Impact of Partitioning Methods on the Accuracy of Coarse-Grid Network Reservoir Models
Abstract
1. Introduction
- A simple “cookie-cutter” partition (baseline);
- A partition based on absolute permeability;
- A partition using the magnitude of velocity at cell centers;
- A partition using the product of forward and backward time-of-flight (TOF) as an indicator of flow connectivity.
2. Materials and Methods
2.1. Coarse-Grid Network Models
2.2. Partition Methods
- (a)
- Cookie-Cutter Partition
- (b)
- Permeability-Based Partition
- (c)
- Velocity-Magnitude Partition
- (d)
- Forward–Backward Time-of-Flight (TOF) Partition
3. Results
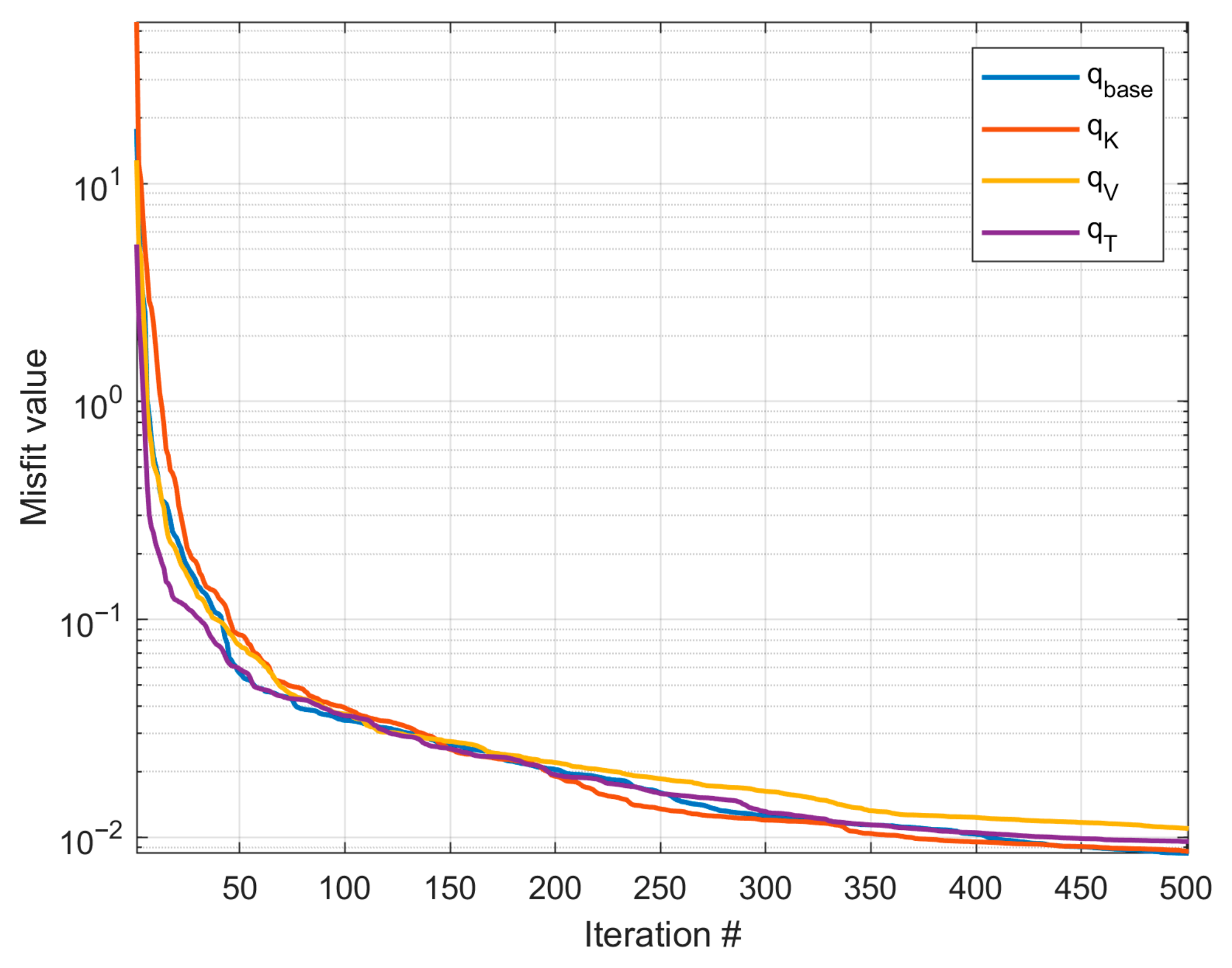
3.1. Case 1: SPE10 Layer
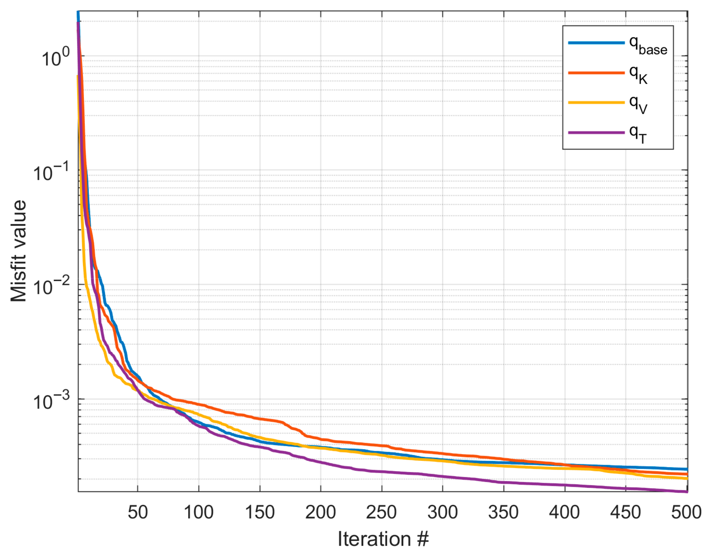
3.2. Case 2: Norne Field
4. Discussion
5. Conclusions
- All CGNet models exhibited a rapid decline in the misfit function during the initial iterations, followed by gradual stabilization, indicating efficient parameter adjustment and numerical stability of the calibration process.
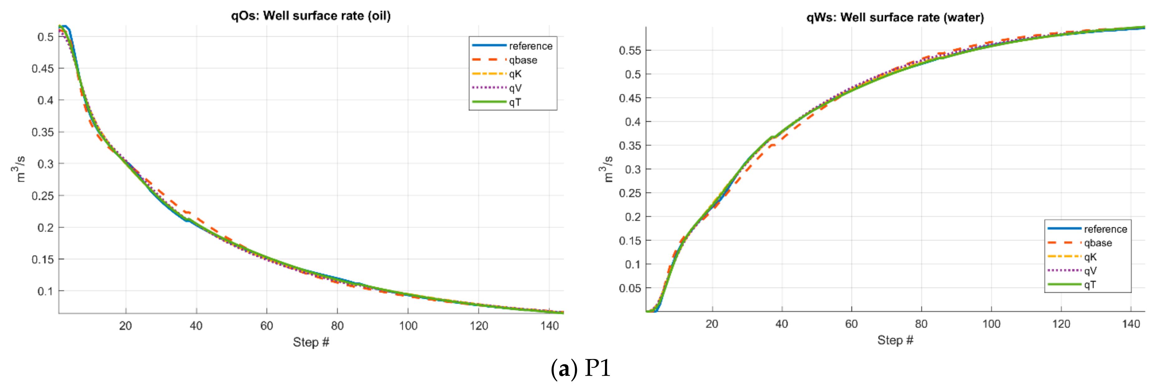
- In the SPE10 case, the final misfit values of the four CGNet models were very close (0.0084–0.0110) and the accuracy of well response predictions is also comparable among the four partitions, suggesting that the CGNet framework is robust to variations in partition geometry and topology. For the more geologically complex Norne field case, the model generated from the time-of-flight–based partition achieved the lowest misfit and slightly improved well-response predictions compared to the three partitions. This indicates that incorporating flow dynamics into partition generation may provide modest accuracy gains in heterogeneous reservoirs. However, the predictions of well responses for some production wells are still not satisfactory, especially in terms of water cut. Refining the coarse grid around the wells may improve the accuracy.
Author Contributions
Funding
Data Availability Statement
Conflicts of Interest
References
- Tang, M.; Liu, Y.; Durlofsky, L.J. Deep-learning-based surrogate flow modeling and geological parameterization for data assimilation in 3D subsurface flow. Comput. Methods Appl. Mech. Eng. 2021, 376, 113636. [Google Scholar] [CrossRef]
- Kim, Y.D.; Durlofsky, L.J. Neural network surrogate for flow prediction and robust optimization in fractured reservoir systems. Fuel 2023, 351, 128756. [Google Scholar] [CrossRef]
- Mo, S.; Zhu, Y.; Zabaras, N.; Shi, X.; Wu, J. Deep Convolutional Encoder-Decoder Networks for Uncertainty Quantification of Dynamic Multiphase Flow in Heterogeneous Media. Water Resour. Res. 2019, 55, 703–728. [Google Scholar] [CrossRef]
- Kim, Y.D.; Durlofsky, L.J. A Recurrent Neural Network–Based Proxy Model for Well-Control Optimization with Nonlinear Output Constraints. SPE J. 2021, 26, 1837–1857. [Google Scholar] [CrossRef]
- Wen, G.; Li, Z.; Azizzadenesheli, K.; Anandkumar, A.; Benson, S.M. U-FNO—An enhanced Fourier neural operator-based deep-learning model for multiphase flow. Adv. Water Resour. 2022, 163, 104180. [Google Scholar] [CrossRef]
- Zhang, J.; Kang, J.; Zhang, K.; Zhang, L.; Liu, P.; Liu, X.; Sun, W.; Wang, G. An efficient transformer-based surrogate model with end-to-end training strategies for automatic history matching. Geoenergy Sci. Eng. 2024, 240, 212994. [Google Scholar] [CrossRef]
- Raissi, M.; Perdikaris, P.; Karniadakis, G.E. Physics-informed neural networks: A deep learning framework for solving forward and inverse problems involving nonlinear partial differential equations. J. Comput. Phys. 2019, 378, 686–707. [Google Scholar] [CrossRef]
- Yan, X.; Lin, J.; Wang, S.; Zhang, Z.; Liu, P.; Sun, S.; Yao, J.; Zhang, K. Physics-informed neural network simulation of two-phase flow in heterogeneous and fractured porous media. Adv. Water Resour. 2024, 189, 104731. [Google Scholar] [CrossRef]
- Fuks, O.; Tchelepi, H.A. Limitations of physics informed machine learning for nonlinear two-phase transport in porous media. J. Mach. Learn. Model. Comput. 2020, 1, 19–37. [Google Scholar] [CrossRef]
- Grossmann, T.G.; Komorowska, U.J.; Latz, J.; Schönlieb, C.-B. Can physics-informed neural networks beat the finite element method? IMA J. Appl. Math. 2024, 89, 143–174. [Google Scholar] [CrossRef] [PubMed]
- Lie, K.-A.; Krogstad, S. Data-driven modelling with coarse-grid network models. Comput. Geosci. 2024, 28, 273–287. [Google Scholar] [CrossRef]
- Lie, K.-A.; Krogstad, S. Comparison of two different types of reduced graph-based reservoir models: Interwell networks (GPSNet) versus aggregated coarse-grid networks (CGNet). Geoenergy Sci. Eng. 2023, 221, 111266. [Google Scholar] [CrossRef]
- Lie, K.-A. An Introduction to Reservoir Simulation Using MATLAB/GNU Octave: User Guide for the MATLAB Reservoir Simulation Toolbox (MRST); Cambridge University Press: Cambridge, UK, 2019. [Google Scholar]
- Zhao, H.; Kang, Z.; Zhang, X.; Sun, H.; Cao, L.; Reynolds, A.C. INSIM: A Data-Driven Model for History Matching and Prediction for Waterflooding Monitoring and Management with a Field Application. In Proceedings of the SPE Reservoir Simulation Symposium, Houston, TX, USA, 23–25 February 2015. [Google Scholar]
- Ren, G.; He, J.; Wang, Z.; Younis, R.M.; Wen, X.-H. Implementation of Physics-Based Data-Driven Models with a Commercial Simulator. In Proceedings of the SPE Reservoir Simulation Conference, Galveston, TX, USA, 10–11 April 2019. [Google Scholar]
- Aslam, B.; Yan, B.; Lie, K.-A.; Krogstad, S.; Møyner, O.; He, X. A Novel Hybrid Physics/Data-Driven Model for Fractured Reservoir Simulation. SPE J. 2024, 29, 7029–7045. [Google Scholar] [CrossRef]













| I1 | P1 | P2 | P3 | P4 | P1 | P2 | P3 | P4 | |
|---|---|---|---|---|---|---|---|---|---|
| 5.88 × 10−3 | 1.03 × 10−2 | 7.60 × 10−3 | 2.47 × 10−3 | 1.05 × 10−2 | 2.72 × 10−3 | 2.09 × 10−3 | 7.74 × 10−4 | 1.04 × 10−3 | |
| 4.20 × 10−3 | 1.02 × 10−2 | 7.77 × 10−3 | 4.08 × 10−3 | 1.31 × 10−2 | 2.91 × 10−3 | 2.00 × 10−3 | 5.36 × 10−4 | 1.18 × 10−3 | |
| 3.76 × 10−3 | 1.05 × 10−2 | 1.05 × 10−2 | 3.05 × 10−3 | 1.07 × 10−2 | 3.03 × 10−3 | 1.84 × 10−3 | 6.57 × 10−4 | 1.68 × 10−3 | |
| 7.26 × 10−3 | 1.27 × 10−2 | 1.18 × 10−2 | 5.28 × 10−3 | 1.02 × 10−2 | 3.33 × 10−3 | 1.99 × 10−3 | 8.63 × 10−4 | 1.48 × 10−3 | |
| I1 | I2 | I3 | I4 | I5 | I6 | |
|---|---|---|---|---|---|---|
| 7.24 × 10−3 | 8.03 × 10−3 | 8.90 × 10−3 | 1.13 × 10−2 | 4.07 × 10−3 | 6.07 × 10−3 | |
| 4.14 × 10−3 | 3.44 × 10−3 | 3.53 × 10−3 | 2.38 × 10−3 | 1.84 × 10−3 | 2.21 × 10−3 | |
| 6.25 × 10−3 | 3.96 × 10−3 | 6.65 × 10−3 | 5.35 × 10−3 | 3.21 × 10−3 | 4.12 × 10−3 | |
| 5.57 × 10−3 | 2.26 × 10−3 | 5.27 × 10−3 | 1.95 × 10−3 | 1.46 × 10−3 | 2.34 × 10−3 |
| P1 | P2 | P3 | P4 | P5 | P1 | P2 | P3 | P4 | P5 | |
|---|---|---|---|---|---|---|---|---|---|---|
| 5.98 × 10−3 | 1.22 × 10−2 | 3.12 × 10−3 | 1.07 × 10−2 | 1.86 × 10−2 | 8.06 × 10−3 | 8.24 × 10−3 | 3.64 × 10−3 | 5.60 × 10−3 | 7.58 × 10−3 | |
| 2.51 × 10−3 | 4.09 × 10−3 | 7.30 × 10−3 | 3.62 × 10−2 | 2.35 × 10−2 | 3.31 × 10−3 | 8.26 × 10−3 | 1.84 × 10−3 | 1.58 × 10−2 | 1.80 × 10−2 | |
| 4.83 × 10−3 | 1.12 × 10−2 | 5.88 × 10−3 | 1.64 × 10−2 | 8.60 × 10−3 | 3.76 × 10−3 | 5.64 × 10−3 | 3.62 × 10−3 | 9.60 × 10−3 | 8.46 × 10−3 | |
| 2.92 × 10−3 | 6.23 × 10−3 | 8.03 × 10−3 | 9.63 × 10−3 | 1.28 × 10−2 | 2.19 × 10−3 | 5.98 × 10−3 | 3.04 × 10−3 | 8.89 × 10−3 | 9.09 × 10−3 | |
Disclaimer/Publisher’s Note: The statements, opinions and data contained in all publications are solely those of the individual author(s) and contributor(s) and not of MDPI and/or the editor(s). MDPI and/or the editor(s) disclaim responsibility for any injury to people or property resulting from any ideas, methods, instructions or products referred to in the content. |
© 2025 by the authors. Licensee MDPI, Basel, Switzerland. This article is an open access article distributed under the terms and conditions of the Creative Commons Attribution (CC BY) license (https://creativecommons.org/licenses/by/4.0/).
Share and Cite
Zhang, W.; Zhang, K.; Song, H.; Lv, J. Impact of Partitioning Methods on the Accuracy of Coarse-Grid Network Reservoir Models. Processes 2025, 13, 3678. https://doi.org/10.3390/pr13113678
Zhang W, Zhang K, Song H, Lv J. Impact of Partitioning Methods on the Accuracy of Coarse-Grid Network Reservoir Models. Processes. 2025; 13(11):3678. https://doi.org/10.3390/pr13113678
Chicago/Turabian StyleZhang, Wenjuan, Kai Zhang, Hao Song, and Jianghai Lv. 2025. "Impact of Partitioning Methods on the Accuracy of Coarse-Grid Network Reservoir Models" Processes 13, no. 11: 3678. https://doi.org/10.3390/pr13113678
APA StyleZhang, W., Zhang, K., Song, H., & Lv, J. (2025). Impact of Partitioning Methods on the Accuracy of Coarse-Grid Network Reservoir Models. Processes, 13(11), 3678. https://doi.org/10.3390/pr13113678

