidazolium chloride ([C6mim][Cl])C10H19ClN2202.73603.8 [31]
Processes 13 03776 i0031-butyl-3-methylimidazolium tetrafluoroborate ([C4mim][BF4])C8H15BF4N2226.03495.2 [31]
Table 2. Specifications of chemicals used in the experiment.
Table 2. Specifications of chemicals used in the experiment.
Chemicals Cas No.Mass Fraction PurityMass Fraction Water Purification MethodSupplier
CH3CN75-05-8>0.999 a<0.0005 cnoneYonghua Chemical Co., Ltd., Suzhou, Jiangsu, China
H2O7732-18-5Resistivity = 18.2 M Ω c m noneUltrapure filtrationSelf-prepared (own source), Changzhou, Jiangsu, China
[C4mim]Cl79917-90-1>0.990 b<0.004 cVacuum desiccationChengjie Chemical Co., Ltd., Shanghai, China
[C6mim]Cl171058-17-6>0.990 b<0.004 cVacuum desiccationChengjie Chemical Co., Ltd., Shanghai, China
[C4mim]BF4174501-65-6>0.990 b<0.003 cVacuum desiccationChengjie Chemical Co., Ltd., Shanghai, China
Note: a = Gas chromatography; b = Provided by the supplier; c = Karl Fischer titrator.
Table 3. Experimental and calculated VLE data of acetonitrile (1) + [C4mim][Cl] (2).
Table 3. Experimental and calculated VLE data of acetonitrile (1) + [C4mim][Cl] (2).
T/K P e x p /kPa P c a l N R T L /kPa d e v / % a P c a l e N R T L /kPa d e v / % a
x1 = 0.9503
313.3922.70922.6460.27822.5720.605
322.9332.68132.9470.81532.8460.503
332.4846.39646.8711.02446.7350.731
342.3465.32265.9901.02265.8130.752
352.0589.63490.6141.09390.3920.846
x1 = 0.9000
313.1421.36721.9662.80221.6331.244
322.8231.33232.1422.58731.6691.075
333.4146.35447.4572.37946.7810.921
343.2764.83066.6682.83665.7511.421
352.1287.73288.9161.35087.7350.003
x1 = 0.8002
313.4921.37521.2380.64220.6203.534
323.3331.01031.2110.64930.3322.186
332.9944.48944.4890.00043.2802.718
342.8662.78962.5240.42260.8923.021
353.2087.52187.3990.13985.2242.625
x1 = 0.6995
313.4520.18619.5533.13819.0985.390
323.3029.26128.7081.88928.0794.038
332.9941.62040.9141.69740.0763.710
343.0258.41257.7321.16456.6413.032
353.0980.83779.8931.16878.5202.867
x1 = 0.6009
313.3617.26417.3080.25317.1960.392
323.1325.10625.2990.76725.1700.257
333.0536.03936.3040.73636.1770.382
342.9450.37650.9041.04850.8110.864
352.5669.36769.3670.00069.3670.000
x1 = 0.4925
313.4914.56214.5270.23714.6990.938
323.1520.87121.0961.07921.3592.339
332.9629.96130.0950.44630.4981.792
342.9541.66042.2631.44742.8802.929
352.3656.53457.1151.02758.0262.640
x1 = 0.3988
313.2312.11411.6833.55511.8811.921
322.9617.55716.9893.23717.2641.668
332.9724.94724.3702.31124.7560.764
342.6533.97733.8170.47034.3511.101
353.1048.15547.1442.09847.9030.523
x1 = 0.3010
313.318.7218.7900.7908.8171.106
323.0412.75212.7520.00012.7520.000
332.8918.13418.1510.09618.1030.172
343.2525.74825.7090.15325.5800.652
352.9334.66434.8990.67834.6640.000
Standard uncertainties: u(T) = 0.037 K, u(P) = 0.70 kPa, u(x1) = 0.002; u(x2) = 0.002. u(x1) and u(x2) were calculated considering both weighing precision and water content of the IL. a: dev = 100 × P e x p P c a l m o d e l / P e x p ; AARD = i = 1 n d e v / n . AARD ( P c a l N R T L ) = 1.19%; AARD ( P c a l e N R T L ) = 1.54% P e x p —Experimental pressure (kPa); P c a l N R T L —Calculated pressure by NRTL (kPa); P c a l e N R T L —Calculated pressure by e-NRTL (kPa).
Table 4. Experimental and calculated VLE data of acetonitrile (1) + [C4mim][BF4] (2).
Table 4. Experimental and calculated VLE data of acetonitrile (1) + [C4mim][BF4] (2).
T/K P e x p /kPa P c a l N R T L /kPa d e v / % a P c a l e N R T L /kPa d e v / % a
x1 = 0.9517
313.3122.28522.2010.37722.3290.197
322.7431.95032.1590.65332.3311.193
332.7846.23346.5580.70246.7871.199
342.7264.89665.6521.16665.9481.621
352.3388.78489.7591.09890.1271.513
x1 = 0.9015
313.5620.82621.1991.78921.3412.475
323.4330.58031.1631.90631.3252.437
333.4043.81044.8682.41545.0322.788
343.2359.48462.8665.68662.9995.909
353.0984.24486.4222.58586.4742.647
x1 = 0.8052
313.4219.71419.9341.11820.0271.589
323.1328.59029.0871.73829.1481.950
333.0040.77841.6842.22141.6622.168
342.5656.81257.8261.78457.6501.476
352.3977.68379.3742.17678.9311.607
x1 = 0.7944
313.3018.35018.3260.12918.3270.126
322.9426.38026.6000.83626.5090.490
332.9637.84238.2231.00837.9550.299
342.8552.89053.4521.06352.8900.000
352.4872.48372.6600.24471.6521.146
x1 = 0.7547
313.3317.79417.3542.47217.3002.777
322.9425.21125.1050.42224.9361.090
332.6835.69935.6440.15435.2751.187
342.4649.58749.5870.00048.8951.395
352.1867.56567.5000.09766.3211.842
x1 = 0.6988
313.6015.84016.1481.94716.0411.269
323.5923.30823.5961.23723.3640.242
333.4032.63033.4242.43432.9911.105
343.2045.38546.3102.03945.5640.395
352.9161.61862.7361.81461.5340.137
x1 = 0.6168
313.2913.88613.8850.00713.7730.815
322.7419.80919.8050.02319.6350.878
332.6828.11128.0890.08027.8291.004
342.3738.96138.6470.80538.2581.804
350.8950.68850.3510.66549.8051.743
x1 = 0.5032
313.3111.10911.1100.01011.1090.000
322.8415.93515.7780.98515.8810.339
332.2821.84621.8460.00022.1181.245
342.2429.98330.1370.51430.6832.336
353.0542.76341.7722.31742.7630.000
Standard uncertainties: u(T) = 0.037 K, u(P) = 0.70 kPa, u(x1) = 0.002; u(x2) = 0.002. u(x1) and u(x2) were calculated considering both weighing precision and water content of the IL a: dev = 100 × P e x p P c a l N R T L / P e x p ; AARD = i = 1 n d e v / n . AARD ( P c a l N R T L ) = 1.22%; AARD ( P c a l e N R T L ) = 1.36%. P e x p —Experimental pressure (kPa); P c a l N R T L —Calculated pressure by NRTL (kPa); P c a l e N R T L —Calculated pressure by e-NRTL (kPa).
Table 5. Experimental and calculated VLE data of acetonitrile (1) + [C6mim][Cl] (2).
Table 5. Experimental and calculated VLE data of acetonitrile (1) + [C6mim][Cl] (2).
T/K P e x p /kPa P c a l N R T L /kPa d e v / % a P c a l e N R T L /kPa d e v / % a
x1 = 0.8988
303.1514.37714.7132.33914.2211.085
312.9522.05522.2290.79121.4952.537
323.1333.29433.1800.34432.1003.586
333.0548.33247.8111.07846.2794.247
342.8568.13267.1011.51464.9864.618
352.4393.27191.6781.70888.8364.755
x1 = 0.8067
303.1514.14414.3811.67513.5444.244
312.9121.64021.6930.24620.4525.490
323.1532.61632.4580.48530.6366.070
333.0147.22046.6701.16544.1016.605
342.8566.51065.5931.37962.0576.695
352.5591.00989.9581.15585.2136.369
x1 = 0.7141
303.2913.25113.8294.36213.0051.859
313.0520.28520.8562.81319.6463.148
323.4530.58131.3872.63529.6243.130
333.2545.28345.0050.61342.5576.020
343.2564.79263.5641.89560.2257.049
353.5588.73788.7720.04084.2865.016
x1 = 0.5946
303.3112.29512.6342.75912.1401.261
313.0518.82219.0481.20118.3482.517
323.7528.61529.0091.37728.0242.066
333.3341.26241.2570.01239.9643.147
342.9558.35057.5401.38855.8924.212
353.2580.52080.4280.11578.3682.673
x1 = 0.4531
303.3510.69810.8121.06310.7820.784
313.0516.13316.2991.03016.2981.024
323.1524.41424.3000.46824.3740.164
333.1535.40135.1760.63535.4010.000
343.1550.88449.7622.20450.2581.229
352.8569.17968.2891.28669.2200.060
x1 = 0.4278
303.1510.18310.3481.62410.3831.966
312.7515.25515.5531.95615.6462.561
322.8523.32423.2170.45823.4260.437
333.1534.31334.0100.88234.4330.348
343.4549.09548.6180.97249.4010.624
352.9567.41866.2781.69067.5880.252
x1 = 0.3159
303.458.3148.6574.1218.8576.534
313.2012.64213.1213.79213.4436.332
323.3519.04019.6593.25020.1785.979
333.4028.03828.5821.94129.4074.883
343.5539.59140.7292.87542.0236.143
353.1555.80655.8060.00057.7543.491
x1 = 0.2035
303.156.3266.3320.1026.4642.186
313.1510.1339.7633.6489.9431.879
323.3515.25114.7393.35814.9861.735
333.1022.26521.3024.32521.6442.789
343.1531.48730.4153.40630.9011.860
353.2543.26742.5611.63343.2670.000
x1 = 0.1291
303.354.5484.5480.0004.5480.000
313.157.0316.9910.5726.9441.242
323.3510.61510.6150.00010.4821.257
333.3515.30915.5661.68015.2980.073
343.0521.76922.0561.31821.5950.799
353.2530.26331.1232.84030.3790.384
Standard uncertainties: u(T) = 0.037 K, u(P) = 0.70 kPa, u(x1) = 0.002; u(x2) = 0.002. u(x1) and u(x2) were calculated considering both weighing precision and water content of the IL a: dev = 100 × P e x p P c a l N R T L / P e x p ; AARD = i = 1 n d e v / n . AARD ( P c a l N R T L ) = 1.60%; AARD ( P c a l e N R T L ) = 2.88%. P e x p —Experimental pressure (kPa); P c a l N R T L —Calculated pressure by NRTL (kPa); P c a l e N R T L —Calculated pressure by e-NRTL (kPa).
Table 6. Model parameters for VLE data fitting.
Table 6. Model parameters for VLE data fitting.
System α 12 A12B12A21B21Deviation
NRTL model
Acetonitrile + H2O0.24−3.9061451.044.438−823.0111.09%
Acetonitrile + [C4mim][Cl]0.69−0.868171.82869.000−25.7241.19%
Acetonitrile + [C4mim][BF4]0.69−2.280534.0270.631−1.2721.22%
Acetonitrile + [C6mim][Cl]0.721.793−337.0922.581−10.3561.60%
e-NRTL model
Acetonitrile + [C4mim][Cl]0.201.443−26.198−1.197162.1301.54%
Acetonitrile + [C4mim][BF4]0.20−4.3751204.5482.909−838.1381.36%
Acetonitrile + [C6mim][Cl]0.200.4974.9560.401−63.7542.88%
Table 7. Experimental and calculated VLE data of acetonitrile (1) + H2O (2) + [C4mim][Cl] (3) ternary system.
Table 7. Experimental and calculated VLE data of acetonitrile (1) + H2O (2) + [C4mim][Cl] (3) ternary system.
T/K P e x p /kPa P c a l N R T L /kPa γ c a l , 1 N R T L γ c a l , 2 N R T L y c a l , 1 N R T L α 12
x1 = 0.0392; x2 = 0.7648
313.529.2549.6207.37880.52310.688043.02
323.2313.85815.0057.40450.54380.657037.37
333.1820.57623.0047.42420.56370.626232.68
342.8529.90833.9847.43720.58180.597328.94
352.6842.95349.3977.44470.5990.569225.78
x1 = 0.1600; x2 = 0.6400
313.3915.48517.2204.07140.50170.861124.80
323.3223.97626.7614.14030.52550.843821.61
333.3836.66340.5994.20460.54810.826119.00
343.2454.44659.5264.26220.56890.808616.90
353.2078.42285.5214.31520.58860.791015.14
x1 = 0.3201; x2 = 0.4799
313.5918.68120.3672.54530.45810.918716.94
323.3528.57131.2802.59670.48610.907114.64
333.1843.05746.8272.64530.51320.895112.79
342.9062.23868.0592.69020.53870.882911.30
352.8791.40997.5112.73290.56370.870110.04
x1 = 0.4002; x2 = 0.3988
313.4118.98120.9582.16320.41160.941416.01
323.2328.97132.1702.20530.4420.932013.66
333.1843.85648.2392.24530.47190.922011.78
342.9364.73569.9392.28170.50030.911710.29
353.3992.907101.5852.31790.52980.90039.00
x1 = 0.4797; x2 = 0.3203
313.4020.08021.5191.89350.34690.961516.68
322.9429.37132.5061.92590.37750.954614.04
332.8943.55648.5741.95730.40910.946911.91
342.8763.43770.7591.98650.44040.938610.21
352.5490.11099.5962.01240.47020.93018.88
x1 = 0.5621; x2 = 0.2389
313.1120.48021.7081.68010.26420.978719.53
322.7129.57032.7401.70440.29390.974115.98
332.7143.85648.7791.72780.32550.968913.24
343.0464.03671.6081.74970.35860.962911.03
352.4389.91099.2691.76760.3890.95699.44
x1 = 0.6453; x2 = 0.1577
313.3221.17922.2131.50230.17210.990926.61
323.2130.96933.6641.5190.19840.988521.01
333.1845.95449.7161.5340.22650.985716.85
342.9765.13571.0801.54710.25560.982513.72
352.8190.21099.4461.55870.28620.978811.28
x1 = 0.7249; x2 = 0.0771
313.3720.97922.0811.33620.07830.998053.07
323.4330.86933.4691.34460.09560.997237.88
333.1945.95448.7041.35160.11460.996429.44
343.0163.93669.2201.35730.13590.995322.52
352.6586.01495.6321.36190.1590.994017.62
x1 = 0.7596; x2 = 0.0414
313.4220.77921.8241.25970.04520.999490.78
323.2129.67032.6241.2640.05710.999160.50
332.9744.95547.3501.26750.07090.998845.36
342.7062.93766.9631.27000.08690.998434.01
352.3087.91292.1721.27180.10490.997824.72
Standard uncertainties: u(T) = 0.037 K, u(P) = 0.70 kPa, u(x1) = 0.002, u(x2) = 0.002, u(x3) = 0.002. Standard uncertainties were calculated considering both weighing precision and water content of the IL; AARD = 100 n i = 1 n P e x p , i P c a l , i / P e x p , i . AARD (P) = 9.11%; P e x p —Experimental pressure (kPa); P c a l N R T L —Calculated pressure by NRTL (kPa); γ c a l , 1 N R T L , γ c a l , 2 N R T L —Calculated activity coefficients of components 1 and 2; y c a l , 1 N R T L —Calculated vapor-phase mole fraction of component 1; α 12 —Non-randomness parameter in the NRTL model.
Table 8. Experimental and calculated VLE data of acetonitrile (1) + H2O (2) + [C4mim][BF4] (3) ternary system.
Table 8. Experimental and calculated VLE data of acetonitrile (1) + H2O (2) + [C4mim][BF4] (3) ternary system.
T/K P e x p /kPa P c a l N R T L /kPa γ c a l , 1 N R T L γ c a l , 2 N R T L y c a l , 1 N R T L α 12
x1 = 0.0872; x2 = 0.7188
313.5811.50610.0121.73831.20720.34754.39
323.4117.63316.0851.76301.20600.32704.01
333.4026.67425.2141.78511.20440.30813.67
343.2938.86738.2231.80411.20230.29103.38
352.1755.80854.3071.81911.20010.27703.16
x1 = 0.1690; x2 = 0.6299
313.5813.65612.3361.59621.29560.50193.76
323.4320.30819.5201.60831.29710.47683.40
333.2830.66429.9741.61871.29760.45353.09
343.1644.23944.8441.62761.29720.43182.83
352.8663.11965.0071.63491.29620.41202.61
x1 = 0.2356; x2 = 0.5693
313.9415.64414.4241.54041.36550.58633.42
323.8923.46722.6661.54601.36900.56033.08
333.8534.79934.5941.55051.37120.53572.79
343.5850.21550.9481.55381.37220.51312.55
353.0469.77372.5901.55621.37230.49242.34
x1 = 0.3205; x2 = 0.4724
313.2616.10715.3191.41351.44700.66972.99
322.9424.06623.6211.41421.45690.64462.67
332.6934.98935.5371.41441.46480.62032.41
342.7750.58352.7881.41401.47110.59632.18
352.1169.46774.5141.41321.47550.57522.00
x1 = 0.4085; x2 = 0.3884
313.2617.69916.7791.33411.54380.73552.64
323.0226.25525.7521.33191.55960.71192.35
332.7938.02838.4721.32941.57280.68892.11
342.8754.25956.7161.32651.58400.66591.90
352.9476.42481.6021.32351.59290.64391.72
x1 = 0.4717; x2 = 0.3312
312.3418.49216.9631.28211.62500.77652.44
321.7427.06225.5851.27891.64500.75542.17
332.2940.07539.3701.27511.66400.73211.92
343.2958.84359.8431.27111.68020.70841.71
352.0178.35381.7401.26781.69080.69021.56
x1 = 0.6469; x2 = 0.1580
313.2919.74718.6221.11761.90300.88031.80
322.8228.71027.8371.11491.94360.86621.58
332.9741.40941.5281.11211.98150.85111.40
343.3559.43360.8511.10922.01500.83551.24
353.1981.97185.4411.10662.04240.82081.12
x1 = 0.7204; x2 = 0.0795
313.2920.01018.2911.04622.03950.93431.57
323.0428.91127.4311.04512.09540.92551.37
333.0741.27540.4671.04392.14630.91631.21
342.6757.53257.3171.04282.18930.90731.08
352.2177.91279.3181.04172.22680.89820.97
x1 = 0.7605; x2 = 0.0364
313.4118.71118.0521.00832.12580.96801.45
323.2327.14327.0391.00832.19160.96351.26
333.1838.97339.5921.00822.25090.95871.11
343.5355.33657.3101.00812.30540.95360.98
353.2075.33079.1791.00802.35000.94870.89
Standard uncertainties: u(T) = 0.037 K, u(P) = 0.70 kPa, u(x1) = 0.002, u(x2) = 0.002, u(x3) = 0.002. Standard uncertainties were calculated considering both weighing precision and water content of the IL; AARD = 100 n i = 1 n P e x p , i P c a l , i / P e x p , i . AARD (P) = 3.95%; P e x p —Experimental pressure (kPa); P c a l N R T L —Calculated pressure by NRTL (kPa); γ c a l , 1 N R T L , γ c a l , 2 N R T L —Calculated activity coefficients of components 1 and 2; y c a l , 1 N R T L —Calculated vapor-phase mole fraction of component 1; α 12 —Non-randomness parameter in the NRTL model.
Table 9. Experimental and calculated VLE data of acetonitrile (1) + H2O (2) + [C6mim][Cl] (3) ternary system.
Table 9. Experimental and calculated VLE data of acetonitrile (1) + H2O (2) + [C6mim][Cl] (3) ternary system.
T/K P e x p /kPa P c a l N R T L /kPa γ c a l , 1 N R T L γ c a l , 2 N R T L y c a l , 1 N R T L α 12
x1 = 0.2411; x2 = 0.5589
313.5017.79519.1992.95670.68990.849413.07
323.3026.01129.6133.00150.71420.832611.53
333.4037.63344.9473.04510.73740.815210.23
343.0052.76065.1763.08390.75780.79879.20
352.9073.12893.4223.12140.77720.78208.32
x1 = 0.3213; x2 = 0.4797
313.4019.36519.3812.29790.71670.86779.79
323.4028.47730.1732.34030.74450.85238.62
333.4040.99745.6182.38070.77040.83677.65
343.3057.88066.9152.41870.79420.82146.87
352.7078.62494.1912.45280.81520.80696.24
x1 = 0.3907; x2 = 0.4143
313.3019.26919.5881.95350.74090.88388.07
322.0027.63628.8171.98600.76810.87157.19
331.5038.89642.8152.02010.79600.85796.40
341.0053.64662.0852.05270.82220.84435.75
351.8076.45292.2202.08800.84980.82885.13
x1 = 0.4832; x2 = 0.3178
313.1020.29019.4701.64070.70210.91597.16
322.7029.53729.6541.66900.73540.90506.27
332.8042.29444.8431.69770.76880.89325.50
342.7058.83665.5251.72470.79980.88144.89
351.9077.94991.2661.74860.82720.87034.41
x1 = 0.5596; x2 = 0.2394
313.2020.72719.7111.47310.61750.94477.31
322.9030.01529.9831.49640.65140.93676.33
332.5042.64144.2031.51860.68400.92845.55
342.4058.31964.3081.54050.71660.91954.89
352.3075.17791.3941.56140.74810.91034.34
x1 = 0.6411; x2 = 0.1599
313.3021.18020.2071.35270.45140.97359.16
322.9030.29830.4111.37090.48050.96927.85
332.9043.08145.2441.38890.51090.96446.76
342.8059.89765.3311.40590.54100.95935.88
351.3078.05787.9041.41970.56690.95475.26
x1 = 0.7136; x2 = 0.0874
313.3020.65920.8641.28180.17750.994522.15
322.8029.96931.0811.29520.19390.993418.43
332.7042.49545.7711.30810.21220.992115.38
343.0060.03166.6031.32050.23260.990512.77
351.6078.90289.3341.33000.25060.989111.11
Standard uncertainties: u(T) = 0.037 K, u(P) = 0.70 kPa, u(x1) = 0.002, u(x2) = 0.002, u(x3) = 0.002. Standard uncertainties were calculated considering both weighing precision and water content of the IL; AARD = 100 n i = 1 n P e x p , i P c a l , i / P e x p , i . AARD (P) = 9.86%; P e x p —Experimental pressure (kPa); P c a l N R T L —Calculated pressure by NRTL (kPa); γ c a l , 1 N R T L , γ c a l , 2 N R T L —Calculated activity coefficients of components 1 and 2; y c a l , 1 N R T L —Calculated vapor-phase mole fraction of component 1; α 12 —Non-randomness parameter in the NRTL model.
Disclaimer/Publisher’s Note: The statements, opinions and data contained in all publications are solely those of the individual author(s) and contributor(s) and not of MDPI and/or the editor(s). MDPI and/or the editor(s) disclaim responsibility for any injury to people or property resulting from any ideas, methods, instructions or products referred to in the content.

Share and Cite

MDPI and ACS Style

Hu, S.; Guo, Y.; Chen, K.; Liu, H.; Li, J. Experimental and Modeling Study of Acetonitrile Separation from Water with Ionic Liquids: VLE Data for Binary and Ternary Systems. Processes 2025, 13, 3776. https://doi.org/10.3390/pr13123776

AMA Style

Hu S, Guo Y, Chen K, Liu H, Li J. Experimental and Modeling Study of Acetonitrile Separation from Water with Ionic Liquids: VLE Data for Binary and Ternary Systems. Processes. 2025; 13(12):3776. https://doi.org/10.3390/pr13123776

Chicago/Turabian Style

Hu, Song, Yicang Guo, Kexia Chen, Honglai Liu, and Jinlong Li. 2025. "Experimental and Modeling Study of Acetonitrile Separation from Water with Ionic Liquids: VLE Data for Binary and Ternary Systems" Processes 13, no. 12: 3776. https://doi.org/10.3390/pr13123776

APA Style

Hu, S., Guo, Y., Chen, K., Liu, H., & Li, J. (2025). Experimental and Modeling Study of Acetonitrile Separation from Water with Ionic Liquids: VLE Data for Binary and Ternary Systems. Processes, 13(12), 3776. https://doi.org/10.3390/pr13123776

Note that from the first issue of 2016, this journal uses article numbers instead of page numbers. See further details here.

Article Metrics

Back to TopTop